Effect of Surface Micro-Hardness Change in Multistep Machining on Friction and Wear Characteristics of Titanium Alloy
Abstract
:Featured Application
Abstract
1. Introduction
2. Cutting Materials and Experimental Preparation
3. Experimental Results and Analysis
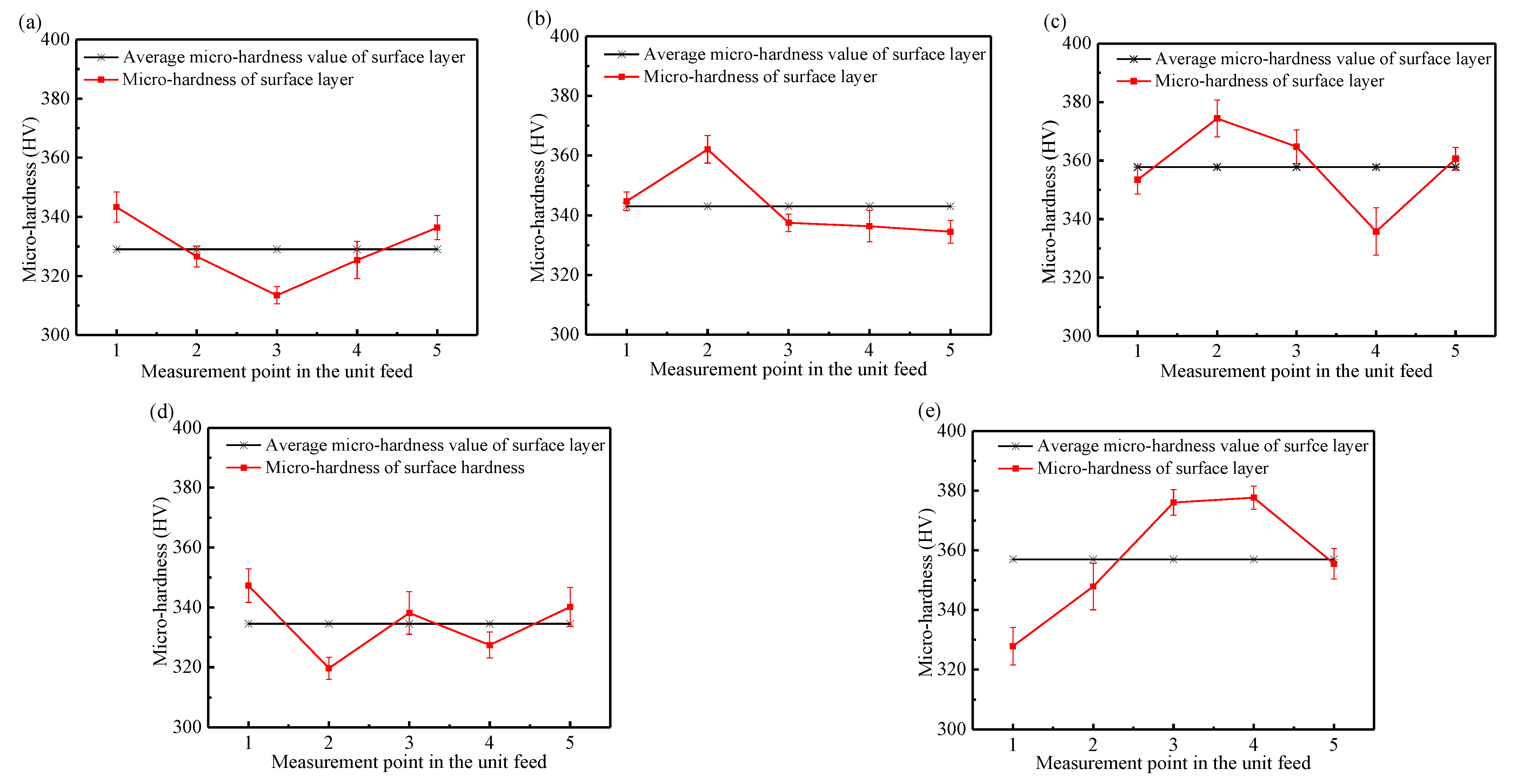
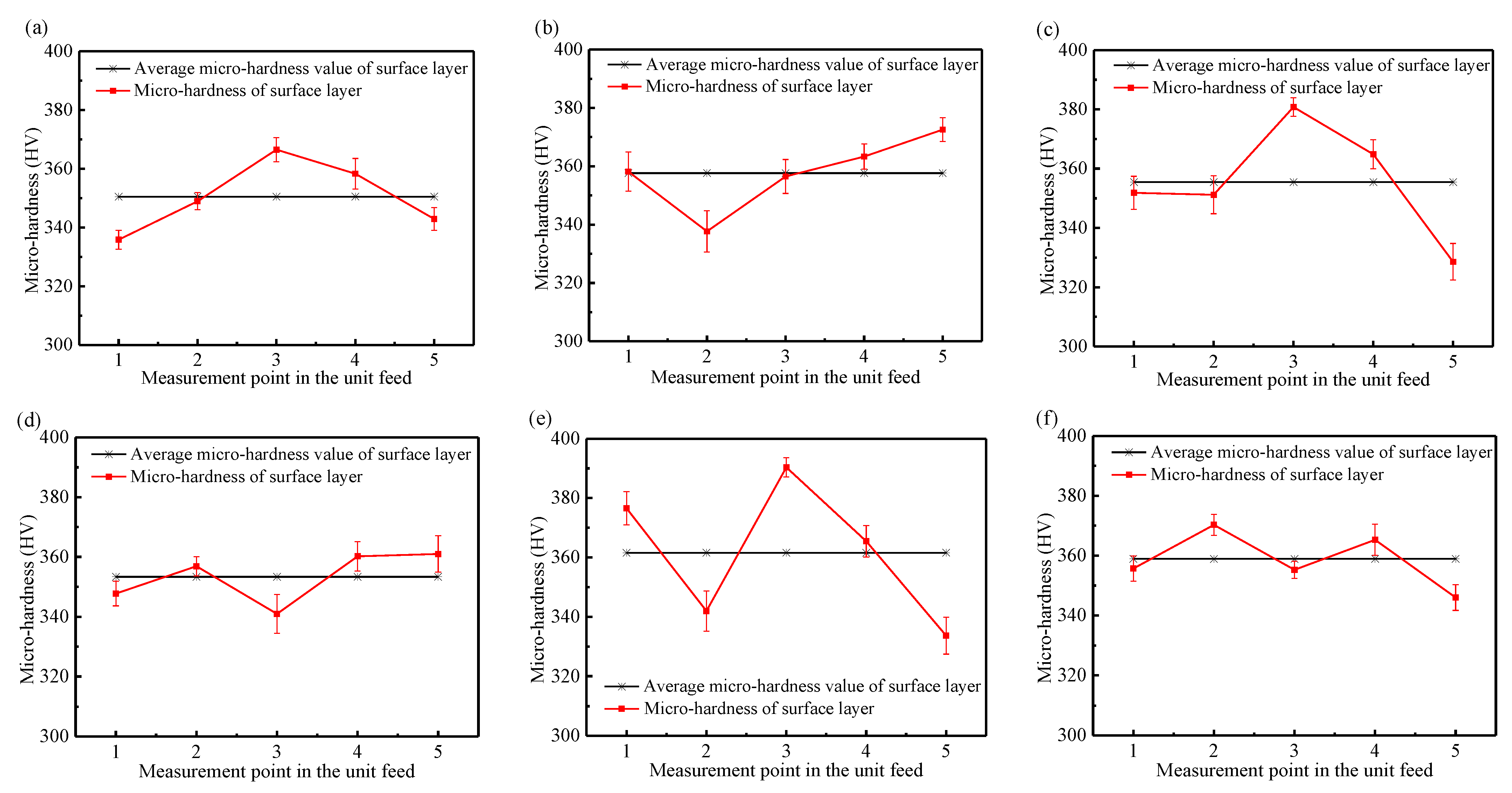
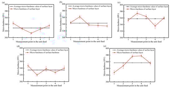
3.1. Micro-Hardness
3.2. Friction Coefficient Curve
3.3. Surface Wear Microtopography
3.4. Wear Mechanism Analysis
4. Conclusions
- (1)
- The local area of micro-hardness at 100 μm below the surface along the feed direction after roughing was obviously affected by the cutting parameters. In the multistep cutting process, affected by the roughing work hardening, the local area of the finishing surface micro-hardness will change versus the roughing cutting parameters. During the three-step machining, semi-finishing reduced the influence of roughing on work hardening of the surface layer, thereby reducing the local variation of finishing surface microhardness.
- (2)
- Through observing the surface wear microtopography and subsurface microstructure were observed and analyzed by scanning electron microscope, the micro-hardness variation in the local area of the finishing surface, mainly reflected by the change in standard deviation of micro-hardness measurement results along the feed direction, will cause the extension of unstable friction time stage while withstanding the cyclic and alternating contact stresses.
- (3)
- The soft–hard alternating area should be the sources of friction and wear defects, for instance cracks, peeling pits and even the wear fracture zone to crack propagation and peeling off. The friction and wear of the finishing surface was positively correlated with the local change of the machined surface micro-hardness. Adjusting and controlling the machined surface quality in multistep machining will thereby help to improve the friction and wear resistance of the finishing titanium alloy components.
Author Contributions
Funding
Institutional Review Board Statement
Informed Consent Statement
Data Availability Statement
Conflicts of Interest
References
- Rack, H.J.; Qazi, J.I. Titanium alloys for biomedical applications. Mater. Sci. Eng. C. 2006, 26, 1269–1277. [Google Scholar] [CrossRef]
- He, Z.Y.; Wang, Z.X.; Wang, W.B.; Fan, A.L.; Xu, Z. Surface modification of titanium alloy Ti6Al4V by plasma niobium alloying process. Surf. Coat. Technol. 2007, 201, 5705–5709. [Google Scholar] [CrossRef]
- Liu, Y.; Yang, D.Z.; He, S.Y.; Wu, W.L. Microstructure developed in the surface layer of Ti-6Al-4V alloy after sliding wear in vacuum. Mater. Charact. 2003, 50, 275–279. [Google Scholar] [CrossRef]
- Cong, W.; Yao, Z.J.; Zhu, X.L. Sliding wear of low carbon steel modified by double-glow plasma surface alloying with nickel and chromium at various temperatures. Wear 2010, 268, 790–796. [Google Scholar] [CrossRef]
- Yao, X.F.; Xie, F.Q.; Wang, Y.F.; Wu, X.Q. Study on friction and wear properties of titanium alloy by plating Cu on the surface. Rare Met. Mater. Eng. 2012, 41, 2135–2138. [Google Scholar]
- Yao, X.F.; Xie, F.Q.; Han, Y.; Zhao, G.X.; Wu, X.Q. Effect of temperature on wear properties and friction coefficient of titanium alloy. Rare Met. Mater. Eng. 2012, 41, 1463–1466. [Google Scholar]
- Li, X.X.; Zhou, Y.; Ji, X.L.; Li, Y.X.; Wang, S.Q. Effects of sliding velocity on tribo-oxides and wear behavior of Ti-6Al-4V alloy. Tribol. Int. 2015, 91, 228–234. [Google Scholar] [CrossRef]
- Huang, W.M.; Zhao, J.; Ai, X.; Wang, G.J.; Zhong, X. Influence of tool path strategies on friction and wear behavior of high-speed ball-end-milled hardened AISI D2 steel. Int. J. Adv. Manuf. Technol. 2018, 96, 2769–2779. [Google Scholar] [CrossRef]
- Tang, L.H.; Gao, C.X.; Huang, J.L.; Zhang, H.Y.; Chang, W.C. Dry sliding friction and wear behaviour of hardened AISI D2 tool steel with different hardness levels. Tribol. Int. 2013, 66, 165–173. [Google Scholar] [CrossRef]
- Yasavol, N.; Ramalho, A. Wear properties of friction stir processed AISI D2 tool steel. Tribol. Int. 2015, 91, 177–183. [Google Scholar] [CrossRef]
- Singh, K.; Khatirkar, R.K.; Sapate, S.G. Microstructure evolution and abrasive wear behavior of D2 steel. Wear 2015, 328, 206–216. [Google Scholar] [CrossRef]
- Davoudinejad, A.; Tosello, G.; Parenti, P.; Annoni, M. 3D finite element simulation of micro end-milling by considering the effect of tool run-out. Micromachines 2017, 8, 187. [Google Scholar] [CrossRef] [Green Version]
- Zang, J.; Zhao, J.; Li, A.H.; Pang, J.M. Serrated chip formation mechanism analysis for machining of titanium alloy ti-6al-4v based on thermal property. Int. J. Adv. Manuf. Technol. 2018, 98, 119–127. [Google Scholar] [CrossRef]
- He, L.J.; Su, H.H.; Xu, J.H.; Zhang, L. Simulation analysis of the influence of dynamic flow stress behavior on chip formation. Int. J. Adv. Manuf. Technol. 2018, 95, 2301–2313. [Google Scholar] [CrossRef]
- Arrazola, P.J.; Aristimuno, P.; Soler, D.; Childs, T. Metal cutting experiments and modelling for improved determination of chip/tool contact temperature by infrared thermography. CIRP Ann. 2015, 64, 57–60. [Google Scholar] [CrossRef]
- Wang, Q.Q.; Liu, Z.Q.; Yang, D.; Mohsan, A.U.H. Metallurgical-based prediction of stress-temperature induced rapid heating and cooling phase transformations for high speed machining Ti-6Al-4V alloy. Mater. Des. 2017, 119, 208–218. [Google Scholar] [CrossRef]
- Song, X.H.; Li, A.H.; Lv, M.H.; Lv, H.J.; Zhao, J. Finite element simulation study on pre-stress multi-step cutting of ti-6al-4v titanium alloy. Int. J. Adv. Manuf. Technol. 2019, 104, 2761–2771. [Google Scholar] [CrossRef]
- Yang, J.H.; Sun, S.J.; Brandt, M.; Yan, W.Y. Experimental investigation and 3D finite element prediction of the heat affected zone during laser assisted machining of Ti6Al4V alloy. J. Mater. Process. Technol. 2010, 210, 2215–2222. [Google Scholar] [CrossRef]
- Wang, L.J.; Zhao, J.; Tan, Q.C. Kinematics of ultrasonic vibration turning and its surface quality. Acta Armamentarii 1987, 3, 24–31. [Google Scholar]
- Ginting, A.; Nouari, M. Surface integrity of dry machined titanium alloys. Int. J. Mach. Tools Manuf. 2009, 49, 325–332. [Google Scholar] [CrossRef]
- Che-Haron, C.H.; Jawaid, A. The effect of machining on surface integrity of titanium alloy Ti–6%Al–4%V. J. Mater. Process. Technol. 2005, 166, 188–192. [Google Scholar] [CrossRef]
- Hou, G.M.; Li, A.H.; Song, X.H.; Sun, H.; Zhao, J. Effect of cutting parameters on surface quality in multi-step turning of Ti-6Al-4V titanium alloy. Int. J. Adv. Manuf. Technol. 2018, 5, 1355–1365. [Google Scholar] [CrossRef]
- Jiang, A.L.; Zhang, P.Z.; Huang, J. Microstructure and tribological properties of Zr permeating layer on TC11 titanium alloy surface. Mater. Mech. Eng. 2011, 35, 14–17. [Google Scholar] [CrossRef]
- Liu, Y.J.; Cheng, K.Q. Wear Failure Analysis; Mechanical Industry Press: Beijing, China, 1991. [Google Scholar]














| Element | Ti | Al | V | Fe | C | N | H | O | Other |
|---|---|---|---|---|---|---|---|---|---|
| Weight (wt.%) | base | 5.5–6.75 | 3.6–4.5 | 0.3 | 0.08 | 0.05 | 0.15 | 0.10 | 0.50 |
| Density (kg/m3) | Melting Point (°C) | Specific Heat at 25 °C (J/kg·°C) | Thermal Conductivity (W/m·K) | Yield Stress (MPa) | Young’s Modulus (GPa) | Poisson’s Ratio | Elongation (%) |
|---|---|---|---|---|---|---|---|
| 4428 | 1605 | 580 | 7.3 | 825 | 110 | 0.41 | 10 |
| Cutting Tool | SNMG120408-EF and SNMG120404-EM |
|---|---|
| Cutting speed, v (m/min) | 30, 50, 70 |
| Depth of cut, ap (mm) | 0.5, 1.0, 1.5 |
| Feed rate, f (mm/r) | 0.25 |
| Tool geometry | rake angle 14° and clearance angle 11° |
Publisher’s Note: MDPI stays neutral with regard to jurisdictional claims in published maps and institutional affiliations. |
© 2021 by the authors. Licensee MDPI, Basel, Switzerland. This article is an open access article distributed under the terms and conditions of the Creative Commons Attribution (CC BY) license (https://creativecommons.org/licenses/by/4.0/).
Share and Cite
Hou, G.; Li, A. Effect of Surface Micro-Hardness Change in Multistep Machining on Friction and Wear Characteristics of Titanium Alloy. Appl. Sci. 2021, 11, 7471. https://doi.org/10.3390/app11167471
Hou G, Li A. Effect of Surface Micro-Hardness Change in Multistep Machining on Friction and Wear Characteristics of Titanium Alloy. Applied Sciences. 2021; 11(16):7471. https://doi.org/10.3390/app11167471
Chicago/Turabian StyleHou, Guanming, and Anhai Li. 2021. "Effect of Surface Micro-Hardness Change in Multistep Machining on Friction and Wear Characteristics of Titanium Alloy" Applied Sciences 11, no. 16: 7471. https://doi.org/10.3390/app11167471
APA StyleHou, G., & Li, A. (2021). Effect of Surface Micro-Hardness Change in Multistep Machining on Friction and Wear Characteristics of Titanium Alloy. Applied Sciences, 11(16), 7471. https://doi.org/10.3390/app11167471

