Abstract
The seismic performance of the aged-concrete gravity dam (aged-CGD) by safety assessment based on the reliability-index is the main focal point of this study. Determination of reliability-index has been handled by the site seismic hazard analysis with the help of PSHRisk-tool (developed by the authors) and risk assessment. Incorporated with the uncertainties, the failure probability has been carried out by the IDA and fragility analysis. For the nonlinear finite element model of the CGD, the concrete damage plasticity (CDP) model is adopted. To investigate the aging effect, the hygro-chemo-mechanical model has been taken for different years consideration. Through the failure risk assessment of serviceability and safety level, the target reliability index has been determined here for an existing CGD in Korea. Despite several types of research on the CGD safety assessment, the main novelty of this proposed approach will help the dam operator to check the safety barrier for the aged-CGD. A safety index is investigated by comparing the target reliability-index of the age-CGD with the reliability-index for two potential earthquake levels. However, the proposed approach can implement to check the safety range of any seismic site for any set of earthquakes.
1. Introduction
Safety evaluation is intimately involved with the word reliability. For the structures, reliability analysis depicts the probabilistic failure consequences by several natural hazardous conditions. Therefore, the reliability-based safety index will help someone understand the safety determination of a structure taking the probabilistic meaning of the traditional concept. The definition of reliability analysis is implied through a function containing all random variables and their stochastic distribution [1]. Structural risk analysis is the expansion of the reliability analysis, which leads to the failure function as a structural response. The failure probability comes from the fragility analysis of the structure, where the vulnerability is defined as the combination of the failure function and the seismic hazard analysis of the site. Consequently, this chapter will briefly discuss the background which will express the related literature review and the scope of this study.
Background and Scope
The approach conducts here the determination of safety assessment of aged-concrete gravity dam (aged-CGD) by a key term reliability index, which is usually expressed either by Damage Probability Matrixes (DPM) or probabilistic failure consequences. Mohammadi et al. [1] illustrated the relationship between the structural redundancy and reliability index of RC frames where the ultimate result shows a result increase of reliability index with increasing the structural redundancy. In this study for determining the reliability index of the aged-CGD, the selected CGD is calibrated by the well-established Response Surface Methodology (RSM) [2], and experimental selection for the parameters is carried out by the Central Composite Design method (CCD) [3]. Abu-Odeh and Jones [4], Chávez-Valencia et al. [5] and Lee and Lin [6] explained that the RSM is a mathematical and statistical method to solve the uncertainties elapsed in an epistemic manner in the real structure.
According to the performance-based earthquake engineering (PBEE) framework, the reliability index comes through the development of the fragility analysis and mean annual frequency of exceedance. The lognormal distribution acted well to develop the seismic fragility for CGDs by expressing only the median seismic fragility, which includes the randomness and uncertainties [7].Among several methods, the incremental dynamic analysis (IDA) scall the ground motion (GM) to some extent [8], and this manuscript follows the IDA to make the fragility curve.
The CGD safety evaluation depends on the determination of the risk assessment, which can be textualized as a measure of the probable adverse effect on the surrounding environment. According to Adamo et al. [9], risks are also thought about because of the intentional interaction with uncertainties. The dam safety depends on the specific mode of failure due to the different load scenarios such as static, seismic, hydrologic, geologic, mechanical, etc. Here, for this target, the seismic load has been considering by determining the seismic hazard analysis of the specific site, where the risk is evaluated by the multiplication with the structural failure responses. The software PSHRisk-tool developed by the same authors of this manuscript has been used to evaluate the seismic hazard analysis of the specific sites (dam location) in Korea analyzed considered four seismic models [10].
Even though there are several studies in safety evaluation of the CGD, very few types of research have been done on the determination of the safety range using the reliability analysis. The rare part is the aging effect considering the hygro-chemo-mechanical model of the aged-CGD, and it shows the time-varying aging effect on the safety evaluation. Finally, the safety index of aged-CGD will inform at what stage the specific CGD will fail to fulfill the target reliability range. The novelty of this proposed approach gives an idea to the dam operator and researcher to safety check of the aged-CGD for the potential earthquake levels.
2. Theoretical Background
This section will explain the methodology related to express the proposed approach for determining a reliability-based safety index of the aged-concrete gravity dam in a seismically hazardous site. The proposed approach will show an investigated methodology adopting a case study on Bohyeonsan CGD in the Korean Peninsula. Figure 1 presents the pictorial view of the steps and also the required methodology area unit delineated as follows:
Figure 1.
Flowchart of the safety index determination framework.
2.1. Classical Reliability Assessment
The classical term of “reliability” deals with the complement of the probability of failure (= 1 − Pf ) for the given uncertainties of the system [11], but more properly, it is the probability of safety of the structure over a given period of time [12]. The limit–state function (sometimes also referred to as performance function) can be expressed by two domains such as the safe portion () and failure portion ) [13]:
The time-independent (Figure 2a) failure probability is described by a combined probability density function (PDF) counting the random vector of the safe variables as:
where and represents the Cumulative Density Functions (CDFs), and the randomness of R and S is expressed by and [12].
Figure 2.
Illustration of the reliability analysis for basic random variables; (a) time-invariant model; (b) time-variant model.
With the consideration of the random function of time, the probabilistic analysis of structural capacity will change as shown in Figure 2b. The structural capacity decreases with time due to the material degradation, while the reliability index for the safety check will also be decreased. A time-varying structural load can be idealized as an order of randomly occurring pulses like S1, S2, … Sn at times t1, t2,...tn with τ (small duration when the degradation due to load is zero) as shown in Figure 2b. Jeppsson [14] explained the several methods of the time-integrated and discrete approaches for the reliability analysis, where the time-variant reliability analysis is defined as the following equation:
where and are the impromptu CDF of R and the impromptu PDF of S at time t respectively explained by Li et al. [15].
To determine the failure probability , several methods have been discussed previously [16,17,18], where three strategies are available to evaluate it such as approximation, simulation and adaptive surrogate-modeling-based methods. The FORM, i.e., first-order reliability method and SORM, i.e., second-order reliability method which is the type of approximation method and the Monte Carlo simulation (MCS), Importance Sampling (IS) [19], Latin Hyperbolic Sampling (LHS) [20] and Subset Simulation (SS) [21] methods are the type of simulation method. Alongside, Adaptive Kriging Monte Carlo Sampling (AK-MCS) can be discussed under adaptive surrogate-modeling-based methods that are based on building a Kriging (aka Gaussian process regression) surrogate model from a small initial sampling of the input vector X available in Marelli, Schöbi and Sudret [13].
2.2. Seismic Performance Assessment
2.2.1. Intensity and Damage Measure
For the engineering structures, the IDA-based fragility analysis can be expressed by the intensity measure (IM) as cumulative absolute velocity (CAV), cumulative absolute displacement (CAD), arias intensity (AI), spectral acceleration , spectral displacement , peak ground acceleration (PGA), etc. In this study, the PGA has been being used to express the IM in IDA. PGA is used today in most cases because of its connection with the inertial forces and for the specific types of structure like concrete gravity dam (stiff structure) to evaluate the maximum dynamic force [22]. As IDA is involved in performing a series of dynamic analyses of a structural model under a set of GMs, each GM is scaled up to a range of IM. The EQs are scaled to such a level of force to excite the structure through the IDA method so that the structure experiences an ultimate collapse after showing the elastic to inelastic behavior. The structural response can be presented by the IDA with scaler IMs and damage measure (DM) used as an engineering demand parameter (EDP). Generally, the maximum inter-story drift, the separate peak story drift, peak floor acceleration and damage index are used as EDP. The relative displacement of the CGD is used in several types of research previously for seismic assessment such as Nahar et al. [23], Sen [24] and Tekie and Ellingwood [25]. Therefore, this study also has been followed the crest displacement as an EDP for the IDA curve, from where the fragility analysis has been carried out. For the seismic design of the hydraulic structure, the specification combining with the international and Chinese two level of intensity approach has been adopted here as (1) a maximum design earthquake (MDE) and (2) a maximum credible earthquake (MCE). The limit states are taken as the serviceability limit state (with a slope of 0.8Ke in IDA) and the safety limit state (with a slope of 0.2Ke in IDA), which is determined here from the IDA curve [26,27]. The Ke is the slope of each IDA curve that is determined according to the two different levels of structural response.
2.2.2. Fragility Formulation
The seismically exciting structure is subjected to damage to such an extent as during ground shaking; the seismic analysis can be carried out through fragility analysis. With a lot of computational efforts, the fragility curve shows a relationship between the probability of exceeding taken limits of EDPs and the exceedance of damage [28]. Mathematically the fragility function can be expressed as follows:
where at , denotes the GM probability which motivates the structural collapse, is the function of standard normal cumulative distribution, is the median and is the standard deviation of the IM and lastly, is the damage state [8]. The fragility parameter followed in this study is the maximum likelihood estimation (MLE) [8,29], where the determination of the parameters can be made by the following:
where the number of IM intensities are notified by m, (when the case exceeds the limit state (LS)) or (not exceed the LS) and . The fragility curve is exposed from elastic to the collapse level for a set of GM by IDA. Besides, the higher threshold value of the IM is determined by adopting the high confidence of low probability of failure (HCLPF) methodology. HCLPF is the identification of that GM, where the 5% failure confidence remains at 95%.
2.2.3. Seismic Hazard Analysis
The IDA-based fragility curves for different performance levels need to combine with the site seismic hazard analysis to determine risk assessment for any structural system [30,31]. Probabilistic seismic hazard analysis (PSHA) is a well-known basic theory to determine probabilistically the earthquake shaking for a seismically induced site. Presented in Kramer [32], Baker [33] and Pailoplee and Palasri [34], accounting for all the aleatory uncertainties, which will cover the surrounding i earthquake sources from the generation point and all moment magnitudes, PSHA expresses the exceedance rate [34] for a given IM as follows:
where is the probability of earthquakes happening which is greater than , and is the rate of are the probability density functions for the earthquake size and the source to site distance, respectively. ) is the probability of for an earthquake of size m occurred at source-to-site distance . is the inverse of the return period , from where the structural yearly failure probability of any specific earthquake level can be determined. The PDF of a taken seismic source magnitude-frequency follows the Gutenberg–Richter relationship [35] as expressed by the following:
where the annual rate of exceedance of m is denoted by a and b values are known as the Gutenberg–Richter recurrence parameters, and .
All process in the hazard analysis has been carried out by the own developed software “PSHRisk-tool” (available in https://www.kim2kie.com/3_ach/PSHRisk-tool/PSHRisk_tool.php, accessed on 25 October 2020) [36] has been used, where can be found the detailed about the theory and application.
2.2.4. Reliability Index
This section focuses on the safety check that has been adopted by the reliability index. The concept of the reliability index is adjuvant determinative to compute the failure probability [37]. The failure condition of the structural measurement can be defined by the failure probability in its design period [1]. The reliability index for the respective failure probability can be determined as follows:
To calculate the failure probability for reliability analysis, the measurement of risk can help to fulfill the destination. According to the report presented by ICOLD and CIGB [38], generally, the risk calculation is made by the following expression:
Figure 3 shows the overall process to calculate the reliability index with the help of Equations (5), (8), (10) and (12). The determination of the failure probability in risk is also similar, which was first applied in Zion power plant. This is called the Zion method, and it can be estimated by using the two procedures. One is estimated by the product of fragility and differential of seismic hazard curve slope, and the other one is determined by the product of seismic hazard and differential of fragility curve slope. Here, the former one has been used to determine the reliability index as shown in Figure 3.
Figure 3.
Estimation of reliability index curve.
3. Numerical Example
3.1. Dam Specification
For a numerical example, the Bohyeonsan concrete gravity dam has been taken, where Figure 4a shows the real view and Figure 4b shows the sensor locations of the CGD. The details of this CGD are available in Nahar et al. [23], Cao et al. [39] and Rahman et al. [40]. This Dam is located in the upper stream of Gohyeoncheon, which is the second tributary of the Kumho River in South Korea. During the Pohang earthquake, the base acceleration and the system output response were recorded using the two sensors located at the bottom and top of the dam, respectively, and another sensor was used at the surrounding of the dam on the ground to collect ground motion (free filed) shown in Figure 4b. The earthquake epicenter was at 36.12° N and 129.36° E, 37 km from the Bohyeonsan dam. Table 1 shows the detailed physical feature of the Bohyeonsan CGD, which is taken from the k-water academy situated in South Korea.
Figure 4.
Bohyeonsan CGD; (a) real view; (b) data collection point in Bohyeonsan CGD.
Table 1.
Materials properties (designed) of Bohyeonsan concrete gravity dam (CGD).
3.2. FEM Configuration
The 3D finite element model (FEM) is configured with accounting for the topographic and geological characteristics of the real CGD. The dimensional FEM is modeled with the help of software ABAQUS considering fluid-soil-structure interaction (FSSI). The fluid (reservoir) and foundation (rock) is extended up to 1.5 times [24] of the dam height along each side. The dam body is modeled as a plastic 3D solid element, and the foundation is a modeled homogeneous, elastic and isotropic 3D solid element. The elements for both dam and foundation domains are acted here as the quadratic tetrahedral elements C3D10. Zero pressure is applied at the headless boundary and at the top of the reservoir to consider the damping effect arising from the propagation of pressure waves. Zero displacements are imposed on horizontal translation degrees of freedom at the bellow of the dam and reservoir. Figure 5a shows all dimensions of the dam section, and Figure 5b shows the numerical FEM meshing of the fluid–foundation–dam interaction system. The mesh numbers counted for the FEM in the dam’s inside, outside material, foundation, and water were 6776, 41575, 14,012 and 37,260, respectively. Besides showing the whole model, Figure 5b also indicates the axis direction, where the x-axis indicates the direction parallel with the fluid (water) flow, the y-axis denotes the direction perpendicular to the fluid flow, and the z-axis was upward vertically.
Figure 5.
(a) The geometrical dimension of sectional view, (b) finite element model (FEM) 3D model with meshing.
To illustrate the dam condition for the construction period, the material property is taken from Table 1 following the dimensions and meshing techniques as shown in Figure 5b. After the FEM optimization through RSM (detained in Section 4), the material properties will show the present condition of the CGD. The optimization has been carried out by modal verification with the FEM result and the record data. The FEM was excited by the free field data of the prescribed earthquake and applied to the CGD foundation. Neglecting the less intensive earthquake component, only the horizontal was considered except the vertical component of GM. Assigning the static condition gravity load for the self-weight, the implicit integration was taken along with the non-linear dynamic analysis. The Rayleigh method [41] is adopted here for considering the damping matrix, where 5% damping ratio has been adopted for both the inside and outside dam section (more detailed in Nahar et al. [23]). The epistemic uncertainties as shown in Figure 6 such as aging effect, concrete damage plasticity (CDP) model, parametric randomization and water height effect have been incorporated in this study, where the water has been modeled considering an isotropic 3D solid element as an acoustic model with element type quadratic tetrahedral AC3D10. The aging effect and the CDP model have been discussed in detail in the next.
Figure 6.
Epistemic uncertainties consideration in 3D modeling.
The formulation of the FEM system in a two-dimensional discretized dynamic equation is followed here as explained in Løkke [42] and Sen [24].
The material property was assigned in FEM as the concrete damage plasticity (CDP) model. The damage condition in both tension and compression can be evaluated by the inelastic potential behavior namely CDP. By including the loading combinations both static and dynamic [43], CDP containing four constitutive parameters [44] to define the yield surface in ABAQUS. Here, for assigning these parameters, the data from Nahar et al. [23] were used. The illustration of the tension and compression behavior can be expressed either by the stress-strain curve for compression and also in crack length investigation in tension softening. The stress–strain curve is drawn by two adopted expressions as followed by EN1992-1-1 up to nominal ultimate strain (Figure 7a), and the rest can be defined by the sinusoidal expression (Figure 7b). According to EN1992-1-1, the mathematical expression up to the ultimate strain for the relationship between the compressive stress, , and shortening strain, , is determined by the following equation:
where the concrete compressive stress is expressed by , , the concrete compressive strain is denoted by , is the peak stress compressive strain in the concrete is defined by and . The nominal ultimate strain were adopted from EN1992-1-1 for all aged concrete (0–75years). Therefore, the extension of the stress–strain curve was made with the sinusoidal part between points using the following equation:
Figure 7.
Stress–strain of concrete diagram of concrete: (a) up to ultimate condition; (b) with extended sinusoidal part.
Pavlović et al. [45] well explained the parameters for the calculation of this sinusoidal part. The stress–strain behavior of our selected CGD is determined using the above expressions and pictured in Figure 8a for the four (0, 25, 50 and 75 years) different aging conditions. Figure 8b shows the tension stiffening behavior considered the crack opening ratio by adopting the method of concrete exponential tension softening model [46]. The maximum tensile crack starts from , which follows the equation explained in Mirza et al. [47] and is also used in Nahar et al. [23].
Figure 8.
(a) Behavior of concrete compression stress–strain hardening; (b) concrete softening behavior considering crack opening displacement.
The equation for defining the tensile softening behavior is expressed by the following exponential function:
where the displacement for crack opening is denoted by , when the stress cannot be transferred, then, the notation is defined by , and and are material constants for normal concrete. Figure 8 shows that by increasing the age, the compression and tensile performance of the concrete are decreased. As the hygro-chemo-mechanical model affects the modulus of elasticity with time, the tensile strength is reduced, and this tensile stress for each year has been adopted for the limit state of this study.
3.3. Aged-CGD Modeling
The durability of aged concrete is affected because of the joint mechanisms of the external load and environmental incidents such as chemical extension reaction, thermal effect due to heat transfer, freeze–thaw actions, etc. [48]. These affect the concrete strength by making the porosity in it, which is phenomena by hygro-chemo-mechanical cause induced porosity. Gogoi and Maity [49] and Gogoi and Maity [50] used the damage index considering this phenomenon to determine the degraded concrete strength for modeling the aged-CGD. Keeping solidarity with that concept, this study applied the hygro-chemo-mechanical effect on the existing Bohyeonsan CGD in Korea. As explained in Gogoi and Maity [49] and Gogoi and Maity [50], the hygro-chemo-mechanical affect the concrete modulus of elasticity. By adopting that parameter, the same as in Nahar et al. [23], the damaged modulus of elasticity () for the prescribed CGD is compared with the sound modulus of elasticity (). Figure 9a shows the graphical representation of the contact surface of the dam and water, from which, in Figure 9b, it is shown that the modulus of elasticity for the CGD is reduced with age in both inside and outside materials.
Figure 9.
(a) Hygro-chemo-mechanically induced surface; (b) variation of concrete modulus of elasticity with time.
4. Optimization of FEM
The optimization of the FEM model has been carried out by the RSM to know the present condition of the Bohyeonsan CGD. This will give the correct estimation of the degraded modulus of elasticity for showing the aging effect on safety evaluation. RSM is a statistical and mathematical technique for system identification initially developed and explained by Box and Wilson [51]. In generating an empirical model building, RSM plays an important role [52]. The objective of this method is to optimize the output (y) variables generally affected by the input variables (x), which can be expressed by Equation (17) [53].
where the responses of the structure are indicated by and error of that response is described by . In order to skip the unnecessary true function, for many reasons, a flexible mark off polynomial function can be adopted. The two most common forms of a polynomial function are as follows:
The coefficients are parameters that need to be estimated from the data. Several mathematical tools are available for the DoE, and CCD developed by Box and Wilson [51] is a very useful tool to reduce the experimental phase. This equation is also used recently for evaluating the seismic capacity and risk prediction of CGD in Nahar et al. [23]; Cao et al. [39] and Cao et al. [54]. The CCD is classified into three types according to the axial points (an indication of the curvature) as central composite circumscribed, central composite inscribed and central composite face-centered. In this study, using CCD, the total number of samples for running the experiment is calculated by the following Equation (20).
where p is the factor number, and denotes the center-point number of the sample, which is generally considered as 5 or 6. Using Equation (20)) the number of numerical simulations is calculated as nine with two input variables such as CoE (coefficient of modulus of elasticity) and (mass density). To get the optimized modulus of elasticity, the CoE will help by multiplying with the present variables. The recorded acceleration data was collected for the Pohang Earthquake, which was the strongest earthquake in the Korean Peninsula [55]. The simulation had been done with the nine combinations of two material properties (input variables), and after optimization by RSM, the present value of those two parameters has been come out as 0.787 and 2.32 (tone/m3), respectively. In addition, the final inside and outside modulus of elasticity is 10,835 MPa and 13,269 MPa, respectively. The response spectra comparison between the before and after optimization has been carried out and showed in Figure 10. Figure 10 indicates that the similarities of the top RS after optimization is acceptable for the structural system identification.
Figure 10.
Comparison response spectrum of the apex point of the CGD before and after optimization.
The FEM with the present parameters then verified by comparing the fundamental frequencies by the frequency domain decomposition (FDD) of the experimental data. According to Brincker et al. [56] the FDD can decompose the system response from recorded data by following a simple technique that is related to the decomposition of each of the estimated spectral density matrices explained in Ko et al. [57].
The FDD from the sensor database is visualized in Figure 11a, where the first peak depicts the fundamental frequency of the CGD. Analysis of the mode shape of 3D FEM considering the optimized material properties is also illustrated in Figure 11b. From the modal analysis, the most dominating mode shape shows the fundamental frequency of the FEM. From Figure 11, the coefficient of variance (CoV) between the FDD result and FEM result is almost the same. The acceptable value for the CoV should be less than 15% [58] for the FEM verification, where this study shows that the CoV is 2%. Therefore, it can be said that the above FEM for the seismic safety assessment of the aged-CGD is properly validated and verified.
Figure 11.
(a) Frequency domain decomposition (FDD) of the sensor data of the CGD; (b) first mode shape of FEM.
5. Ground Motion Selection
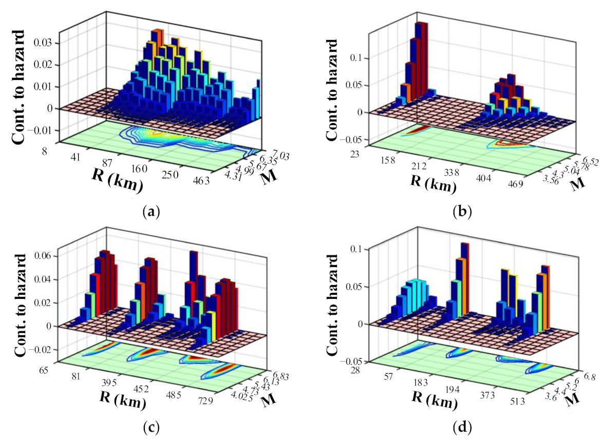
Non-linear analysis of the structure required the right selection of GM, which can provide the real scenario during an earthquake. This selection depends on several uncertainties that need to be characterized as aleatory uncertainties by some necessary steps. The steps elapse to determine the most vulnerable seismic contribution to the 2% of 50 years shaking through site seismic model source-to-site distribution, uncertainty and PDF of earthquake magnitude, seismic hazard analysis and deaggregation plot. Then a set of GM can be selected either from PEER or artificially generated [59] and scaled with the target spectra [60,61]. According to Choun et al. [62], the seismic record of Korea is divided into four seismic source models. For selecting the most effective earthquake range in the CGD site, seismic hazard analysis has been carried out by “PSHRisk-tool” [36]; Figure 12 shows the deaggregation plot for 2% of 50 years shaking PGA. From Figure 12, the peaks correspond to magnitude–distance contributions that contribute more to the hazard than has been considered.
Figure 12.
Deaggregation plot for most contributing earthquake range selections from four seismic source model in Korea; (a) Model A, (b) Model B, (c) Model C and (d) Model D.
In correspondence with the analysis, around a range of moment magnitude (5.0 to 6.5) and the closet ruptured distance ranges (50 km to 204.7 ) is adopted to select the GMs for reducing the computational efforts as shown in Figure 13a. The uncertainties of the GM are reduced by matching with the taken design response spectra (DRS) (RG 1.60) [63,64]. By avoiding the vertical components because of the lesser acceleration, Figure 13a shows the scatter plot and Figure 13b shows the matched 30 GMs with the DRS. The scatter plot represents a specific PGA of GM distribution through the required earthquake magnitude and rupture range.
Figure 13.
(a) Scatter plot and (b) response spectra of input ground motions (GMs) matched with the design response spectrum.
6. Result and Discussion
6.1. Seismic Failure Assessment
This section explains the seismic analysis by the validated and verified FEM, which is subjected to 30 selected GMs. As explained in the previous section, the FEM was only subjected to the horizontal two-directional GM components. One was applied to the x-axis, and another one was applied to the y-axis. From the modal analysis, the most vulnerable direction has been notified in the x-directional response, which leads to the result in evaluation and analysis in this manuscript to the x-direction only.
The analysis was also performed considering four different years for showing the response of the aging effect during an earthquake. By adopting the calibrated FEM through system identification, at the initial stage (0 years), the young’s modulus of elasticity is considered as non-damaged E0 [23]. The other cases are adopted by taking aging effects as 25, 50, and 75 years, respectively. The model was at first subjected to the gravity load in all cases and simultaneously the non-linear time history analysis had been performed at the foundation base and foundation side. As for CGD one of the most key limit states is the relative displacement against the fluid flow, the crest displacements acted here as the DM in IDA. Following the IM-DM points in the IDA from Jalayer and Cornell [65], in each increment of GM, the mean and standard deviation (SD) were calculated to show the 50% fractile curve (mean), 16% fractile curve (mean-SD) and 84% fractile curve (mean+SD) were calculated.
Figure 14 shows the IDA curves for the 30 earthquakes for each specified year along with the mean, curves of the dam crest serviceability. The dynamic analysis is allowed here in IDA from 0.1g to 1g for each earthquake scaling. To identify the two-limit states from the IDA, the mean, 16% and 84% fractile curves of the dam crest are visualized in Figure 15. The serviceability and safety points have been calculated from the slope of the curve as discussed in Section 2.2.1.
Figure 14.
Incremental dynamic analysis (IDA); (a) 0 years, (b) 25 years, (c) 50 years, (d) 75 years.
Figure 15.
Fractile IDA curves four different age consideration; (a) 0 years, (b) 25 years, (c) 50 years, (d) 75 years.
The seismicity parameters for the failure probability have been tabulated for two performance levels in each year in Table 2. For the mean IDA, the crest displacement in the serviceability stage is observed from 0.259–0.159 (g) by increasing the age of the CGD. Besides the mean, the 16% and 84% limits these values from 0.269–0.175 (g) and 0.227–0.180 (g), respectively. Therefore, for serviceability level, these earthquakes will not obviously infect the dam. The controlling IM for the 0-year aged-CGD is from 0.227–0.269, corresponding which the displacement limit state for the fragility analysis. Similarly, for safety level, the controlling IM for 0 years aged-CGD is identified from 0.405–0.438. The case study of the considered dam is then seismically analyzed by these limit values by considering the key point as the crest displacement.
Table 2.
Peak ground acceleration (PGA) (g) for each limit states from the IDA.
The 3D of the existing multipurpose dam has been analyzed probabilistically through the time history, nonlinear analyses considering the effect of the hygro-chemo-mechanical effect on the structural vulnerability analysis. Crest displacement was carried out from the IDA curve to illustrate the fragility curves. By using Equation (5), fragility curves have been shown in Figure 16 to summarize the failure pattern for the mean, 16 and 84% fractile in serviceability and safety level. In case of a maximum credible earthquake, from any year consideration in Figure 16, the serviceability and safety show almost 1. If it is considered for the maximum credible earthquake, these serviceability points are observed as 0.90–0.95, wherein for safety point, it is almost also 1.
Figure 16.
Fragility for mean, 16% and 84% fractile curve; (a) 0 years, (b) 25 years, (c) 50 years, (d) 75 years.
From the analysis of the IDA, the corresponding fractile PGA for considering the crest displacement shows here the safe range in either the MDE or the MCE level. In the global case, it may cross the design earthquake level. To the effect of site seismic hazard uncertainties, this study adopted a further reliability-based safety assessment. Therefore, the seismic hazard analysis will show the site-specific safety evaluation in the next section as well.
6.2. Site Seismic Hazard Analysis
The site of the taken dam is located in South Korea, which is situated in a moderate seismic zone. The site-specific magnitude is appropriate for use in seismic risk assessment because there are only a few strong motion data and seismological information for the dam sites in Korea. As a result, according to the Choi et al. [10] for Korea, there are four seismic source models as shown in Figure 17 along with the dam site. More than 2000 earthquake records were used for making the seismic source models [66], and the magnitude-frequency relationship was presumed the same as the Gutenberg–Richter study [35]. The site-specific magnitude range is important to predict potential issues. Which GM intensity will contribute more to the hazard may cause the vulnerability to risk assessment of the CGD. Therefore, all the sources in each seismic model have been used to illustrate the hazard curve as shown in Figure 18a–d. The total hazard curve for each source model can then be extracted using the ground motion prediction equation (GMPE) from Cornell et al. [67], and all the total hazards along with the average curve have been visualized in Figure 18e.
Figure 17.
Seismic source model in Korea.
Figure 18.
Seismic hazard curve on the site Bohyeonsan concrete gravity dam for seismic source model in South Korea; (a) Model A, (b) Model B, (c) Model C, (d) Model D, (e) Total and average hazard curve of all sources.
The idealized reason for failure in the aged-CGD was characterized by the function of time in the previous study of the author of this manuscript [23]. The connection between the seismic capacity and the modulus of elasticity was correlated with the analysis of some specifically selected GMs. In this case, the aging effect has been more characterized by the real scenario of the site seismic risk analysis. To determine the safety, the dam reliability index is strongly supported by the mean annual rate of earthquake exceedance. The failure probability of the reliability estimation covers the probable failure pattern by considering all the epistemic and aleatory uncertainties.
6.3. Safety Assessment of Aged-CGD
The safety check has been carried out here through the design IM for different earthquake levels. To give a guideline for the dam operator, Operational (OP) and Life Safety (LS) [68] is selected to determine the reliability index for earthquake levels.
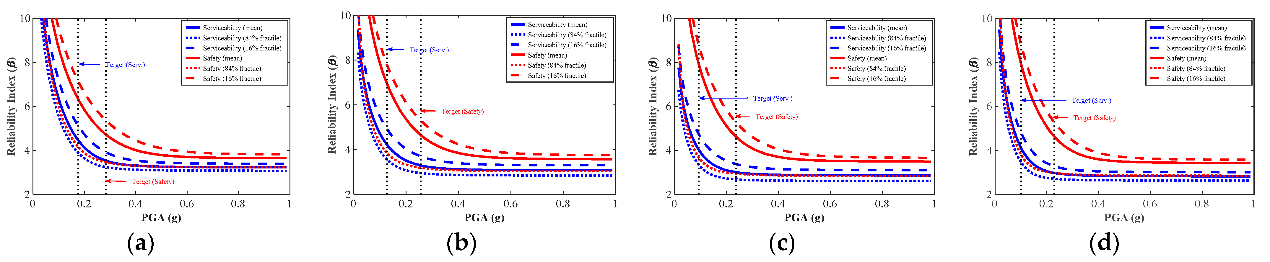
In the safety check, the procedure discussed in Section 2.2.4 is applied to determine the target reliability index of the CGD. The fragility curve from the failure probability for different year consideration has been multiplied by the integration of the slope of the site seismic hazard curve. Figure 19a–d shows the reliability index curve for the example CGD for each considered year, showing the time-variant seismic safety evaluation. Figure 19 shows the reliability curve for mean, 16% and 84% fractile for both the serviceability and safety stage. For both levels of the target PGA (serviceability and safety), the HCLPF point from the fragility curve has been determined and indicated as target (serv.) and target (safety) as shown in Figure 19. The target reliability index then is calculated by the identification of the structural capacity. Table 3 shows the list of HCLPF points from the fragility curve for each year.
Figure 19.
Reliability index curve for mean, median, 16% and 84% fractile curve; (a) 0 years, (b) 25 years, (c) 50 years, (d) 75 years.
Table 3.
High confidence of low probability of failure (HCLPF) point from the CGD response of each year.
From Figure 20, the regression analysis is summarized paired with their annual frequency of exceedance for the years (OP) and years (LS) in hazard levels. To compare with the target value, the reliability index for different earthquake levels has also been taken for two of these performance levels (OP and LS). From the average curve, as shown in Figure 20, the design earthquake PGA is 0.075 g and 0.221 g, respectively, for the taken CGD site. Using a peak ground acceleration value of 0.302 g, which is equal to that estimated for the records having a 2% in 50 years hazard level, it can be extracted directly from the mean fractile of the fragility curve. From Figure 19, the design PGA, as shown in Figure 20, two, 0.075 g and 0.221 g, were taken to measure the reliability index.
Figure 20.
Average seismic hazard curve for the site with different earthquake levels.
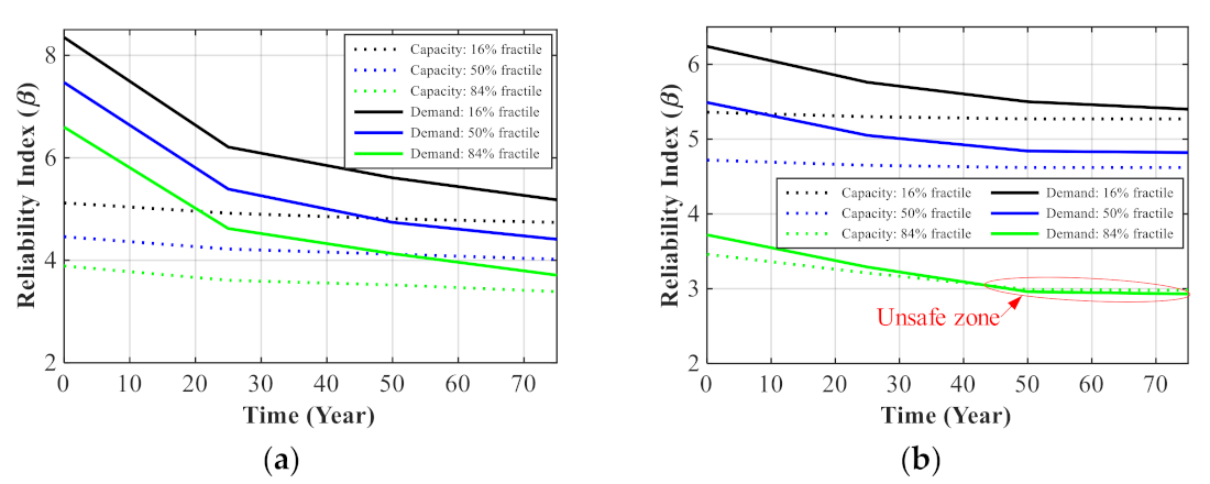
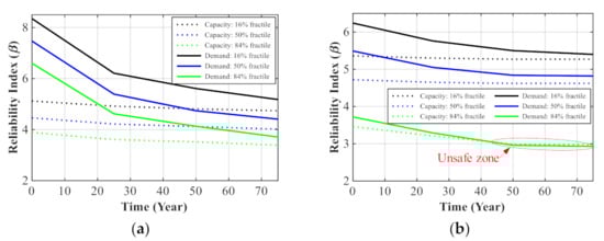
To visualize the trend of reliability index of the prescribed aged-CGD target (capacity), response with time can be compared with demand (EQ level) as shown in Figure 21. Figure 21a–b shows the comparison between the capacity and demand reliability index for all fractile cases in serviceability and safety level, respectively. With increasing time this CGD shows a safe index in serviceability level even each year, wherein safety level the CGD looks unsafe after 45 years. Therefore, adopting the proposed methodology described in this study is useful to check the safety index in a specific location.
Figure 21.
Degradation of reliability index with time for two damage level; (a) serviceability, (b) safety.
The reliability index for the performance level of serviceability (check for OP earthquake level) and safety (check for LS earthquake level) for each fractile (16%, 50% and 84%) is listed in Table 4. The target reliability index was determined from the HCLPF capacity of the dam and compared with each earthquake level to check the safety assurance. Moreover, to check the safety, a 16% to 84% fractile range has been taken in this study. Table 4 shows that the dam for serviceability performance level is safe for the whole year and for all fractile cases. Nevertheless, for safety performance level, the dam fails to satisfy for 50 and 75 years with 84% fractile cases. This process can make it obvious the need to take a more confidence level in the fragility analysis, on which the reliability index is dependent. More prediction of the earthquake performance levels will also be a great solution to check the safety evaluation.
Table 4.
Safety check range for the seismically induced aged-CGD.
7. Conclusions
The study presented a practical approach to checking whether a massive structure is safe under seismic excitation. To do so, the classical reliability methodology has been used to give the safety index of an aged-CGD. To investigate the site-specific hazard effect of the aged-CGD, the PSHA is used extensively in this study, where PSHRisk-tool has been used to determine the hazard curve and deaggregation plot. IDA-based seismic performance assessment is carried out to set the limit state in two-levels. The failure probability for the structural response has been adopted by fragility analysis in each performance level. A proper 3D FEM of required CGD in Korea is reflected in its dynamic responses through the time history analysis. To excite the FEM, a set of 30 EQs was selected in that site for analyzing the maximum contribution of IM from the hazard curve.
Seismic risk evaluation combining the failure probability with the integration of the slope from the hazard curve is considered here for illustrating the reliability index curve. The hygro-chemo-mechanical effect is taken for defining the aging condition. The target reliability index is expressed by two different performance levels, which encompasses damage levels of the CGD. It is found that the GM characteristics showed a great effect on the dispersion of the fragility curves.
Moreover, it is notified at the 50 and 75 aged-CGD, the material property is become deteriorated due to strength reduction. The reliability index curve showed the safety pattern was for the same year, which indicates it is less safe than the other year’s consideration. For the two EQs level carried from the previous study, the damage index for the corresponding EQs level has been listed to compare the reliability index with the target one (from the capacity of the structure). This safety evaluation process will give information about the safety level of a CGD through the reliability index check. The safety range will be satisfied if the reliability index for any earthquake level is greater than the target reliability index of the aged-CGD. The life safety has been taken in this study to show the maximum reliability index, where the target reliability index divides the safe and unsafe zone for the CGD for a considered earthquake. The safety measurement of the seismic site in Korea depicts the aged-CGD as safe in all taken earthquake levels but unsafe for some fractile case of the different fractile level.
Lastly, it can be said that the main advantage of this proposed approach is that it provides a practical guideline to the user for investigating the safety range of potential earthquakes. The time-dependent aging consideration is a new aid to the reliability index for predicting the safety check of the deteriorated structure. This method can be implemented in another structure or can be updated suitably with another set of earthquakes.
Author Contributions
Conceptualization, T.T.N. and M.M.R.; formal analysis, T.T.N. and M.M.R.; funding acquisition, D.K.; methodology, T.T.N.; project administration, D.K.; software, T.T.N. and M.M.R.; supervision, D.K.; validation, T.T.N., M.M.R. and D.K.; writing—original draft, T.T.N.; writing—review and editing, T.T.N., M.M.R. and D.K. All authors have read and agreed to the published version of the manuscript.
Funding
The National Research Foundation of Korea Grant funded by the Korean Government (NRF-2018R1A2B2005519) supported this work.
Institutional Review Board Statement
Not applicable.
Informed Consent Statement
Not applicable.
Data Availability Statement
The data presented in this study are available on request from the corresponding author.
Acknowledgments
The National Research Foundation of Korea Grant funded by the Korean Government (NRF-2018R1A2B2005519) supported this work. The authors gratefully acknowledge their financial support.
Conflicts of Interest
The authors declare no conflict of interest.
References
- Mohammadi, R.; Massumi, A.; Meshkat-Dini, A. Structural reliability index versus behavior factor in RC frames with equal lateral resistance. Earthq. Struct. 2015, 8, 996–1016. [Google Scholar] [CrossRef]
- Bezerra, M.A.; Santelli, R.E.; Oliveira, E.P.; Villar, L.S.; Escaleira, L.A. Response surface methodology (RSM) as a tool for optimization in analytical chemistry. Talanta 2008, 76, 965–977. [Google Scholar] [CrossRef]
- Mohajeri, S.; Aziz, H.A.; Isa, M.H.; Zahed, M.A.; Bashir, M.J.; Adlan, M.N. Application of the central composite design for condition optimization for semi-aerobic landfill leachate treatment using electrochemical oxidation. Water Sci. Technol. 2010, 61, 1257–1266. [Google Scholar] [CrossRef] [PubMed]
- Abu-Odeh, A.Y.; Jones, H.L. Optimum design of composite plates using response surface method. Compos. Struct. 1998, 43, 233–242. [Google Scholar] [CrossRef]
- Chávez-Valencia, L.; Manzano-Ramírez, A.; Alonso-Guzmán, E.; Contreras-García, M. Modelling of the performance of asphalt pavement using response surface methodology—the kinetics of the aging. Build. Environ. 2007, 42, 933–939. [Google Scholar] [CrossRef]
- Lee, Y.-J.; Lin, C.-C. Regression of the response surface of laminated composite structures. Compos. Struct. 2003, 62, 91–105. [Google Scholar] [CrossRef]
- Ghanaat, Y.; Patev, R.; Chudgar, A. Seismic fragility for risk assessment of concrete gravity dams. In Proceedings of the 35th United States Society on Dams Annual Meeting and Conference, Louisville, KY, USA, 13–17 April 2015; pp. 645–660. [Google Scholar]
- Baker, J.W. Efficient analytical fragility function fitting using dynamic structural analysis. Earthq. Spectra 2015, 31, 579–599. [Google Scholar] [CrossRef]
- Adamo, N.; Al-Ansari, N.; Laue, J.; Knutsson, S.; Sissakian, V. Risk management concepts in dam safety evaluation: Mosul dam as a case study. J. Civ. Eng. Archit. 2017, 11, 635–652. [Google Scholar] [CrossRef]
- Choi, I.-K.; Nakajima, M.; Choun, Y.-S.; Ohtori, Y. Development of the site-specific uniform hazard spectra for Korean nuclear power plant sites. Nucl. Eng. Des. 2009, 239, 790–799. [Google Scholar] [CrossRef]
- Sørensen, J.D. Notes in Structural Reliability Theory and Risk Analysis; Building Technology and Structural Engineering: Aalborg, Denmark, 2004; p. 231. [Google Scholar]
- Melchers, R.E.; Beck, A.T. Structural Reliability Analysis and Prediction, 3rd ed.; John Wiley & Sons Ltd: Hoboken, NJ, USA, 2018; p. 514. [Google Scholar]
- Marelli, S.; Schöbi, R.; Sudret, B. UQLab User Manual–Structural Reliability (Rare Event Estimation); UQLab-V1.1-107; Chair of Risk, Safety & Uncertainty Quantification: Zürich, Switzerland, 2018; p. 64. [Google Scholar]
- Jeppsson, J. Reliability-Based Assessment Procedures for Existing Concrete Structures. Ph.D. Thesis, Lund University, Lund, Sweden, 2003. [Google Scholar]
- Li, Q.; Wang, C.; Ellingwood, B.R. Time-dependent reliability of aging structures in the presence of non-stationary loads and degradation. Struct. Saf. 2015, 52, 132–141. [Google Scholar] [CrossRef]
- Ditlevsen, O.; Madsen, H.O. Structural Reliability Methods, 1st ed.; John Wiley & Sons Ltd.: Chichester, UK, 1996; Volume 178, p. 384. [Google Scholar]
- Thoft-Cristensen, P.; Baker, M.J. Structural Reliability Theory and its Applications, 1st ed.; Springer Science & Business Media: Berlin, Germany, 1982; p. 268. [Google Scholar]
- Tichý, M. Applied Methods of Structural Reliability, 1st ed.; Springer Netherlands: Dordrecht, The Netherlands, 2012; Volume 2, p. 415. [Google Scholar]
- Harbitz, A. An efficient sampling method for probability of failure calculation. Struct. Saf. 1986, 3, 109–115. [Google Scholar] [CrossRef]
- McKay, M.D.; Beckman, R.J.; Conover, W.J. A comparison of three methods for selecting values of input variables in the analysis of output from a computer code. Technometrics 2000, 42, 55–61. [Google Scholar] [CrossRef]
- Au, S.-K.; Beck, J.L. Estimation of small failure probabilities in high dimensions by subset simulation. Probabilistic Eng. Mech. 2001, 16, 263–277. [Google Scholar] [CrossRef]
- Pejovic, J.; Jankovic, S. Selection of ground motion intensity measure for reinforced concrete structure. Procedia Eng. 2015, 117, 588–595. [Google Scholar] [CrossRef]
- Nahar, T.T.; Cao, A.-T.; Kim, D. Risk assessment of aged concrete gravity dam subjected to material deterioration under seismic excitation. Earthq. Eng Struct. Dyn. 2020, 14, 1–17. [Google Scholar] [CrossRef]
- Sen, U. Risk Assessment of Concrete Gravity Dams under Earthquake Loads. Master’s Thesis, Louisiana State University, Louisiana, LA, USA, 2018. [Google Scholar]
- Tekie, P.B.; Ellingwood, B.R. Seismic fragility assessment of concrete gravity dams. Earthq. Eng. Struct. Dyn. 2003, 32, 2221–2240. [Google Scholar] [CrossRef]
- Vamvatsikos, D.; Cornell, C.A. Incremental dynamic analysis. Earthq. Eng. Struct. Dyn. 2002, 31, 491–514. [Google Scholar] [CrossRef]
- Vamvatsikos, D. Seismic performance uncertainty estimation via IDA with progressive accelerogram-wise latin hypercube sampling. J. Struct. Eng. 2014, 140, A4014015. [Google Scholar] [CrossRef]
- Kennedy, R.; Ravindra, M. Seismic fragilities for nuclear power plant risk studies. Nucl. Eng. Des. 1984, 79, 47–68. [Google Scholar] [CrossRef]
- Mandal, T.K.; Ghosh, S.; Pujari, N.N. Seismic fragility analysis of a typical Indian PHWR containment: Comparison of fragility models. Struct. Saf. 2016, 58, 11–19. [Google Scholar] [CrossRef]
- Sfahani, M.; Guan, H.; Loo, Y.-C. Seismic reliability and risk assessment of structures based on fragility analysis–A review. Adv. Struct. Eng. 2015, 18, 1653–1669. [Google Scholar] [CrossRef]
- Hariri-Ardebili, M.A.; Nuss, L.K. Seismic risk prioritization of a large portfolio of dams: Revisited. Adv. Mech. Eng. 2018, 10, 1–20. [Google Scholar] [CrossRef]
- Kramer, S.L. Geotechnical Earthquake Engineering; Prentice Hall: New Jersey, NJ, USA, 1996; p. 673. [Google Scholar]
- Baker, J.W. An Introduction to Probabilistic Seismic Hazard Analysis (PSHA); White Paper, Version 1.3; Stanford University: Stanford, CA, USA, 2008; p. 72. [Google Scholar]
- Pailoplee, S.; Palasri, C. CU-PSHA: A Matlab software for probabilistic seismic hazard analysis. J. Earthq. Tsunami 2014, 8, 1450008. [Google Scholar] [CrossRef]
- Gutenberg, B.; Richter, C.F. Frequency of earthquakes in California. Bull. Seismol. Soc. Am. 1944, 34, 185–188. [Google Scholar] [CrossRef]
- Nahar, T.T.; Rahman, M.M.; Kim, D. PSHRisk-Tool: A python-based computational tool for developing site seismic hazard analysis and failure risk assessment of infrastructure. Appl. Sci. 2020, 10, 7487. [Google Scholar] [CrossRef]
- Bensoussan, A. Reliability index. In Optimal Control and Dynamic Games; Springer: Dordrecht, The Netherlands, 2005; pp. 311–317. [Google Scholar]
- ICOLD; CIGB. Risk Assessment in Dam Safety Management: A Reconnaissance of Benefits, Methods and Current Applications; International Comission of Large Dams: Paris, France, 2005; Volume 130, p. 276. [Google Scholar]
- Cao, A.-T.; Nahar, T.T.; Kim, D.; Choi, B. Earthquake risk assessment of concrete gravity dam by cumulative absolute velocity and response surface methodology. Earthq. Struct. 2019, 17, 511–519. [Google Scholar] [CrossRef]
- Rahman, M.M.; Nahar, T.T.; Kim, D. Seismic reliability assessment of calibrated concrete gravity dam using high-dimensional model representation and cornell’s approach: A case study. In Proceedings of the 2nd International Conference on Earthquake Engineering and Post Disaster Reconstruction Planning, Bhaktapur, Nepal, 25–27 April 2019; pp. 230–239. [Google Scholar]
- Chopra, A.K. Dynamics of Structures: Theory and Applications to Earthquake Engineering, 4th ed.; Prentice Hall: New Jersey, NJ, USA, 2011. [Google Scholar]
- Løkke, A. Earthquake Analysis of Concrete Gravity Dams: Review and Modernization of Two Analysis Procedures. Master’s Thesis, Norwegian University of Science and Technology, Trondheim, Norway, 2013. [Google Scholar]
- Wahalathantri, B.L.; Thambiratnam, D.; Chan, T.; Fawzia, S. A material model for flexural crack simulation in reinforced concrete elements using ABAQUS. In Proceedings of the 1st International Conference on Engineering, Designing and Developing the Built Environment for Sustainable Wellbeing, Jogjakarta, Indonesia, 27–29 May 2011; pp. 260–264. [Google Scholar]
- Birtel, V.; Mark, P. Parameterised finite element modelling of RC beam shear failure. In Proceedings of the ABAQUS Users’ Conference, Boston, MA, USA, 23–25 May 2006; pp. 95–108. [Google Scholar]
- Pavlović, M.; Marković, Z.; Veljković, M.; Buđevac, D. Bolted shear connectors vs. headed studs behaviour in push-out tests. J. Constr. Steel Res. 2013, 88, 134–149. [Google Scholar] [CrossRef]
- Cornelissen, H.; Hordijk, D.; Reinhardt, H. Experimental determination of crack softening characteristics of normalweight and lightweight. Heron 1986, 31, 45–46. [Google Scholar]
- Mirza, S.A.; MacGregor, J.G.; Hatzinikolas, M. Statistical descriptions of strength of concrete. J. Struct. Div. 1979, 105, 1021–1037. [Google Scholar] [CrossRef]
- Kuhl, D.; Bangert, F.; Meschke, G. Coupled chemo-mechanical deterioration of cementitious materials Part II: Numerical methods and simulations. Int. J. Solids Struct. 2004, 41, 41–67. [Google Scholar] [CrossRef]
- Gogoi, I.; Maity, D. Influence of sediment layers on dynamic behavior of aged concrete dams. J. Eng. Mech. 2007, 133, 400–413. [Google Scholar] [CrossRef]
- Gogoi, I.; Maity, D. Vulnerability of aged concrete gravity dams. In Proceedings of the World Conference on Earthquake Engineering, Vancouver, BC, Canada, 1–6 August 2004; p. 1839. [Google Scholar]
- Box, G.E.; Wilson, K.B. On the experimental attainment of optimum conditions. J. R. Stat. Soc. Series B (Methodological) 1951, 13, 1–38. [Google Scholar] [CrossRef]
- Habib, S. Optimization of machining parameters and wire vibration in wire electrical discharge machining process. Mech. Adv. Mater. Mod. Process. 2017, 3, 3. [Google Scholar] [CrossRef]
- Myers, R.H.; Montgomery, D.C.; Anderson-Cook, C.M. Response Surface Methodology: Process and Product Optimization using Designed Experiments, 3rd ed.; John Wiley & Sons: Hoboken, NJ, USA, 2016; p. 856. [Google Scholar]
- Cao, A.-T.; Tran, T.-T.; Nahar, T.T.; Kim, D. A Proposed Method for Inspecting and Predicting the Seismic Vulnerability of Dam Structures in Korea. In ICSCEA 2019; Springer: Gateway East, Singapore, 2020; pp. 1027–1035. [Google Scholar]
- Grigoli, F.; Cesca, S.; Rinaldi, A.P.; Manconi, A.; Lopez-Comino, J.A.; Clinton, J.; Westaway, R.; Cauzzi, C.; Dahm, T.; Wiemer, S. The november 2017 Mw 5.5 Pohang earthquake: A possible case of induced seismicity in South Korea. Science 2018, 360, 1003–1006. [Google Scholar] [CrossRef]
- Brincker, R.; Zhang, L.; Andersen, P. Modal identification from ambient responses using frequency domain decomposition. In Proceedings of the 18th International Modal Analysis Conference (IMAC), San Antoni, TX, USA, 7–10 February 2000; pp. 625–630. [Google Scholar]
- Ko, S.; Cho, S.G.; Kim, D.; Cui, J. Modal identification of cabinets of nuclear power plant based on experimental study. In Proceedings of the 35th Regular Academic Conference and Civil Expo, Gangwon, Korea, 21–23 October 2009; pp. 826–829. [Google Scholar]
- Shah, C. Mesh discretization error and criteria for accuracy of finite element solutions. In Proceedings of the 4th ASEAN ANSYS User Conference, Central Region, Singapore, 5–6 November 2002; p. 12. [Google Scholar]
- Mashayekhi, M.; Estekanchi, H.E.; Vafai, H.; Mirfarhadi, S.A. Development of hysteretic energy compatible endurance time excitations and its application. Eng. Struct. 2018, 177, 753–769. [Google Scholar] [CrossRef]
- Lapajne, J.K.; Fajfar, P. Seismic hazard reassessment of an existing NPP in Slovenia. Nucl. Eng. Des. 1997, 175, 215–226. [Google Scholar] [CrossRef][Green Version]
- Jayaram, N.; Lin, T.; Baker, J.W. A computationally efficient ground-motion selection algorithm for matching a target response spectrum mean and variance. Earthq. Spectra 2011, 27, 797–815. [Google Scholar] [CrossRef]
- Choun, Y.S.; Choi, I.K.; Ohtori, Y.; Shiba, Y.; Nakajima, M. Korea-Japan Joint Research on Development of Seismic Capacity Evaluation and Enhancement Technology Considering Near-Fault Effects; KAERI/RR-2688/2006; Korea Atomic Energy Research Institute: Daejeon, Korea, 2003; p. 164. [Google Scholar]
- Commission, U.N.R. A Performance-Based Approach to Define the Site-Specific Earthquake Ground Motion; Regulatory guide 1.208; U.S. Nuclear Regulatory Commission: North Bethesda, MD, USA, 2007; p. 24.
- Heo, Y.; Kunnath, S.K. Damage-based seismic performance evaluation of reinforced concrete frames. Earthq. Eng Struct. Dyn. 2013, 7, 175–182. [Google Scholar] [CrossRef]
- Jalayer, F.; Cornell, C.A. A Technical Framework for Probability-Based Demand and Capacity Factor (DCFD) Seismic Formats; PEER-2003/08; Pacific Earthquake Engineering Research Center: Berkeley, CA, USA, 2003; p. 106. [Google Scholar]
- Seo, J.M.; Choun, Y.S.; Choi, I.K. Reduction of Uncertainties in Probabilistic Seismic Hazard Analysis; KAERI/CR-65/99; Korea Atomic Energy Research Institute: Daejeon, Korea, 1999; p. 552. [Google Scholar]
- Cornell, C.A.; Banon, H.; Shakal, A.F. Seismic motion and response prediction alternatives. Earthq. Eng. Struct. Dyn. 1979, 7, 295–315. [Google Scholar] [CrossRef]
- FEMA. Prestandard and Commentary for the Seismic Rehabilitation of Buildings; FEMA 356; Federal Emergency Management Agency: Washington, DC, USA, 2000; p. 518.
Publisher’s Note: MDPI stays neutral with regard to jurisdictional claims in published maps and institutional affiliations. |
© 2021 by the authors. Licensee MDPI, Basel, Switzerland. This article is an open access article distributed under the terms and conditions of the Creative Commons Attribution (CC BY) license (http://creativecommons.org/licenses/by/4.0/).




















