Large Eddy Simulation and Dynamic Mode Decomposition of Turbulent Mixing Layers
Abstract
1. Introduction
2. Large Eddy Simulation of Turbulent Mixing Layer and Dynamic Mode Decomposition
2.1. Freestream Parameters of the Turbulent Mixing Layer
2.2. Large Eddy Simulation Method
2.2.1. Computational Domain and the Original Grid
2.2.2. Boundary Conditions and Inlet Forcing
2.2.3. Mathematical Model and Numerical Method
2.2.4. Verification and Validation
2.3. Dynamic Mode Decomposition Method
3. Results and Discussions
3.1. Characteristics of the Turbulent Mixing Layer
3.1.1. Basic Characteristics of Turbulent Mixing Layer
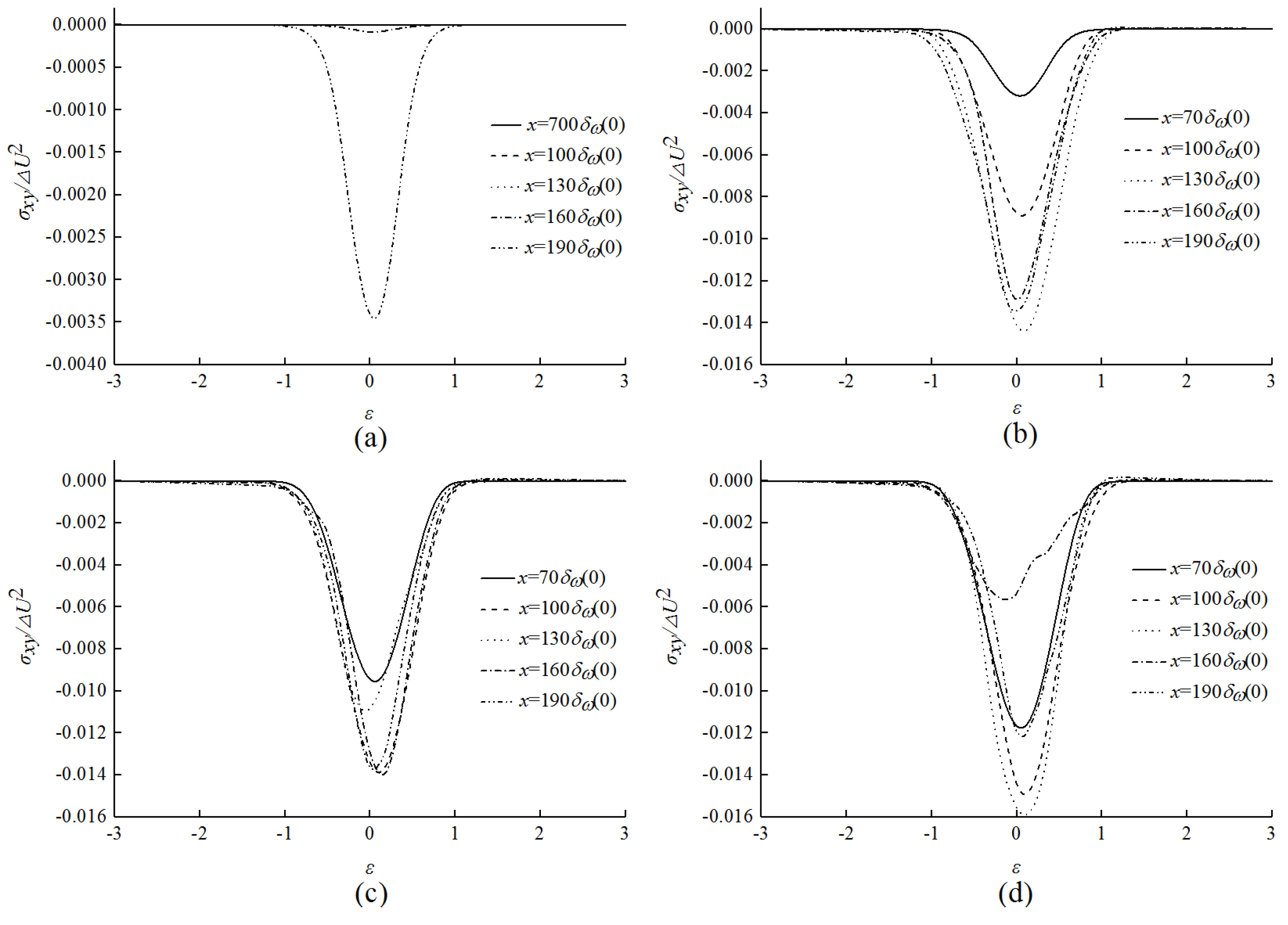
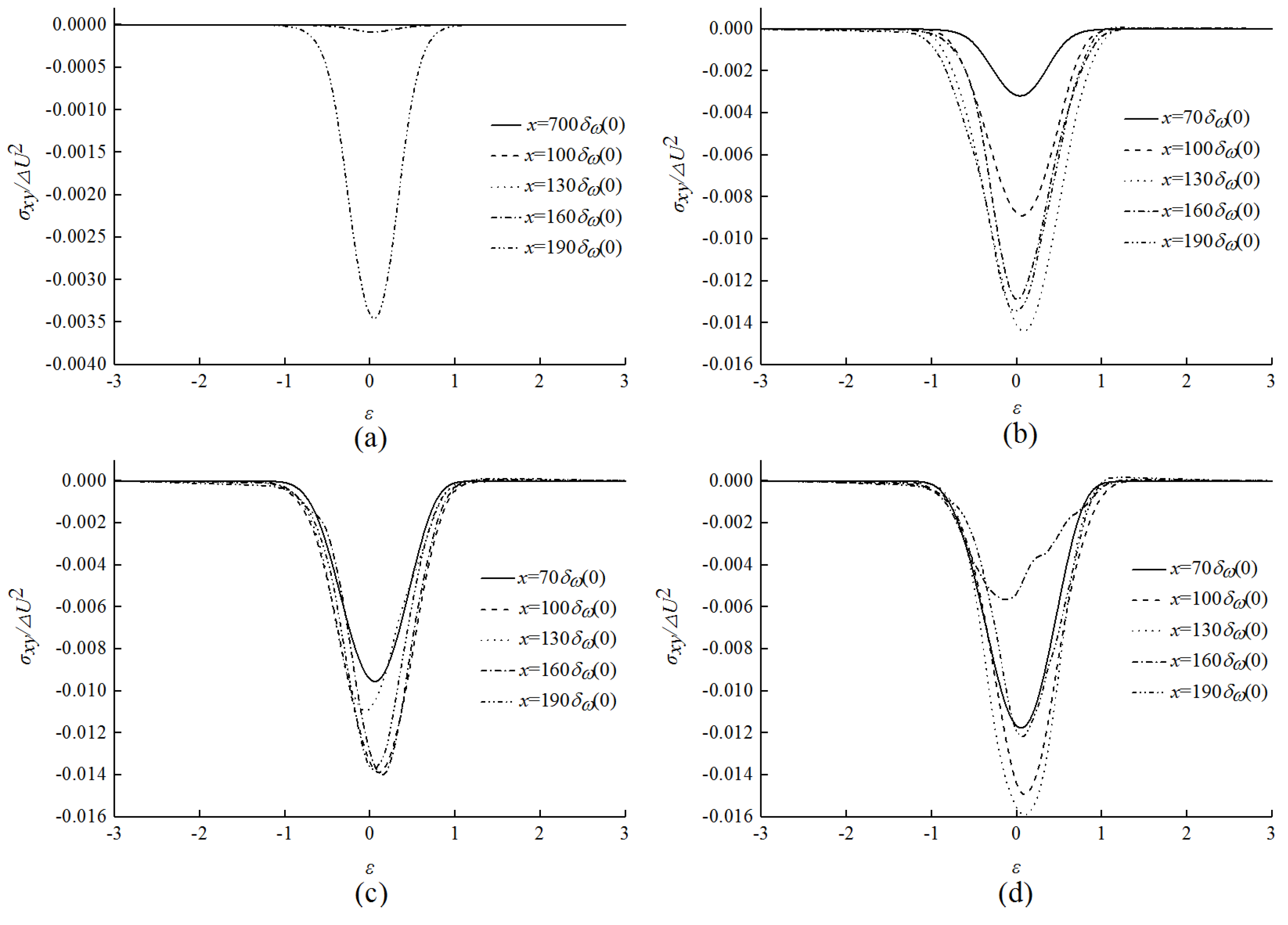
3.1.2. Influence of Inlet Disturbance on Turbulent Mixing Layer
3.2. Decomposition of Flow Field
3.2.1. DMD Analysis of Basic Case
3.2.2. DMD Analysis of Inlet Disturbance Characteristics
3.3. Reduced Order Reconstruction and Prediction of Flow Field
3.3.1. Reduced Order Reconstruction and Prediction of Basic Case
3.3.2. Influence of Dominant Mode Selection Method on Reduced Order Reconstruction and Prediction
3.3.3. Influence of Inlet Disturbance on Reduced Order Reconstruction and Prediction
4. Conclusions
Author Contributions
Funding
Institutional Review Board Statement
Informed Consent Statement
Data Availability Statement
Acknowledgments
Conflicts of Interest
References
- Ho, C.M.; Huerre, P. Perturbed free shear layers. Annu. Rev. Fluid Mech. 1984, 16, 365–424. [Google Scholar] [CrossRef]
- Dimotakis, P.E. Turbulent mixing. Annu. Rev. Fluid Mech. 2005, 37, 329–356. [Google Scholar] [CrossRef]
- Livescu, D. Turbulence with large thermal and compositional density variations. Annu. Rev. Fluid Mech. 2020, 52, 309–341. [Google Scholar] [CrossRef]
- McMullan, W.A.; Garrett, S.J. Initial condition effects on large scale structure in numerical simulations of plane mixing layers. Phys. Fluids 2016, 28, 015111. [Google Scholar] [CrossRef]
- Tan, J.; Li, H.; Noack, B.R. On the cavity-actuated supersonic mixing layer downstream a thick splitter plate. Phys. Fluids 2020, 32, 096102. [Google Scholar] [CrossRef]
- Zhang, D.; Tan, J.; Yao, X. Direct numerical simulation of spatially developing highly compressible mixing layer: Structural evolution and turbulent statistics. Phys. Fluids 2019, 31, 036102. [Google Scholar] [CrossRef]
- Baltzer, J.R.; Livescu, D. Variable-density effects in incompressible non-buoyant shear-driven turbulent mixing layers. J. Fluid Mech. 2020, 900, A16. [Google Scholar] [CrossRef]
- Ren, Z.; Wang, B.; Zheng, L. Numerical analysis on interactions of vortex, shock wave, and exothermal reaction in a supersonic planar shear layer laden with droplets. Phys. Fluids 2018, 30, 036101. [Google Scholar] [CrossRef]
- Chen, Q.; Wang, B. The spatial growth of supersonic reacting mixing layers: Effects of combustion mode. Aerosp. Sci. Technol. 2021, 116, 106888. [Google Scholar] [CrossRef]
- Brunton, S.L.; Noack, B.R.; Koumoutsakos, P. Machine learning for fluid mechanics. Annu. Rev. Fluid Mech. 2020, 52, 477–508. [Google Scholar] [CrossRef]
- Berkooz, G.; Holmes, A.P.; Lumley, J.L. The proper orthogonal decomposition in the analysis of turbulent flows. Annu. Rev. Fluid Mech. 2003, 25, 539–575. [Google Scholar] [CrossRef]
- Schmid, P.J. Dynamic mode decomposition of numerical and experimental data. J. Fluid Mech. 2010, 656, 5–28. [Google Scholar] [CrossRef]
- Duke, D.; Soria, J.; Honnery, D. An error analysis of the dynamic mode decomposition. Exp. Fluids 2012, 52, 529–542. [Google Scholar] [CrossRef]
- Bagheri, S. Effects of weak noise on oscillating flows: Linking quality factor, Floquet modes, and Koopman spectrum. Phys. Fluids 2014, 26, 094104. [Google Scholar] [CrossRef]
- Pan, C.; Xue, D.; Wang, J. On the accuracy of dynamic mode decomposition in estimating instability of wave packet. Exp. Fluids 2015, 56, 164. [Google Scholar] [CrossRef]
- Chen, K.K.; Tu, J.H.; Rowley, C.W. Variants of Dynamic Mode Decomposition: Boundary Condition, Koopman, and Fourier Analyses. J. Nonlinear Sci. 2012, 22, 887–915. [Google Scholar] [CrossRef]
- Jovanovic, M.R.; Schmid, P.J.; Nichols, J.W. Sparsity-promoting dynamic mode decomposition. Phys. Fluids 2014, 26, 024103. [Google Scholar] [CrossRef]
- Hemati, M.S.; Williams, M.O.; Rowley, C.W. Dynamic mode decomposition for large and streaming datasets. Phys. Fluids 2014, 26, 111701. [Google Scholar] [CrossRef]
- Hemati, M.S.; Rowley, C.W.; Deem, E.A.; Cattafesta, L.N. De-biasing the dynamic mode decomposition for applied Koopman spectral analysis of noisy datasets. Theor. Comput. Fluid Dyn. 2017, 31, 349–368. [Google Scholar] [CrossRef]
- Noack, B.R.; Stankiewicz, W.; Morzynski, M.; Schmid, P.J. Recursive dynamic mode decomposition of transient and post-transient wake flows. J. Fluid Mech. 2016, 809, 843–872. [Google Scholar] [CrossRef]
- Sayadi, T.; Schmid, P.J.; Richecoeur, F.; Durox, D. Parametrized data-driven decomposition for bifurcation analysis, with application to thermo-acoustically unstable systems. Phy. Fluids 2015, 27, 037102. [Google Scholar] [CrossRef]
- Kutz, J.N.; Fu, X.; Brunton, S.L. Multiresolution Dynamic Mode Decomposition. SIAM J. Appl. Dyn. Syst. 2016, 15, 713–735. [Google Scholar] [CrossRef]
- Gueniat, F.; Mathelin, L.; Pastur, L.R. A dynamic mode decomposition approach for large and arbitrarily sampled systems. Phys. Fluids 2015, 27, 025113. [Google Scholar] [CrossRef]
- Williams, M.O.; Kevrekidis, I.G.; Rowley, C.W. A Data-Driven Approximation of the Koopman Operator: Extending Dynamic Mode Decomposition. J. Nonlinear Sci. 2015, 25, 1307–1346. [Google Scholar] [CrossRef]
- Pirozzoli, S.; Bernardini, M.; Marie, S.; Grasso, F. Early evolution of the compressible mixing layer issued from two turbulent streams. J. Fluid Mech. 2015, 777, 196–218. [Google Scholar] [CrossRef][Green Version]
- Liu, Y.; Dong, M.; Fu, B.; Qiang, L.; Zhang, C. Direct numerical simulation of fine flow structures of subsonic-supersonic mixing layer. Aerosp. Sci. Technol. 2019, 95, 105431. [Google Scholar]
- Arote, A.; Bade, M.; Banerjee, J. On coherent structures of spatially oscillating planar liquid jet developing in a quiescent atmosphere. Phys. Fluids 2020, 32, 082111. [Google Scholar] [CrossRef]
- Ye, C.-C.; Zhang, P.-J.-Y.; Wan, Z.-H.; Sun, D.-J.; Lu, X.-Y. Numerical investigation of the bevelled effects on shock structure and screech noise in planar supersonic jets. Phys. Fluids 2020, 32, 086103. [Google Scholar] [CrossRef]
- Rao, S.M.V.; Karthick, S.K.; Anand, A. Elliptic supersonic jet morphology manipulation using sharp-tipped lobes. Phys. Fluids 2020, 32, 086107. [Google Scholar] [CrossRef]
- Ayyappan, D.; Kumar, A.S.; Vaidyanathan, A.; Nandakumar, K. Study on instability of circular liquid jets at subcritical to supercritical conditions using dynamic mode decomposition. Phys. Fluids 2020, 32, 014107. [Google Scholar] [CrossRef]
- Li, X.-R.; Zhang, X.-W.; Hao, P.-F.; He, F. Acoustic feedback loops for screech tones of underexpanded free round jets at different modes. J. Fluid Mech. 2020, 902, A17. [Google Scholar] [CrossRef]
- Montagnani, D.; Auteri, F. Non-modal analysis of coaxial jets. J. Fluid Mech. 2019, 872, 665–696. [Google Scholar] [CrossRef]
- Alenius, E. Mode switching in a thick orifice jet, an LES and dynamic mode decomposition approach. Comput. Fluids 2014, 90, 101–112. [Google Scholar] [CrossRef]
- Kalghatgi, P.; Acharya, S. Modal Analysis of Inclined Film Cooling Jet Flow. J. Turbomach. 2014, 136, 081007. [Google Scholar] [CrossRef]
- Liu, Q.; Luo, Z.; Deng, X.; Wang, L.; Zhou, Y. Numerical investigation on flow field characteristics of dual synthetic cold/hot jets using POD and DMD methods. Chin. J. Aeronaut. 2020, 33, 73–87. [Google Scholar] [CrossRef]
- De, A.K.; Sarkar, S. Three-dimensional wake dynamics behind a tapered cylinder with large taper ratio. Phys. Fluids 2020, 32, 063604. [Google Scholar] [CrossRef]
- Yin, G.; Ong, M.C. On the wake flow behind a sphere in a pipe flow at low Reynolds numbers. Phys. Fluids 2020, 32, 103605. [Google Scholar] [CrossRef]
- Kumar, P.; Tiwari, S. Effect of incoming shear on unsteady wake in flow past surface mounted polygonal prism. Phys. Fluids 2019, 31, 113607. [Google Scholar] [CrossRef]
- Parkin, D.J.; Thompson, M.C.; Sheridan, J. Numerical analysis of bluff body wakes under periodic open-loop control. J. Fluid Mech. 2014, 739, 94–123. [Google Scholar] [CrossRef]
- Loosen, S.; Meinke, M.; Schroeder, W. Numerical Investigation of Jet-Wake Interaction for a Dual-Bell Nozzle. Flow Turbul. Combust. 2020, 104, 553–578. [Google Scholar] [CrossRef]
- Alessandri, A.; Bagnerini, P.; Gaggero, M.; Lengani, D.; Simoni, D. Dynamic mode decomposition for the inspection of three-regime separated transitional boundary layers using a least squares method. Phys. Fluids 2019, 31, 044103. [Google Scholar] [CrossRef]
- Tong, F.; Li, X.; Duan, Y.; Yu, C. Direct numerical simulation of supersonic turbulent boundary layer subjected to a curved compression ramp. Phys. Fluids 2017, 29, 125101. [Google Scholar] [CrossRef]
- Priebe, S.; Tu, J.H.; Rowley, C.W.; Martin, M.P. Low-frequency dynamics in a shock-induced separated flow. J. Fluid Mech. 2016, 807, 441–477. [Google Scholar] [CrossRef]
- He, G.; Wang, J.; Pan, C. Initial growth of a disturbance in a boundary layer influenced by a circular cylinder wake. J. Fluid Mech. 2013, 718, 116–130. [Google Scholar] [CrossRef]
- Nichols, J.W.; Larsson, J.; Bernardini, M.; Pirozzoli, S. Stability and modal analysis of shock/boundary layer interactions. Theor. Comp. Fluid Dyn. 2017, 31, 33–50. [Google Scholar] [CrossRef]
- Waindim, M.; Agostini, L.; Larcheveque, L.; Adler, M.; Gaitonde, D.V. Dynamics of separation bubble dilation and collapse in shock wave/turbulent boundary layer interactions. Shock Waves 2020, 30, 63–75. [Google Scholar] [CrossRef]
- Garicano-Mena, J.; Li, B.; Ferrer, E.; Valero, E. A composite dynamic mode decomposition analysis of turbulent channel flows. Phys. Fluids 2019, 31, 115102. [Google Scholar] [CrossRef]
- Wang, P.; Deng, Y.; Liu, Y. Vortex dynamics during acoustic-mode transition in channel branches. Phys. Fluids 2019, 31, 085109. [Google Scholar]
- Le Clainche, S.; Izbassarov, D.; Rosti, M.; Brandt, L.; Tammisola, O. Coherent structures in the turbulent channel flow of an elastoviscoplastic fluid. J. Fluid Mech. 2020, 888, A5. [Google Scholar] [CrossRef]
- Gomez, F.; Blackburn, H.M.; Rudman, M.; McKeon, B.J.; Luhar, M.; Moarref, R.; Sharma, A.S. On the origin of frequency sparsity in direct numerical simulations of turbulent pipe flow. Phys. Fluids 2014, 26, 101703. [Google Scholar] [CrossRef]
- Gomez, F.; Blackburn, H.M.; Rudman, M.; Sharma, A.S.; McKeon, B.J. Streamwise-varying steady transpiration control in turbulent pipe flow. J. Fluid Mech. 2016, 796, 588–616. [Google Scholar] [CrossRef]
- Srinivasan, G.; Mahapatra, S.; Sinhamahapatra, K.P.; Ghosh, S. Dynamic mode decomposition of supersonic turbulent pipe flow with and without shock train. J. Turbul. 2020, 21, 1–16. [Google Scholar] [CrossRef]
- Kou, J.; Zhang, W. Dynamic mode decomposition with exogenous input for data-driven modeling of unsteady flows. Phys. Fluids 2019, 31, 057106. [Google Scholar]
- Naderi, M.H.; Eivazi, H.; Esfahanian, V. New method for dynamic mode decomposition of flows over moving structures based on machine learning (hybrid dynamic mode decomposition). Phys. Fluids 2019, 31, 127102. [Google Scholar] [CrossRef]
- Nair, A.G.; Strom, B.; Brunton, B.W.; Brunton, S.L. Phase-consistent dynamic mode decomposition from multiple overlapping spatial domains. Phys. Rev. Fluids 2020, 5, 074702. [Google Scholar] [CrossRef]
- Martha, C.S.; Blaisdell, G.A.; Lyrintzis, A.S. Large eddy simulations of 2-D and 3-D spatially developing mixing layers. Aerosp. Sci. Technol. 2013, 31, 59–72. [Google Scholar] [CrossRef]
- Uzun, A. 3-D large Eddy Simulation for Jet Aero Acoustics. Ph.D. Thesis, School of Aeronautics and Astronautics, Purdue University, West Lafayette, IN, USA, 2003. [Google Scholar]
- Fluent, A. Ansys Fluent User’s Guide; ANSYS Inc.: Canonsburg, PA, USA, 2021; Volume 15317. [Google Scholar]
- Wygnanski, I.; Fiedler, H.E. The two dimensional mixing region. J. Fluid Mech. 1970, 41, 327–361. [Google Scholar] [CrossRef]
- Jones, B.G.; Spencer, B.W. Statistical Investigation of Pressure and Velocity Fields in the Turbulent Two-Stream Mixing Layer; AIAA Paper: Palo Alto, CA, USA, 1971. [Google Scholar]
- Bell, J.H.; Mehta, R.D. Development of a two-stream mixing layer from tripped and untripped boundary layers. AIAA J. 1990, 28, 2034–2042. [Google Scholar] [CrossRef]
- Stanley, S.; Sarkar, S. Simulations of spatially developing two-dimensional shear layers and jets. Theor. Comput. Fluid Dyn. 1997, 9, 121–147. [Google Scholar] [CrossRef]
- Rowley, C.W.; Mezic, I.; Bagheri, S.; Schlatter, P.; Henningson, D.S. Spectral analysis of nonlinear flows. J. Fluid Mech. 2009, 641, 115–127. [Google Scholar] [CrossRef]
- Kou, J.; Zhang, W. An improved criterion to select dominant modes from dynamic mode decomposition. Eur. J. Mech.-B/Fluids 2017, 62, 109–129. [Google Scholar] [CrossRef]


















| Reference | ||||||
|---|---|---|---|---|---|---|
| - | 0.031 | 0.019 | 0.0225 | 0.009 | 0.19 | Wygnanski and Fiedler [59] |
| - | 0.036 | 0.014 | 0.0225 | 0.013 | 0.16 | Spencer and Jones [60] |
| 1800 | 0.032 | 0.020 | 0.022 | 0.010 | 0.163 | Bell and Mehta1 [61] |
| 720 | 0.040 | 0.084 | - | 0.023 | 0.15 | 2-D DNS: Stanley and Sarkar [62] |
| 720 | 0.048 | 0.078 | - | 0.012 | 0.15 | 2-D DNS: Uzun [57] |
| 720 | 0.044 | 0.080 | - | 0.015 | 0.17 | 2-D LES: Martha et al. [56] |
| 720 | 0.044 | 0.080 | 0.022 | 0.164 | Present 2-D LES single precision | |
| 720 | 0.053 | 0.076 | - | 0.024 | 0.173 | Present 2-D LES double precision |
| Parameter | Original (2-D LES) | NewTS (2-D LES) | Uzun [57] (2-D DNS) |
|---|---|---|---|
| ∆t(s) | 1 × 10−7 | 5 × 10−8 | 6 × 10−8 |
| Sampling time (FTCs) | 8 | 8 | 6 |
| Sampling frequency(∆t) | 1 | 1 | 1 |
| Number of samples | 28,000 | 56,000 | 35,000 |
| 0.055 | 0.055 | 0.050 | |
| 0.002 | 0.002 | 0.013 | |
| 0.010 | 0.008 | 0.034 | |
| 0.023 | 0.020 | 0.042 | |
| 0.043 | 0.042 | 0.0490 | |
| 0.049 | 0.042 | 0.046 | |
| 0.002 | 0.001 | 0.027 | |
| 0.032 | 0.023 | 0.051 | |
| 0.047 | 0.047 | 0.071 | |
| 0.057 | 0.053 | 0.078 | |
| 0.069 | 0.076 | 0.080 | |
| 0.001 | 0.001 | 0.008 | |
| 0.009 | 0.009 | 0.015 | |
| 0.007 | 0.006 | 0.014 | |
| 0.020 | 0.021 | 0.009 | |
| 0.012 | 0.015 | 0.011 |
| Case | Optimized: △x, △y | △x, △y/2 | △x/2, △y | △x/1.414, △y/1.414 | △x/2, △y/2 | Uzun [57] (2-D DNS) | |
|---|---|---|---|---|---|---|---|
| 0.168 | 0.160 | 0.158 | 0.155 | 0.154 | 0.150 | ||
| peak | x location | ||||||
| 0.002 | 0.004 | 0.003 | 0.003 | 0.004 | 0.013 | ||
| 0.011 | 0.014 | 0.011 | 0.011 | 0.013 | 0.034 | ||
| 0.028 | 0.037 | 0.038 | 0.032 | 0.039 | 0.042 | ||
| 0.046 | 0.033 | 0.037 | 0.041 | 0.039 | 0.0490 | ||
| 0.036 | 0.041 | 0.037 | 0.042 | 0.043 | 0.046 | ||
| 0.002 | 0.006 | 0.003 | 0.004 | 0.005 | 0.027 | ||
| 0.033 | 0.039 | 0.039 | 0.040 | 0.042 | 0.051 | ||
| 0.049 | 0.053 | 0.048 | 0.048 | 0.048 | 0.071 | ||
| 0.059 | 0.074 | 0.075 | 0.068 | 0.077 | 0.078 | ||
| 0.078 | 0.075 | 0.080 | 0.077 | 0.081 | 0.080 | ||
| 0.002 | 0.004 | 0.002 | 0.003 | 0.004 | 0.008 | ||
| 0.009 | 0.007 | 0.009 | 0.008 | 0.008 | 0.015 | ||
| 0.010 | 0.017 | 0.015 | 0.015 | 0.014 | 0.014 | ||
| 0.017 | 0.008 | 0.0121 | 0.012 | 0.012 | 0.009 | ||
| 0.014 | 0.010 | 0.008 | 0.014 | 0.012 | 0.011 |
| Reference | ||||||
|---|---|---|---|---|---|---|
| 720 | 0.053 | 0.076 | - | 0.024 | 0.173 | Present 2-D LES, double precision |
| 720 | 0.043 | 0.047 | 0.021 | 0.020 | 0.186 | Present 3-D LES, double precision |
| DMD Mode | Singular Value | Growth Rate | Frequency (Hz) |
|---|---|---|---|
| 1 | 1.05 × 106 | 0 | 0 |
| 2 | 20,410 | −1296 | 10,303 |
| 3 | 20,286 | −1296 | −10,303 |
| 4 | 18,143 | 412 | 18,042 |
| 5 | 17,992 | 412 | −18,042 |
| 6 | 16,831 | 332 | 30,735 |
| 7 | 16,278 | 332 | −30,735 |
| 8 | 13,751 | −1489 | 37,777 |
| 9 | 12,923 | −1489 | −37,777 |
| 10 | 12,442 | −0.1273 | 48,441 |
| DMD Mode | Singular Malue | Growth Rate | Frequency (Hz) |
|---|---|---|---|
| 1 | 31,611 | 1756 | 386,176 |
| 2 | 31,266 | 1756 | −386,176 |
| 3 | 24,985 | 2084 | 323,111 |
| 4 | 24,734 | 2084 | −323,111 |
| 5 | 21,943 | 1054 | 314,746 |
| 6 | 21,916 | 1054 | −314,746 |
| 7 | 19,192 | −1027 | 304,800 |
| 8 | 19,113 | −1027 | −304,800 |
| 9 | 16,153 | −1970 | 296,576 |
| 10 | 16,107 | −1970 | −296,576 |
| DMD Mode | Singular Value | Growth Rate | Frequency (Hz) |
|---|---|---|---|
| 1 | 1.01 × 109 | −9 | 0 |
| 2 | 1.13 × 108 | −240 | 10,685 |
| 3 | 1.13 × 108 | −240 | −10,685 |
| 4 | 1.07 × 108 | −526 | 18,455 |
| 5 | 1.07 × 108 | −526 | −18,455 |
| 6 | 1.01 × 108 | −387 | 28,517 |
| 7 | 1.01 × 108 | −387 | −28,517 |
| 8 | 9.87 × 107 | −2511 | 38,781 |
| 9 | 9.83 × 107 | −2511 | −38,781 |
| 10 | 8.80 × 107 | −1492 | 499,197 |
Publisher’s Note: MDPI stays neutral with regard to jurisdictional claims in published maps and institutional affiliations. |
© 2021 by the authors. Licensee MDPI, Basel, Switzerland. This article is an open access article distributed under the terms and conditions of the Creative Commons Attribution (CC BY) license (https://creativecommons.org/licenses/by/4.0/).
Share and Cite
Cheng, Y.; Chen, Q. Large Eddy Simulation and Dynamic Mode Decomposition of Turbulent Mixing Layers. Appl. Sci. 2021, 11, 12127. https://doi.org/10.3390/app112412127
Cheng Y, Chen Q. Large Eddy Simulation and Dynamic Mode Decomposition of Turbulent Mixing Layers. Applied Sciences. 2021; 11(24):12127. https://doi.org/10.3390/app112412127
Chicago/Turabian StyleCheng, Yuwei, and Qian Chen. 2021. "Large Eddy Simulation and Dynamic Mode Decomposition of Turbulent Mixing Layers" Applied Sciences 11, no. 24: 12127. https://doi.org/10.3390/app112412127
APA StyleCheng, Y., & Chen, Q. (2021). Large Eddy Simulation and Dynamic Mode Decomposition of Turbulent Mixing Layers. Applied Sciences, 11(24), 12127. https://doi.org/10.3390/app112412127
