Mechanical Performance of Confined Autoclaved Fly-Ash-Brick Masonry Walls under Cyclic Loading
Abstract
:1. Introduction
2. Axial Compression Test of Autoclaved Fly-Ash-Brick Columns
2.1. Test Phenomena and Deformation Characteristics
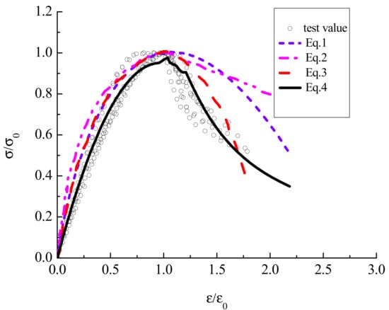
2.2. Stress–Strain Curve
3. Numerical Simulation Analysis and Verification
3.1. The Numerical Model of Assembly Autoclaved Fly-Ash-Brick Wall
3.2. Verification of Assembly Masonry Wall Model
3.3. Seismic Performance of Assembly Autoclaved Fly-Ash-Brick Wall
3.3.1. Types of Walls in Analysis
3.3.2. Construction Measures on Seismic Performance of Walls
3.3.3. Wall Materials and Seismic Performance of Walls
4. Seismic Behavior of the Assembly Autoclaved Fly-Ash-Brick Wall under Multiple Influence Parameters
4.1. Wall Model
4.2. Mortar Strength on Seismic Performance of Assembly Autoclaved Fly-Ash-Brick Walls
4.3. Holes and Seismic Performance of Assembly Autoclaved Fly-Ash-Brick Walls
4.3.1. Influence of Window Hole Dimensions on Seismic Performance of the Walls
4.3.2. Influence of Door Holes’ Dimension on Seismic Performance of the Walls
4.4. Vertical Compressive Stress on Seismic Performance of the Walls
5. Conclusions
- (1)
- The axial compression test of the autoclaved fly-ash-brick columns with different mortar strengths was carried out to obtain their failure mode and deformation characteristics. From the experiment, the stress–strain curve, which provides the constitutive model and material constants for the numerical model of the assembled autoclaved fly-ash-brick masonry walls, was built.
- (2)
- Two new types of assembled block, which can work as part of the walls and replace conventional templates to improve the seismic performance and shorten the construction period, were proposed to be used in constructional columns and ring beams.
- (3)
- The initial stiffness, bearing capacity, and stiffness degradation capacity of the assembled autoclaved fly-ash-brick masonry wall were close to those of the cast-in-place brick masonry wall, but the displacement ductility of the former was better than that of the latter. Therefore, the seismic performance of the assembled autoclaved fly-ash-brick masonry walls is better than that of cast-in-place masonry walls.
- (4)
- With the increase in mortar strength, the bearing capacity and displacement ductility of the assembled autoclaved fly-ash-brick walls increased. The stiffness degradation rate of the low-strength mortar masonry wall was large. The low-strength mortar led to premature cracking, which is unfavorable to the earthquake resistance of walls. Therefore, the 7.5 MPa mortar should be avoided in the aseismic design of masonry structures.
- (5)
- With the increase in the hole opening rate, the bearing capacity and the initial stiffness decreased, but the stiffness degradation rate increased. The wall around the holes caused stress concentration, which led to premature cracking and reduced the bearing capacity and stiffness of the assembled autoclaved fly-ash-brick walls. The influence of the opening rate was quantitatively analyzed to provide a reference value for masonry structural design.
- (6)
- The seismic performance of the brick walls was poor when the vertical compressive stress was large. Hence, the number of brick masonry structural layers should be limited to reduce the compressive stress.
Author Contributions
Funding
Institutional Review Board Statement
Informed Consent Statement
Data Availability Statement
Conflicts of Interest
References
- Stepinac, M.; Lourenço, P.B.; Atalić, J.; Kišiček, T.; Uroš, M.; Baniček, M.; Šavor Novak, M. Damage classification of residential buildings in historical downtown after the ML5.5 earthquake in Zagreb, Croatia in 2020. Int. J. Disaster Risk Reduct. 2021, 56, 102140. [Google Scholar] [CrossRef]
- Vlachakis, G.; Vlachaki, E.; Lourenço, P.B. Learning from failure: Damage and failure of masonry structures, after the 2017 Lesvos earthquake (Greece). Sci. Direct. Eng. Failure Anal. 2020, 117, 104803. [Google Scholar] [CrossRef]
- Tomaževič, M.; Klemenc, A. Seismic behavior of confined masonry walls. Earthq. Eng. Struct. Dyn. 1997, 26, 1059–1071. [Google Scholar] [CrossRef]
- Yoshimura, K.; Kikuchi, K.; Kuroki, M.; Nonaka, H.; Kim, K.T.; Wangdi, R.; Oshikata, A. Experimental study for developing higher seismic performance of brick masonry wall. In Proceedings of the 13th World Conference on Earthquake Engineering, Vancouver, BC, Canada, 1–6 August 2004. [Google Scholar]
- Karantoni, F.; Pantazopoulou, S.; Ganas, A. Confined masonry as practical seismic construction alternative–the experience from the 2014 Cephalonia Earthquake. Front. Struct. Civ. Eng. 2018, 12, 270–290. [Google Scholar] [CrossRef]
- Shedid, M.T.; Dakhakhni, W.W.; Drysdale, R.G. Seismic response of linear, flanged and confined masonry shear walls. In Proceedings of the 14th World Conference on Earthquake Engineering, Beijing, China, 12–17 October 2008. [Google Scholar]
- Ashraf, M.; Khan, A.N.; Naseer, A.; Ali, Q.; Alam, B. Seismic behavior of unreinforced and confined brick masonry walls before and after ferrocement overlay retrofitting. Int. J. Archit. Herit. 2012, 6, 665–688. [Google Scholar] [CrossRef]
- Zheng, N.N.; Li, Y.M.; Liu, F.Q. Pseudo-static test study on seismic behavior of masonry wall restrained by core-tie-columns. China Civ. Eng. J. 2013, 46, 202–207. [Google Scholar]
- Quiroz, L.G.; Maruyama, Y.; Zavala, C. Cyclic behavior of peruvian confined masonry walls and calibration of numerical model using genetic algorithms. Eng. Struct. 2014, 75, 561–567. [Google Scholar] [CrossRef] [Green Version]
- Zhang, B.B.; Yang, D.J.; Wu, J.H. Development of research on reinforcement masonry building of concrete hollow block. J. Tianjin Inst. Urb. Constr. 2007, 13, 173–177. [Google Scholar]
- Sucuoglu, H.; Mcniven, H.D. Seismic shear capacity of reinforced masonry piers. J. Struct. Eng. 1991, 117, 2166–2185. [Google Scholar] [CrossRef]
- Liu, Z. Application of shear wall structure with reinforcement building blocks in engineering design. For. Sci. Technol. Inf. 2012, 44, 1–21. [Google Scholar]
- Huang, L.; Xu, Z.Y.; Gao, X. Research on the shear-resistance behavior of grouted block masonry. J. Hunan Uni. 2014, 41, 54–58. [Google Scholar]
- Wu, F.B.; Ren, H.Q.; Liu, B. Research on the compression behavior of the new horizontal-hole hollow concrete block masonry. J. Hunan Univ. 2015, 42, 25–32. [Google Scholar]
- Manjit, S.; Mridul, G. Cementitious binder from fly ash and other industrial wastes. Cem. Concr. Res. 1999, 29, 309–314. [Google Scholar]
- Ahmaruzzaman, M.A. Review on the utilization of fly ash. Prog. Energy Combust. Sci. 2010, 36, 327–363. [Google Scholar] [CrossRef]
- Kumar, S. A Perspective study on fly ash–lime–gypsum bricks and hollow blocks for low cost housing development. Constr. Build. Mater. 2002, 16, 519–525. [Google Scholar] [CrossRef]
- Chindaprasirt, P.; Pimraksa, K. A Study of fly ash-lime granule unfired brick. Powder Technol. 2008, 182, 33–41. [Google Scholar] [CrossRef]
- Kruschwitz, J.; Bluhm, J. Modeling of ice formation in porous solids with regard to the description of frost damage. Comput. Mater. Sci. 2005, 32, 407–417. [Google Scholar] [CrossRef]
- Wardeh, G.; Perrin, B. Freezing-thawing phenomena in fired clay materials and consequences on their durability. Constr. Build. Mater. 2008, 22, 820–828. [Google Scholar] [CrossRef]
- Sahu, S.; Teja, P.; Sarkar, P.; Davis, R. Effect of brick prewetting on masonry bond strength. J. Mater. Civ. Eng. 2019, 31, 06019009. [Google Scholar] [CrossRef]
- Mendola, L.L.; Papia, M. Stability of masonry piers under their own weight and eccentric load. ASCE J. Struct. Eng. 1993, 119, 1678–1693. [Google Scholar] [CrossRef]
- Mendola, L.L. Influence of nonlinear constitutive law on masonry pier stability. ASCE J. Struct. Eng. 1997, 123, 1303–1311. [Google Scholar] [CrossRef]
- Industrial Standard of the People’s Republic of China. JGJ70-2009. Basic Test Method of Building Mortar; China Architecture & Building Press: Beijing, China, 2009. [Google Scholar]
- National Standard of the People’s Republic of China. GB50003-2011. Code for Design of Masonry Structures; China Architecture & Building Press: Beijing, China, 2011. [Google Scholar]
- Madan, A. Modeling of Masonry infill Panels Analysis. ASCE J. Struct. Eng. 1997, 10, 56–61. [Google Scholar]
- Zhu, B.L. The Design Principle of Masonry Structures; Tongji University Press: Shanghai, China, 1991. [Google Scholar]
- Naraine, K.; Sinha, S. Model for cyclic compressive behavior of brick masonry. ACI Struct. J. 1991, 88, 603–609. [Google Scholar]
- Wen, B.; Zhang, L.; Niu, D. A Wall Formed by a Composite Block. China Patent CN205742610U, 30 November 2016. [Google Scholar]
- Aref, A.J.; Dolatshahi, K.M. A three-dimensional cyclic meso-scale numerical procedure for simulation of unreinforced masonry structures. Comput. Struct. 2013, 120, 9–23. [Google Scholar] [CrossRef]
- Smith, M. ABAQUS/Standard User’s Manual; Version 6.9; Dassault Systèmes Simulia Corp.: Providence, RI, USA, 2009. [Google Scholar]
- Zhang, S.; Yang, D.; Sheng, Y.; Garrity, S.W.; Xu, L. Numerical modelling of FRP-reinforced masonry walls under in-plane seismic loading. Constr. Build. Mater. 2017, 134, 649–663. [Google Scholar] [CrossRef]
- Zhang, Y.J. Study on Concrete Block Masonry Axial Compression Stress-Strain. Master’s Thesis, Harbin Institute of Technology, Harbin, China, 1 June 2002; pp. 45–62. [Google Scholar]
- Medeiros, P.; Vasconcelos, G.; Lourenço, P.B.; Gouveia, J. Numerical modelling of non-confined and confined masonry walls. Constr. Build. Mater. 2013, 41, 968–976. [Google Scholar] [CrossRef]
- El-Diasity, M.; Okail, H.; Kamal, O.; Said, M. Structural performance of confined masonry walls retrofitted using ferrocement and GFRP under in-plane cyclic loading. Eng. Struct. 2015, 94, 54–69. [Google Scholar] [CrossRef]
- Shi, C.X.; Xu, J.; Liu, G.Q. Design and Calculation of Masonry Structure; China Architecture & Building Press: Beijing, China, 2003. [Google Scholar]
- Guo, J. Experiment Research on Seismic Behavior of Small-Sized Hollow Concrete Block Full-Sized Wall. Master’s Thesis, Tsinghua University, Beijing, China, 1 May 2005. [Google Scholar]





























| Load | Value | Behavior of the Specimen |
|---|---|---|
| loading pressure | 0.3–0.4 Pu | Vertical displacement and pressure value uniformly increased; almost no crack; stress–strain curve was linear; specimens work in the elastic phase |
| 0.62 Pu | Cracks appeared on the specimen surface where the longitudinal gray seam was not full, or the mortar was uneven. | |
| 0.7 Pu | Displacement value increased faster than that in the previous stage. | |
| 0.8–0.95 Pu | Main cracks extended to the entire specimen, whereas longitudinal cracks rapidly developed; The increase rate of the displacement value becomed smaller than that in the former stage, and the stress–strain curve slope tended to be parallel. | |
| 1 Pu | Main cracks widened to divide the specimens into small columns | |
| After above stages | Compression pressure values began to decrease; main vertical cracks expanded from the top of the column to the bottom, and small cracks penetrated one another; autoclaved fly-ash-brick short columns exhibited external drum phenomenon, and much brick slag was being peeled off, accompanied by a breaking sound (the autoclaved fly-ash brick was not able to bear the load) | |
| un-loading pressure | 0.6–0.75 Pu | Downward trend of the pressure values slows down, which lead to an inflection point. Then, the load values continued to decrease until the specimen was completely destroyed. |
| Number | Dimension B × H × b (mm) | Em (MPa) | fcm (MPa) | fb,c (MPa) | fm,c (MPa) |
|---|---|---|---|---|---|
| Assembly masonry wall | 1990 × 1340 × 240 | 2404 | 20.19 | 12.36 | 10.12 |
| Wall | Ultimate Loads (kN) | Ultimate Displacement (mm) |
|---|---|---|
| Test wall | 245 | 10.9 |
| Wall numerical model | 231 | 9.32 |
| Error | 5.33% | 14.50% |
| Number | Wall Material | Construction Measure | Form of Construction Work | Dimension (mm) (Length × Height × Thickness) |
|---|---|---|---|---|
| WQ-1 | fired common-brick | no | no | 2560 × 2600 × 240 |
| WZ-1 | autoclaved fly-ash-brick | no | no | 2560 × 2600 × 240 |
| XWQ-1 | fired common-brick | yes | cast in situ | 2800 × 2800 × 240 |
| XWZ-1 | autoclaved fly-ash-brick | yes | cast in situ | 2800 × 2800 × 240 |
| ZWQ-1 | fired common-brick | yes | assembly | 2800 × 2800 × 240 |
| ZWZ-1 | autoclaved fly-ash-brick | yes | assembly | 2800 × 2800 × 240 |
| Number | Wall Material | Construction Measures | Cracking Load Pcr (kN) | Cracking Displacement Δcr (mm) | Ultimate Load Pu (kN) | Ultimate Displacement Δu (mm) | Failure Load Pf (kN) | Failure DisplacementΔf (mm) | Δf/Δu |
|---|---|---|---|---|---|---|---|---|---|
| WQ-1 | fired common brick | no | 103 | 1.01 | 171 | 5.01 | 147 | 11.07 | 2.21 |
| XWQ-1 | cast in situ | 182 | 0.45 | 296 | 3.19 | 200 | 13.13 | 4.12 | |
| ZWQ-1 | assembly | 198 | 0.48 | 298 | 3.09 | 188 | 13.75 | 4.45 | |
| WZ-1 | autoclaved fly-ash-brick | no | 107 | 0.87 | 167 | 4.26 | 136 | 11.94 | 2.80 |
| XWZ-1 | cast in situ | 199 | 0.67 | 299 | 3.41 | 202 | 13.43 | 3.94 | |
| ZWZ-1 | assembly | 199 | 0.62 | 303 | 3.16 | 188 | 13.75 | 4.35 |
| Number | Dimension (mm) (Length × Height × Thickness) | Distribution of Holes (mm) | Vertical Compressive Stress (MPa) | Mortar Strength (MPa) |
|---|---|---|---|---|
| ZWZ-1 | 2800 × 2800 × 240 | Without the opening | 0.6 | 10 |
| ZWZ-2 | 2800 × 2800 × 240 | Without the opening | 0.6 | 7.5 |
| ZWZ-3 | 2800 × 2800 × 240 | Without the opening | 0.6 | 15 |
| ZWZ-4 | 2800 × 2800 × 240 | Window opening 750 × 900 | 0.6 | 10 |
| ZWZ-5 | 2800 × 2800 × 240 | Window opening 1000 × 1200 | 0.6 | 10 |
| ZWZ-6 | 2800 × 2800 × 240 | Window opening 1200 × 1200 | 0.6 | 10 |
| ZWZ-7 | 2800 × 2800 × 240 | Door opening 900 × 2100 | 0.6 | 10 |
| ZWZ-8 | 2800 × 2800 × 240 | Door opening 1200 × 2100 | 0.6 | 10 |
| ZWZ-9 | 2800 × 2800 × 240 | Door opening 1500 × 2100 | 0.6 | 10 |
| ZWZ-10 | 2800 × 2800 × 240 | Without the opening | 0 | 10 |
| ZWZ-11 | 2800 × 2800 × 240 | Without the opening | 0.2 | 10 |
| ZWZ-12 | 2800 × 2800 × 240 | Without the opening | 1 | 10 |
| Number | Mortar Strength | Cracking Load Pcr (kN) | Cracking Displacement Δcr (mm) | Ultimate Load Pu (kN) | Ultimate Displacement Δu (mm) | Failure Load Pf (kN) | Failure Displacement Δf (mm) | Δf/Δu |
|---|---|---|---|---|---|---|---|---|
| ZWZ-2 | M7.5 | 121 | 0.58 | 268 | 2.81 | 177 | 10.83 | 3.85 |
| ZWZ-1 | M10 | 199 | 0.62 | 303 | 3.16 | 188 | 13.75 | 4.35 |
| ZWZ-3 | M15 | 208 | 0.69 | 311 | 3.23 | 199 | 14.5 | 4.49 |
| Number | Distributionof Holes (mm) | Cracking Load Pcr (kN) | Cracking Displacement Δcr (mm) | Ultimate Load Pu (kN) | Ultimate Displacement Δu (mm) | Failure Load Pf (kN) | Failure Displacement Δf (mm) | Δf/Δu |
|---|---|---|---|---|---|---|---|---|
| ZWZ-1 | Without opening | 199 | 0.62 | 303 | 3.16 | 188 | 13.75 | 4.35 |
| ZWZ-4 | 750 × 900 | 91 | 0.52 | 183 | 3.54 | 135 | 9.11 | 2.57 |
| ZWZ-5 | 1000 × 1200 | 73 | 0.78 | 135 | 3.89 | 124 | 8.14 | 2.09 |
| ZWZ-6 | 1200 × 1200 | 39 | 0.51 | 78 | 1.87 | 73 | 4.23 | 2.26 |
| Number | Dimension of Holes (mm) | Cracking Load Pcr (kN) | Cracking Displacement Δcr (mm) | Ultimate Load Pu (kN) | Ultimate Displacement Δu (mm) | Failure Load Pf (kN) | Failure Displacement Δf (mm) | Δf/Δu |
|---|---|---|---|---|---|---|---|---|
| ZWZ-1 | Without the opening | 199 | 0.62 | 303 | 3.16 | 188 | 13.75 | 4.35 |
| ZWZ-7 | 900 × 2100 | 61 | 0.65 | 152 | 3.81 | 130 | 10.01 | 2.63 |
| ZWZ-8 | 1000 × 2100 | 47 | 0.71 | 100 | 2.37 | 98 | 5.56 | 2.35 |
| ZWZ-9 | 1200 × 2100 | 21 | 0.54 | 79 | 3.41 | 60 | 6.3 | 1.85 |
| Number | Vertical Compressive Stress (MPa) | Cracking Load Pcr (kN) | Cracking Displacement Δcr (mm) | Ultimate Load Pu (kN) | Ultimate Displacement Δu(mm) | Failure Load Pf (kN) | Failure Displacement Δf(mm) | Δf/Δu |
|---|---|---|---|---|---|---|---|---|
| ZWZ-10 | 0 | 100 | 0.36 | 200 | 4.11 | 174 | 10.77 | 2.62 |
| ZWZ-11 | 0.2 | 134 | 0.42 | 210 | 3.92 | 200 | 8.51 | 2.17 |
| ZWZ-1 | 0.6 | 199 | 0.62 | 303 | 3.16 | 188 | 13.75 | 4.35 |
| ZWZ-12 | 1 | 192 | 0.59 | 285 | 2.71 | 199 | 9.4 | 3.47 |
Publisher’s Note: MDPI stays neutral with regard to jurisdictional claims in published maps and institutional affiliations. |
© 2021 by the authors. Licensee MDPI, Basel, Switzerland. This article is an open access article distributed under the terms and conditions of the Creative Commons Attribution (CC BY) license (https://creativecommons.org/licenses/by/4.0/).
Share and Cite
Wen, B.; Zhang, L.; Niu, D.; Gao, G.; Kang, Y.; Luo, D. Mechanical Performance of Confined Autoclaved Fly-Ash-Brick Masonry Walls under Cyclic Loading. Appl. Sci. 2021, 11, 10560. https://doi.org/10.3390/app112210560
Wen B, Zhang L, Niu D, Gao G, Kang Y, Luo D. Mechanical Performance of Confined Autoclaved Fly-Ash-Brick Masonry Walls under Cyclic Loading. Applied Sciences. 2021; 11(22):10560. https://doi.org/10.3390/app112210560
Chicago/Turabian StyleWen, Bo, Lu Zhang, Ditao Niu, Guanyi Gao, Yongkang Kang, and Daming Luo. 2021. "Mechanical Performance of Confined Autoclaved Fly-Ash-Brick Masonry Walls under Cyclic Loading" Applied Sciences 11, no. 22: 10560. https://doi.org/10.3390/app112210560
APA StyleWen, B., Zhang, L., Niu, D., Gao, G., Kang, Y., & Luo, D. (2021). Mechanical Performance of Confined Autoclaved Fly-Ash-Brick Masonry Walls under Cyclic Loading. Applied Sciences, 11(22), 10560. https://doi.org/10.3390/app112210560

