Experimental Study on the Heat Transfer Performance of Pump-Assisted Capillary Phase-Change Loop
Abstract
:Featured Application
Abstract
1. Introduction
2. Experimental System
2.1. Experimental Apparatus
2.2. Measurement and Uncertainty
3. Results
3.1. Start-Up Characteristics
3.2. Steady-State Heat Transfer Characteristics
3.2.1. Baseplate Temperature
3.2.2. Heat Transfer Characteristics
3.2.3. Regime Map of Different Heat Transfer Modes
4. Conclusions
- (1)
- There was no temperature fluctuation in the starting process under various liquid-vapor pressure differences and powers, indicating that the pump-assisted capillary phase-change loop overcame the two-phase flow instability. There were four modes of heat transfer, including flooded, partially flooded, thin-film evaporation, and overheating. It took the shortest time (i.e., within 100 s) to start in thin-film evaporation mode, while it took more than 500 s in the other three modes.
- (2)
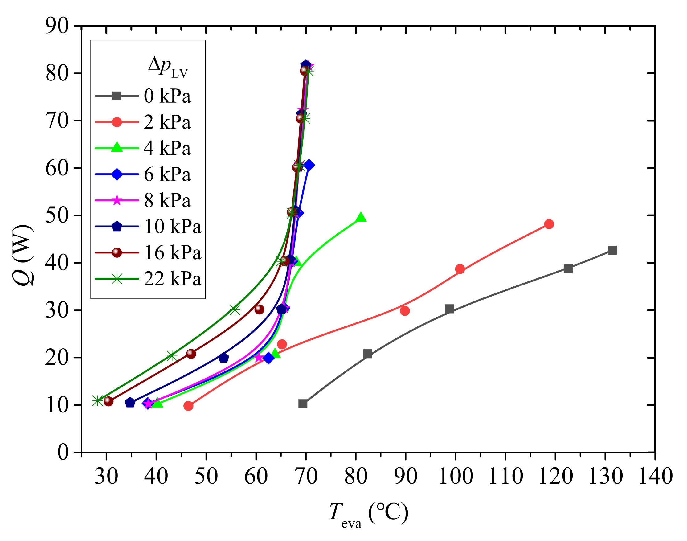
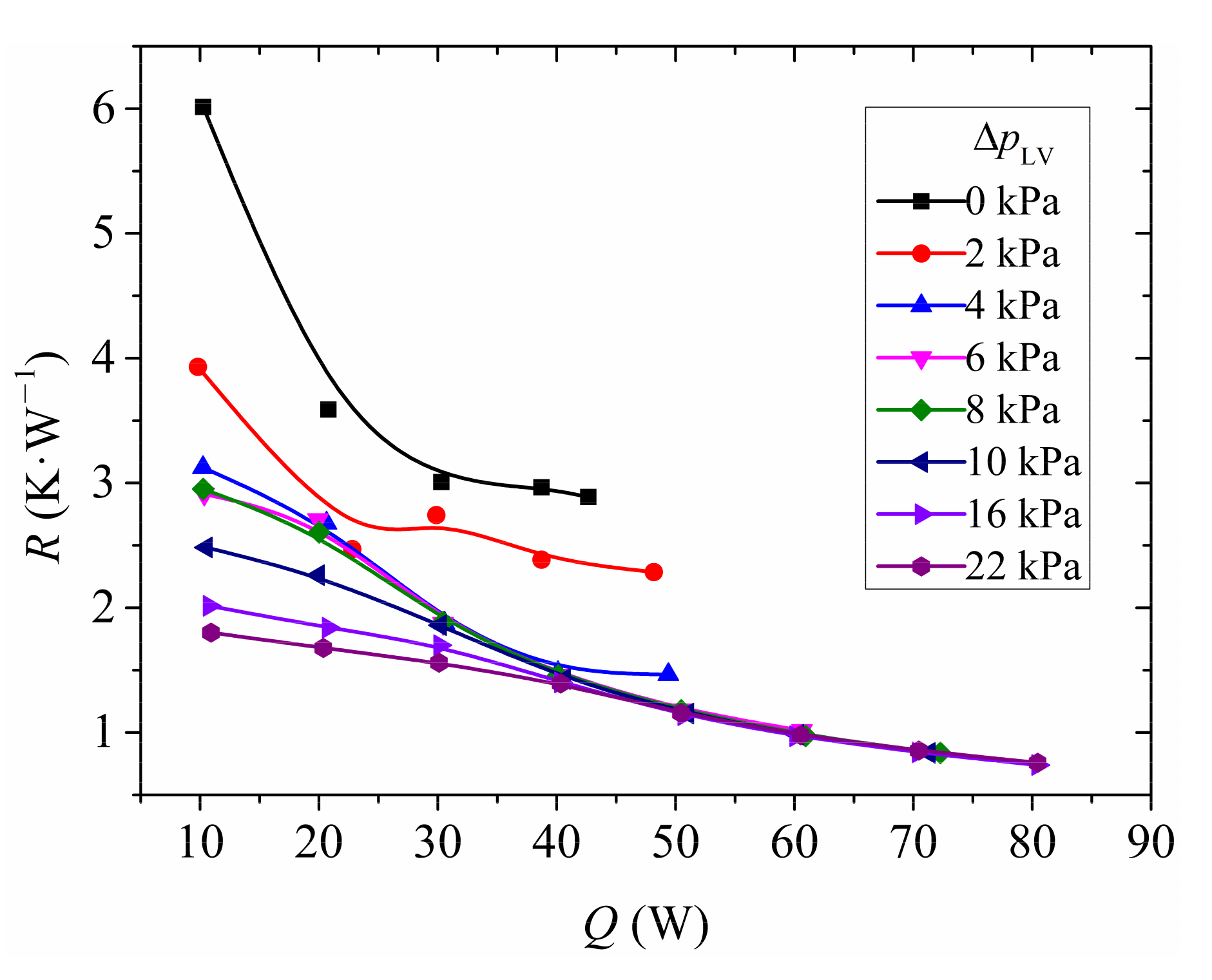
- Both liquid-vapor pressure difference and power were not only important to the heat transfer modes, but also determined the steady-state heat transfer performance of the phase-change loop. The heat transfer coefficient could be significantly improved and the thermal resistance reduced by increasing liquid-vapor pressure as long as it did not exceed 8 kPa. For instance, if the liquid-vapor pressure difference increased from 0 to 8 kPa while the heating power remained at 30 W, the heat transfer coefficient could be improved by nearly 27 times and the thermal resistance reduced by 37%. When the liquid-vapor pressure difference exceeded 8 kPa, the temperature power curve and thermal resistance power curve fairly coincided under high heating power. At that time, if the liquid-vapor pressure differential continued to increase, the heat transfer enhancement effect decreased and more pumping power resulted.
- (3)
- The thin-film evaporation mode with the maximum heat transfer efficiency was the most desirable heat transfer state in engineering applications. A two-dimensional heat transfer mode distribution diagram depicting both liquid-vapor pressure difference and heating power was created after a number of experiments. The thin-film evaporation mode was between flooded/partially flooded and overheating in the shape of a horn. During engineering applications, the difference in liquid-vapor pressure could be controlled to maintain efficient thin-film evaporation at the baseplate of the evaporator to achieve the optimum heat dissipation effect.
- (4)
- The capillary wick is a core part of the evaporator. Therefore, capillary wick material and its primary performance parameters (pore size, porosity, and permeability), as well as the type of its adhesion to the baseplate—which has an important effect on the heat transfer performance of the phase change loop—deserve in-depth and systematic research in the future.
Author Contributions
Funding
Conflicts of Interest
References
- Kandlikar, S.G. Fundamental issues related to flow boiling in minichannels and microchannels. Exp. Therm. Fluid Sci. 2002, 26, 389–407. [Google Scholar] [CrossRef]
- Mudawar, I. Assessment of high-heat-flux thermal management schemes. IEEE Trans. Compon. Packag. Technol. 2001, 24, 122–141. [Google Scholar] [CrossRef]
- Maydanik, Y.F.; Chernysheva, M.A.; Pastukhov, V.G. Review: Loop heat pipes with flat evaporators. Appl. Therm. Eng. 2014, 67, 294–307. [Google Scholar] [CrossRef]
- Chen, P.C.; Lin, W.K. The application of capillary pumped loop for cooling of electronic components. Appl. Therm. Eng. 2001, 21, 1739–1754. [Google Scholar] [CrossRef]
- Miyazaki, Y.; Oshima, S.; Furukawa, M.; Imai, R. Pump-assisted heat pipe system. In Proceedings of the 23rd Thermophysics, Plasmadynamics and Lasers Conference, Antonio, TX, USA, 27–29 June 1988. [Google Scholar]
- Lee, J.; Mudawar, I. Fluid flow and heat transfer characteristics of low temperature two-phase micro-channel heat sinks – Part 2. Subcooled boiling pressure drop and heat transfer. Int. J. Heat Mass Transf. 2008, 51, 4327–4341. [Google Scholar] [CrossRef]
- An, Z.J.; Li, J.; Li, X.J.; Ding, Y. Experimental investigation on lithium-ion battery thermal management based on flow boiling in mini-channel. Appl. Therm. Eng. 2017, 117, 534–543. [Google Scholar] [CrossRef]
- Revellin, R.; Thome, J.R. A theoretical model for the prediction of the critical heat flux in heated microchannels. Int. J. Heat Mass Transf. 2008, 51, 1216–1225. [Google Scholar] [CrossRef]
- Thome, J.R.; Dupont, V.; Jacobi, A.M. Heat transfer model for evaporation in microchannels. Part I: Presentation of the model. Int. J. Heat Mass Transf. 2004, 47, 3375–3385. [Google Scholar] [CrossRef]
- Dupont, V.; Thome, J.R.; Jacobi, A.M. Heat Transfer Model for Evaporation in Microchannels, Part II: Comparison with the Database. Int. J. Heat Mass Transf. 2004, 47, 3387–3401. [Google Scholar] [CrossRef]
- Dupont, V.; Thome, J.R. Evaporation in Microchannels: Influence of the Channel Diameter on Heat Transfer. Microfluid. Nanofluidics 2005, 1, 119–127. [Google Scholar] [CrossRef]
- Alam, T.; Lee, P.S.; Yap, C.R. Investigation of flow boiling instabilities in silicon microgap heat sink. In Proceedings of the IEEE 14th Electronics Packaging Technology Conference (EPTC), Singapore, 5–7 December 2012. [Google Scholar]
- Alam, T.; Lee, P.S.; Yap, C.R.; Jin, L. A comparative study of flow boiling heat transfer and pressure drop characteristics in microgap and microchannel heat sink and an evaluation of microgap heat sink for hotspot mitigation. Int. J. Heat Mass Transf. 2013, 58, 335–347. [Google Scholar] [CrossRef]
- Ding, Y.; Kakac, S.; Chen, X.J. Dynamic instabilities of boiling two-phase flow in a single horizontal channel. Exp. Therm. Fluid Sci. 1995, 11, 327–342. [Google Scholar] [CrossRef]
- Yu, Z.T.; Tan, S.C.; Yuan, H.S.; Cheng, C.; Chen, X.B. Experimental investigation on flow instability of forced circulation in a mini-rectangular channel under rolling motion. Int. J. Heat Mass Transf. 2016, 92, 732–743. [Google Scholar] [CrossRef]
- Wu, H.Y.; Cheng, P. Boiling instability in parallel silicon microchannels at different heat flux. Int. J. Heat Mass Transf. 2004, 47, 3631–3641. [Google Scholar] [CrossRef]
- Kuang, Y.W.; Wang, W.; Miao, J.Y.; Zhang, H.X.; Yu, X.G. Non-linear analysis of nitrogen pressure drop instability in micro/mini-channels. Int. J. Heat Mass Transf. 2020, 147, 118953.1–118953.13. [Google Scholar] [CrossRef]
- Wang, G.; Cheng, P.; Wu, H.Y. Unstable and stable flow boiling in parallel microchannels and in a single microchannel. Int. J. Heat Mass Transf. 2007, 50, 4297–4310. [Google Scholar] [CrossRef]
- Huang, H.; Pan, L.M.; Yan, R.G. Flow characteristics and instability analysis of pressure drop in parallel multiple microchannels. Appl. Therm. Eng. 2018, 142, 184–193. [Google Scholar] [CrossRef]
- Drummond, K.P.; Weibel, J.A.; Garimella, S.V. Experimental study of flow boiling in a compact hierarchical manifold microchannel heat sink array. In Proceedings of the 33rd IEEE Thermal Measurement, Modeling and Management Symposium, San Jose, CA, USA, 13–17 March 2017; pp. 139–143. [Google Scholar] [CrossRef]
- Drummond, K.P.; Back, D.; Sinanis, M.D.; Janes, D.B.; Peroulis, D.; Weibel, J.A.; Garimella, S.V. Characterization of hierarchical manifold microchannel heat sink arrays under simultaneous background and hotspot heating conditions. Int. J. Heat Mass Transf. 2018, 126, 1289–1301. [Google Scholar] [CrossRef] [Green Version]
- Deng, D.X.; Zeng, L.; Sun, W. A review on flow boiling enhancement and fabrication of enhanced microchannels of microchannel heat sinks. Int. J. Heat Mass Transf. 2021, 175, 121332. [Google Scholar] [CrossRef]
- Kandlikar, S.G. History, advances, and challenges in liquid flow and flow boiling heat transfer in microchannels: A critical review. ASME J. Heat Transf. 2012, 134, 034001. [Google Scholar] [CrossRef]
- Mao, N.; Zhuang, J.J.; He, T.B.; Song, M.J. A critical review on measures to suppress flow boiling instabilities in microchannels. Heat Mass Transf. 2021, 6, 1–22. [Google Scholar] [CrossRef]
- Mukherjee, A.; Kandlikar, S.G. Numerical study of the effect of inlet constriction on flow boiling stability in microchannels. In Proceedings of the ASME 3rd International Conference on Microchannels and Minichannels, Toronto, ON, Canada, 13–15 June 2005. [Google Scholar]
- Vutha, A.K.; Rao, S.R.; Houshmand, F.; Peles, Y. Active control of flow boiling oscillation amplitude and frequency using a transverse jet in crossflow. Appl. Phys. Lett. 2016, 108, 134104. [Google Scholar] [CrossRef]
- Sourtiji, E.; Peles, Y. Flow boiling in microchannel with synthetic jet in cross-flow. Int. J. Heat Mass Transf. 2020, 147, 119023. [Google Scholar] [CrossRef]
- Moffat, R.J. Describing the uncertainties in experimental results. Exp. Therm. Fluid Sci. 1988, 1, 3–17. [Google Scholar] [CrossRef] [Green Version]








| Parameter | Unit | Value |
|---|---|---|
| Boiling point | °C | 64.7 |
| Freezing | °C | −97.8 |
| Kinematic viscosity | mPa·s | 0.59 |
| Latent heat | kJ/kg | 1109 |
| Surface tension | mN/m | 22.6 |
| Specific heat capacity | kJ/kg·K | 2.51 |
| Density | kg/m3 | 792 |
| Components | Parts | Material | Dimensions |
|---|---|---|---|
| Evaporator | Baseplate | Copper | Overall size: 36 × 30 × 2 mm3 Vapor channel size: 1 × 1 × 23 mm3 Vapor channel number: 11 |
| Wick | Sintered nickel powder | Overall size: 23 × 23 × 5 mm3 Particle size: 20 μm Pore-forming agent content: 15 wt% Porosity: 33% Permeability: 2.99 × 10−11 Average pore size: 2 μm | |
| Compensation chamber | Polycarbonate | 60 × 20 × 12 mm3 (inner) | |
| Heater | Substrate | Silicon | Active heating area: 20 × 20 mm2 Resistance: 50 Ω |
| Parameter | Unit | Value |
|---|---|---|
| Inlet liquid temperature, Tcc | °C | 10 |
| Heat sink temperature, Tsink | °C | 5 |
| Heating power, Q | W | 10~80 |
| Heat flux, q | W/cm2 | 2.5~20 |
| Liquid-vapor pressure difference, | kPa | 0~22 |
Publisher’s Note: MDPI stays neutral with regard to jurisdictional claims in published maps and institutional affiliations. |
© 2021 by the authors. Licensee MDPI, Basel, Switzerland. This article is an open access article distributed under the terms and conditions of the Creative Commons Attribution (CC BY) license (https://creativecommons.org/licenses/by/4.0/).
Share and Cite
Yang, X.; Wang, G.; Zhang, C.; Liu, J.; Wei, J. Experimental Study on the Heat Transfer Performance of Pump-Assisted Capillary Phase-Change Loop. Appl. Sci. 2021, 11, 10954. https://doi.org/10.3390/app112210954
Yang X, Wang G, Zhang C, Liu J, Wei J. Experimental Study on the Heat Transfer Performance of Pump-Assisted Capillary Phase-Change Loop. Applied Sciences. 2021; 11(22):10954. https://doi.org/10.3390/app112210954
Chicago/Turabian StyleYang, Xiaoping, Gaoxiang Wang, Cancan Zhang, Jie Liu, and Jinjia Wei. 2021. "Experimental Study on the Heat Transfer Performance of Pump-Assisted Capillary Phase-Change Loop" Applied Sciences 11, no. 22: 10954. https://doi.org/10.3390/app112210954
APA StyleYang, X., Wang, G., Zhang, C., Liu, J., & Wei, J. (2021). Experimental Study on the Heat Transfer Performance of Pump-Assisted Capillary Phase-Change Loop. Applied Sciences, 11(22), 10954. https://doi.org/10.3390/app112210954

