The Auto-Regressive Model and Spectrum Information Entropy Judgment Method for High Intensity Focused Ultrasound Echo Signal
Abstract
:1. Introduction
2. Theory
2.1. Auto-Regressive Model
2.2. Spectrum Information Entropy
- AR model is used to estimate the power spectrum of the sampled signal, and the power spectrum amplitude is normalized.
- The amplitude range of the power spectrum is segmented. For example, 0~0.1 is the first segment, 0.1~0.2 is the second segment, and so on.
- The amount of data in each segment number is counted and the probability that the segment appears in the whole data point is calculated.
- According to the Equation (10), the spectrum information entropy is calculated, and the HIFU echo signal is judged according to the appropriate threshold.where is spectrum information entropy; is the probability of the -th segment after the power spectrum segmentation; is the segment number.
2.3. Evaluation Indexes
3. Experimental Methods and Results
3.1. Experimental Platform
3.2. Time Domain Analysis of the Sampled Signals
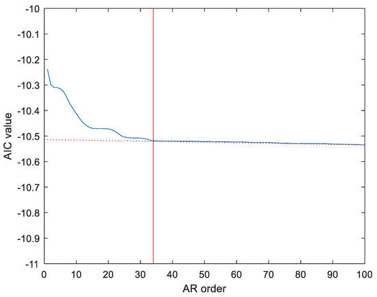
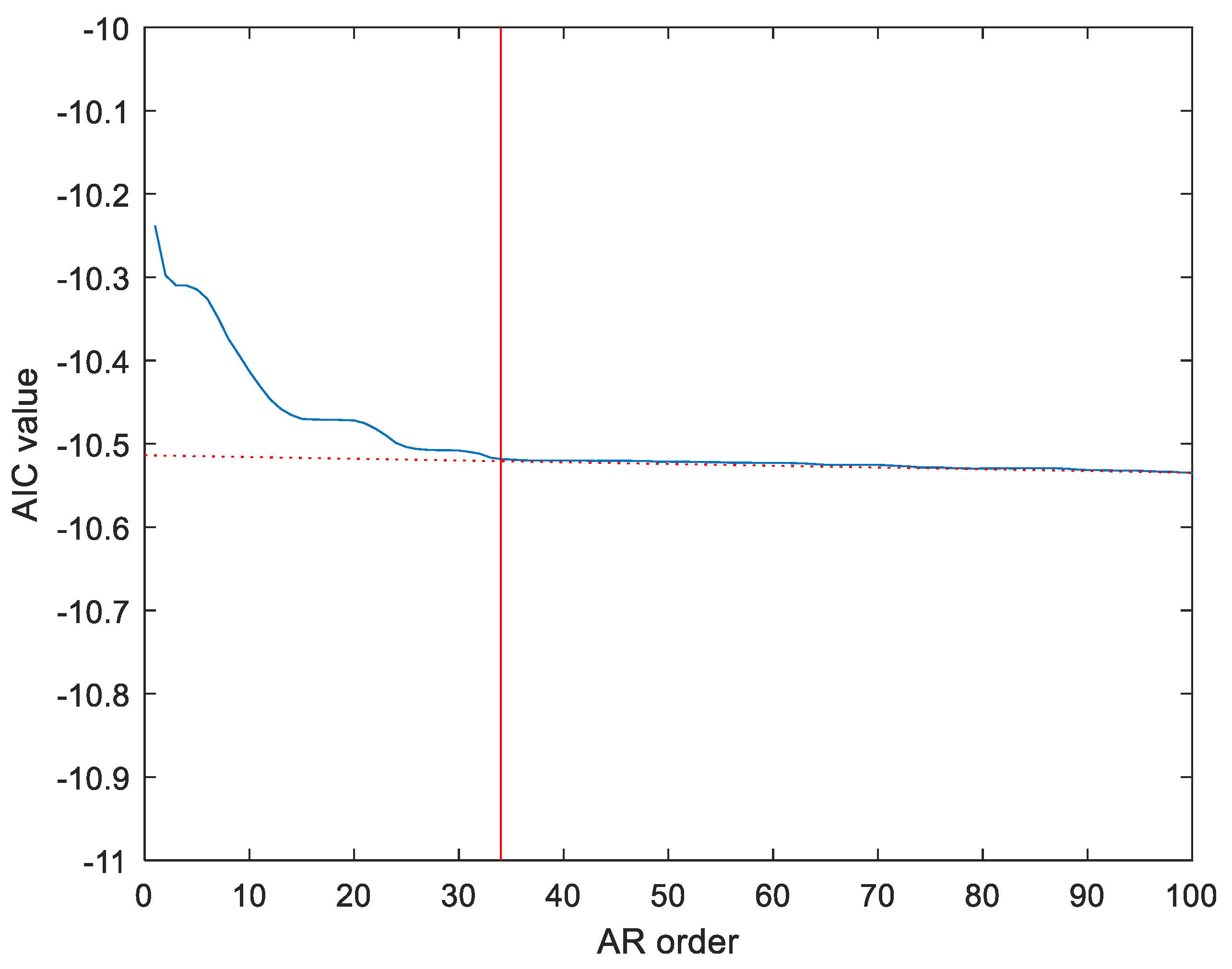
3.3. Analysis of the Power Spectrum by AR Model
3.4. The Influence of the Segment Number for Power Spectrum
3.5. Comparison of Different Judgment Methods
4. Conclusions
Author Contributions
Funding
Institutional Review Board Statement
Informed Consent Statement
Data Availability Statement
Conflicts of Interest
References
- Illing, R.O.; Kennedy, J.E.; Wu, F.; ter Haar, G.R.; Protheroe, A.S.; Friend, P.J.; Gleeson, F.V.; Cranston, D.W.; Phillips, R.R.; Middleton, M.R. The safety and feasibility of extracorporeal high-intensity focused ultrasound (HIFU) for the treatment of liver and kidney tumours in a Western population. Br. J. Cancer 2005, 93, 890–895. [Google Scholar] [CrossRef] [Green Version]
- Kennedy, J.E. High-intensity focused ultrasound in the treatment of solid tumours. Nat. Rev. Cancer 2005, 5, 321–327. [Google Scholar] [CrossRef] [PubMed]
- Orsi, F.; Arnone, P.; Chen, W.; Zhang, L. High intensity focused ultrasound ablation: A new therapeutic option for solid tumors. J. Cancer Res. Ther. 2010, 6, 414–420. [Google Scholar] [PubMed]
- Ide, H.; Nakagawa, T.; Terado, Y.; Yasuda, M.; Kamiyama, Y.; Muto, S.; Horie, S. DNA damage response in prostate cancer cells after high-intensity focused ultrasound (HIFU) treatment. Anticancer Res. 2008, 28, 639–643. [Google Scholar]
- Zhou, Y.; Wang, Z.; Chen, Y.; Shen, H.; Luo, Z.; Li, A.; Wang, Q.; Ran, H.; Li, P.; Song, W.; et al. Microbubbles from Gas-Generating Perfluorohexane Nanoemulsions for Targeted Temperature-Sensitive Ultrasonography and Synergistic HIFU Ablation of Tumors. Adv. Mater. 2013, 25, 4123–4130. [Google Scholar] [CrossRef]
- Park, S.M.; Kim, M.S.; Park, S.; Park, E.S.; Choi, K.; Kim, Y.; Kim, H.R. Novel temperature-triggered liposome with high stability: Formulation, in vitro evaluation, and in vivo study combined with high-intensity focused ultrasound (HIFU). J. Control. Release 2013, 170, 373–379. [Google Scholar] [CrossRef]
- Mottet, N.; Bellmunt, J.; Bolla, M.; Briers, E.; Cumberbatch, M.G.; De Santis, M.; Fossati, N.; Gross, T.; Henry, A.M.; Joniau, S.; et al. EAU-ESTRO-SIOG Guidelines on Prostate Cancer. Part 1: Screening, Diagnosis, and Local Treatment with Curative Intent. Eur. Urol. 2017, 71, 618–629. [Google Scholar] [CrossRef] [PubMed]
- Kramer, G.; Steiner, G.E.; Grobl, M.; Hrachowitz, K.; Reithmayr, F.; Paucz, L.; Newman, M.; Madersbacher, S.; Gruber, D.; Susani, M.; et al. Response to sublethal heat treatment of prostatic tumor cells and of prostatic tumor infiltrating T-cells. Prostate 2004, 58, 109–120. [Google Scholar] [CrossRef]
- Worthington, A.E.; Trachtenberg, J.; Sherar, M.D. Ultrasound properties of human prostate tissue during heating. Ultrasound Med. Biol. 2002, 28, 1311–1318. [Google Scholar] [CrossRef]
- Zhou, Z.; Sheng, L.; Wu, S.; Yang, C.; Zeng, Y. Ultrasonic evaluation of microwave-induced thermal lesions based on wavelet analysis of mean scatterer spacing. Ultrasonics 2013, 53, 1325–1331. [Google Scholar] [CrossRef]
- Damianou, C.A.; Sanghvi, N.T.; Fry, F.J.; Maass-Moreno, R. Dependence of ultrasonic attenuation and absorption in dog soft tissues on temperature and thermal dose. J. Acoust. Soc. Am. 1997, 102, 628–634. [Google Scholar] [CrossRef] [PubMed]
- Clarke, R.L.; Bush, N.L.; Ter Haar, G.R. The changes in acoustic attenuation due to in vitro heating. Ultrasound Med. Biol. 2003, 29, 127–135. [Google Scholar] [CrossRef]
- Liu, B.; Qian, S.Y.; Hu, W.P. Identification of Denatured Biological Tissues Based on Time-Frequency Entropy and Refined Composite Multi-Scale Weighted Permutation Entropy during HIFU Treatment. Entropy 2019, 21, 666. [Google Scholar] [CrossRef] [Green Version]
- Hughes, M.S.; McCarthy, J.E.; Marsh, J.N.; Arbeit, J.M.; Neumann, R.G.; Fuhrhop, R.W.; Wallace, K.D.; Znidersic, D.R.; Maurizi, B.N.; Baldwin, S.L.; et al. Properties of an entropy-based signal receiver with an application to ultrasonic molecular imaging. J. Acoust. Soc. Am. 2007, 121, 3542–3557. [Google Scholar] [CrossRef]
- Yan, S.Q.; Zhang, H.; Liu, B.; Tang, H.; Qian, S.Y. Identification of denatured and normal biological tissues based on compressed sensing and refined composite multi-scale fuzzy entropy during high intensity focused ultrasound treatment. Chin. Phys. B 2021, 30, 601–607. [Google Scholar] [CrossRef]
- Dong, H.; Qian, S.Y.; Tan, Q.; Zou, X.; Liu, B. Temperature Measurement Using Passive Harmonics during High Intensity Focused Ultrasound Exposures in Porcine Tissue. Acta Phys. Pol. A 2018, 134, 524–528. [Google Scholar] [CrossRef]
- Liu, C.; Han, H.; Ta, D.; Wang, W. Effect of selected signals of interest on ultrasonic backscattering measurement in cancellous bones. Sci. China Phys. Mech. Astron. 2013, 56, 1310–1316. [Google Scholar] [CrossRef]
- Ma, J.; Xu, F.; Huang, K.; Huang, R. Improvement on the linear and nonlinear auto-regressive model for predicting the NOx emission of diesel engine. Neurocomputing 2016, 207, 150–164. [Google Scholar] [CrossRef]
- Mei, J.; Shao, Q.; Liu, R. Efficient inference for parameters of unobservable periodic autoregressive time series. Commun. Stat.-Theor. Methods 2017, 46, 7390–7408. [Google Scholar] [CrossRef]
- Gao, J.; Liu, F.; Zhang, J.; Hu, J.; Cao, Y. Information Entropy As a Basic Building Block of Complexity Theory. Entropy 2013, 15, 3396–3418. [Google Scholar] [CrossRef] [Green Version]
- Kish, L.B.; Ferry, D.K. Information entropy and thermal entropy: Apples and oranges. J. Comput. Electron. 2018, 17, 43–50. [Google Scholar] [CrossRef] [Green Version]
- Jiang, F.; Sui, Y.; Cao, C. An information entropy-based approach to outlier detection in rough sets. Expert Syst. Appl. 2010, 37, 6339–6344. [Google Scholar] [CrossRef]







| Methods | Accuracy | Sensitivity | Specificity |
|---|---|---|---|
| AR model-spectrum information entropy | 96.40% | 96.70% | 87.00% |
| Classic power spectrum-spectrum information entropy | 93.30% | 93.25% | 82.95% |
Publisher’s Note: MDPI stays neutral with regard to jurisdictional claims in published maps and institutional affiliations. |
© 2021 by the authors. Licensee MDPI, Basel, Switzerland. This article is an open access article distributed under the terms and conditions of the Creative Commons Attribution (CC BY) license (https://creativecommons.org/licenses/by/4.0/).
Share and Cite
Yan, S.-Q.; Huang, Z.; Liu, B.; Ni, X.-S.; Zhang, H.; Zou, X.; Qian, S.-Y. The Auto-Regressive Model and Spectrum Information Entropy Judgment Method for High Intensity Focused Ultrasound Echo Signal. Appl. Sci. 2021, 11, 9558. https://doi.org/10.3390/app11209558
Yan S-Q, Huang Z, Liu B, Ni X-S, Zhang H, Zou X, Qian S-Y. The Auto-Regressive Model and Spectrum Information Entropy Judgment Method for High Intensity Focused Ultrasound Echo Signal. Applied Sciences. 2021; 11(20):9558. https://doi.org/10.3390/app11209558
Chicago/Turabian StyleYan, Shang-Qu, Zheng Huang, Bei Liu, Xu-Sheng Ni, Han Zhang, Xiao Zou, and Sheng-You Qian. 2021. "The Auto-Regressive Model and Spectrum Information Entropy Judgment Method for High Intensity Focused Ultrasound Echo Signal" Applied Sciences 11, no. 20: 9558. https://doi.org/10.3390/app11209558
APA StyleYan, S.-Q., Huang, Z., Liu, B., Ni, X.-S., Zhang, H., Zou, X., & Qian, S.-Y. (2021). The Auto-Regressive Model and Spectrum Information Entropy Judgment Method for High Intensity Focused Ultrasound Echo Signal. Applied Sciences, 11(20), 9558. https://doi.org/10.3390/app11209558

