The Study of Thermal Properties of Blackberry, Chokeberry and Raspberry Seeds and Oils
Abstract
1. Introduction
2. Materials and Methods
2.1. Chemicals
2.2. Study of Seeds
2.2.1. Water Activity Measurements of Seeds
2.2.2. DSC Study of Seeds
2.2.3. MDSC Study of Seeds
2.2.4. TG/DTG Study of Seeds
2.3. Study of Oil Obtained from Seeds
2.3.1. Extraction of Oil
2.3.2. GC Analysis of Extracted Oils
2.3.3. PDSC Study of Extracted Oils
2.3.4. TG/DTG Study of Extracted Oils
2.4. Statistical Analysis
3. Results and Discussion
3.1. Study of Seeds
3.1.1. Water Activity of Seeds
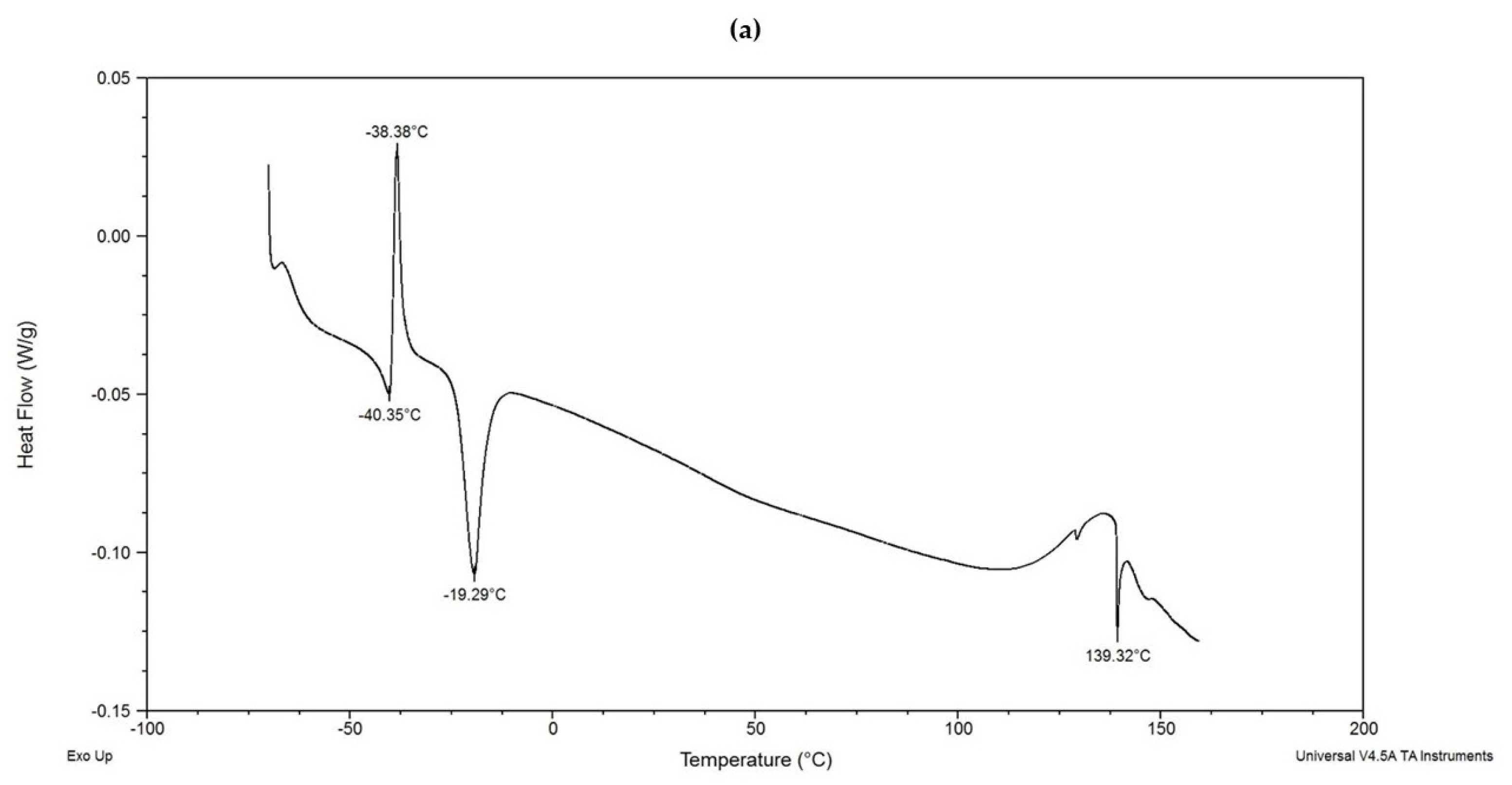
3.1.2. Differential Scanning Calorimetry of Seeds
3.1.3. MDSC of Seeds
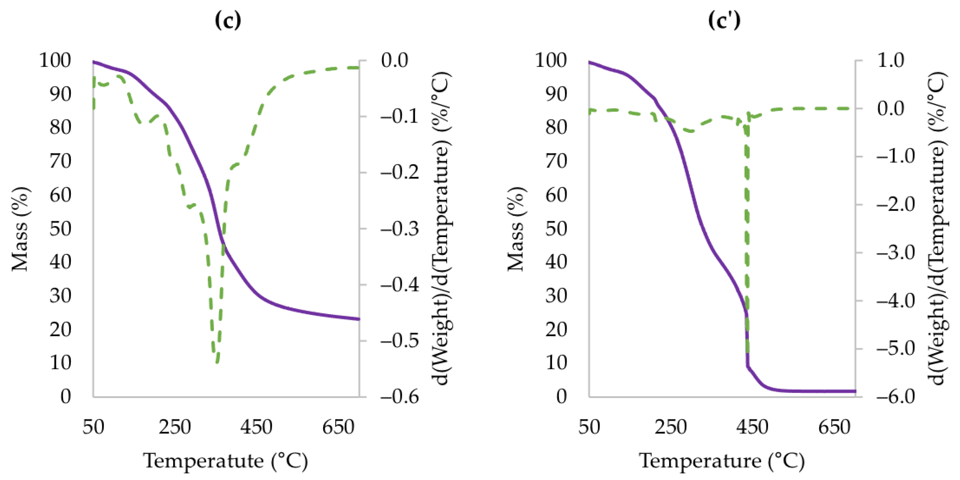
3.1.4. TG/DTG of Seeds
3.2. Study of Oil Obtained from Seeds
3.2.1. Oil Extraction Efficiency
3.2.2. Gas Chromatography (GC) of Extracted Oils
3.2.3. PDSC of Extracted Oils
3.2.4. TG/DTG of Extracted Oils
4. Conclusions
Author Contributions
Funding
Institutional Review Board Statement
Informed Consent Statement
Data Availability Statement
Conflicts of Interest
References
- Food Loss and Waste Facts. Available online: http://www.fao.org/resources/infographics/infographics-details/en/c/317265 (accessed on 6 May 2021).
- FAO. Moving Forward on Food Loss and Waste Reduction; FAO: Rome, Italy, 2019. [Google Scholar]
- Campos, D.A.; Gómez-García, R.; Vilas-Boas, A.A.; Madureira, A.R.; Pintado, M.M. Management of Fruit Industrial By-Products—A Case Study on Circular Economy Approach. Molecules 2020, 25, 320. [Google Scholar] [CrossRef] [PubMed]
- Fruits and Derived Products. Available online: http://www.fao.org/es/faodef/fdef08e.htm (accessed on 6 May 2021).
- FAOSTAT Crop Database. Available online: http://www.fao.org/faostat/en/#data/QC (accessed on 6 May 2021).
- Schmid, V.; Steck, J.; Mayer-Miebach, E.; Behsnilian, D.; Briviba, K.; Bunzel, M.; Karbstein, H.P.; Emin, M.A. Impact of defined thermomechanical treatment on the structure and content of dietary fiber and the stability and bioaccessibility of polyphenols of chokeberry (Aronia melanocarpa) pomace. Food Res. Int. 2020, 134, 109232. [Google Scholar] [CrossRef] [PubMed]
- Zlatanov, M.D. Lipid composition of Bulgarian chokeberry, black currant and rose hip seed oils. J. Sci. Food Agric. 1999, 79, 1620–1624. [Google Scholar] [CrossRef]
- Van Hoed, V.; De Clercq, N.; Echim, C.; Andjelkovic, M.; Leber, E.; Dewettinck, K.; Verhe, R. Berry Seeds: A Source of Specialty Oils with High Content of Bioactives and Nutritional Value. J. Food Lipids 2009, 16, 33–49. [Google Scholar] [CrossRef]
- Das, U.N. Essential fatty acids: Biochemistry, physiology and pathology. Biotechnol. J. 2006, 1, 420–439. [Google Scholar] [CrossRef] [PubMed]
- Kamal-Eldin, A. Effect of fatty acids and tocopherols on the oxidative stability of vegetable oils. Eur. J. Lipid Sci. Technol. 2006, 108, 1051–1061. [Google Scholar] [CrossRef]
- Leyva-Porras, C.; Cruz-Alcantar, P.; Espinosa-Solís, V.; Martínez-Guerra, E.; Balderrama, C.I.P.-; Martínez, I.C.; Saavedra-Leos, M.Z. Application of Differential Scanning Calorimetry (DSC) and Modulated Differential Scanning Calorimetry (MDSC) in Food and Drug Industries. Polymers 2019, 12, 5. [Google Scholar] [CrossRef] [PubMed]
- Bhandari, B.; Howes, T. Implication of glass transition for the drying and stability of dried foods. J. Food Eng. 1999, 40, 71–79. [Google Scholar] [CrossRef]
- Roos, Y.H. Thermal analysis, state transitions and food quality. J. Therm. Anal. Calorim. 2003, 71, 197–203. [Google Scholar] [CrossRef]
- Santos, J.; Santos, I.; Souza, A.; Prasad, S.; Santos, A. Thermal Stability and Kinetic Study on Thermal Decomposition of Commercial Edible Oils by Thermogravimetry. J. Food Sci. 2002, 67, 1393–1398. [Google Scholar] [CrossRef]
- Kowalski, B.; Ratusz, K.; Kowalska, D.; Bekas, W. Determination of the oxidative stability of vegetable oils by Differential Scanning Calorimetry andRancimat measurements. Eur. J. Lipid Sci. Technol. 2004, 106, 165–169. [Google Scholar] [CrossRef]
- Petrović, M.; Kezić, N.; Bolanča, V. Optimization of the GC method for routine analysis of the fatty acid profile in several food samples. Food Chem. 2010, 122, 285–291. [Google Scholar] [CrossRef]
- Ostrowska-Ligęza, E.; Gorska, A.; Wirkowska, M.; Koczoń, P. An assessment of various powdered baby formulas by conventional methods (DSC) or FT-IR spectroscopy. J. Therm. Anal. Calorim. 2012, 110, 465–471. [Google Scholar] [CrossRef]
- Ostrowska-Ligęza, E.; Jakubczyk, E.; Górska, A.; Wirkowska-Wojdyła, M.; Bryś, J. The use of moisture sorption isotherms and glass transition temperature to assess the stability of powdered baby formulas. J. Therm. Anal. Calorim. 2014, 118, 911–918. [Google Scholar] [CrossRef]
- Ostrowska-Ligęza, E.; Górska, A.; Wirkowska-Wojdyła, M.; Bryś, J.; Dolatowska-Żebrowska, K.; Shamilowa, M.; Ratusz, K. Thermogravimetric characterization of dark and milk chocolates at different processing stages. J. Therm. Anal. Calorim. 2018, 134, 623–631. [Google Scholar] [CrossRef]
- Polish Norm: PN-EN ISO 659:2010: Oilseeds—Determination of Oil Content (Reference Method); Polish Committee for Standardization: Warsaw, Poland, 2010.
- Polish Norm: PN-EN ISO: 5509:2001: Oil and Vegetable and Animal Fats. Preparation of Methyl Ester of Fatty Acids; Polish Committee for Standardization: Warsaw, Poland, 2001. [Google Scholar]
- Mathlouthi, M. Water content, water activity, water structure and the stability of foodstuffs. Food Control. 2001, 12, 409–417. [Google Scholar] [CrossRef]
- Jensen, P.N.; Risbo, J. Oxidative stability of snack and cereal products in relation to moisture sorption. Food Chem. 2007, 103, 717–724. [Google Scholar] [CrossRef]
- Micić, D.; Ostojic, S.; Simonovic, M.; Krstić, G.; Pezo, L.; Simonović, B.R. Kinetics of blackberry and raspberry seed oils oxidation by DSC. Thermochim. Acta 2015, 601, 39–44. [Google Scholar] [CrossRef]
- Oomah, B.; Ladet, S.; Godfrey, D.V.; Liang, J.; Girard, B. Characteristics of raspberry (Rubus idaeus L.) seed oil. Food Chem. 2000, 69, 187–193. [Google Scholar] [CrossRef]
- Majewski, M.; Kucharczyk, E.; Kaliszan, R.; Markuszewski, M.; Fotschki, B.; Juśkiewicz, J.; Borkowska-Sztachańska, M.; Ognik, K. The Characterization of Ground Raspberry Seeds and the Physiological Response to Supplementation in Hypertensive and Normotensive Rats. Nutrients 2020, 12, 1630. [Google Scholar] [CrossRef] [PubMed]
- Sójka, M.; Kołodziejczyk, K.; Milala, J. Polyphenolic and basic chemical composition of black chokeberry industrial by-products. Ind. Crop. Prod. 2013, 51, 77–86. [Google Scholar] [CrossRef]
- Karmas, R.; Buera, M.P.; Karel, M. Effect of glass transition on rates of nonenzymic browning in food systems. J. Agric. Food Chem. 1992, 40, 873–879. [Google Scholar] [CrossRef]
- Amit, S.K.; Uddin, M.; Rahman, R.; Islam, S.M.R.; Khan, M.S. A review on mechanisms and commercial aspects of food preservation and processing. Agric. Food Secur. 2017, 6. [Google Scholar] [CrossRef]
- Górska, A.; Szulc, K.; Ostrowska-Ligeza, E.; Wirkowska, M.; Bryś, J. The influence of trehalose–maltodextrin and lactose–maltodextrin matrices on thermal and sorption properties of spray-dried β-lactoglobulin–vitamin D3 complexes. J. Therm. Anal. Calorim. 2013, 112, 429–436. [Google Scholar] [CrossRef]
- Jakubczyk, E.; Ostrowska-Ligeza, E.; Gondek, E. Moisture sorption characteristics and glass transition temperature of apple puree powder. Int. J. Food Sci. Technol. 2010, 45, 2515–2523. [Google Scholar] [CrossRef]
- Górska, A.; Ostrowska-Ligeza, E.; Szulc, K.; Wirkowska, M. A differential scanning calorimetric study of β-lactoglobulin and vitamin D3 complexes. J. Therm. Anal. Calorim. 2012, 110, 473–477. [Google Scholar] [CrossRef]
- Duman, G.; Okutucu, C.; Ucar, S.; Stahl, R.; Yanik, J. The slow and fast pyrolysis of cherry seed. Bioresour. Technol. 2011, 102, 1869–1878. [Google Scholar] [CrossRef] [PubMed]
- Bada, J.; León-Camacho, M.; Copovi, P.; Alonso, L. Characterization of Berry and Currant Seed Oils from Asturias, Spain. Int. J. Food Prop. 2013, 17, 77–85. [Google Scholar] [CrossRef][Green Version]
- Wajs-Bonikowska, A.; Stobiecka, A.; Bonikowski, R.; Krajewska, A.; Sikora, M.; Kula, J. A comparative study on composition and antioxidant activities of supercritical carbon dioxide, hexane and ethanol extracts from blackberry (Rubus fruticosus) growing in Poland. J. Sci. Food Agric. 2017, 97, 3576–3583. [Google Scholar] [CrossRef]
- Radočaj, O.; Vujasinović, V.; Dimić, E.; Basić, Z. Blackberry (Rubus fruticosus L.) and raspberry (Rubus idaeus L.) seed oils extracted from dried press pomace after longterm frozen storage of berries can be used as functional food ingredients. Eur. J. Lipid Sci. Technol. 2014, 116, 1015–1024. [Google Scholar] [CrossRef]
- Pieszka, M.; Gogol, P.; Pietras, M.; Pieszka, M. Valuable Components of Dried Pomaces of Chokeberry, Black Currant, Strawberry, Apple and Carrot as a Source of Natural Antioxidants and Nutraceuticals in the Animal Diet. Ann. Anim. Sci. 2015, 15, 475–491. [Google Scholar] [CrossRef]
- Gao, F.; Birch, J. Oxidative stability, thermal decomposition, and oxidation onset prediction of carrot, flax, hemp, and canola seed oils in relation to oil composition and positional distribution of fatty acids. Eur. J. Lipid Sci. Technol. 2016, 118, 1042–1052. [Google Scholar] [CrossRef]
- FAO/WHO. Food and Agriculture Organization of the United Nations Fats and Fatty Acids in Human Nutrition; FAO: Rome, Italy, 2010. [Google Scholar]
- Chen, J.; Liu, H. Nutritional Indices for Assessing Fatty Acids: A Mini-Review. Int. J. Mol. Sci. 2020, 21, 5695. [Google Scholar] [CrossRef]
- Symoniuk, E.; Ratusz, K.; Krygier, K. Comparison of the oxidative stability of cold-pressed rapeseed oil using Pressure Differential Scanning Calorimetry and Rancimat methods. Eur. J. Lipid Sci. Technol. 2017, 119, 1600182. [Google Scholar] [CrossRef]
- Ciemniewska-Żytkiewicz, H.; Ratusz, K.; Bryś, J.; Reder, M.; Koczoń, P. Determination of the oxidative stability of hazelnut oils by PDSC and Rancimat methods. J. Therm. Anal. Calorim. 2014, 118, 875–881. [Google Scholar] [CrossRef]
- Symoniuk, E.; Ratusz, K.; Krygier, K. Comparison of the oxidative stability of linseed (Linum usitatissimum L.) oil by pressure differential scanning calorimetry and Rancimat measurements. J. Food Sci. Technol. 2016, 53, 3986–3995. [Google Scholar] [CrossRef] [PubMed]
- Ratusz, K.; Popis, E.; Ciemniewska-Żytkiewicz, H.; Wroniak, M. Oxidative stability of camelina (Camelina sativa L.) oil using pressure differential scanning calorimetry and Rancimat method. J. Therm. Anal. Calorim. 2016, 126, 343–351. [Google Scholar] [CrossRef]
- Nehdi, I.A.; Sbihi, H.; Tan, C.P.; Al-Resayes, S.I. Evaluation and characterisation of Citrullus colocynthis (L.) Schrad seed oil: Comparison with Helianthus annuus (sunflower) seed oil. Food Chem. 2013, 136, 348–353. [Google Scholar] [CrossRef] [PubMed]








| Source of Seeds | aw |
|---|---|
| Blackberry | 0.156 ± 0.002 a |
| Chokeberry | 0.227 ± 0.001 b |
| Raspberry | 0.237 ± 0.004 c |
| Source of Seeds | Tg Onset (°C) | Tg Midpoint (°C) | Tg Endpoint (°C) |
|---|---|---|---|
| Blackberry | 73.66 ± 1.46 | 74.09 ± 1.23 | 74.11 ± 1.41 |
| Chokeberry | 55.14 ± 0.89 | 55.27 ± 0.78 | 55.40 ± 1.08 |
| Raspberry | 28.26 ± 0.17 | 29.31 ± 0.11 | 30.36 ± 0.15 |
| Fatty Acid | Blackberry Seed Oil | Chokeberry Seed Oil | Raspberry Seed Oil |
|---|---|---|---|
| C 16:0 | 4.52 ± 0.19 | 5.44 ± 0.02 | 2.92 ± 0.03 |
| C 16:1 | 0.13 ± 0.01 | 0.15 ± 0.01 | 0.08 ± 0.01 |
| C 18:0 | 2.87 ± 0.03 | 1.39 ± 0.07 | 1.45 ± 0.03 |
| C 18:1 n-9 | 12.17 ± 0.01 | 17.48 ± 0.04 | 11.74 ± 0.00 |
| C 18:2 n-6 | 62.53 ± 0.06 | 67.62 ± 0.04 | 51.44 ± 0.04 |
| C 18:3 n-3 | 16.19 ± 0.01 | 0.92 ± 0.03 | 30.56 ± 0.04 |
| C 20:0 | 1.06 ± 0.06 | 0.81 ± 0.03 | 0.62 ± 0.03 |
| C 20:1 | 0.38 ± 0.01 | 0.25 ± 0.02 | 0.14 ± 0.01 |
| C 20:2 | n.d. | 5.26 ± 0.21 | 0.33 ± 0.01 |
| C 22:0 | 0.18 ± 0.02 | 0.38 ± 0.01 | 0.34 ± 0.02 |
| other | n.d. | 0.35 ± 0.00 | 0.41 ± 0.03 |
| ∑ SFA | 8.62 ± 0.09 | 8.02 ± 0.08 | 5.32 ± 0.04 |
| ∑ MUFA | 12.67 ± 0.02 | 18.21 ± 0.06 | 11.95 ± 0.00 |
| ∑ PUFA | 78.72 ± 0.06 | 73.79 ± 0.14 | 82.74 ± 0.03 |
Publisher’s Note: MDPI stays neutral with regard to jurisdictional claims in published maps and institutional affiliations. |
© 2021 by the authors. Licensee MDPI, Basel, Switzerland. This article is an open access article distributed under the terms and conditions of the Creative Commons Attribution (CC BY) license (https://creativecommons.org/licenses/by/4.0/).
Share and Cite
Piasecka, I.; Górska, A.; Ostrowska-Ligęza, E.; Kalisz, S. The Study of Thermal Properties of Blackberry, Chokeberry and Raspberry Seeds and Oils. Appl. Sci. 2021, 11, 7704. https://doi.org/10.3390/app11167704
Piasecka I, Górska A, Ostrowska-Ligęza E, Kalisz S. The Study of Thermal Properties of Blackberry, Chokeberry and Raspberry Seeds and Oils. Applied Sciences. 2021; 11(16):7704. https://doi.org/10.3390/app11167704
Chicago/Turabian StylePiasecka, Iga, Agata Górska, Ewa Ostrowska-Ligęza, and Stanisław Kalisz. 2021. "The Study of Thermal Properties of Blackberry, Chokeberry and Raspberry Seeds and Oils" Applied Sciences 11, no. 16: 7704. https://doi.org/10.3390/app11167704
APA StylePiasecka, I., Górska, A., Ostrowska-Ligęza, E., & Kalisz, S. (2021). The Study of Thermal Properties of Blackberry, Chokeberry and Raspberry Seeds and Oils. Applied Sciences, 11(16), 7704. https://doi.org/10.3390/app11167704

