Efficiency of the Vehicle Cabin Air Filters for Removing Black Carbon Particles and BTEX from the Air Intake
Abstract
:1. Introduction
2. Methodology
2.1. Vehicle Selection and Laboratory Setup
2.2. Automotive Cabin Filters
2.3. Generation and Measurement of BC Particles
2.4. BTEX Standard and VOC Analysis
3. Results and Discussion
3.1. Particle Standard Generation
3.2. Estimation of BC and PM Mass
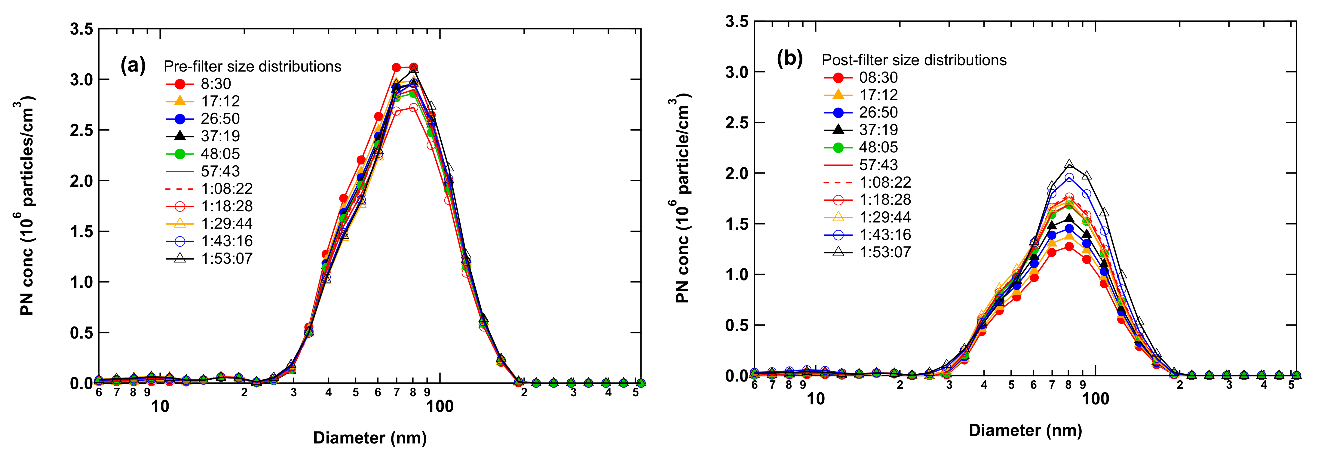
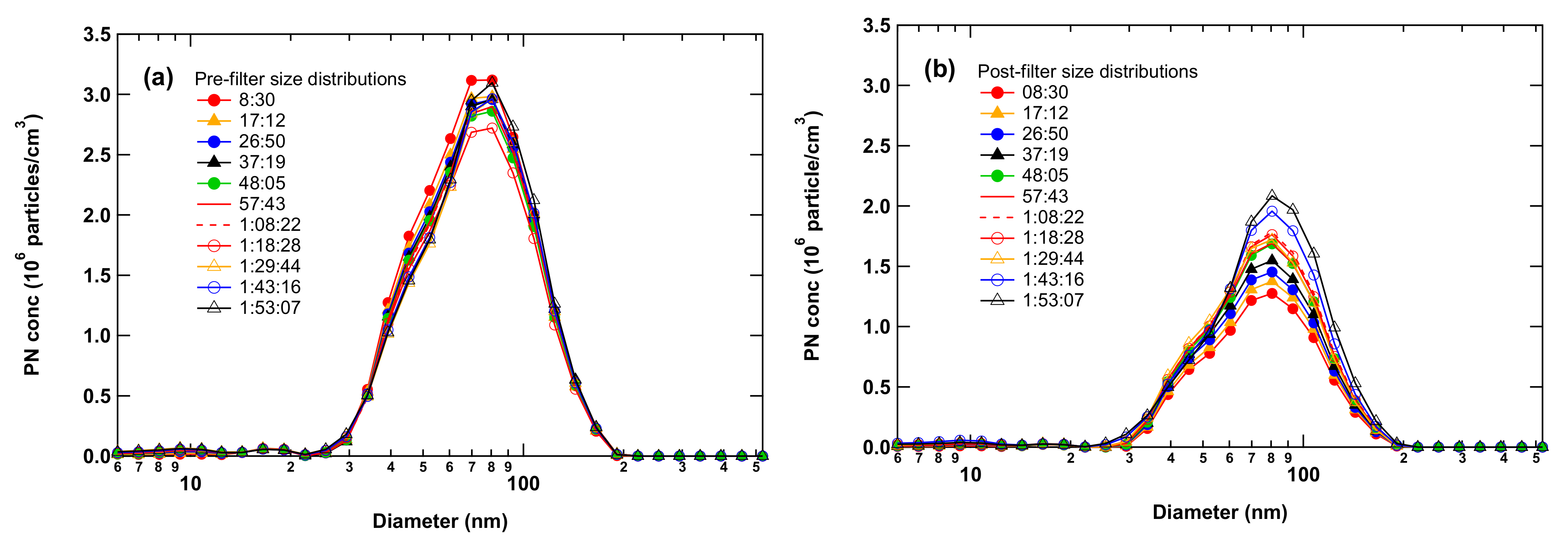
3.3. Particle Filtration Efficiency as a Function of Size
3.4. Particle FE Performance over Time
3.5. Black Carbon and PM FE Performance over Time
3.6. BTEX Removal Efficiency
4. Conclusions
Author Contributions
Funding
Data Availability Statement
Acknowledgments
Conflicts of Interest
Appendix A

Appendix B
| Filter No. | Filter Brand | Filter Type |
|---|---|---|
| 1 | Fram Fresh Breeze | Charcoal |
| 2 | Denso | Electrostatic fiber |
| 3 | Napa | Standard |
| 4 | OEM | Electrostatic fiber |
| 5 | Pronto | Standard |
| 6 | Auto Extra | Standard |
| 7 | Mahle | Standard |
| 8 | Bosch | Electrostatic fiber |
| 9 | WIX | Standard |
| 10 | ATP | Standard |
| 11 | ATP charcoal | Charcoal |
Appendix C

Appendix D
| Compound | Concentration in 100 Liter Air (ng/L) |
|---|---|
| Benzene | 78,000 |
| Toluene | 229,000 |
| Ethylbenzene | 40,000 |
| m,p-Xylene | 118,000 |
| o-Xylene | 36,000 |
References
- Peters, A.; Skorkovsky, J.; Kotesovec, F.; Brynda, J.; Spix, C.; Wichmann, H.E.; Heinrich, J. Associations between mortality and air pollution in Central Europe. Environ. Health Perspect. 2000, 108, 283–287. [Google Scholar] [CrossRef] [PubMed]
- Suglia, S.F.; Gryparis, A.; Schwartz, J.; Wright, R.J. Association between traffic-related black carbon exposure and lung function among urban women. Environ. Health Perspect. 2008, 116, 1333–1337. [Google Scholar] [CrossRef] [PubMed]
- Ning, Z.; Sioutas, C. Atmospheric processes influencing aerosols generated by combustion and the inference of their impact on public exposure: A review. Aerosol Air Qual. Res. 2010, 10, 43–58. [Google Scholar] [CrossRef] [Green Version]
- Wilker, E.H.; Baccarelli, A.; Suh, H.; Vokonas, P.; Wright, R.O.; Schwartz, J. Black carbon exposures, blood pressure, and interactions with single nucleotide polymorphisms in MicroRNA processing genes. Environ. Health Perspect. 2010, 118, 943–948. [Google Scholar] [CrossRef] [Green Version]
- Thurston, G.D.; Burnett, R.T.; Turner, M.C.; Shi, Y.; Krewski, D.; Lall, R.; Ito, K.; Jerrett, M.; Gapstur, S.M.; Diver, W.R.; et al. Ischemic heart disease mortality and long-term exposure to source-related components of U.S. fine particle air pollution. Environ. Health Perspect. 2016, 124, 785–794. [Google Scholar] [CrossRef] [Green Version]
- Knox, E.G. Childhood cancers and atmospheric carcinogens. J. Epidemiol. Commun. Health 2005, 59, 101–105. [Google Scholar] [CrossRef] [Green Version]
- Wickliffe, J.K.; Stock, T.H.; Howard, J.L.; Frahm, E.; Simon-Friedt, B.R.; Montgomery, K.; Wilson, M.J.; Lichtveld, M.Y.; Harville, E. Increased long-term health risks attributable to select volatile organic compounds in residential indoor air in southeast Louisiana. Sci. Rep. 2020, 10, 21649. [Google Scholar] [CrossRef]
- Malm, W.C. Atmospheric haze: Its sources and effects on visibility in rural areas of the continental United States. Environ. Monit. Assess. 1989, 12, 203–225. [Google Scholar] [CrossRef]
- Bond, T.C.; Doherty, S.J.; Fahey, D.W.; Forster, P.M.; Bemtsen, T.; DeAngelo, B.J.; Flanner, M.G.; Ghan, S.; Kärcher, B.; Koch, D.; et al. Bounding the role of black carbon in the climate system: A scientific assessment. J. Geophys. Res. Atmos. 2013, 118, 5380–5552. [Google Scholar] [CrossRef]
- Matz, C.J.; Stieb, D.M.; Egyed, M.; Brion, O.; Johnson, M. Evaluation of daily time spent in transportation and traffic-influenced microenvironments by urban Canadian. Air Qual. Atmos. Health 2018, 11, 209–220. [Google Scholar] [CrossRef] [Green Version]
- Duffy, B.L.; Nelson, P.F. Exposure to emissions of 1,3-butadiene and benzene in the cabins of moving motor vehicles an dbuses in Sydney, Australia. Atmos. Environ. 1997, 31, 3877–3885. [Google Scholar] [CrossRef]
- Lee, K.; Sohn, H.; Putti, K. In-vehicle exposures to particulate matter and black carbon. J. Air Waste Manag. Assoc. 2010, 60, 130–136. [Google Scholar] [CrossRef] [PubMed]
- Hudda, N.; Kostenidou, E.; Sioutas, C.; Delfino, R.J.; Fruin, S.A. Vehicle and driving characteristics that influence in-cabin particle number concentration. Environ. Sci. Technol. 2011, 45, 8691–8697. [Google Scholar] [CrossRef]
- Rudell, B.; Wass, U.; Hörstedt, P.; Levin, J.O.; Lindahl, R.; Rannug, U.; Sunesson, A.L.; Östberg, Y.; Sandström, T. Efficiency of automotive cabin filters to reduce acute health effects of diesel exhaust in human subjects. Occup. Environ. Med. 1999, 56, 222–231. [Google Scholar] [CrossRef] [Green Version]
- Zhu, Y.; Eiguren-Fernandez, A.; Hinds, W.C.; Miguel, A.H. In-cabin commuter exposure to ultrafine particles on Los Angeles freeways. Environ. Sci. Technol. 2007, 41, 2138–2145. [Google Scholar] [CrossRef]
- Pui, D.Y.H.; Qi, C.; Stanley, N.; Oberdörster, G.; Maynard, A. Recirculating air filtration significantly reduces exposure to airborne nanoparticles. Environ. Health Perspect. 2008, 116, 863–866. [Google Scholar] [CrossRef] [PubMed] [Green Version]
- Lee, E.S.; Zhu, Y. Application of a high-efficiency cabin air filter for simultaneous mitigation of ultrafine particle and carbon dioxide exposures inside passenger vehicles. Environ. Sci. Technol. 2014, 48, 2328–2335. [Google Scholar] [CrossRef]
- Hinds, W.C. Filtration. In Aerosol Technology: Properties, Behaviour, and Measurement of Airborne Particles, 2nd ed.; John Wiley & Sons, Inc.: Hoboken, NJ, USA, 1999; Chapter 9; pp. 182–205. [Google Scholar]
- Wang, C.S. Electrostatic forces in fibrous filter—A review. Power Technol. 2001, 118, 166–170. [Google Scholar] [CrossRef]
- Lee, K.W.; Liu, B.Y.H. On the minimum efficiency and the most penetrating particle size for fibrous filters. J. Air Pollut. Control Assoc. 1980, 30, 377–381. [Google Scholar] [CrossRef]
- Muala, A.; Sehlstedt, M.; Bion, A.; Österlund, C.; Bosson, J.A.; Behndig, A.F.; Pourazar, J.; Bucht, A.; Boman, C.; Mudway, I.S.; et al. Assessment of the capacity of vehicle cabin air inlet filters to reduce diesel exhaust-induced symptoms in human volunteers. Environ. Health 2014, 13, 16. [Google Scholar] [CrossRef] [Green Version]
- ASHRAE. Ventilation for Acceptable Indoor Air Quality, ANSI/ASHRAE Standard 62.1. American National Standards Institute and American Society of Heating, Refrigerating and Air-Conditioning Engineers. 2016. Available online: https://www.ashrae.org/technical-resources/standards-and-guidelines/read-only-versions-of-ashrae-standards (accessed on 26 July 2021).
- Health Canada. Residential Indoor Air Quality Guidelines for Carbon Dioxide—for Public Consultation. 2020. Available online: https://www.canada.ca/en/health-canada/programs/consultation-residential-indoor-air-quality-guidelines-carbon-dioxide/document.html (accessed on 26 July 2021).
- Grady, M.L.; Jung, H.; Kim, Y.C.; Park, J.K.; Lee, B.C. Vehicle cabin air quality with fractional air recirculation. SAE Tech. Pap. 2013. [Google Scholar] [CrossRef] [Green Version]
- Tartakovsky, L.; Baibikov, V.; Czerwinski, J.; Gutman, M.; Kasper, M.; Popescu, D.; Veinblat, M.; Zvirin, Y. In-vehicle particle air pollution and its mitigation. Atmos. Environ. 2013, 64, 320–328. [Google Scholar] [CrossRef]
- Brown, R.C. Electrically charged air filterst. KONA Powder Part. J. 1991, 9, 174–186. [Google Scholar] [CrossRef] [Green Version]
- Ardkapan, S.R.; Johnson, M.S.; Yazdi, S.; Afshari, A.; Bergsøe, N.C. Filtration efficiency of an electrostatic fibrous filter: Studying filtration dependency on ultrafine particle exposure and composition. J. Aerosol Sci. 2014, 72, 14–20. [Google Scholar] [CrossRef]
- Maricq, M.M.; Podsiadlik, D.H.; Chase, R.E. Gasoline vehicle particle size distributions: Comparison of steady state, FTP, and US06 measurements. Environ. Sci. Technol. 1999, 33, 2007–2015. [Google Scholar] [CrossRef]
- Harris, S.J.; Maricq, M.M. Signature size distributions for diesel and gasoline engine exhaust particulate matter. J. Aerosol Sci. 2001, 32, 749–764. [Google Scholar] [CrossRef]
- Kittelson, D.B.; Watt, W.F.; Johnson, J.P. On-road and laboratory evaluation of combustion aerosols-part 1: Summary of diesel engine results. J. Aerosol Sci. 2006, 37, 913–930. [Google Scholar] [CrossRef]
- Kittelson, D.B.; Watt, W.F.; Johnson, J.P.; Schauer, J.J.; Lawson, D.R. On-road and laboratory evaluation of combustion aerosols-part 2: Summary of spark ignition engine results. J. Aerosol Sci. 2006, 37, 931–949. [Google Scholar] [CrossRef]
- Chan, T.W.; Meloche, E.; Kubsh, J.; Rosenblatt, D.; Brezny, R.; Rideout, G. Evaluation of a gasoline particulate filter to reduce particle emissions from a gasoline direct injection vehicle. SAE Int. J. Fuels Lubr. 2012, 5, 1277–1290. [Google Scholar] [CrossRef]
- Chan, T.W.; Meloche, E.; Kubsh, J.; Brezny, R. Black carbon emissions in gasoline exhaust and a reduction alternative with a gasoline particulate filter. Environ. Sci. Technol. 2014, 48, 6027–6034. [Google Scholar] [CrossRef]
- Saffaripour, M.; Chan, T.W.; Liu, F.; Thomson, K.A.; Smallwood, G.J.; Kubsh, J.; Brezny, R. Effect of drive cycle and gasoline particulate filter on the size and morphology of soot particles emitted from a gasoline-direct-injection vehicle. Environ. Sci. Technol. 2015, 49, 11950–11958. [Google Scholar] [CrossRef] [PubMed]
- Calcote, H.F. Mechanisms of soot nucleation in flames—A critical review. Combust. Flame 1981, 42, 215–242. [Google Scholar] [CrossRef]
- Onischuk, A.A.; di Stasio, S.; Karasev, V.V.; Strunin, V.P.; Baklanov, A.M.; Panfilov, V.N. Evidence for long-range Coulomb effects during formation of nanoparticle agglomerates from pyrolysis and combustion routes. J. Phys. Chem. A 2000, 104, 10426–10434. [Google Scholar] [CrossRef]
- Onischuk, A.A.; di Stasio, S.; Karasev, V.V.; Baklanov, A.M.; Makhov, G.A.; Vlasenko, A.L.; Sadykova, A.R.; Shipovalov, A.V.; Panfilov, V.N. Evolution of structure and charge of soot aggregates during and after formation in a propane/air diffusion flame. J. Aerosol Sci. 2003, 34, 383–403. [Google Scholar] [CrossRef]
- Baumgartner, H.P.; Löffler, F. The collection performance of electret filters in the particle size range 10 nm–10 μm. J. Aerosol Sci. 1986, 17, 438–445. [Google Scholar] [CrossRef]
- Walsh, D.C.; Stenhouse, J.I.T. The effect of particle size, charge, and composition on the loading characteristics of an electrically active fibrous filter material. J. Aerosol Sci. 1997, 28, 307–321. [Google Scholar] [CrossRef]
- Walsh, D.C.; Stenhouse, J.I.T. Parameters affecting the loading behavior and degradation of electrically active filter materials. Aerosol Sci. Technol. 1998, 29, 419–432. [Google Scholar] [CrossRef]
- Jing, L. Standard combustion aerosol generator (SCAG) for calibration purposes. In Proceedings of the 3rd ETH Workshop “Nanoparticle Measurement”, Zurich, Switzerland, 9–10 August 1999. [Google Scholar]
- Moore, R.H.; Ziemba, L.D.; Dutcher, D.; Beyersdorf, A.J.; Chan, K.; Crumeyrolle, S.; Raymond, T.M.; Thornhill, K.L.; Winstead, E.L.; Anderson, B.E. Mapping the operation of the Miniature Combustion Aerosol Standard (Mini-CAST) soot generator. Aerosol Sci. Technol. 2014, 48, 467–479. [Google Scholar] [CrossRef]
- Johnson, T.; Caldow, R.; Pocher, A.; Mirme, A.; Kittelson, D. A new electrical mobility particle sizer spectrometer for engine exhaust particle measurements. SAE Tech. Pap. 2004. [Google Scholar] [CrossRef]
- Snelling, D.R.; Smallwood, G.J.; Sawchuk, R.A.; Neill, W.S.; Gareau, D.; Clavel, D.J.; Chippior, W.L.; Liu, F.; Gülder, Ö.L.; Bachalo, W.D. In-situ real-time characterization of particulate emissions from a diesel engine exhaust by laser-induced incandescence. SAE Tech. Pap. 2000. [Google Scholar] [CrossRef] [Green Version]
- Snelling, D.R.; Smallwood, G.J.; Liu, F.; Gülder, Ö.L.; Bachalo, W.D. A calibration-independent laser-induced incandescence technique for soot measurement by detecting absolute light intensity. Appl. Opt. 2005, 44, 6773–6785. [Google Scholar] [CrossRef] [PubMed] [Green Version]
- Lehmann, U.; Niemelä, V.; Mohr, M. New method for time-resolved diesel engine exhaust particle mass measurement. Environ. Sci. Technol. 2004, 38, 5704–5711. [Google Scholar] [CrossRef]
- Weichenthal, S.; Van Ryswyk, K.; Kulka, R.; Sun, L.; Wallace, L.; Joseph, L. In-vehicle exposures to particulate air pollution in Canadian metropolitan area: The urban transportation exposure study. Environ. Sci. Technol. 2015, 49, 597–605. [Google Scholar] [CrossRef] [PubMed]
- Van Ryswyk, K.; Anastasopolos, A.T.; Evans, G.; Sun, L.; Sabaliauskas, K.; Kulka, R.; Wallace, L.; Weichenthal, S. Metro commuter exposures to particulate air pollution and PM2.5-associated elements in three Canadian cities: The Urban Transportation Exposure Study. Environ. Sci. Technol. 2017, 51, 5713–5720. [Google Scholar] [CrossRef] [PubMed] [Green Version]
- Austin, C.C.; Wang, D.; Ecobichon, D.J.; Dussault, G. Characterization of volatile organic compounds in smoke at municipal structural fires. J. Toxicol. Environ. Health A 2001, 63, 437–458. [Google Scholar] [CrossRef] [PubMed]
- Kittelson, D.B.; Dolan, D.F.; Verrant, J.A. Investigation of a diesel exhaust aerosol. SAE Tech. Pap. 1978, 780109. [Google Scholar] [CrossRef]
- McMurry, P.H.; Wang, X.; Park, K.; Ehara, K. The relationship between mass and mobility for atmospheric particles: A new technique for measuring particle density. Aerosol Sci. Technol. 2002, 36, 227–238. [Google Scholar] [CrossRef]
- Park, K.; Cao, F.; Kittelson, D.B.; McMurry, P.H. Relationship between particle mass and mobility for diesel exhaust particles. Environ. Sci. Technol. 2003, 37, 577–583. [Google Scholar] [CrossRef]
- Maricq, M.M.; Xu, N. The effective density and fractal dimension of soot particles from premixed flames and motor vehicle exhaust. J. Aerosol Sci. 2004, 35, 1251–1274. [Google Scholar] [CrossRef]
- Symonds, J.P.R.; Reavell, K.S.T.J.; Olfert, J.S.; Campbell, B.W.; Swift, S.J. Diesel soot mass calculation in real-time with a differential mobility spectrometer. J. Aerosol Sci. 2007, 38, 52–68. [Google Scholar] [CrossRef]
- Quiros, D.C.; Hu, S.; Hu, S.; Lee, E.S.; Sardar, S.; Wang, X.; Olfert, J.S.; Jung, H.S.; Zhu, Y.; Huai, T. Particle effective density and mass during steady-state operation of GDI, PFI, and diesel passenger cars. J. Aerosol Sci. 2015, 83, 39–54. [Google Scholar] [CrossRef]
- Stafford, R.G.; Ettinger, H.J. Filter efficiency as a function of particle size and velocity. Atmos. Environ. 1972, 6, 353–362. [Google Scholar] [CrossRef]
- Hanley, J.T.; Ensor, D.S.; Smith, D.D.; Sparks, L.E. Fractional aerosol filtration efficiency of in-duct ventilation air cleaners. Indoor Air 1994, 4, 169–178. [Google Scholar] [CrossRef]












Publisher’s Note: MDPI stays neutral with regard to jurisdictional claims in published maps and institutional affiliations. |
© 2021 by the authors. Licensee MDPI, Basel, Switzerland. This article is an open access article distributed under the terms and conditions of the Creative Commons Attribution (CC BY) license (https://creativecommons.org/licenses/by/4.0/).
Share and Cite
Chan, T.W.; Lee, M.; Mallach, G.; Buote, D. Efficiency of the Vehicle Cabin Air Filters for Removing Black Carbon Particles and BTEX from the Air Intake. Appl. Sci. 2021, 11, 9048. https://doi.org/10.3390/app11199048
Chan TW, Lee M, Mallach G, Buote D. Efficiency of the Vehicle Cabin Air Filters for Removing Black Carbon Particles and BTEX from the Air Intake. Applied Sciences. 2021; 11(19):9048. https://doi.org/10.3390/app11199048
Chicago/Turabian StyleChan, Tak W., Marie Lee, Gary Mallach, and David Buote. 2021. "Efficiency of the Vehicle Cabin Air Filters for Removing Black Carbon Particles and BTEX from the Air Intake" Applied Sciences 11, no. 19: 9048. https://doi.org/10.3390/app11199048
APA StyleChan, T. W., Lee, M., Mallach, G., & Buote, D. (2021). Efficiency of the Vehicle Cabin Air Filters for Removing Black Carbon Particles and BTEX from the Air Intake. Applied Sciences, 11(19), 9048. https://doi.org/10.3390/app11199048

