Experimental Investigation into the Seismic Performance of Prefabricated Reinforced Masonry Shear Walls with Vertical Joint Connections
Abstract
1. Introduction
2. Materials and Methods
2.1. Test Specimens
2.2. Specimen Construction
2.3. Material Properties
2.4. Test Setup and Instrumentation
2.5. Loading Protocol
3. Results and Discussion
3.1. Crack Pattern and Failure Mode
3.2. Force–Displacement Response
3.3. Displacement Ductility
3.4. Stiffness Degradation
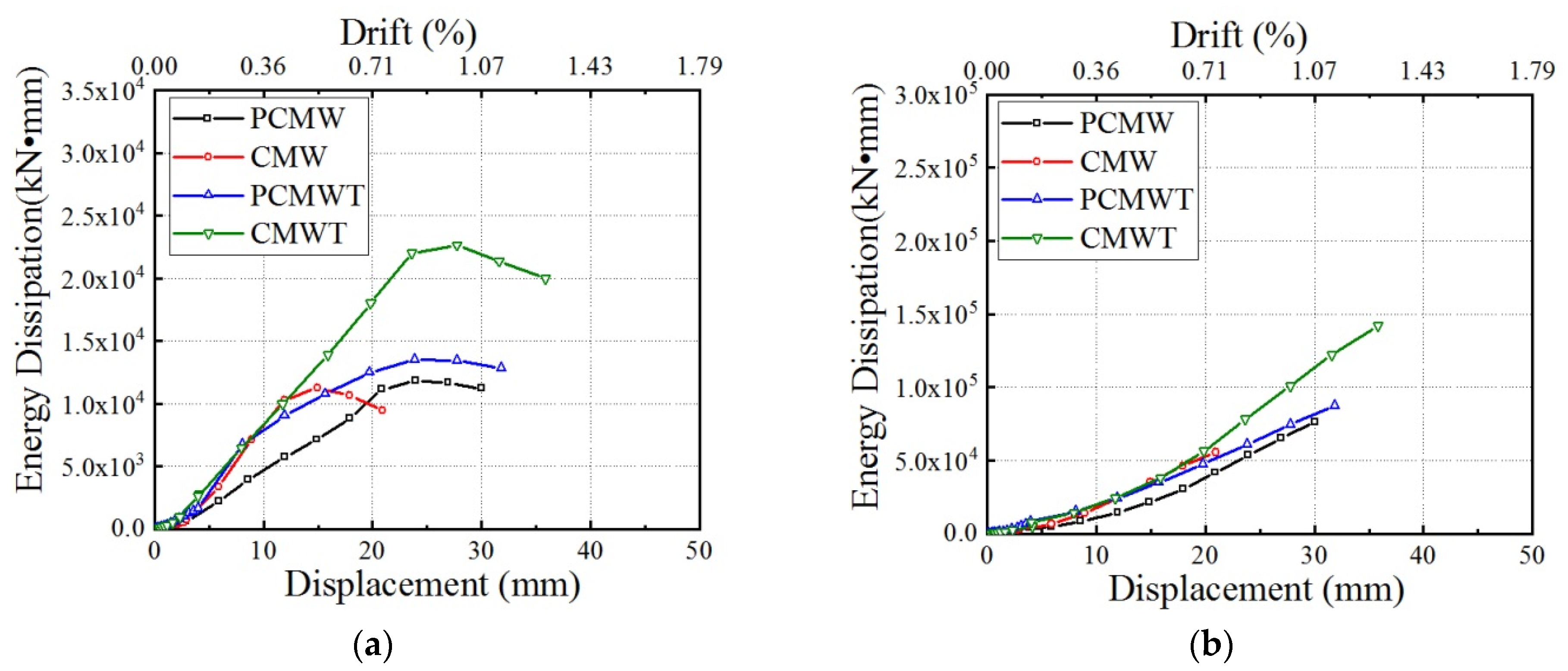
3.5. Energy Dissipation
3.6. Equivalent Viscous Damping
4. Conclusions
- (1)
- All the walls presented diagonal shear failure. The stepped cracks along the bed joints and vertical joints and diagonal crack crossing the units and mortars were observed. The first sets of visible diagonal cracks in the prefabricated walls were located at both segments at the wall ends. Furthermore, the cracks in the cast-in-place specimens were mainly distributed in the lower half of the walls. The grout in the first course of the wall peeled off because of the lack of protection from unit face shells where the vertical rebar overlapped. This illustrated that the use of cleaning-hole units and overlapped reinforcement changed the crack distribution.
- (2)
- All the test specimens displayed symmetric behavior until the peak load. The lateral capacity of PCMWT and CMWT with a T-shaped section was 21% and 7% higher than that of the corresponding rectangular sections of PCMW and CMW, respectively. Regarding the construction method, the lateral capacity of PCMW and PCMWT was 12% and 27% higher than that of the corresponding cast-in-place walls, CMW and CMWT, respectively.
- (3)
- The equivalent displacement ductility varied between 2.3 and 3.8, which is related to the studied parameters of construction method and cross section. The displacement ductility of prefabricated walls was 41% and 39% higher than that of the cast-in-place walls regarding flanged and rectangular cross sections, respectively. Furthermore, the displacement ductility of the flanged walls was 19% and 17% higher than that of rectangular walls for prefabricated and traditional construction techniques, respectively.
- (4)
- The initial stiffness of the test walls in this study was predominantly influenced by the cross section. The T-shaped cross section increased the initial stiffness of the specimens by 62% compared to that of rectangular walls. The secant stiffness decreased sharply at low values of drift and then dropped slowly at high values of drift. Additionally, the stiffness of specimens with flanges decreased more rapidly than did that of cast-in-place walls until the first major diagonal crack occurred.
- (5)
- The slope had an obvious increase when the first major diagonal crack occurred. The cast-in-place walls had higher energy dissipation capacity than did the prefabricated ones at the same lateral drift. The T-shaped cross section improved the energy dissipation capacity compared to that of the rectangular section. Then, the equivalent damping ratio dropped rapidly to approximately 0.10 and finally remained stable at a value of 0.13 and 0.26 for prefabricated and cast-in-place walls, respectively.
Author Contributions
Funding
Acknowledgments
Conflicts of Interest
Abbreviations
| the area under the experimental resistance envelope | |
| d | thickness of the wall |
| H | height of the wall |
| L | length of the wall |
| secant stiffness at first diagonal crack state | |
| secant stiffness at loading cycle i | |
| shear force at first diagonal crack state | |
| the idealized lateral capacity under the equal-energy system | |
| shear force at peak state | |
| horizontal reinforcement ratio | |
| vertical reinforcement ratio | |
| axial stress | |
| displacement at first diagonal crack state | |
| the idealized displacement under the equal-energy system | |
| displacement at peak state | |
| equivalent damping ratio | |
| experimental displacement ductility | |
| equivalent displacement ductility |
References
- Wang, F.L.; Zhang, X.C.; Zhu, F. Research progress and low-carbon property of reinforced concrete block masonry structures in China. In Proceedings of the 16th International Brick and Block Masonry Conference, Padova, Italy, 26–30 June 2016; Taylor & Francis Group: London, UK, 2016. [Google Scholar]
- Corrêa, M.R. The evolution of the design and construction of masonry buildings in Brazil. Gestão Tecnol. Proj. 2012, 7, 3–11. [Google Scholar] [CrossRef][Green Version]
- El-Dakhakhni, W.; Ashour, A. Seismic Response of Reinforced-Concrete Masonry Shear-Wall Components and Systems: State of the Art. J. Struct. Eng. 2017, 143, 03117001. [Google Scholar] [CrossRef]
- Shing, P.B.; Noland, J.L.; Klamerus, E.; Spaeh, H. Inelastic behavior of concrete masonry shear walls. J. Struct. Eng. 1989, 115, 2204–2225. [Google Scholar] [CrossRef]
- Shing, P.B.; Schuller, M.; Hoskere, V.S. In-Plane Resistance of Reinforced Masonry Shear Walls. J. Struct. Eng. 1990, 116, 619–640. [Google Scholar] [CrossRef]
- Shedid, M.T.; Drysdale, R.G.; El-Dakhakhni, W.W. Behavior of Fully Grouted Reinforced Concrete Masonry Shear Walls Failing in Flexure: Experimental Results. J. Struct. Eng. 2008, 134, 1754–1767. [Google Scholar] [CrossRef]
- Shedid, M.T.; El-Dakhakhni, W.W.; Drysdale, R.G. Behavior of fully grouted reinforced concrete masonry shear walls failing in flexure: Analysis. Eng. Struct. 2009, 31, 2032–2044. [Google Scholar] [CrossRef]
- Priestley, M.J.N. Seismic design of concrete masonry shear walls. Amer. Concr. Inst. Struct. J. 1986, 83, 58–68. [Google Scholar] [CrossRef]
- Ibrahim, K.S.; Suter, G.T. Ductility of concrete masonry shear walls subjected to cyclic loading. In Proceedings of the 8th North American Masonry Conference, Austin, TX, USA, 6–9 June 1999; The Masonry Society: Longmont, CO, USA, 1999. [Google Scholar]
- Zou, X.; Feng, P.; Wang, J.; Wu, Y.; Fan, Y. FRP stay-in-place form and shear key connection for FRP-concrete hybrid beams/decks. Compos. Struct. 2018, 192, 489–499. [Google Scholar] [CrossRef]
- Funari, M.F.; Greco, F.; Lonetti, P. A coupled ALE-Cohesive formulation for layered structural systems. Procedia Struct. Integr. 2017, 3, 362–369. [Google Scholar] [CrossRef]
- El-Dakhakhni, W.W.; Banting, B.R.; Miller, S.C. Seismic Performance Parameter Quantification of Shear-Critical Reinforced Concrete Masonry Squat Walls. J. Struct. Eng. 2013, 139, 957–973. [Google Scholar] [CrossRef]
- Eldin, H.M.S.; Galal, K. In-Plane Seismic Performance of Fully Grouted Reinforced Masonry Shear Walls. J. Struct. Eng. 2017, 143, 04017054. [Google Scholar] [CrossRef]
- Eldin, H.M.S.; Ashour, A.; Galal, K. Seismic performance parameters of fully grouted reinforced masonry squat shear walls. Eng. Struct. 2019, 187, 518–527. [Google Scholar] [CrossRef]
- ElDin, H.M.S.; Aly, N.; Galal, K. In-plane shear strength equation for fully grouted reinforced masonry shear walls. Eng. Struct. 2019, 190, 319–332. [Google Scholar] [CrossRef]
- Masoud, S.; Ehsan, A.; Mohammad, M.K. Micromechanical modeling of mortar joints and brick-mortar interfaces in masonry Structures: A review of recent developments. Structures 2020, 23, 831–844. [Google Scholar]
- Aguilar, V.; Sandoval, C.; Adam, J.M.; Garzón-Roca, J.; Valdebenito, G. Prediction of the shear strength of reinforced masonry walls using a large experimental database and artificial neural networks. Struct. Infrastruct. Eng. 2016, 12, 1663–1676. [Google Scholar] [CrossRef]
- Hung, J.; Cruz, C.; Sandoval, C.; Banting, B. Analysis of partially grouted masonry shear walls using artificial neural networks. In Proceedings of the 10th International Masonry Conference, Milan, Italy, 9–11 July 2018. [Google Scholar]
- Vidal, V.A. Estimation of Shear Strength of Reinforced Masonry Walls. Comparative Study and Use of Artificial Neural Networks. PhD Thesis, Austral University of Chile, Valdivia, Chile, 2013. [Google Scholar]
- Xu, W.; Yang, X.; Wang, F.; Chi, B. Experimental and numerical study on the seismic performance of prefabricated reinforced masonry shear walls. Appl. Sci. 2018, 8, 1856. [Google Scholar] [CrossRef]
- Xu, W.; Yang, X.; Wang, F.L. Experimental investigation on the seismic behavior of newly-developed precast reinforced concrete block masonry shear walls. Appl. Sci. 2018, 8, 1071. [Google Scholar] [CrossRef]
- Zhang, Z.; Wang, F.; Chi, B. Seismic performance of shear-critical prefabricated reinforced masonry shear walls with innovative vertical joint connections. Eng. Struct. 2020, 219, 110958. [Google Scholar] [CrossRef]
- Robazza, B.; Yang, T.; Brzev, S.; Elwood, K.; Anderson, D.; McEwen, W. Response of slender reinforced masonry shear walls with flanged boundary elements under in-plane lateral loading: An experimental study. Eng. Struct. 2019, 190, 389–409. [Google Scholar] [CrossRef]
- Shedid, M.T.; El-Dakhakhni, W.W.; Drysdale, R.G. Characteristics of Rectangular, Flanged, and End-Confined Reinforced Concrete Masonry Shear Walls for Seismic Design. J. Struct. Eng. 2010, 136, 1471–1482. [Google Scholar] [CrossRef]
- Shedid, M.T.; El-Dakhakhni, W.W.; Drysdale, R.G. Alternative Strategies to Enhance the Seismic Performance of Reinforced Concrete-Block Shear Wall Systems. J. Struct. Eng. 2010, 136, 676–689. [Google Scholar] [CrossRef]
- El-Azizy, O.A.; Shedid, M.T.; El-Dakhakhni, W.W.; Drysdale, R.G. Experimental evaluation of the seismic performance of reinforced concrete structural walls with different end configurations. Eng. Struct. 2015, 101, 246–263. [Google Scholar] [CrossRef]
- Standardization Administration of China. GB 50003-2011: Code for Design of Masonry Structure; Standardization Administration of China: Beijing, China. (In Chinese)
- Standardization Administration of China. GB 50011-2010: Code for Seismic Design of Buildings; Standardization Administration of China: Beijing, China, 2010. (In Chinese)
- Standardization Administration of China. JC861-2008: Grout for Concret Unit Masonry; Standardization Administration of China: Beijing, China, 2008. (In Chinese)
- Chi, B.; Yang, X.; Wang, F.; Zhang, Z.; Quan, Y. Experimental investigation of effect of section configuration on seismic performance of an innovative integrated concrete masonry wall system. Eng. Struct. 2020, 206, 110163. [Google Scholar] [CrossRef]
- Tomaževič, M. Earthquake-Resistant Design of Masonry Buildings; Imperial College PR: London, UK, 1999. [Google Scholar]














| Wall ID | H (mm) | L (mm) | d (mm) | Flange (mm) | Reinforcement Details | Axial Stress | Construction Method | |||
|---|---|---|---|---|---|---|---|---|---|---|
| Horizontal | Vertical | |||||||||
| PCMW | 2790 | 2390 | 190 | - | 2C8@400 | 0.132 | 6C16 + 4C8 + 4C14 | 0.443 | 1.05 | Prefabricated |
| CMW | 2790 | 2390 | 190 | - | 2C8@400 | 0.132 | 6C16 + 6C8 | 0.330 | 1.05 | Cast-in-place |
| PCMMT | 2790 | 2390 | 190 | 590 | 2C8@400 | 0.132 | 6C16 + 4C8 + 4C14 | 0.415 | 1.05 | Prefabricated |
| CMWT | 2790 | 2390 | 190 | 590 | 2C8@400 | 0.132 | 8C16 + 8C8 | 0.330 | 1.05 | Cast-in-place |
| Wall ID | Direction | First Crack State | Peak State | Final State | μexp | ||||
|---|---|---|---|---|---|---|---|---|---|
(kN) | (mm) | (kN) | (mm) | (kN) | (mm) | ||||
| PCMW | (+) | 624 | 5.9 | 731 | 11.9 | 621 | 26.7 | 4.5 | 3.8 |
| (−) | −675 | −8.9 | −723 | −12.0 | −615 | −26.7 | 3.0 | ||
| CMW | (+) | 651 | 5.9 | 675 | 8.9 | 574 | 14.5 | 2.5 | 2.6 |
| (−) | −577 | −5.9 | −628 | −9.0 | −534 | −15.7 | 2.7 | ||
| PCMWT | (+) | 790 | 4.0 | 906 | 8.1 | 770 | 23.3 | 5.8 | 4.3 |
| (−) | −848 | −8.0 | −857 | −11.8 | −729 | −21.7 | 2.7 | ||
| CMWT | (+) | 660 | 11.1 | 728 | 23.4 | 619 | 31.9 | 2.9 | 2.8 |
| (−) | −601 | −11.4 | −662 | −23.9 | −563 | −30.8 | 2.7 | ||
| Wall ID | Direction | (kN/mm) | (kN•mm) | (mm) | (kN) | (mm) | ||
|---|---|---|---|---|---|---|---|---|
| PCMW | (+) | 105.1 | 17,135 | 26.7 | 739 | 7.0 | 3.8 | 3.2 |
| (−) | 75.7 | 16,623 | −26.7 | −769 | 10.2 | 2.6 | ||
| CMW | (+) | 111.0 | 8171 | 14.5 | 728 | 6.6 | 2.2 | 2.3 |
| (−) | 97.4 | 8201 | −15.7 | −668 | 6.9 | 2.3 | ||
| PCMWT | (+) | 199.6 | 18,751 | 23.3 | 890 | 4.5 | 5.2 | 3.8 |
| (−) | 105.5 | 16,270 | −21.7 | 945 | 9.0 | −2.4 | ||
| CMWT | (+) | 56.3 | 19,836 | 31.9 | 855 | 10.6 | 2.9 | 2.7 |
| (−) | 51.2 | 16,646 | −30.8 | 834 | 11.2 | −2.5 |
Publisher’s Note: MDPI stays neutral with regard to jurisdictional claims in published maps and institutional affiliations. |
© 2021 by the authors. Licensee MDPI, Basel, Switzerland. This article is an open access article distributed under the terms and conditions of the Creative Commons Attribution (CC BY) license (https://creativecommons.org/licenses/by/4.0/).
Share and Cite
Zhang, Z.; Wang, F. Experimental Investigation into the Seismic Performance of Prefabricated Reinforced Masonry Shear Walls with Vertical Joint Connections. Appl. Sci. 2021, 11, 4421. https://doi.org/10.3390/app11104421
Zhang Z, Wang F. Experimental Investigation into the Seismic Performance of Prefabricated Reinforced Masonry Shear Walls with Vertical Joint Connections. Applied Sciences. 2021; 11(10):4421. https://doi.org/10.3390/app11104421
Chicago/Turabian StyleZhang, Zhiming, and Fenglai Wang. 2021. "Experimental Investigation into the Seismic Performance of Prefabricated Reinforced Masonry Shear Walls with Vertical Joint Connections" Applied Sciences 11, no. 10: 4421. https://doi.org/10.3390/app11104421
APA StyleZhang, Z., & Wang, F. (2021). Experimental Investigation into the Seismic Performance of Prefabricated Reinforced Masonry Shear Walls with Vertical Joint Connections. Applied Sciences, 11(10), 4421. https://doi.org/10.3390/app11104421

