Application of Biochar Functionalized with Layered Double Hydroxides: Improved Plant Growth Performance after Use as Phosphate Adsorbent
Abstract
1. Introduction
2. Materials and Methods
2.1. Materials
2.2. Preparation of P-BC-LDHs
2.3. Characterization of P-BC-LDHs
2.4. Seed Germination and Early Plant Growth Experiments
2.5. Nutrient Leaching Experiments
2.6. Statistical Analysis
3. Results and Discussions
3.1. Fertilizer Characterization
3.2. Seed Germination
3.3. Early Growth Stage
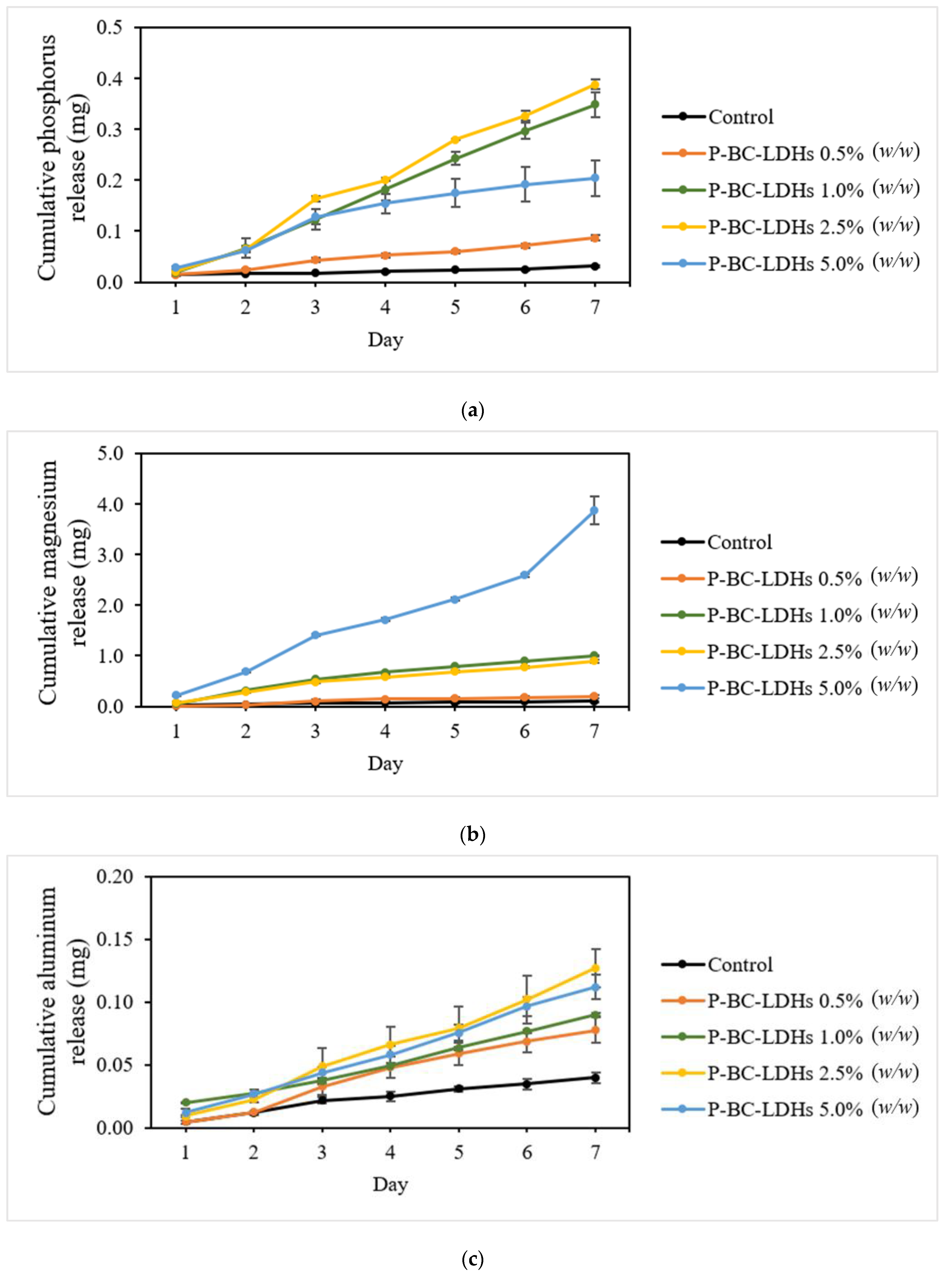
3.4. Release of Nutrients
4. Conclusions
Supplementary Materials
Author Contributions
Funding
Institutional Review Board Statement
Informed Consent Statement
Data Availability Statement
Acknowledgments
Conflicts of Interest
References
- Zhang, L.; Liu, J.; Guo, X. Investigation on mechanism of phosphate removal on carbonized sludge adsorbent. J. Environ. Sci. (China) 2018, 64, 335–344. [Google Scholar] [CrossRef]
- Buates, J.; Imai, T. Biochar functionalization with layered double hydroxides composites: Preparation, characterization, and application for effective phosphate removal. J. Water Process Eng. 2020, 37, 101508. [Google Scholar] [CrossRef]
- Gao, L.; Wang, R.; Shen, G.; Zhang, J.; Meng, G.; Zhang, J. Effects of biochar on nutrients and the microbial community structure of tobacco-planting soils. J. Soil Sci. Plant Nutr. 2017, 17, 884–896. [Google Scholar] [CrossRef]
- Man, Y.; Wang, B.; Wang, J.; Slaný, M.; Yan, H.; Li, P.; El-Naggar, A.; Shaheen, S.M.; Rinklebe, J.; Feng, X. Use of biochar to reduce mercury accumulation in Oryza sativa L: A trial for sustainable management of historically polluted farmlands. Environ. Int. 2021, 153. [Google Scholar] [CrossRef] [PubMed]
- Adhikari, S.; Gascó, G.; Méndez, A.; Surapaneni, A.; Jegatheesan, V.; Shah, K.; Paz-Ferreiro, J. Influence of pyrolysis parameters on phosphorus fractions of biosolids derived biochar. Sci. Total Environ. 2019, 695, 133846. [Google Scholar] [CrossRef] [PubMed]
- Ding, Y.; Liu, Y.; Liu, S.; Li, Z.; Tan, X.; Huang, X.; Zeng, G.; Zhou, L.; Zheng, B. Biochar to improve soil fertility. A review. Agron. Sustain. Dev. 2016, 36. [Google Scholar] [CrossRef]
- Rawat, J.; Saxena, J.; Sanwal, P. Biochar: A sustainable approach for improving plant growth and soil properties. In Biochar—An Imperative Amendment for Soil and the Environment; 2019; pp. 1–17. [Google Scholar] [CrossRef]
- Hameeda, G.S.; Bano, G.; Manzoor, M.; Chandio, T.A.; Awan, A.A. Biochar and manure influences tomato fruit yield, heavy metal accumulation and concentration of soil nutrients under wastewater irrigation in arid climatic conditions. Cogent Food Agric. 2019, 5, 1–15. [Google Scholar] [CrossRef]
- William, K.; Qureshi, R.A. Evaluation of biochar as fertilizer for the qrowth of some seasonal vegetables. J. Bioresour. Manag. 2015, 2. [Google Scholar] [CrossRef]
- Kameda, T.; Yoshiok, T. Hybrid inorganic/organic composites of layered double hydroxides intercalated with organic acid anions for the uptake of hazardous substances from aqueous solution. Met. Ceram. Polym. Compos. Var. Uses 2011. [Google Scholar]
- Zhou, L.; Slaný, M.; Bai, B.; Du, W.; Qu, C.; Zhang, J.; Tang, Y. Enhanced removal of sulfonated lignite from oil wastewater with multidimensional MgAl-LDH nanoparticles. Nanomaterials 2021, 11, 861. [Google Scholar] [CrossRef]
- Benício, L.P.F.; Silva, R.A.; Lopes, J.A.; Eulálio, D.; dos Santos, R.M.M.; de Aquino, L.A.; Vergütz, L.; Novais, R.F.; da Costa, L.M.; Pinto, F.G.; et al. Layered double hydroxides: Nanomaterials for applications in agriculture. Rev. Bras. Cienc. Do Solo 2015, 39, 1–13. [Google Scholar] [CrossRef]
- Touloupakis, E.; Margelou, A.; Ghanotakis, D.F. Intercalation of the herbicide atrazine in layered double hydroxides for controlled-release applications. Pest Manag. Sci. 2011, 67, 837–841. [Google Scholar] [CrossRef]
- Cardoso, L.P.; Celis, R.; Cornejo, J.; Valim, J.B. Layered double hydroxides as supports for the slow release of acid herbicides. J. Agric. Food Chem. 2006, 54, 5968–5975. [Google Scholar] [CrossRef]
- Bhadha, J.H.; Capasso, J.M.; Khatiwada, R.; Swanson, S. Raising soil organic matter content to improve water holding capacity. Uf/Ifas 2017, 1–5. [Google Scholar] [CrossRef]
- Food and Agricultural Organization of the United Nations. Procedures for Soil Analysis; International Soil Reference and Information Center: Wageningen, The Netherlands, 2002. [Google Scholar]
- Solaiman, Z.M.; Murphy, D.V.; Abbott, L.K. Biochars influence seed germination and early growth of seedlings. Plant Soil 2012, 353, 273–287. [Google Scholar] [CrossRef]
- Pauzaite, G.; Malakauskiene, A.; Nauciene, Z.; Zukiene, R.; Filatova, I.; Lyushkevich, V.; Azarko, I.; Mildaziene, V. Changes in Norway spruce germination and growth induced by pre-sowing seed treatment with cold plasma and electromagnetic field: Short-term versus long-term effects. Plasma Process. Polym. 2018, 15. [Google Scholar] [CrossRef]
- Nguyen, T.T.N.; Xu, C.Y.; Tahmasbian, I.; Che, R.; Xu, Z.; Zhou, X.; Wallace, H.M.; Bai, S.H. Effects of biochar on soil available inorganic nitrogen: A review and meta-analysis. Geoderma 2017, 288, 79–96. [Google Scholar] [CrossRef]
- Mukherjee, A.; Lal, R. The biochar dilemma. Soil Res. 2014, 52, 217–230. [Google Scholar] [CrossRef]
- Duan, X.Y.; Cao, Y.; Liu, T.Z.; Li, L.; Wang, B.; Wang, X.D. Nutrient stability and sorption of sewage sludge biochar prepared from co-pyrolysis of sewage sludge and stalks/mineral materials. Environ. Pollut. Bioavailab. 2020, 32, 12–18. [Google Scholar] [CrossRef]
- Ye, H.M.; Li, H.F.; Wang, C.S.; Yang, J.; Huang, G.; Meng, X.; Zhou, Q. Degradable polyester/urea inclusion complex applied as a facile and environment-friendly strategy for slow-release fertilizer: Performance and mechanism. Chem. Eng. J. 2020, 381, 122704. [Google Scholar] [CrossRef]
- Shi, R.Y.; Hong, Z.N.; Li, J.Y.; Jiang, J.; Baquy, M.A.; Xu, R.K.; Qian, W. Mechanisms for Increasing the pH Buffering Capacity of an Acidic Ultisol by Crop Residue-Derived Biochars. J. Agric. Food Chem. 2017, 65, 8111–8119. [Google Scholar] [CrossRef]
- Singh, B.; Dolk, M.M.; Shen, Q.; Camps-Arbestain, M. Biochar pH, electrical conductivity and liming potential. Biochar A Guid. Anal. Methods 2017, 23–38. [Google Scholar]
- Tahir, S.; Marschner, P. Clay addition to sandy soil—Effect of clay concentration and ped size on microbial biomass and nutrient dynamics after addition of low C/N ratio residue. J. Soil Sci. Plant Nutr. 2016, 16, 864–875. [Google Scholar] [CrossRef][Green Version]
- Masís-Meléndez, F.; Segura-Chavarría, D.; García-González, C.A.; Quesada-Kimsey, J.; Villagra-Mendoza, K. Variability of physical and chemical properties of TLUD stove derived biochars. Appl. Sci. 2020, 10, 507. [Google Scholar] [CrossRef]
- Lehmann, J.; Joseph, S. Biochar for Environmental Management: Science, Technology and Implementation; Routledge: Oxford, UK, 2015. [Google Scholar] [CrossRef]
- Ukpabi, C.F.; Akubugwo, E.I.; Agbafor, K.N.; Lebe, N.A.; Nwaulari, N.J.; Nneka, E.D. Appraisal of heavy metal contents in commercial inorganic fertilizers blended and marketed in nigeria. Am. J. Chem. 2012, 2, 228–233. [Google Scholar] [CrossRef]
- Nursyamsi, D.; Osaki, M.; Tadano, T. Effect of aluminum on plant growth, phosphorus and calcium uptake of tropical rice (Oryza sativa), maize (Zea mays), and soybean (Glycine max). Indones. J. Agric. Sci. 2000, 1, 51–62. [Google Scholar] [CrossRef]
- Malik, B.; Pirzadah, T.B.; Tahir, I.; Hakeem, K.R.; Rather, I.A.; Sabir, J.S.M.; Rehman, R.U. Lead and aluminium-induced oxidative stress and alteration in the activities of antioxidant enzymes in chicory plants. Sci. Hortic. (Amst.) 2020, 109847. [Google Scholar] [CrossRef]
- Tammam, A.A.; Khalil, S.M.; Hafez, E.E.; M. Elnagar, A. Impacts of aluminum on growth and biochemical process of wheat plants under boron treatments. Curr. Agric. Res. J. 2018, 6, 300–319. [Google Scholar] [CrossRef]
- Osman, H.E.; Al-Jabri, M.; El-Ghareeb, D.K.; Al-Maroai, Y.A. Impact of aluminum and zinc oxides on morphological characters, germination, metals accumulation and DNA in fenugreek (Trigonella foenum-graecum). J. Saudi Soc. Agric. Sci. 2020. [Google Scholar] [CrossRef]
- Dixon, M.; Simonne, E.; Obreza, T.; Liu, G. Crop response to low phosphorus bioavailability with a focus on tomato. Agronomy 2020, 10, 617. [Google Scholar] [CrossRef]
- Intani, K.; Latif, S.; Islam, M.S.; Müller, J. Phytotoxicity of corncob biochar before and after heat treatment and washing. Sustainability 2018, 11, 30. [Google Scholar] [CrossRef]
- Wang, C.; Wang, Y.; Herath, H.M.S.K. Polycyclic aromatic hydrocarbons (PAHs) in biochar—Their formation, occurrence and analysis: A review. Org. Geochem. 2017, 114, 1–11. [Google Scholar] [CrossRef]
- Maliszewska-kordybach, B. Seed germination and root growth of selected plants in PAH contaminated soil. Fresenius Environ. Bull. 2014, 12, 946–949. [Google Scholar]
- Al-Wabel, M.I.; Rafique, M.I.; Ahmad, M.; Ahmad, M.; Hussain, A.; Usman, A.R.A. Pyrolytic and hydrothermal carbonization of date palm leaflets: Characteristics and ecotoxicological effects on seed germination of lettuce. Saudi J. Biol. Sci. 2019, 26, 665–672. [Google Scholar] [CrossRef]
- Nair, A.; Carpenter, B. Biochar rate and transplant tray cell number have implications on pepper growth during transplant production. Horttechnology 2016, 26, 713–719. [Google Scholar] [CrossRef]
- Jajoo, A.; Mekala, N.R.; Tomar, R.S.; Grieco, M.; Tikkanen, M.; Aro, E.M. Inhibitory effects of polycyclic aromatic hydrocarbons (PAHs) on photosynthetic performance are not related to their aromaticity. J. Photochem. Photobiol. B Biol. 2014, 137, 151–155. [Google Scholar] [CrossRef] [PubMed]
- Bojorquez-Quintal, E.; Escalante-Magaña, C.; Echevarría-Machado, I.; Martínez-Estévez, M. Aluminum, a friend or foe of higher plants in acid soils. Front. Plant Sci. 2017, 8, 1–18. [Google Scholar] [CrossRef] [PubMed]
- Merino-Gergichevich, C.; Alberdi, M.; Ivanov, A.G.; Reyes-Díaz, M. Al3+-Ca2+ interaction in plants growing in acid soils: Al-phytotoxicity response to calcareous amendments. J. Soil Sci. Plant Nutr. 2010, 10, 217–243. [Google Scholar]
- Neenu, S.; Karthika, K.S. Aluminium toxicity in soil and plants. ICAR 2019, 2, 15–19. [Google Scholar]
- Gentili, R.; Ambrosini, R.; Montagnani, C.; Caronni, S.; Citterio, S. Effect of soil pH on the growth, reproductive investment and pollen allergenicity of Ambrosia artemisiifolia L. Front. Plant Sci. 2018, 9, 1–12. [Google Scholar] [CrossRef]
- de Figueiredo, C.C.; Reis, A.D.; de Araujo, A.S.; Blum, L.E.; Shah, K.; Paz-Ferreiro, J. Assessing the potential of sewage sludge-derived biochar as a novel phosphorus fertilizer: Influence of extractant solutions and pyrolysis temperatures. Waste Manag. 2021, 124, 144–153. [Google Scholar] [CrossRef] [PubMed]
- Liang, J.F.; An, J.; Gao, J.Q.; Zhang, X.Y.; Song, M.H.; Yu, F.H. Interactive effects of biochar and AMF on plant growth and greenhouse gas emissions from wetland microcosms. Geoderma 2019, 346, 11–17. [Google Scholar] [CrossRef]
- Kerkeni, L.; Ruano, P.; Delgado, L.L.; Picco, S.; Villegas, L.; Tonelli, F.; Merlo, M.; Rigau, J.; Diaz, D.; Masuelli, M. Biochar and soil physical health. Intech 2016. [Google Scholar]
- Chen, H.; Yang, X.; Wang, H.; Sarkar, B.; Shaheen, S.M.; Gielen, G.; Bolan, N.; Guo, J.; Che, L.; Sun, H.; et al. Animal carcass- and wood-derived biochars improved nutrient bioavailability, enzyme activity, and plant growth in metal-phthalic acid ester co-contaminated soils: A trial for reclamation and improvement of degraded soils. J. Environ. Manag. 2020, 261. [Google Scholar] [CrossRef] [PubMed]
- Trenkel, M.E. Slow and Controlled-Release and Stabilized Fertilizers, 2nd ed.; International Fertilizer Industry Association (IFA): Paris, France, 2013. [Google Scholar]
- Uchimiya, M.; Hiradate, S.; Antal, M.J. Dissolved phosphorus speciation of flash carbonization, slow pyrolysis, and fast pyrolysis biochars. ACS Sustain. Chem. Eng. 2015, 3, 1642–1649. [Google Scholar] [CrossRef]
- Li, F.; Liang, X.; Niyungeko, C.; Sun, T.; Liu, F.; Arai, Y. Effects of Biochar Amendments on Soil Phosphorus Transformation in Agricultural Soils, 1st ed.; Elsevier Inc.: Amsterdam, The Netherlands, 2019. [Google Scholar] [CrossRef]
- Qayyum, M.F.; Haider, G.; Iqbal, M.; Hameed, S.; Ahmad, N.; ur Rehman, M.Z.; Majeed, A.; Rizwan, M.; Ali, S. Effect of alkaline and chemically engineered biochar on soil properties and phosphorus bioavailability in maize. Chemosphere 2020, 266, 128980. [Google Scholar] [CrossRef]
- De Figueiredo, C.C.; Pinheiro, T.D.; de Oliveira, L.E.Z.; de Araujo, A.S.; Coser, T.R.; Paz-Ferreiro, J. Direct and residual effect of biochar derived from biosolids on soil phosphorus pools: A four-year field assessment. Sci. Total Environ. 2020, 739, 140013. [Google Scholar] [CrossRef]
- Shetty, R.; Vidya, C.S.N.; Prakash, N.B.; Lux, A.; Vaculík, M. Aluminum toxicity in plants and its possible mitigation in acid soils by biochar: A review. Sci. Total Environ. 2020, 142744. [Google Scholar] [CrossRef]
- Gransee, A.; Führs, H. Magnesium mobility in soils as a challenge for soil and plant analysis, magnesium fertilization and root uptake under adverse growth conditions. Plant Soil 2013, 368, 5–21. [Google Scholar] [CrossRef]
- Mikkelsen, R. Soil and fertilizer magnesium. Better Crop 2010, 94, 26–28. [Google Scholar]







| Parameters | Values | |
| pH | 9.02 ± 0.020 | |
| Electrical conductivity (EC) (dS/m) | 1.36 ± 0.016 | |
| Moisture content (%) | 2.20 ± 0.286 | |
| Water holding capacity (%) | 65 ± 0.000 | |
| Cation exchange capacity (CEC) (cmol/kg) | 23.1 ± 1.274 | |
| Phosphorus (mg/g) | 4.67 ± 0.055 | |
| Magnesium (mg/g) | 138 ± 2.807 | |
| Aluminum (mg/g) | 64.7 ± 2.220 | |
| Pollutants | Values | Maximum Acceptable Levels |
| Cobalt (mg/g) | ND | 0.15 |
| Nickle (mg/g) | ND | 0.18 |
| Copper (mg/g) | 0.0325 ± 0.005 | - |
| Zinc (mg/g) | 0.0519 ± 0.003 | 1.85 |
| Cadmium (mg/g) | ND | 0.02 |
| Molybdenum (mg/g) | ND | 0.02 |
| Lead (mg/g) | ND | 0.50 |
Publisher’s Note: MDPI stays neutral with regard to jurisdictional claims in published maps and institutional affiliations. |
© 2021 by the authors. Licensee MDPI, Basel, Switzerland. This article is an open access article distributed under the terms and conditions of the Creative Commons Attribution (CC BY) license (https://creativecommons.org/licenses/by/4.0/).
Share and Cite
Buates, J.; Imai, T. Application of Biochar Functionalized with Layered Double Hydroxides: Improved Plant Growth Performance after Use as Phosphate Adsorbent. Appl. Sci. 2021, 11, 6489. https://doi.org/10.3390/app11146489
Buates J, Imai T. Application of Biochar Functionalized with Layered Double Hydroxides: Improved Plant Growth Performance after Use as Phosphate Adsorbent. Applied Sciences. 2021; 11(14):6489. https://doi.org/10.3390/app11146489
Chicago/Turabian StyleBuates, Jittrera, and Tsuyoshi Imai. 2021. "Application of Biochar Functionalized with Layered Double Hydroxides: Improved Plant Growth Performance after Use as Phosphate Adsorbent" Applied Sciences 11, no. 14: 6489. https://doi.org/10.3390/app11146489
APA StyleBuates, J., & Imai, T. (2021). Application of Biochar Functionalized with Layered Double Hydroxides: Improved Plant Growth Performance after Use as Phosphate Adsorbent. Applied Sciences, 11(14), 6489. https://doi.org/10.3390/app11146489

