Comparison of PM2.5 in Seoul, Korea Estimated from the Various Ground-Based and Satellite AOD
Abstract
:1. Introduction
2. Data Description
3. Methodology
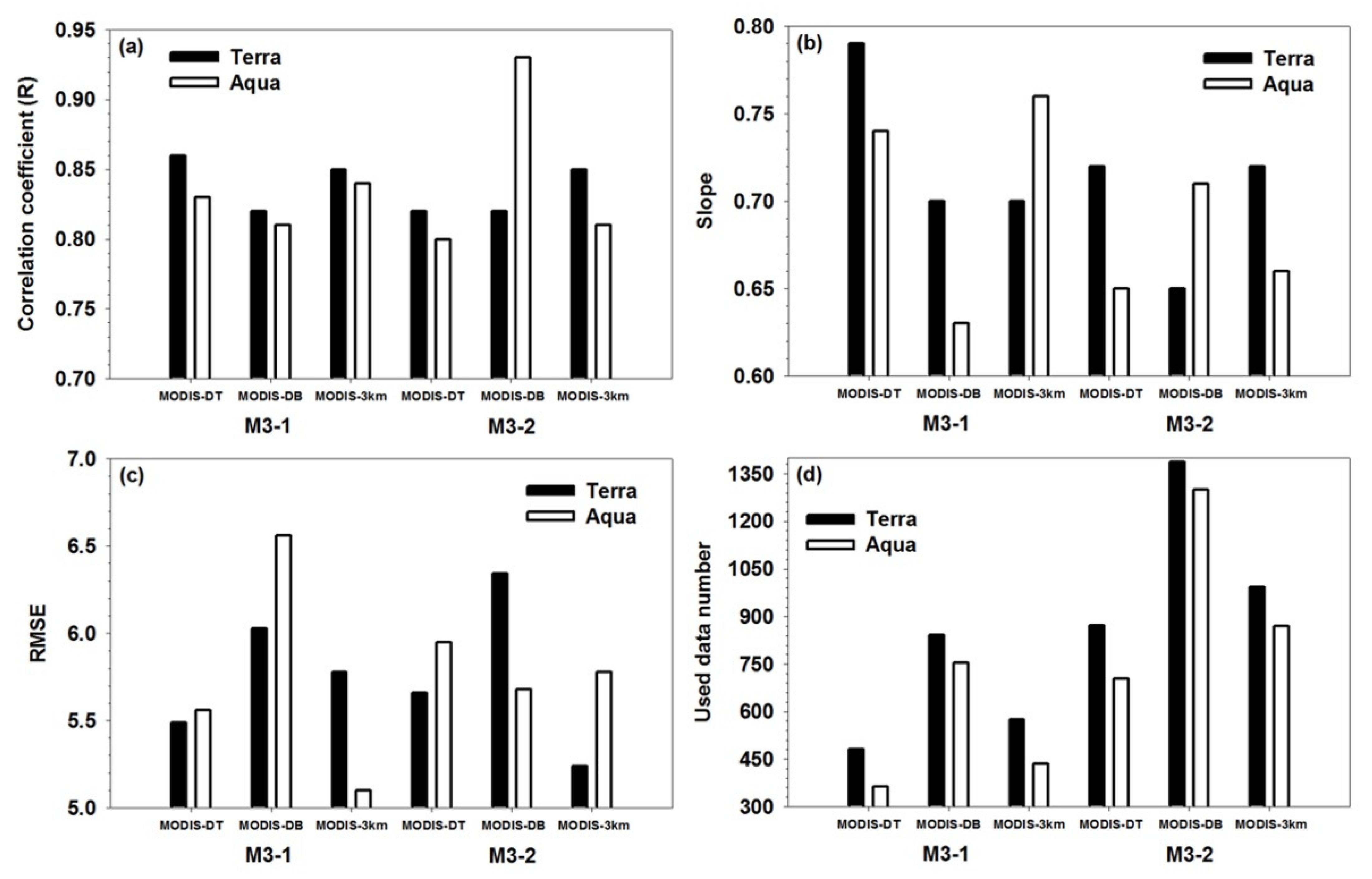
4. Results and Discussions
5. Summary and Conclusions
Author Contributions
Funding
Institutional Review Board Statement
Informed Consent Statement
Data Availability Statement
Acknowledgments
Conflicts of Interest
References
- Shin, J.; Park, J.Y.; Choi, J. Long-term exposure to ambient air pollutants and mental health status: A nationwide population-based cross-sectional study. PLoS ONE 2018, 13, e0195607. [Google Scholar] [CrossRef] [PubMed] [Green Version]
- Chu, Y.; Liu, Y.; Li, X.; Liu, Z.; Lu, H.; Lu, Y.; Mao, Z.; Chen, X.; Li, N.; Ren, M.; et al. A Review on Predicting Ground PM2.5 Concentration Using Satellite Aerosol Optical Depth. Atmosphere 2016, 7, 129. [Google Scholar] [CrossRef] [Green Version]
- Zhang, W.; Xu, H.; Zheng, F. Aerosol Optical Depth Retrieval over East Asia Using Himawari-8/AHI Data. Remote Sens. 2018, 10, 137. [Google Scholar] [CrossRef] [Green Version]
- Park, S.; Shin, M.; Im, J.; Song, C.K.; Choi, M.; Kim, J.; Lee, S.; Park, R.; Kim, J.; Lee, D.W.; et al. Estimation of ground-level particulate matter concentrations through the synergistic use of satellite observations and process-based models over South Korea. Atmos. Chem. Phys. 2019, 19, 1097–1113. [Google Scholar] [CrossRef] [Green Version]
- Lee, A.; Jeong, S.; Joo, J.; Park, C.-R.; Kim, J.; Kim, S. Potential role of urban forest in removing PM2.5: A case study in Seoul by deep learning with satellite data. Urban Clim. 2021, 36, 100795. [Google Scholar] [CrossRef]
- Park, Y.; Kwon, B.; Heo, J.; Hu, X.; Liu, Y.; Moon, T. Estimating PM2.5 concentration of the conterminous United States via interpretable convolutional neural networks. Environ. Pollut. 2020, 256, 113395. [Google Scholar] [CrossRef]
- Park, S.; Lee, J.; Im, J.; Song, C.K.; Choi, M.; Kim, J.; Lee, S.; Park, R.; Kim, S.M.; Yoon, J.; et al. Estimation of spatially continuous daytime particulate matter concentrations under all sky conditions through the synergistic use of satellite-based AOD and numerical models. Sci. Total Environ. 2020, 713, 136516. [Google Scholar] [CrossRef]
- Li, Y.; Chen, Q.; Zhao, H.; Wang, L.; Tao, R. Variations in PM10, PM2.5 and PM1.0 in an Urban Area of the Sichuan Basin and Their Relation to Meteorological Factors. Atmosphere 2015, 6, 150–163. [Google Scholar] [CrossRef] [Green Version]
- Guo, H.; Cheng, T.; Gu, X.; Wang, Y.; Chen, H.; Bao, F.; Shi, S.; Xu, B.; Wang, W.; Zuo, X.; et al. Assessment of PM2.5 concentrations and exposure throughout China using ground observations. Sci. Total Environ. 2017, 601, 1024–1030. [Google Scholar] [CrossRef]
- Ahn, C.; Torres, O.; Bhartia, P.K. Comparison of Ozone Monitoring Instrument UV Aerosol Products with Aqua/Moderate Resolution Imaging Spectroradiometer and Multiangle Imaging Spectroradiometer observations in 2006. J. Geophys. Res. Atmos. 2008, 113, D16. [Google Scholar] [CrossRef] [Green Version]
- Choi, M.; Lim, H.; Kim, J.; Lee, S.; Eck, T.T.; Holben, B.B.; Garay, M.J.; Hyer, E.E.; Saide, P.P.; Liu, H. Validation, comparison, and integration of GOCI, AHI, MODIS, MISR, and VIIRS aerosol optical depth over East Asia during the 2016 KORUS-AQ campaign. Atmos. Meas. Tech. 2019, 12, 4619–4641. [Google Scholar] [CrossRef] [Green Version]
- Levy, R.C.; Mattoo, S.; Munchak, L.A.; Remer, L.A.; Sayer, A.M.; Patadia, F.; Hsu, N.C. The Collection 6 MODIS aerosol products over land and ocean. Atmos. Meas. Tech. 2013, 6, 2989–3034. [Google Scholar] [CrossRef] [Green Version]
- Gupta, P.; Remer, L.A.; Levy, R.C.; Mattoo, S. Validation of MODIS 3km land aerosol optical depth from NASA’s EOS Terra and Aqua missions. Atmos. Meas. Tech. 2018, 11, 3145–3159. [Google Scholar] [CrossRef] [Green Version]
- Crawford, J.H.; Ahn, J.-Y.; Al-Saadi, J.; Chang, L.; Emmons, L.K.; Kim, J.; Lee, G.; Park, J.-H.; Park, R.J.; Woo, J.H.; et al. The Korea–United States Air Quality (KORUS-AQ) field study. Elem. Sci. Anthr. 2021, 9, 00163. [Google Scholar] [CrossRef]
- Giles, D.M.; Sinyuk, A.; Sorokin, M.G.; Schafer, J.S.; Smirnov, A.; Slutsker, I.; Eck, T.F.; Holben, B.N.; Lewis, J.R.; Campbell, J.R.; et al. Advancements in the Aerosol Robotic Network (AERONET) Version 3 database—Automated near-real-time quality control algorithm with improved cloud screening for Sun photometer aerosol optical depth (AOD) measurements. Atmos. Meas. Tech. 2019, 9, 169–209. [Google Scholar] [CrossRef] [Green Version]
- Nakajima, T.; Tonna, G.; Rao, R.; Boi, P.; Kaufman, Y.; Holben, B. Use of sky brightness measurements from ground for remote sensing of particulate polydispersions. Appl. Opt. 1996, 35, 2672–2686. [Google Scholar] [CrossRef]
- Hashimoto, M.; Nakajima, T.; Dubovik, O.; Campanelli, M.; Che, H.; Khatri, P.; Takamura, T.; Pandithurai, G. Development of a new data-processing method for SKYNET sky radiometer observations. Atmos. Meas. Tech. 2012, 5, 2723–2737. [Google Scholar] [CrossRef] [Green Version]
- Alexandrov, M.D.; Lacis, A.A.; Carlson, B.E.; Cairns, B. Derivation of 2D fields of aerosol and trace gases parameters by integrated analysis of multi-instrument MFRSR dataset from DOE ARM program CART site. In Remote Sensing of Clouds and the Atmosphere VI; International Society for Optics and Photonics: Bellingham, WA, USA, 2002; Volume 4539, pp. 277–288. [Google Scholar]
- Mok, J.; Krotkov, N.A.; Torres, O.; Jethva, H.; Li, Z.; Kim, J.; Koo, J.-H.; Go, S.; Irie, H.; Labow, G.; et al. Comparisons of spectral aerosol single scattering albedo in Seoul, South Korea. Atmos. Meas. Tech. 2018, 11, 2295–2311. [Google Scholar] [CrossRef] [Green Version]
- Kerr, J.J.B. New methodology for deriving total ozone and other atmospheric variables from Brewer spectrophotometer direct sun spectra. J. Geophys. Res. Atmos. 2002, 107, D23. [Google Scholar] [CrossRef]
- Che, H.; Shi, G.; Uchiyama, A.; Yamazaki, A.; Chen, H.; Goloub, P.; Zhang, X. Intercomparison between aerosol optical properties by a PREDE skyradiometer and CIMEL sunphotometer over Beijing, China. Atmos. Chem. Phys. 2008, 8, 3199–3214. [Google Scholar] [CrossRef] [Green Version]
- Cheymol, A.; Sotelino, L.G.; Lam, K.S.; Kim, J.; Fioletov, V.; Siani, A.M.; Backer, H. De Intercomparison of aerosol optical depth from brewer ozone spectrophotometers and CIMEL sunphotometers measurements. Atmos. Chem. Phys. 2009, 9, 733–741. [Google Scholar] [CrossRef] [Green Version]
- Di Sarra, A.; Sferlazzo, D.; Meloni, D.; Anello, F.; Bommarito, C.; Corradini, S.; De Silvestri, L.; Di Iorio, T.; Monteleone, F.; Pace, G.; et al. Empirical correction of multifilter rotating shadowband radiometer (MFRSR) aerosol optical depths for the aerosol forward scattering and development of a long-term integrated MFRSR-Cimel dataset at Lampedusa. Appl. Opt. 2015, 54, 2725–2737. [Google Scholar] [CrossRef]
- Seo, S.; Kim, J.; Lee, H.; Jeong, U.; Kim, W.; Holben, B.N.; Kim, S.W.; Song, C.H.; Lim, J.H. Estimation of PM10 concentrations over Seoul using multiple empirical models with AERONET and MODIS data collected during the DRAGON-Asia campaign. Atmos. Chem. Phys. 2015, 15, 319–334. [Google Scholar] [CrossRef] [Green Version]
- Lee, J.; Hong, J.W.; Lee, K.; Hong, J.; Velasco, E.; Lim, Y.J.; Lee, J.B.; Nam, K.; Park, J. Ceilometer Monitoring of Boundary-Layer Height and Its Application in Evaluating the Dilution Effect on Air Pollution. Bound. Layer Meteorol. 2019, 172, 435–455. [Google Scholar] [CrossRef] [Green Version]
- Jung, J.; Kim, Y.J.; Lee, K.Y.; Cayetano, M.G.; Batmunkh, T.; Koo, J.-H.; Kim, J. Spectral optical properties of long-range transport Asian Dust and pollution aerosols over Northeast Asia in 2007 and 2008. Atmos. Chem. Phys. 2010, 10, 5391–5408. [Google Scholar] [CrossRef] [Green Version]
- Kim, D.; Kim, J.; Jeong, J.; Choi, M. Estimation of health benefits from air quality improvement using the MODIS AOD dataset in Seoul, Korea. Environ. Res. 2019, 173, 452–461. [Google Scholar] [CrossRef]
- Wang, J.; Li, Z. Estimation of ground-level dry PM2.5 concentrations at 3 km resolution over Beijing using Geostationary Ocean Colour Imager. Remote Sens. Lett. 2020, 11, 913–922. [Google Scholar] [CrossRef]
- Ahmad, M.; Alam, K.; Tariq, S.; Anwar, S.; Nasir, J.; Mansha, M. Estimating fine particulate concentration using a combined approach of linear regression and artificial neural network. Atmos. Environ. 2019, 219, 117050. [Google Scholar] [CrossRef]
- Li, X.; Ma, Y.; Wang, Y.; Liu, N.; Hong, Y. Temporal and spatial analyses of particulate matter (PM10 and PM2.5) and its relationship with meteorological parameters over an urban city in northeast China. Atmos. Res. 2017, 198, 185–193. [Google Scholar] [CrossRef]
- Shin, U.; Park, S.H.; Park, J.S.; Koo, J.-H.; Yoo, C.; Kim, S.; Lee, J. bum Predictability of PM2.5 in Seoul based on atmospheric blocking forecasts using the NCEP global forecast system. Atmos. Environ. 2021, 246, 118141. [Google Scholar] [CrossRef]
- Rinnan, R.; Iversen, L.L.; Tang, J.; Vedel-Petersen, I.; Schollert, M.; Schurgers, G. Separating direct and indirect effects of rising temperatures on biogenic volatile emissions in the Arctic. Proc. Natl. Acad. Sci. USA 2020, 117, 32476–32483. [Google Scholar] [CrossRef] [PubMed]
- Zhao, H.; Che, H.; Zhang, X.; Ma, Y.; Wang, Y.; Wang, H.; Wang, Y. Characteristics of visibility and particulate matter (PM) in an urban area of Northeast China. Atmos. Pollut. Res. 2013, 4, 427–434. [Google Scholar] [CrossRef] [Green Version]
- Menares, C.; Gallardo, L.; Kanakidou, M.; Seguel, R.; Huneeus, N. Increasing trends (2001–2018) in photochemical activity and secondary aerosols in Santiago, Chile. Tellus Ser. B Chem. Phys. Meteorol. 2020, 72, 1–18. [Google Scholar] [CrossRef]
- Koo, J.-H.; Kim, J.; Lee, Y.G.; Park, S.S.; Lee, S.; Chong, H.; Cho, Y.; Kim, J.; Choi, K.; Lee, T. The implication of the air quality pattern in South Korea after the COVID-19 outbreak. Sci. Rep. 2020, 10, 1–11. [Google Scholar] [CrossRef]
- Shi, X.; Brasseur, G.P. The Response in Air Quality to the Reduction of Chinese Economic Activities during the COVID-19 Outbreak. Geophys. Res. Lett. 2020, 47, 11. [Google Scholar] [CrossRef]
- Sorek-Hamer, M.; Franklin, M.; Chau, K.; Garay, M.; Kalashnikova, O. Spatiotemporal characteristics of the association between AOD and PM over the California Central Valley. Remote Sens. 2020, 12, 685. [Google Scholar] [CrossRef] [Green Version]
- Zhai, S.; Jacob, D.J.; Brewer, J.F.; Li, K.; Moch, J.M.; Kim, J.; Lee, S.; Lim, H.; Lee, H.C.; Kuk, S.K.; et al. Interpretation of geostationary satellite aerosol optical depth (AOD) over East Asia in relation to fine particulate matter (PM2.5): Insights from the KORUS-AQ aircraft campaign and seasonality. Atmos. Chem. Phys. Discuss. 2021, 1–24. [Google Scholar] [CrossRef]
- Eck, T.F.; Holben, B.N.; Kim, J.; Beyersdorf, A.J.; Choi, M.; Lee, S.; Koo, J.H.; Giles, D.M.; Schafer, J.S.; Sinyuk, A.; et al. Influence of cloud, fog, and high relative humidity during pollution transport events in South Korea: Aerosol properties and PM2.5 variability. Atmos. Environ. 2020, 232, 117530. [Google Scholar] [CrossRef]
- Koo, J.-H.; Lee, J.; Kim, J.; Eck, T.F.; Giles, D.M.; Holben, B.N.; Park, S.S.; Choi, M.; Kim, N.; Yoon, J.; et al. Investigation of the relationship between the fine mode fraction and Ångström exponent: Cases in Korea. Atmos. Res. 2021, 248, 105217. [Google Scholar] [CrossRef]
- Zhang, M.; Ma, Y.; Shi, Y.; Gong, W.; Chen, S.; Jin, S.; Wang, J. Controlling factors analysis for the Himawari-8 aerosol optical depth accuracy from the standpoint of size distribution, solar zenith angles and scattering angles. Atmos. Environ. 2020, 233, 117501. [Google Scholar] [CrossRef]
- Gao, L.; Chen, L.; Li, C.; Li, J.; Che, H.; Zhang, Y. Evaluation and possible uncertainty source analysis of JAXA Himawari-8 aerosol optical depth product over China. Atmos. Res. 2021, 248, 105248. [Google Scholar] [CrossRef]
- Huang, G.; Chen, Y.; Li, Z.; Liu, Q.; Wang, Y.; He, Q.; Liu, T.; Liu, X.; Zhang, Y.; Gao, J.; et al. Validation and Accuracy Analysis of the Collection 6.1 MODIS Aerosol Optical Depth Over the Westernmost City in China Based on the Sun-Sky Radiometer Observations From SONET. Earth Space Sci. 2020, 7, 3. [Google Scholar] [CrossRef] [Green Version]
- Yang, F.; Fan, M.; Tao, J. An improved method for retrieving aerosol optical depth using gaofen-1 wfv camera data. Remote Sens. 2021, 13, 280. [Google Scholar] [CrossRef]
- Ghim, Y.S.; Chang, Y.S.; Jung, K. Temporal and spatial variations in fine and coarse particles in Seoul, Korea. Aerosol Air Qual. Res. 2015, 15, 842–852. [Google Scholar] [CrossRef] [Green Version]
- Pan, L.; Xu, J.; Tie, X.; Mao, X.; Gao, W.; Chang, L. Long-term measurements of planetary boundary layer height and interactions with PM2.5 in Shanghai, China. Atmos. Pollut. Res. 2019, 10, 989–996. [Google Scholar] [CrossRef]
- Lee, J.; Koo, J.-H.; Kim, S.-M.; Lee, T.; Lee, Y.G. Comparison of aerosol properties in the Korean peninsula between AERONET version 2 and 3 dataset. Asia Pac. J. Atmos. Sci. 2021, 57, 629–643. [Google Scholar] [CrossRef]




| Data Name | Description | ||||
|---|---|---|---|---|---|
| Satellite | Wavelength (nm) | Spatial Resolution (km2) | Retrieval Algorithm | Observation Time (UTC) | |
| MODIS-DT | Terra Aqua | 550 | 10 × 10 | C6 | 01:20–03:25 03:35–05:40 |
| MODIS-DB | Terra Aqua | 550 | 10 × 10 | C6 | 01:20–03:25 03:35–05:40 |
| MODIS-3km | Terra Aqua | 550 | 3 × 3 | C6 | 01:20–03:25 03:35–05:40 |
| VIIRS | Suomi-NPP | 550 | 6 × 6 | EDR | 03:15–05:40 |
| MISR | Terra | 550 | 17.6 × 17.6 | V22 | 01:30 |
| OMI | Aura | 500 | 13 × 24 | Near-UV | 04:05–05:35 |
| Data Name | Instrument | Wavelength (nm) | Retrieval Algorithm |
|---|---|---|---|
| AERONET | CIMEL Electronique CE318 multiband sun photometer | 340, 380, 440, 500, 675, 870, 1020, 1640 | [15] |
| SKYNET | POM-02 Skyradiometer | 340, 380, 400, 500, 675, 870, 1020 | [16,17] |
| UV-MFRSR | Multi-Filter Rotating Shadowband Radiometers (MFRSR) | 305, 311, 325, 332, 340, 380 (UV-MFRSR) 415, 440, 500, 615, 673, 870 (VIS-MFRSR) | [18,19] |
| VIS-MFRSR | |||
| Brewer spectrophotometer | Brewer Spectrophotometer (MK-IV, No. 148) | 320 | [20] |
| Models | Description |
|---|---|
| M1 | PM2.5 = AOD + B |
| M2-1 | PM2.5 = AOD/PBLH (ceilometer) + B |
| M2-2 | PM2.5 = AOD/PBLH (ECMWF reanalysis) + B |
| M3-1 | PM2.5 = AOD + PBLH (ceilometer) + Temperature + Wind speed + Visibility + f (RH) + NO2 + O3 + B |
| M3-2 | PM2.5 = AOD + PBLH (ECMWF reanalysis) + Temperature + Wind speed + Visibility + f (RH) + NO2 + O3 + B |
| Statistics | MLR Model | MODIS-DT | MODIS-DB | MODIS-3km | VIIRS | MISR | OMI |
|---|---|---|---|---|---|---|---|
| R | M1 | 0.4 | 0.48 | 0.36 | 0.29 | 0.36 | 0.17 |
| M2-1 | 0.43 | 0.54 | 0.43 | 0.21 | 0.45 | 0.24 | |
| M2-2 | 0.49 | 0.46 | 0.46 | 0.26 | 0.49 | 0.21 | |
| M3-1 | 0.84 | 0.83 | 0.84 | 0.8 | 0.85 | 0.75 | |
| M3-2 | 0.83 | 0.81 | 0.81 | 0.8 | 0.83 | 0.75 | |
| RMSE | M1 | 9.09 | 9.53 | 9.11 | 9.5 | 11.4 | 10.75 |
| M2-1 | 9.7 | 8.9 | 9.61 | 9.85 | 12.83 | 10.78 | |
| M2-2 | 8.83 | 9.74 | 8.77 | 9.59 | 10.65 | 10.69 | |
| M3-1 | 5.7 | 5.9 | 5.76 | 5.99 | 7.45 | 7.36 | |
| M3-2 | 5.69 | 6.25 | 5.72 | 6.09 | 7.33 | 7.32 | |
| Slope | M1 | 0.15 | 0.22 | 0.14 | 0.08 | 0.13 | 0.01 |
| M2-1 | 0.18 | 0.28 | 0.19 | 0.05 | 0.23 | 0.03 | |
| M2-2 | 0.25 | 0.21 | 0.2 | 0.08 | 0.23 | 0.02 | |
| M3-1 | 0.73 | 0.71 | 0.69 | 0.63 | 0.72 | 0.55 | |
| M3-2 | 0.69 | 0.67 | 0.68 | 0.62 | 0.69 | 0.57 | |
| N | M1 | 1643 | 2794 | 1933 | 3027 | 249 | 577 |
| M2-1 | 877 | 1662 | 1049 | 1608 | 146 | 318 | |
| M2-2 | 1639 | 2786 | 1930 | 3027 | 249 | 577 | |
| M3-1 | 843 | 1597 | 1012 | 1608 | 146 | 318 | |
| M3-2 | 1576 | 2686 | 1863 | 2900 | 243 | 557 |
| AERONET AOD | M3-1 | |||||||
|---|---|---|---|---|---|---|---|---|
| 340 nm | 380 nm | 440 nm | 500 nm | 675 nm | 870 nm | 1020 nm | ||
| Spring | R | 0.74 | 0.74 | 0.74 | 0.73 | 0.73 | 0.73 | 0.73 |
| N | 951 | 953 | 953 | 953 | 953 | 953 | 953 | |
| RMSE | 9.83 | 9.86 | 9.89 | 9.91 | 9.95 | 9.97 | 9.98 | |
| Slope | 0.54 | 0.54 | 0.53 | 0.53 | 0.53 | 0.53 | 0.53 | |
| Summer | R | 0.79 | 0.78 | 0.78 | 0.78 | 0.78 | 0.78 | 0.78 |
| N | 337 | 343 | 343 | 343 | 343 | 343 | 343 | |
| RMSE | 6.99 | 6.82 | 6.83 | 6.84 | 6.86 | 6.86 | 6.87 | |
| Slope | 0.62 | 0.66 | 0.66 | 0.66 | 0.66 | 0.66 | 0.66 | |
| Autumn | R | 0.81 | 0.82 | 0.82 | 0.82 | 0.82 | 0.82 | 0.82 |
| N | 511 | 513 | 513 | 513 | 513 | 513 | 513 | |
| RMSE | 5.58 | 5.50 | 5.51 | 5.51 | 5.54 | 5.56 | 5.57 | |
| Slope | 0.68 | 0.67 | 0.67 | 0.67 | 0.66 | 0.66 | 0.66 | |
| Winter | R | 0.78 | 0.76 | 0.76 | 0.76 | 0.76 | 0.76 | 0.76 |
| N | 770 | 774 | 774 | 774 | 774 | 774 | 774 | |
| RMSE | 6.98 | 7.03 | 7.04 | 7.04 | 7.04 | 7.04 | 7.04 | |
| Slope | 0.61 | 0.61 | 0.61 | 0.61 | 0.61 | 0.61 | 0.61 | |
Publisher’s Note: MDPI stays neutral with regard to jurisdictional claims in published maps and institutional affiliations. |
© 2021 by the authors. Licensee MDPI, Basel, Switzerland. This article is an open access article distributed under the terms and conditions of the Creative Commons Attribution (CC BY) license (https://creativecommons.org/licenses/by/4.0/).
Share and Cite
Kim, S.-M.; Koo, J.-H.; Lee, H.; Mok, J.; Choi, M.; Go, S.; Lee, S.; Cho, Y.; Hong, J.; Seo, S.; et al. Comparison of PM2.5 in Seoul, Korea Estimated from the Various Ground-Based and Satellite AOD. Appl. Sci. 2021, 11, 10755. https://doi.org/10.3390/app112210755
Kim S-M, Koo J-H, Lee H, Mok J, Choi M, Go S, Lee S, Cho Y, Hong J, Seo S, et al. Comparison of PM2.5 in Seoul, Korea Estimated from the Various Ground-Based and Satellite AOD. Applied Sciences. 2021; 11(22):10755. https://doi.org/10.3390/app112210755
Chicago/Turabian StyleKim, Sang-Min, Ja-Ho Koo, Hana Lee, Jungbin Mok, Myungje Choi, Sujung Go, Seoyoung Lee, Yeseul Cho, Jaemin Hong, Sora Seo, and et al. 2021. "Comparison of PM2.5 in Seoul, Korea Estimated from the Various Ground-Based and Satellite AOD" Applied Sciences 11, no. 22: 10755. https://doi.org/10.3390/app112210755
APA StyleKim, S.-M., Koo, J.-H., Lee, H., Mok, J., Choi, M., Go, S., Lee, S., Cho, Y., Hong, J., Seo, S., Lee, J., Hong, J.-W., & Kim, J. (2021). Comparison of PM2.5 in Seoul, Korea Estimated from the Various Ground-Based and Satellite AOD. Applied Sciences, 11(22), 10755. https://doi.org/10.3390/app112210755

