Subjective Preferences and Discomfort Ratings of Backrest and Seat Pan Adjustments at Various Speeds
Abstract
1. Introduction
2. Method
2.1. Subjects
2.2. Apparatus
2.3. Analysis
3. Results
3.1. The Effect of the Adjustment Duration on Overall Discomfort
3.2. The Local Discomfort
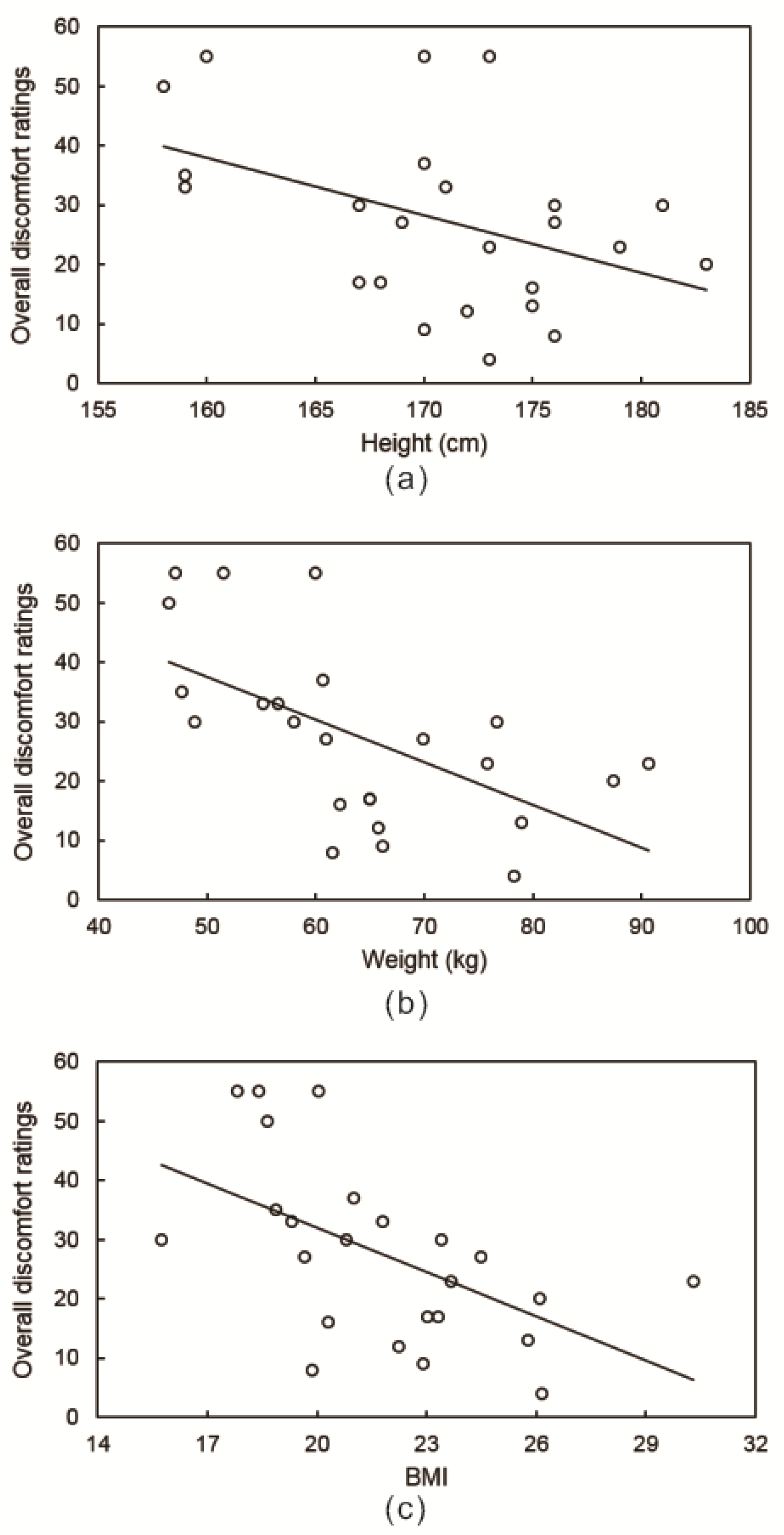
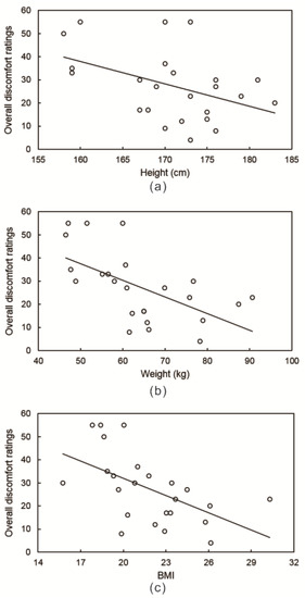
3.3. The Correlation between the Discomfort and the Physiological Parameters
4. Discussion
4.1. The Effect of the Seat Adjustment Movements on Overall Discomfort
4.2. Discomfort Rating and Preference
4.3. Local Discomfort
4.4. Differences between Individuals
4.5. Limitations
5. Conclusions
- The major subjects preferred the fast speed condition during the adjustment of the backrest inclined angle.
- The locations of the greatest discomfort occurred in the upper and lower back regions during adjustment of the backrest.
- The results could guide manufacturers and seat design with careful consideration of the adjustment speed.
Author Contributions
Funding
Institutional Review Board Statement
Informed Consent Statement
Data Availability Statement
Conflicts of Interest
References
- Groenesteijn, L.; Vink, P.; de Looze, M.; Krause, F. Effects of differences in office chair controls, seat and backrest angle design in relation to tasks. Appl. Ergon. 2009, 40, 362–370. [Google Scholar] [CrossRef]
- Vergara, M.; Page, Á. Relationship between comfort and back posture and mobility in sitting-posture. Appl. Ergon. 2002, 33, 1–8. [Google Scholar] [CrossRef]
- Fujimaki, G.; Noro, K. Sitting Comfort of Office Chair Design. In Proceedings of the 11th International Conference on Human-computer Interaction, Las Vegas, NV, USA, 22–27 July 2005. [Google Scholar]
- Hiemstra-van Mastrigt, S.; Groenesteijn, L.; Vink, P.; Kuijt-Evers, L.F. Predicting passenger seat comfort and discomfort on the basis of human, context and seat characteristics: A literature review. Ergonomics 2017, 60, 889–911. [Google Scholar] [CrossRef] [PubMed]
- Annett, J. Subjective rating scales in ergonomics: A reply. Ergonomics 2002, 45, 1042–1046. [Google Scholar] [CrossRef]
- Kolich, M.; Taboun, S.M. Ergonomics modelling and evaluation of automobile seat comfort. Ergonomics 2004, 47, 841–863. [Google Scholar] [CrossRef] [PubMed]
- Haynes, S.; Williams, K. Impact of seating posture on user comfort and typing performance for people with chronic low back pain. Int. J. Ind. Ergon. 2008, 38, 35–46. [Google Scholar] [CrossRef]
- Vanacore, A.; Lanzotti, A.; Percuoco, C.; Vitolo, B. Design and analysis of comparative experiments to assess the (dis-)comfort of aircraft seating. Appl. Ergon. 2019, 76, 155–163. [Google Scholar] [CrossRef] [PubMed]
- Wang, X.; Cardoso, M.; Theodorakos, I.; Beurier, G. A parametric investigation on seat/occupant contact forces and their relationship with initially perceived discomfort using a configurable seat. Ergonomics 2019, 62, 891–902. [Google Scholar] [CrossRef] [PubMed]
- Aissaoui, R.; Lacoste, M.; Dansereau, J. Analysis of sliding and pressure distribution during a repositioning of persons in a simulator chair. IEEE Trans. Neural. Syst. Rehabil. Eng. 2001, 9. [Google Scholar] [CrossRef]
- Sprigle, S.; Maurer, C.; Sorenblum, S.E. Load redistribution in variable position wheelchairs in people with spinal cord injury. J. Spinal Cord Med. 2010, 33, 58–64. [Google Scholar] [CrossRef] [PubMed]
- Chen, H.; Song, H.; Zhang, J.G.; Wang, F. Study on influence of back angle on human body pressure distribution. Adv. Mater. Res. 2013, 655–657, 2088–2092. [Google Scholar] [CrossRef]
- De, L.; Michiel, P.; Lottie, F.K.-E.; Van Dieen, J. Sitting comfort and discomfort and the relationships with objective measures. Ergonomics 2003, 46, 985–997. [Google Scholar] [CrossRef]
- Bogie, K.; Bader, D.L. The biomechanics of seating—An initial study. In International Series on Biomechanics; Free University: Amsterdam, The Netherlands, 1987; pp. 498–503. [Google Scholar]
- Shields, R.K.; Cook, T.M. Effect of seat angle and lumbar support on seated buttock pressure. Phys. Ther. 1988, 68, 1682–1686. [Google Scholar] [CrossRef] [PubMed]
- Henderson, J.L.; Price, S.H.; Brandstater, M.E.; Mandac, B.R. Efficacy of three measures to relieve pressure in seated persons with spinal cord injury. Arch. Phys. Med. Rehabil. 1994, 75, 535–539. [Google Scholar] [PubMed]
- Park, U.J.; Jang, S.H. The influence of backrest inclination on buttock pressure. Ann. Rehabli. Med. 2011, 35, 897–906. [Google Scholar] [CrossRef]
- Basri, B.; Griffin, M.J. The vibration of inclined backrests: Perception and discomfort of vibration applied normal to the back in the x-axis of the body. J. Sound Vib. 2011, 330, 4646–4659. [Google Scholar] [CrossRef]
- Basri, B.; Griffin, M.J. Equivalent comfort contours for vertical seat vibration: Effect of vibration magnitude and backrest inclination. Ergonomics 2012, 55, 909–922. [Google Scholar] [CrossRef] [PubMed]
- Paddan, G.S.; Mansfield, N.J.; Arrowsmith, C.I.; Rimell, A.N.; King, S.K.; Holmes, S.R. The influence of seat backrest angle on perceived discomfort during exposure to vertical whole-body vibration. Ergonomics 2012, 55, 923–936. [Google Scholar] [CrossRef] [PubMed][Green Version]
- Nawayseh, N. Effect of the seating condition on the transmission of vibration through the seat pan and backrest. Int. J. Ind. Ergon. 2015, 45, 82–90. [Google Scholar] [CrossRef]
- Basri, B.; Griffin, M.J. The vibration of inclined backrests: Perception and discomfort of vibration applied parallel to the back in the z-axis of the body. Ergonomics 2011, 54, 1214–1227. [Google Scholar] [CrossRef] [PubMed][Green Version]
- Howarth, H.V.C.; Griffin, M.J. Effect of reclining a seat on the discomfort from vibration and shock on fast boats. Ergonomics 2015, 58, 1151–1161. [Google Scholar] [CrossRef]
- Basri, B.; Griffin, M.J. Predicting discomfort from whole-body vertical vibration when sitting with an inclined backrest. Appl. Ergon. 2013, 44, 423–434. [Google Scholar] [CrossRef] [PubMed]
- Dunk, N.M.; Callaghan, J.P. Gender-based differences in postural responses to seated exposures. Clin. Biomech. (Bristol. Avon.) 2005, 20, 1101–1110. [Google Scholar] [CrossRef] [PubMed]
- Vos, G.A.; Congleton, J.J.; Moore, J.S.; Amendola, A.A.; Ringer, L. Postural versus chair design impacts upon interface pressure. Appl. Ergon. 2006, 37, 619–628. [Google Scholar] [CrossRef] [PubMed]
- Vink, P.; Lips, D. Sensitivity of the human back and buttocks: The missing link in comfort seat design. Appl. Ergon. 2017, 58, 287–292. [Google Scholar] [CrossRef] [PubMed]
- Na, S.; Lim, S.; Choi, H.-S.; Chung, M.K. Evaluation of driver’s discomfort and postural change using dynamic body pressure distribution. Int. J. Ind. Ergon. 2005, 35, 1085–1096. [Google Scholar] [CrossRef]
- Kyung, G.; Nussbaum, M.A.; Babski-Reeves, K. Driver sitting comfort and discomfort (part I): Use of subjective ratings in discriminating car seats and correspondence among ratings. Int. J. Ind. Ergon. 2008, 38, 516–525. [Google Scholar] [CrossRef]
- Jones, M.L.H.; Park, J.; Ebert-Hamilton, S.; Kim, K.H.; Reed, M.P. Effects of Seat and Sitter Dimensions on Pressure Distribution in Automotive Seats. SAE Technical. Paper Series. 2017. [Google Scholar] [CrossRef]
- Borg, E.; Borg, G. A comparison of AME and CR100 for scaling perceived exertion. Acta. Psychol. 2002, 109, 157–175. [Google Scholar] [CrossRef]
- Mansfield, N.; Sammonds, G.; Nguyen, L. Driver discomfort in vehicle seats—Effect of changing road conditions and seat foam composition. Appl. Ergon. 2015, 50, 153–159. [Google Scholar] [CrossRef] [PubMed]
- Huang, Y.; Li, D. An empirical category-ratio scale for evaluating the subjective intensity of noise based on the comparison of estimated magnitudes and categories. Appl. Acoust. 2020, 158. [Google Scholar] [CrossRef]
- Na, J.; Hong, J.; Jung, K.; Won, B.; Kim, J. Comparison of Muscle Activity in Young People and Seniors During Hip Adduction and Abduction Movements According to Backrest Angle. In Proceedings of the 20th Congress of the International Ergonomics Association (IEA 2018); Bagnara, S., Tartaglia, R., Albolino, S., Alexander, T., Fujita, Y., Eds.; Springer International Publishing: Cham, Switzerland, 2019; pp. 628–634. [Google Scholar]
- Parida, S.; Mallavarapu, S.; Abanteriba, S.; Franz, M.; Gruener, W. Seating Postures for Autonomous Driving Secondary Activities. In Innovation in Medicine and Healthcare Systems, and Multimedia; Chen, Y.-W., Zimmermann, A., Howlett, R.J., Jain, L.C., Eds.; Springer: Singapore, 2019; pp. 423–434. [Google Scholar]
- Viswanathan, M.; Jorgensen, M.J.; Kittusamy, N.K. Field evaluation of a continuous passive lumbar motion system among operators of earthmoving equipment. Int. J. Ind. Ergon. 2006, 36, 651–659. [Google Scholar] [CrossRef]
- Stevens, S.S. Psychophysics: Introduction to Its Perceptual, Neural and Social Prospects; John Wiley: New York, NY, USA, 1975. [Google Scholar]
- Vergara, M.; Page, Á. System to measure the use of the backrest in sitting-posture office tasks. Appl. Ergon. 2000, 31, 247–254. [Google Scholar] [CrossRef]
- Kolich, M. Repeatability, Reproducibility, and Validity of a New Method for Characterizing Lumbar Support in Automotive Seating. Hum. Factors 2009, 51, 193–207. [Google Scholar] [CrossRef] [PubMed]
- De Carvalho, D.E.; Callaghan, J.P. Spine Posture and Discomfort During Prolonged Simulated Driving With Self-Selected Lumbar Support Prominence. Hum. Factors 2015, 57, 976–987. [Google Scholar] [CrossRef] [PubMed]
- Kolich, M.; Taboun, S.M.; Mohamed, A.I. Electromyographic comparison of two lumbar support mechanisms intended for automotive seating applications. Proc. Inst. Mech. Eng. Part D J. Automob. Eng. 2001, 215, 771–777. [Google Scholar] [CrossRef]







| Gender | Item | Stature (cm) | Weight (kg) | BMI | Age |
|---|---|---|---|---|---|
| All Subjects | Mean | 171 | 64 | 22 | 23 |
| Std | 7 | 12 | 3 | 1 | |
| Minimum | 183 | 91 | 30 | 24 | |
| Maximum | 158 | 47 | 16 | 18 | |
| Male | Mean | 175 | 69 | 22 | 22 |
| Std | 4 | 13 | 4 | 2 | |
| Minimum | 167 | 49 | 16 | 18 | |
| Maximum | 183 | 91 | 30 | 24 | |
| Female | Mean | 167 | 59 | 21 | 23 |
| Std | 6 | 9 | 2 | 1 | |
| Minimum | 158 | 47 | 18 | 21 | |
| Maximum | 175 | 79 | 26 | 24 |
| Adjustment | Speed Conditions | Duration (s) | Speed |
|---|---|---|---|
| Backrest angle | Slow | 25 | 1.8°/s |
| Medium | 20 | 2.25°/s | |
| Fast | 15 | 3°/s | |
| Fore-and-aft position | Slow | 25 | 8.8 mm/s |
| Medium | 20 | 11 mm/s | |
| Fast | 15 | 14.7 mm/s |
| Adjustment Movement | Speed Condition | Median | Lower Quartile | Upper Quartile | IQR |
|---|---|---|---|---|---|
| Lying | Slow | 8 | 2.5 | 21.25 | 18.75 |
| Medium | 8 | 3 | 20 | 17 | |
| Fast | 7.5 | 1.3 | 20 | 18.7 | |
| Rising | Slow | 27 | 16.75 | 33.5 | 16.75 |
| Medium | 26 | 19.25 | 39 | 19.75 | |
| Fast | 21.5 | 14.5 | 32.5 | 18 | |
| Forward | Slow | 0.65 | 0 | 8 | 8 |
| Medium | 1 | 0 | 5 | 5 | |
| Fast | 1.25 | 0 | 5.25 | 5.25 | |
| Backward | Slow | 1.25 | 0 | 5.75 | 5.75 |
| Medium | 1.65 | 0 | 8 | 8 | |
| Fast | 1.3 | 0 | 4.5 | 4.5 |
| Adjustment | Slow | Medium | Fast | Total |
|---|---|---|---|---|
| Lying | 6 (25%) | 6 (25%) | 12 (50%) | 24 |
| Rising | 6 (25%) | 7 (29%) | 11 (46%) | 24 |
| Adjustment Movement | Speed Condition | Height | Weight | BMI |
|---|---|---|---|---|
| Lying | Slow | −0.161 | −0.428 * | −0.46 * |
| Medium | −0.337 | −0.304 | −0.216 | |
| Fast | −0.24 | −0.334 | −0.31 | |
| Rising | Slow | −0.434 * | −0.588 * | −0.547 * |
| Medium | −0.469 * | −0.269 | −0.137 | |
| Fast | −0.449 * | −0.437 * | −0.361 | |
| Forward | Slow | −0.12 | −0.33 | −0.362 |
| Medium | −0.104 | −0.26 | −0.274 | |
| Fast | −0.045 | −0.281 | −0.317 | |
| Backward | Slow | 0.033 | −0.121 | −0.178 |
| Medium | −0.11 | −0.131 | −0.168 | |
| Fast | 0.59 | −0.111 | −0.172 |
Publisher’s Note: MDPI stays neutral with regard to jurisdictional claims in published maps and institutional affiliations. |
© 2021 by the authors. Licensee MDPI, Basel, Switzerland. This article is an open access article distributed under the terms and conditions of the Creative Commons Attribution (CC BY) license (http://creativecommons.org/licenses/by/4.0/).
Share and Cite
Li, J.; Huang, Y. Subjective Preferences and Discomfort Ratings of Backrest and Seat Pan Adjustments at Various Speeds. Appl. Sci. 2021, 11, 1721. https://doi.org/10.3390/app11041721
Li J, Huang Y. Subjective Preferences and Discomfort Ratings of Backrest and Seat Pan Adjustments at Various Speeds. Applied Sciences. 2021; 11(4):1721. https://doi.org/10.3390/app11041721
Chicago/Turabian StyleLi, Jingdong, and Yu Huang. 2021. "Subjective Preferences and Discomfort Ratings of Backrest and Seat Pan Adjustments at Various Speeds" Applied Sciences 11, no. 4: 1721. https://doi.org/10.3390/app11041721
APA StyleLi, J., & Huang, Y. (2021). Subjective Preferences and Discomfort Ratings of Backrest and Seat Pan Adjustments at Various Speeds. Applied Sciences, 11(4), 1721. https://doi.org/10.3390/app11041721
