Density, Viscosity, and Excess Properties of MDEA + H2O, DMEA + H2O, and DEEA + H2O Mixtures
Abstract
1. Introduction
2. Materials and Methods
2.1. Sample Preparation
2.2. Density Measurements
2.3. Viscosity Measurements
2.4. Measurement Uncertainty
3. Results and Discussion
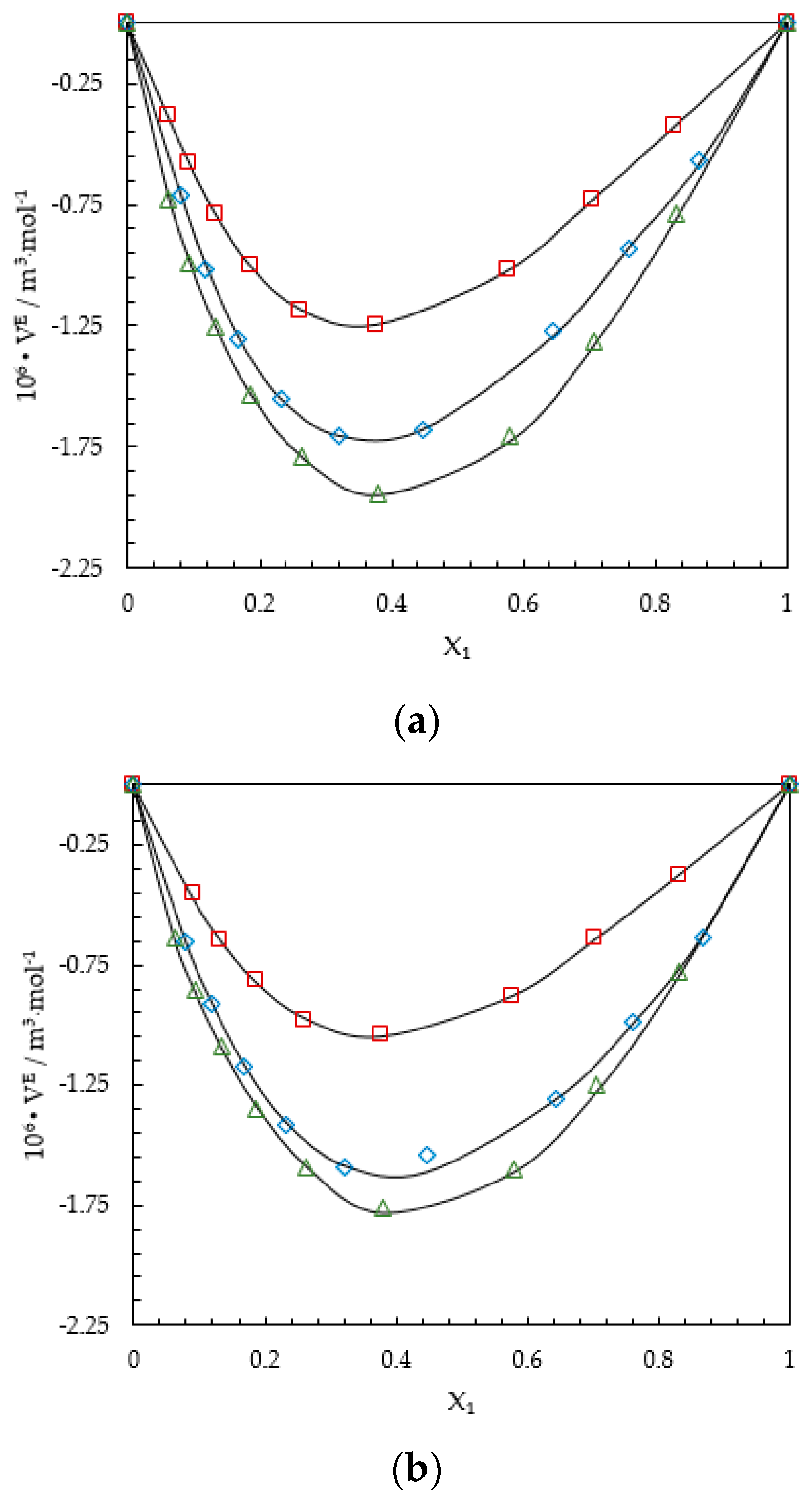
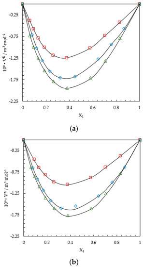
3.1. Density and Excess Molar Volume of the Binary Mixtures
3.2. Viscosity of the Binary Mixtures
4. Conclusions
Supplementary Materials
Author Contributions
Funding
Conflicts of Interest
Nomenclature
| Latin Symbols | Greek Symbols | ||
| Characteristic constant | Viscosity (dynamic) of the mixture, mPa·s | ||
| Free energy of activation for viscous flow, J·mol−1 | Viscosity deviation in Equation (17), mPa·s | ||
| Excess free energy of activation for viscous flow, J·mol−1 | Viscosity of pure component, mPa·s | ||
| Planck’s constant, J·s | Viscosity deviation in Equation (22), mPa·s | ||
| Enthalpy of activation for viscous flow, J·mol−1 | Density of the mixture, kg·m−3 | ||
| Molecular weight, kg·mol−1 | Density of pure components, kg·m−3 | ||
| Molecular weight of amine, kg·mol−1 | Density of pure amine, kg·m−3 | ||
| Molecular weight of H2O, kg·mol−1 | Density of pure H2O, kg·m−3 | ||
| Number of data points | Density deviation, kg·m−3 | ||
| Avogadro’s number, mol−1 | Kinematic viscosity, m2·s−1 | ||
| Gas constant, J·mol−1·K−1 | , | McAllister’s model parameters | |
| Excess entropy of activation for viscous flow, J·mol−1·K−1 | |||
| Entropy of activation for viscous flow, J·mol−1·K−1 | |||
| Temperature, K | |||
| Molar volume of the mixture, m3·mol−1 | |||
| Excess molar volume, m3·mol−1 | |||
| Molar volume of pure amine, m3·mol−1 | |||
| Molar volume of pure H2O, m3·mol−1 | |||
| Partial molar volume of component in the mixture, m3·mol−1 | |||
| Partial molar volume of amine in the mixture, m3·mol−1 | |||
| Partial molar volume of H2O in the mixture, m3·mol−1 | |||
| Partial molar volume of amine at infinite dilution in H2O, m3·mol−1 | |||
| Partial molar volume of H2O at infinite dilution in amine, m3·mol−1 | |||
| Mole fraction of component in the mixture | |||
| Mole fraction of amine in the mixture | |||
| Mole fraction of H2O in the mixture | |||
| Excess property | |||
| Measured property | |||
| Calculated property | |||
Appendix A
| T/K | aw1 | 0.30 | 0.40 | 0.50 | 0.60 | 0.70 | 0.80 | 0.90 | 0.94 | 0.97 | |||||||||
|---|---|---|---|---|---|---|---|---|---|---|---|---|---|---|---|---|---|---|---|
| bx1 | 0.0609 | 0.0916 | 0.1313 | 0.1849 | 0.2608 | 0.3768 | 0.5764 | 0.7031 | 0.8302 | ||||||||||
| ρ | 106 · VE | ρ | 106 · VE | ρ | 106 · VE | ρ | 106 · VE | ρ | 106 · VE | ρ | 106 · VE | ρ | 106 · VE | ρ | 106 · VE | ρ | 106 · VE | ||
| 293.15 | 1026.9 | −0.381 | 1036.8 | −0.572 | 1045.6 | −0.784 | 1052.5 | −0.998 | 1056.5 | −1.185 | 1056.0 | −1.245 | 1050.7 | −1.018 | 1046.8 | −0.730 | 1043.7 | −0.422 | |
| 298.15 | 1024.7 | −0.376 | 1034.2 | −0.563 | 1042.6 | −0.770 | 1049.2 | −0.981 | 1052.9 | −1.167 | 1052.4 | −1.231 | 1047.0 | −1.011 | 1043.2 | −0.727 | 1040.1 | −0.423 | |
| 303.15 | 1022.4 | −0.372 | 1031.5 | −0.554 | 1039.5 | −0.757 | 1045.7 | −0.964 | 1049.3 | −1.149 | 1048.6 | −1.214 | 1043.3 | −0.999 | 1039.4 | −0.721 | 1036.3 | −0.419 | |
| 308.15 | 1019.9 | −0.368 | 1028.6 | −0.546 | 1036.3 | −0.744 | 1042.2 | −0.947 | 1045.6 | −1.130 | 1044.9 | −1.198 | 1039.5 | −0.989 | 1035.7 | −0.714 | 1032.6 | −0.415 | |
| 313.15 | 1017.3 | −0.364 | 1025.6 | −0.539 | 1033.0 | −0.733 | 1038.6 | −0.932 | 1041.8 | −1.114 | 1041.0 | −1.182 | 1035.7 | −0.980 | 1031.8 | −0.709 | 1028.8 | −0.415 | |
| 318.15 | 1014.5 | −0.360 | 1022.5 | −0.532 | 1029.6 | −0.722 | 1035.0 | −0.918 | 1038.0 | −1.098 | 1037.1 | −1.166 | 1031.8 | −0.969 | 1028.0 | −0.702 | 1024.9 | −0.411 | |
| 323.15 | 1011.7 | −0.357 | 1019.4 | −0.525 | 1026.1 | −0.711 | 1031.2 | −0.903 | 1034.1 | −1.080 | 1033.2 | −1.150 | 1027.9 | −0.958 | 1024.1 | −0.695 | 1021.1 | −0.404 | |
| 328.15 | 1008.7 | −0.354 | 1016.1 | −0.519 | 1022.5 | −0.701 | 1027.4 | −0.889 | 1030.2 | −1.064 | 1029.2 | −1.133 | 1024.0 | −0.946 | 1020.2 | −0.686 | 1017.2 | −0.400 | |
| 333.15 | 1005.5 | −0.349 | 1012.7 | −0.512 | 1018.9 | −0.691 | 1023.6 | −0.875 | 1026.2 | −1.047 | 1025.1 | −1.116 | 1020.0 | −0.934 | 1016.3 | −0.679 | 1013.3 | −0.396 | |
| 338.15 | 1002.2 | −0.345 | 1009.2 | −0.505 | 1015.1 | −0.680 | 1019.6 | −0.861 | 1022.1 | −1.030 | 1021.0 | −1.098 | 1015.8 | −0.912 | 1012.3 | −0.668 | 1009.4 | −0.393 | |
| 343.15 | 998.6 | −0.335 | 1005.4 | −0.492 | 1011.3 | −0.670 | 1015.6 | −0.847 | 1018.0 | −1.013 | 1016.9 | −1.080 | 1011.9 | −0.909 | 1008.3 | −0.659 | 1005.5 | −0.388 | |
| 348.15 | 1001.5 | −0.481 | 1007.4 | −0.659 | 1011.5 | −0.832 | 1013.8 | −0.995 | 1012.7 | −1.062 | 1007.8 | −0.895 | 1004.3 | −0.649 | 1001.5 | −0.383 | |||
| 353.15 | 996.9 | −0.450 | 1003.4 | −0.646 | 1007.3 | −0.813 | 1009.5 | −0.977 | 1008.4 | −1.042 | 1003.7 | −0.879 | 1000.3 | −0.636 | 997.5 | −0.375 | |||
| T/K | aw1 | 0.30 | 0.40 | 0.50 | 0.60 | 0.70 | 0.80 | 0.90 | 0.94 | 0.97 | |||||||||
|---|---|---|---|---|---|---|---|---|---|---|---|---|---|---|---|---|---|---|---|
| bx1 | 0.0797 | 0.1187 | 0.1681 | 0.2326 | 0.3204 | 0.4470 | 0.6452 | 0.7600 | 0.8673 | ||||||||||
| ρ | 106 · VE | ρ | 106 · VE | ρ | 106 · VE | ρ | 106 · VE | ρ | 106 · VE | ρ | 106 · VE | ρ | 106 · VE | ρ | 106 · VE | ρ | 106 · VE | ||
| 293.15 | 991.0 | −0.712 | 987.1 | −1.020 | 979.9 | −1.305 | 969.3 | −1.550 | 954.9 | −1.704 | 936.6 | −1.678 | 914.2 | −1.274 | 904.2 | −0.931 | 896.5 | −0.567 | |
| 298.15 | 988.2 | −0.704 | 983.8 | −1.004 | 976.2 | −1.286 | 965.4 | −1.534 | 950.9 | −1.692 | 932.6 | −1.675 | 910.1 | −1.279 | 900.2 | −0.941 | 892.4 | −0.579 | |
| 303.15 | 985.4 | −0.696 | 980.3 | −0.990 | 972.3 | −1.268 | 961.4 | −1.518 | 946.8 | −1.680 | 928.4 | −1.668 | 906.0 | −1.284 | 896.0 | −0.947 | 888.3 | −0.589 | |
| 308.15 | 982.4 | −0.689 | 976.8 | −0.977 | 968.4 | −1.253 | 957.3 | −1.502 | 942.7 | −1.669 | 924.3 | −1.666 | 901.8 | −1.287 | 891.8 | −0.956 | 884.0 | −0.591 | |
| 313.15 | 979.2 | −0.683 | 973.1 | −0.965 | 964.5 | −1.239 | 953.2 | −1.488 | 938.4 | −1.659 | 920.0 | −1.661 | 897.5 | −1.291 | 887.6 | −0.960 | 879.7 | −0.596 | |
| 318.15 | 976.0 | −0.679 | 969.5 | −0.957 | 960.5 | −1.226 | 949.0 | −1.476 | 934.1 | −1.649 | 915.7 | −1.657 | 893.3 | −1.295 | 883.3 | −0.964 | 875.4 | −0.601 | |
| 323.15 | 972.7 | −0.674 | 965.7 | −0.948 | 956.4 | −1.215 | 944.7 | −1.464 | 929.8 | −1.640 | 911.3 | −1.653 | 888.9 | −1.298 | 878.9 | −0.968 | 871.0 | −0.603 | |
| 328.15 | 969.3 | −0.670 | 961.9 | −0.941 | 952.3 | −1.205 | 940.4 | −1.454 | 925.4 | −1.632 | 906.9 | −1.649 | 884.5 | −1.301 | 874.5 | −0.973 | 866.6 | −0.605 | |
| 333.15 | 965.8 | −0.668 | 958.0 | −0.934 | 948.1 | −1.195 | 936.0 | −1.444 | 920.9 | −1.624 | 902.4 | −1.645 | 880.0 | −1.301 | 870.0 | −0.973 | 862.2 | −0.611 | |
| 338.15 | 962.1 | −0.665 | 954.0 | −0.928 | 943.8 | −1.187 | 931.5 | −1.435 | 916.4 | −1.616 | 897.9 | −1.643 | 875.5 | −1.304 | 865.6 | −0.980 | 857.6 | −0.613 | |
| 343.15 | 958.3 | −0.663 | 950.0 | −0.928 | 939.5 | −1.184 | 927.0 | −1.433 | 911.8 | −1.617 | 893.2 | −1.650 | 870.9 | −1.322 | 861.0 | −1.007 | 853.1 | −0.642 | |
| 348.15 | 954.3 | −0.652 | 945.7 | −0.914 | 935.1 | −1.170 | 922.4 | −1.414 | 907.1 | −1.596 | 888.6 | −1.625 | 866.3 | −1.292 | 856.4 | −0.973 | 848.5 | −0.604 | |
| 353.15 | 950.4 | −0.653 | 941.5 | −0.912 | 930.7 | −1.172 | 917.8 | −1.413 | 902.3 | −1.596 | 882.5 | −1.546 | 861.6 | −1.306 | 851.7 | −0.989 | 843.9 | −0.633 | |
| T/K | aw1 | 0.30 | 0.40 | 0.50 | 0.60 | 0.70 | 0.80 | 0.90 | 0.94 | 0.97 | |||||||||
|---|---|---|---|---|---|---|---|---|---|---|---|---|---|---|---|---|---|---|---|
| bx1 | 0.0618 | 0.0930 | 0.1332 | 0.1874 | 0.2640 | 0.3808 | 0.5805 | 0.7066 | 0.8325 | ||||||||||
| ρ | 106 · VE | ρ | 106 · VE | ρ | 106 · VE | ρ | 106 · VE | ρ | 106 · VE | ρ | 106 · VE | ρ | 106 · VE | ρ | 106 · VE | ρ | 106 · VE | ||
| 293.15 | 989.6 | −0.724 | 983.2 | −0.990 | 974.6 | −1.258 | 963.9 | −1.531 | 950.8 | −1.786 | 934.4 | −1.941 | 912.9 | −1.706 | 902.4 | −1.313 | 893.6 | −0.788 | |
| 298.15 | 986.6 | −0.712 | 979.7 | −0.973 | 970.7 | −1.240 | 959.8 | −1.513 | 946.5 | −1.771 | 930.0 | −1.932 | 908.5 | −1.707 | 897.9 | −1.319 | 889.1 | −0.800 | |
| 303.15 | 983.4 | −0.701 | 976.0 | −0.957 | 966.7 | −1.222 | 955.6 | −1.497 | 942.0 | −1.755 | 925.4 | −1.922 | 903.9 | −1.705 | 893.3 | −1.321 | 884.5 | −0.802 | |
| 308.15 | 980.2 | −0.692 | 972.3 | −0.944 | 962.6 | −1.206 | 951.2 | −1.481 | 937.6 | −1.742 | 920.8 | −1.913 | 899.2 | −1.695 | 888.7 | −1.327 | 879.9 | −0.808 | |
| 313.15 | 976.8 | −0.684 | 968.5 | −0.931 | 958.5 | −1.191 | 946.8 | −1.465 | 933.0 | −1.727 | 916.1 | −1.898 | 894.6 | −1.699 | 884.0 | −1.324 | 875.2 | −0.809 | |
| 318.15 | 973.4 | −0.676 | 964.6 | −0.920 | 954.3 | −1.177 | 942.4 | −1.450 | 928.4 | −1.712 | 911.4 | −1.888 | 889.8 | −1.693 | 879.3 | −1.324 | 870.5 | −0.812 | |
| 323.15 | 969.8 | −0.669 | 960.6 | −0.909 | 950.0 | −1.164 | 937.8 | −1.436 | 923.6 | −1.698 | 906.6 | −1.875 | 884.9 | −1.677 | 874.5 | −1.322 | 865.7 | −0.809 | |
| 328.15 | 966.2 | −0.663 | 956.5 | −0.900 | 945.6 | −1.152 | 933.2 | −1.422 | 918.8 | −1.683 | 901.7 | −1.861 | 880.2 | −1.679 | 869.7 | −1.316 | 861.0 | −0.807 | |
| 333.15 | 962.4 | −0.657 | 952.4 | −0.890 | 941.1 | −1.140 | 928.5 | −1.407 | 914.0 | −1.666 | 896.8 | −1.850 | 875.3 | −1.668 | 864.8 | −1.308 | 856.1 | −0.804 | |
| 338.15 | 958.5 | −0.651 | 948.2 | −0.881 | 936.6 | −1.127 | 923.8 | −1.393 | 909.1 | −1.650 | 891.7 | −1.822 | 870.3 | −1.655 | 859.9 | −1.294 | 851.3 | −0.804 | |
| 343.15 | 954.6 | −0.645 | 943.8 | −0.872 | 932.0 | −1.115 | 919.0 | −1.379 | 904.1 | −1.633 | 886.6 | −1.806 | 865.3 | −1.639 | 854.9 | −1.282 | 846.4 | −0.799 | |
| 348.15 | 950.5 | −0.641 | 939.5 | −0.863 | 927.3 | −1.102 | 914.1 | −1.363 | 899.1 | −1.617 | 881.5 | −1.786 | 860.2 | −1.621 | 849.9 | −1.270 | 841.4 | −0.788 | |
| 353.15 | 946.3 | −0.632 | 935.0 | −0.853 | 922.6 | −1.091 | 909.1 | −1.346 | 893.8 | −1.592 | 876.3 | −1.763 | 855.0 | −1.599 | 844.8 | −1.252 | 836.4 | −0.776 | |
| T/K | MDEA (1) at Infinite Dilution in H2O (2) | DMEA (1) at Infinite Dilution in H2O (2) | DEEA (1) at Infinite Dilution in H2O (2) | ||||||
|---|---|---|---|---|---|---|---|---|---|
Literature | Literature | Literature | |||||||
| 293.15 | 108.7 | 114.5 | 92.0 | 93.6 c,d | 100.4 | 118.9 | 122.1 d,e | 132.5 | |
| 298.15 | 109.1 | 109.5 a, 108.9 b | 114.9 | 92.4 | 93.7 b, 94.1 c, 93.9 c,d | 100.9 | 119.6 | 117.6 b, 122.6 e, 122.7 d,e | 133.2 |
| 303.15 | 109.6 | 110.7 a | 115.3 | 92.8 | 94.3 c, 94.2 c,d | 101.4 | 120.4 | 123.0 e, 122.7 d,e | 133.9 |
| 308.15 | 110.0 | 110.0b | 115.8 | 93.3 | 95.7b | 101.9 | 121.2 | 118.0b | 134.6 |
| 313.15 | 110.5 | 110.7a | 116.2 | 93.7 | 94.8 c, 94.9 c,d | 102.4 | 122.0 | 123.7 e, 123.6 d,e | 135.4 |
| 318.15 | 110.9 | 110.7 b | 116.6 | 94.2 | 97.2 b | 102.9 | 122.8 | 118.3 b | 136.1 |
| 323.15 | 111.4 | 111.4 a | 117.1 | 94.6 | 103.4 | 123.6 | 136.9 | ||
| 328.15 | 111.8 | 117.5 | 95.1 | 103.9 | 124.4 | 137.6 | |||
| 333.15 | 112.3 | 112.5 a | 118.0 | 95.6 | 96.3 c | 104.5 | 125.2 | 125.3 e | 138.4 |
| 338.15 | 112.8 | 118.4 | 96.1 | 105.0 | 126.1 | 139.2 | |||
| 343.15 | 113.3 | 113.1 a | 118.9 | 96.6 | 105.6 | 126.9 | 140.0 | ||
| 348.15 | 113.7 | 119.3 | 97.1 | 106.2 | 127.8 | 140.8 | |||
| 353.15 | 114.2 | 113.8a | 119.8 | 97.6 | 98.1c | 106.8 | 128.7 | 128.0 e | 141.6 |
| T/K | aw1 | 0.30 | 0.40 | 0.50 | 0.60 | 0.70 | 0.80 | 0.90 | 0.94 | 0.97 | |||||||||
|---|---|---|---|---|---|---|---|---|---|---|---|---|---|---|---|---|---|---|---|
| bx1 | 0.0609 | 0.0916 | 0.1313 | 0.1849 | 0.2608 | 0.3768 | 0.5764 | 0.7031 | 0.8302 | ||||||||||
| η | ηE | η | ηE | η | ηE | η | ηE | η | ηE | η | ηE | η | ηE | η | ηE | η | ηE | ||
| 293.15 | 3.712 | −3.358 | 6.410 | −3.723 | 11.633 | −2.465 | 21.915 | 2.480 | 42.784 | 15.778 | 76.266 | 37.686 | 107.892 | 49.414 | 111.511 | 40.394 | 108.675 | 24.890 | |
| 298.15 | 3.136 | −2.319 | 5.290 | −2.468 | 9.323 | −1.418 | 16.721 | 1.965 | 32.161 | 11.711 | 56.123 | 26.967 | 79.249 | 35.126 | 82.357 | 28.727 | 80.921 | 17.762 | |
| 303.15 | 2.673 | −1.594 | 4.410 | −1.609 | 7.561 | −0.725 | 13.075 | 1.737 | 24.522 | 8.854 | 41.834 | 19.548 | 58.937 | 25.273 | 61.546 | 20.654 | 60.950 | 12.815 | |
| 308.15 | 2.301 | −1.090 | 3.721 | −1.018 | 6.200 | −0.285 | 10.404 | 1.570 | 18.988 | 6.821 | 31.721 | 14.458 | 44.492 | 18.469 | 46.689 | 15.102 | 46.555 | 9.390 | |
| 313.15 | 1.995 | −0.742 | 3.170 | −0.618 | 5.152 | 0.002 | 8.418 | 1.435 | 14.936 | 5.354 | 24.435 | 10.879 | 34.108 | 13.719 | 35.949 | 11.220 | 36.084 | 7.005 | |
| 318.15 | 1.748 | −0.496 | 2.732 | −0.343 | 4.335 | 0.183 | 6.916 | 1.315 | 11.930 | 4.273 | 19.137 | 8.338 | 26.566 | 10.363 | 28.108 | 8.473 | 28.378 | 5.304 | |
| 323.15 | 1.544 | −0.322 | 2.376 | −0.155 | 3.683 | 0.289 | 5.759 | 1.205 | 9.659 | 3.460 | 15.206 | 6.490 | 20.977 | 7.936 | 22.277 | 6.489 | 22.607 | 4.065 | |
| 328.15 | 1.376 | −0.199 | 2.088 | −0.027 | 3.168 | 0.353 | 4.863 | 1.106 | 7.938 | 2.846 | 12.272 | 5.138 | 16.823 | 6.179 | 17.927 | 5.053 | 18.264 | 3.155 | |
| 333.15 | 1.236 | −0.109 | 1.849 | 0.062 | 2.749 | 0.389 | 4.147 | 1.014 | 6.600 | 2.372 | 10.019 | 4.117 | 13.644 | 4.865 | 14.580 | 3.973 | 14.924 | 2.485 | |
| 338.15 | 1.117 | −0.043 | 1.649 | 0.121 | 2.408 | 0.406 | 3.572 | 0.930 | 5.554 | 2.005 | 8.281 | 3.346 | 11.201 | 3.882 | 11.996 | 3.163 | 12.326 | 1.975 | |
| 343.15 | 1.017 | 0.006 | 1.478 | 0.161 | 2.128 | 0.414 | 3.104 | 0.856 | 4.722 | 1.716 | 6.923 | 2.760 | 9.291 | 3.136 | 9.962 | 2.543 | 10.278 | 1.591 | |
| 348.15 | 0.930 | 0.041 | 1.335 | 0.188 | 1.894 | 0.413 | 2.723 | 0.792 | 4.055 | 1.486 | 5.844 | 2.300 | 7.788 | 2.567 | 8.353 | 2.067 | 8.642 | 1.289 | |
| 353.15 | 0.853 | 0.066 | 1.213 | 0.206 | 1.698 | 0.408 | 2.407 | 0.736 | 3.513 | 1.301 | 4.984 | 1.943 | 6.587 | 2.124 | 7.065 | 1.698 | 7.337 | 1.064 | |
| 358.15 | 0.790 | 0.086 | 1.108 | 0.218 | 1.528 | 0.394 | 2.144 | 0.685 | 3.072 | 1.149 | 4.290 | 1.659 | 5.619 | 1.772 | 6.026 | 1.406 | 6.268 | 0.873 | |
| 363.15 | 0.747 | 0.114 | 1.018 | 0.224 | 1.377 | 0.374 | 1.925 | 0.641 | 2.710 | 1.028 | 3.725 | 1.434 | 4.834 | 1.494 | 5.181 | 1.1761 | 5.395 | 0.723 | |
| T/K | aw1 | 0.30 | 0.40 | 0.50 | 0.60 | 0.70 | 0.80 | 0.90 | 0.94 | 0.97 | |||||||||
|---|---|---|---|---|---|---|---|---|---|---|---|---|---|---|---|---|---|---|---|
| bx1 | 0.0797 | 0.1187 | 0.1681 | 0.2326 | 0.3204 | 0.4470 | 0.6452 | 0.7600 | 0.8673 | ||||||||||
| η | ηE | η | ηE | η | ηE | η | ηE | η | ηE | η | ηE | η | ηE | η | ηE | η | ηE | ||
| 293.15 | 4.214 | 2.981 | 6.814 | 5.469 | 10.169 | 8.681 | 14.010 | 12.335 | 16.750 | 14.822 | 15.539 | 13.245 | 9.712 | 6.845 | 7.129 | 3.931 | 5.383 | 1.875 | |
| 298.15 | 3.457 | 2.367 | 5.464 | 4.278 | 8.011 | 6.701 | 10.886 | 9.416 | 12.989 | 11.299 | 12.214 | 10.208 | 7.955 | 5.454 | 5.976 | 3.189 | 4.591 | 1.537 | |
| 303.15 | 2.869 | 1.900 | 4.446 | 3.392 | 6.398 | 5.237 | 8.571 | 7.271 | 10.197 | 8.707 | 9.704 | 7.941 | 6.565 | 4.374 | 5.031 | 2.593 | 3.937 | 1.267 | |
| 308.15 | 2.413 | 1.545 | 3.664 | 2.723 | 5.189 | 4.155 | 6.848 | 5.694 | 8.120 | 6.802 | 7.796 | 6.241 | 5.458 | 3.533 | 4.264 | 2.124 | 3.391 | 1.052 | |
| 313.15 | 2.055 | 1.272 | 3.060 | 2.215 | 4.262 | 3.336 | 5.548 | 4.517 | 6.540 | 5.366 | 6.340 | 4.961 | 4.577 | 2.877 | 3.637 | 1.750 | 2.937 | 0.876 | |
| 318.15 | 1.768 | 1.059 | 2.590 | 1.825 | 3.552 | 2.718 | 4.562 | 3.636 | 5.362 | 4.312 | 5.220 | 3.990 | 3.877 | 2.367 | 3.131 | 1.459 | 2.564 | 0.740 | |
| 323.15 | 1.536 | 0.890 | 2.216 | 1.521 | 2.999 | 2.244 | 3.794 | 2.958 | 4.442 | 3.497 | 4.340 | 3.239 | 3.307 | 1.959 | 2.708 | 1.218 | 2.249 | 0.625 | |
| 328.15 | 1.349 | 0.757 | 1.918 | 1.284 | 2.564 | 1.876 | 3.199 | 2.441 | 3.723 | 2.868 | 3.652 | 2.659 | 2.845 | 1.635 | 2.363 | 1.028 | 1.987 | 0.535 | |
| 333.15 | 1.193 | 0.649 | 1.676 | 1.094 | 2.215 | 1.586 | 2.725 | 2.034 | 3.151 | 2.375 | 3.099 | 2.200 | 2.462 | 1.371 | 2.071 | 0.870 | 1.765 | 0.460 | |
| 338.15 | 1.064 | 0.562 | 1.478 | 0.943 | 1.934 | 1.356 | 2.346 | 1.712 | 2.703 | 1.994 | 2.653 | 1.835 | 2.146 | 1.158 | 1.828 | 0.741 | 1.575 | 0.397 | |
| 343.15 | 0.955 | 0.490 | 1.315 | 0.821 | 1.701 | 1.169 | 2.038 | 1.457 | 2.324 | 1.676 | 2.289 | 1.544 | 1.882 | 0.985 | 1.621 | 0.637 | 1.413 | 0.347 | |
| 348.15 | 0.865 | 0.434 | 1.179 | 0.721 | 1.505 | 1.014 | 1.786 | 1.251 | 2.022 | 1.428 | 1.988 | 1.308 | 1.658 | 0.844 | 1.444 | 0.552 | 1.274 | 0.309 | |
| 353.15 | 0.790 | 0.388 | 1.064 | 0.638 | 1.341 | 0.886 | 1.572 | 1.078 | 1.770 | 1.223 | 1.739 | 1.115 | 1.468 | 0.725 | 1.291 | 0.478 | 1.151 | 0.274 | |
| 358.15 | 0.722 | 0.347 | 0.968 | 0.571 | 1.203 | 0.780 | 1.401 | 0.943 | 1.560 | 1.055 | 1.532 | 0.958 | 1.308 | 0.626 | 1.159 | 0.416 | 1.045 | 0.244 | |
| 363.15 | 0.674 | 0.323 | 0.884 | 0.514 | 1.080 | 0.686 | 1.251 | 0.826 | 1.385 | 0.917 | 1.358 | 0.829 | 1.170 | 0.544 | 1.046 | 0.365 | 0.954 | 0.221 | |
| T/K | aw1 | 0.30 | 0.40 | 0.50 | 0.60 | 0.70 | 0.80 | 0.90 | 0.94 | 0.97 | |||||||||
|---|---|---|---|---|---|---|---|---|---|---|---|---|---|---|---|---|---|---|---|
| bx1 | 0.0618 | 0.0930 | 0.1332 | 0.1874 | 0.2640 | 0.3808 | 0.5805 | 0.7066 | 0.8325 | ||||||||||
| η | ηE | η | ηE | η | ηE | η | ηE | η | ηE | η | ηE | η | ηE | η | ηE | η | ηE | ||
| 293.15 | 4.511 | 3.266 | 7.057 | 5.688 | 10.454 | 8.927 | 14.648 | 12.907 | 18.849 | 16.806 | 20.569 | 18.064 | 15.023 | 11.730 | 10.786 | 6.996 | 7.593 | 3.305 | |
| 298.15 | 3.666 | 2.573 | 5.616 | 4.421 | 8.157 | 6.829 | 11.239 | 9.734 | 14.255 | 12.499 | 15.446 | 11.561 | 8.767 | 8.548 | 5.340 | 6.191 | 2.570 | ||
| 303.15 | 3.025 | 2.059 | 4.536 | 3.484 | 6.477 | 5.315 | 8.731 | 7.420 | 10.922 | 9.401 | 11.757 | 13.307 | 9.009 | 6.623 | 6.905 | 4.173 | 5.092 | 2.016 | |
| 308.15 | 2.529 | 1.668 | 3.713 | 2.781 | 5.222 | 4.197 | 6.903 | 5.755 | 8.510 | 7.185 | 9.104 | 9.917 | 7.122 | 5.072 | 5.607 | 3.268 | 4.223 | 1.595 | |
| 313.15 | 2.143 | 1.371 | 3.090 | 2.257 | 4.223 | 3.312 | 5.546 | 4.531 | 6.740 | 5.577 | 7.161 | 7.512 | 5.711 | 3.938 | 4.609 | 2.592 | 3.536 | 1.276 | |
| 318.15 | 1.839 | 1.141 | 2.607 | 1.858 | 3.517 | 2.702 | 4.533 | 3.629 | 5.425 | 4.396 | 5.729 | 5.774 | 4.649 | 3.101 | 3.810 | 2.055 | 2.999 | 1.038 | |
| 323.15 | 1.597 | 0.964 | 2.226 | 1.549 | 2.964 | 2.230 | 3.750 | 2.940 | 4.432 | 3.514 | 4.650 | 4.509 | 3.822 | 2.461 | 3.184 | 1.646 | 2.560 | 0.845 | |
| 328.15 | 1.397 | 0.819 | 1.926 | 1.309 | 2.535 | 1.869 | 3.151 | 2.420 | 3.676 | 2.852 | 3.832 | 3.569 | 3.187 | 1.981 | 2.704 | 1.346 | 2.205 | 0.695 | |
| 333.15 | 1.238 | 0.707 | 1.678 | 1.115 | 2.189 | 1.583 | 2.675 | 2.013 | 3.086 | 2.343 | 3.196 | 2.867 | 2.697 | 1.624 | 2.302 | 1.097 | 1.919 | 0.582 | |
| 338.15 | 1.105 | 0.616 | 1.480 | 0.962 | 1.911 | 1.356 | 2.311 | 1.707 | 2.619 | 1.944 | 2.703 | 2.332 | 2.282 | 1.319 | 1.981 | 0.902 | 1.678 | 0.485 | |
| 343.15 | 0.998 | 0.545 | 1.314 | 0.836 | 1.682 | 1.171 | 2.010 | 1.456 | 2.265 | 1.649 | 2.304 | 1.922 | 1.967 | 1.097 | 1.717 | 0.746 | 1.477 | 0.405 | |
| 348.15 | 0.905 | 0.484 | 1.180 | 0.736 | 1.491 | 1.018 | 1.756 | 1.245 | 1.943 | 1.378 | 1.983 | 1.594 | 1.681 | 0.891 | 1.513 | 0.633 | 1.310 | 0.341 | |
| 353.15 | 0.834 | 0.441 | 1.076 | 0.663 | 1.330 | 0.892 | 1.545 | 1.073 | 1.697 | 1.177 | 1.717 | 1.335 | 1.471 | 0.751 | 1.342 | 0.542 | 1.172 | 0.293 | |
| 358.15 | 0.765 | 0.398 | 0.984 | 0.599 | 1.194 | 0.786 | 1.372 | 0.934 | 1.493 | 1.012 | 1.497 | 1.123 | 1.299 | 0.640 | 1.183 | 0.452 | 1.059 | 0.257 | |
| 363.15 | 0.703 | 0.359 | 0.906 | 0.546 | 1.077 | 0.697 | 1.221 | 0.814 | 1.316 | 0.871 | 1.321 | 0.950 | 1.154 | 0.549 | 1.052 | 0.384 | 0.961 | 0.230 | |
References
- Metz, B.; Davidson, O.; Coninck, H.D.; Loos, M.; Meyer, L. IPCC Special Report on Carbon Dioxide Capture and Storage. Cambridge University Press: New York, NY, USA, 2005. [Google Scholar]
- Nwaoha, C.; Tontiwachwuthikul, P.; Benamor, A. A comparative study of novel activated AMP using 1,5-diamino-2-methylpentane vs MEA solution for CO2 capture from gas-fired power plant. Fuel 2018, 234, 1089–1098. [Google Scholar] [CrossRef]
- Nwaoha, C.; Saiwan, C.; Supap, T.; Idem, R.; Tontiwachwuthikul, P.; Rongwong, W.; Al-Marri, M.J.; Benamor, A. Carbon dioxide (CO2) capture performance of aqueoustri-solvent blends containing 2-amino−2-methyl-1-propanol (AMP) and methyldiethanolamine (MDEA) promoted by diethylenetriamine (DETA). Int. J. Greenh. Gas Control 2016, 53, 292–304. [Google Scholar] [CrossRef]
- Kim, C.J.; Savage, D.W. Kinetics of carbon dioxide reaction with diethylaminoethanol in aqueous solutions. Chem. Eng. Sci. 1987, 42, 1481–1487. [Google Scholar] [CrossRef]
- Rinker, E.B.; Sami, S.A.; Sandall, O.C. Kinetics and modelling of carbon dioxide absorption into aqueous solutions of N-methyldiethanolamine. Chem. Eng. Sci. 1995, 50, 755–768. [Google Scholar] [CrossRef]
- Monteiro, J.G.M.S.; Pinto, D.D.D.; Zaidy, S.A.H.; Hartono, A.; Svendsen, H.F. VLE data and modelling of aqueous N,N-diethylethanolamine (DEEA) solutions. Int. J. Greenh. Gas Control 2013, 19, 432–440. [Google Scholar] [CrossRef]
- Henni, A.; Li, J.; Tontiwachwuthikul, P. Reaction kinetics of CO2 in aqueous 1-Amino-2-Propanol, 3-Amino-1-Propanol, and Dimethylmonoethanolamine solutions in the temperature range of 298–313 K using the stopped-flow technique. Ind. Eng. Chem. Res. 2008, 47, 2213–2220. [Google Scholar] [CrossRef]
- Zhang, J.; Fennell, P.S.; Trusler, J.P.M. Density and viscosity of partially carbonated aqueous tertiary Alkanolamine solutions at temperatures between (298.15 and 353.15) K. J. Chem. Eng. Data 2015, 60, 2392–2399. [Google Scholar] [CrossRef]
- Versteeg, G.F.; Van Swaaij, W.P.M. Solubility and diffusivity of acid gases (carbon dioxide, nitrous oxide) in aqueous alkanolamine solutions. J. Chem. Eng. Data 1988, 33, 29–34. [Google Scholar] [CrossRef]
- Aronu, U.E.; Hartono, A.; Svendsen, H.F. Density, viscosity, and N2O solubility of aqueous amino acid salt and amine amino acid salt solutions. J. Chem. Thermodyn. 2012, 45, 90–99. [Google Scholar] [CrossRef]
- Cleeton, C.; Kvam, O.; Rea, R.; Sarkisov, L.; De Angelis, M.G. Competitive H2S – CO2 absorption in reactive aqueous methyldiethanolamine solution: Prediction with ePC-SAFT. Fluid Phase Equilib. 2020, 511, 112453. [Google Scholar] [CrossRef]
- Wangler, A.; Sieder, G.; Ingram, T.; Heilig, M.; Held, C. Prediction of CO2 and H2S solubility and enthalpy of absorption in reacting N-methyldiethanolamine/water systems with ePC-SAFT. Fluid Phase Equilib. 2018, 461, 15–27. [Google Scholar] [CrossRef]
- Idris, Z.; Kummamuru, N.B.; Eimer, D.A. Viscosity measurement of unloaded and CO2-loaded aqueous monoethanolamine at higher concentrations. J. Mol. Liq. 2017, 243, 638–645. [Google Scholar] [CrossRef]
- JCGM. Evaluation of Measurement Data—Supplement 1 to the “Guide to the Expression of Uncertainty in Measurement”—Propagation of Distributions Using a Monte Carlo Method. Available online: https://www.bipm.org/utils/common/documents/jcgm/JCGM_101_2008_E.pdf (accessed on 3 January 2020).
- Ellison, S.L.R.; Williams, A. Quantifying Uncertainty in Analytical Measurement. Available online: https://www.eurachem.org/images/stories/Guides/pdf/QUAM2012_P1.pdf (accessed on 3 January 2020).
- Hawrylak, B.; Bruke, S.E.; Palepu, R. Partial molar and excess volumes and adiabatic compressibilities of binary mixtures of ethanolamines with water. J. Solut. Chem. 2000, 29, 575–593. [Google Scholar] [CrossRef]
- Maham, Y.; Teng, T.T.; Mather, A.E.; Hepler, L.G. Volumetric properties of (water + diethanolamine) systems. Can. J. Chem. 1995, 73, 1514–1519. [Google Scholar] [CrossRef]
- Maham, Y.; Teng, T.T.; Hepler, L.G.; Mather, A.E. Volumetric properties of aqueous solutions of monoethanolamine, mono- and dimethylethanolamines at temperatures from 5 to 80 °C I. Thermochim. Acta 2002, 386, 111–118. [Google Scholar] [CrossRef]
- Zhang, F.-Q.; Li, H.-P.; Dai, M.; Zhao, J.-P.; Chao, J.P. Volumetric properties of binary mixtures of water with ethanolamine alkyl derivatives. Thermochim. Acta 1995, 254, 347–357. [Google Scholar] [CrossRef]
- Lebrette, L.; Maham, Y.; Teng, T.T.; Hepler, L.G.; Mather, A.E. Volumetric properties of aqueous solutions of mono, and diethylethanolamines at temperatures from 5 to 80 °C II. Thermochim. Acta 2002, 386, 119–126. [Google Scholar] [CrossRef]
- Concepción, E.I.; Gómez-Hernández, Á.; Martín, M.C.; Segovia, J.J. Density and viscosity measurements of aqueous amines at high pressures: DEA-water, DMAE-water and TEA-water mixtures. J. Chem. Thermodyn. 2017, 112, 227–239. [Google Scholar] [CrossRef]
- Ma, D.; Liu, Q.; Zhu, C.; Feng, H.; Ma, Y. Volumetric and viscometric properties of ternary solution of (N-methyldiethanolamine + monoethanolamine + ethanol). J. Chem. Thermodyn. 2019, 134, 5–19. [Google Scholar] [CrossRef]
- Begum, S.K.; Clarke, R.J.; Ahmed, M.S.; Begum, S.; Saleh, M.A. Volumetric, viscosimetric and surface properties of aqueous solutions of triethylene glycol, tetraethylene glycol, and tetraethylene glycol dimethyl ether. J. Mol. Liq. 2013, 177, 11–18. [Google Scholar] [CrossRef]
- Rafiee, H.R.; Frouzesh, F. Volumetric properties for binary and ternary mixtures of allyl alcohol, 1,3-dichloro-2-propanol and 1-ethyl-3-methyl imidazolium ethyl sulfate [Emim][EtSO4] from T=298.15 to 318.15K at ambient pressure. Thermochim. Acta 2015, 611, 36–46. [Google Scholar] [CrossRef]
- Aminabhavi, T.M.; Aralaguppi, M.I.; Bindu, G.; Khinnavar, R.S. Densities, shear viscosities, refractive indices, and speeds of sound of Bis(2-methoxyethyl) Ether with Hexane, Heptane, Octane, and 2,2,4-Trimethylpentane in the temperature interval 298.15-318.15 K. J. Chem. Eng. Data 1994, 39, 522–528. [Google Scholar] [CrossRef]
- Harvey, A.H. Thermodynamic Properties of Water; NIST: Boulder, CO, USA, 1998. [Google Scholar]
- Hartono, A.; Svendsen, H.F. Density, viscosity, and excess properties of aqueous solution of diethylenetriamine (DETA). J. Chem. Thermodyn. 2009, 41, 973–979. [Google Scholar] [CrossRef]
- Redlich, O.; Kister, A.T. Algebraic representation of thermodynamic properties and the classification of solutions. Ind. Eng. Chem. 1948, 40, 345–348. [Google Scholar] [CrossRef]
- Maham, Y.; Teng, T.T.; Hepler, L.G.; Mather, A.E. Densities, excess molar volumes, and partial molar volumes for binary mixtures of Water with Monoethanolamine, Diethnolamine, and Triethanolamine from 25 to 80 °C. J. Solut. Chem. 1994, 23, 195–205. [Google Scholar] [CrossRef]
- Hepler, L.G. Thermal expansion and structure in water and aqueous solutions. Can. J. Chem. 1969, 47, 4613–4617. [Google Scholar] [CrossRef]
- Teng, T.T.; Maham, Y.; Hepler, L.G.; Mather, A.E. Viscosity of aqueous solutions of N-Methyldiethanolamine and of Diethanolamine. J. Chem. Eng. Data 1994, 39, 290–293. [Google Scholar] [CrossRef]
- Bernal-García, J.M.; Hall, K.R.; Estrada-Baltazar, A.; Iglesias-Silva, G.A. Density and viscosity of aqueous solutions of N,N-dimethylethanolamine at p = 0.1 MPa from T=(293.15 to 363.15) K. J. Chem. Thermodyn. 2005, 37, 762–767. [Google Scholar] [CrossRef]
- Maham, Y.; Lebrette, L.; Mather, A.E. Viscosities and excess properties of aqueous solutions of Mono- and Diethylethanolamines at temperatures between 298.15 and 353.15 K. J. Chem. Eng. Data 2002, 47, 550–553. [Google Scholar] [CrossRef]
- Korson, L.; Hansen, W.D.; Millero, F.J. Viscosity of water at various temperatures. J. Phys. Chem. 1969, 73, 34–39. [Google Scholar] [CrossRef]
- Kauzmann, W.; Eyring, H. The viscous flow of large molecules. J. Am. Chem. Soc. 1940, 62, 3113–3125. [Google Scholar] [CrossRef]
- Oskoei, A.G.; Safaei, N.; Ghasemi, J. Densities and viscosities for binary and ternary mixtures of 1, 4-Dioxane + 1-Hexanol + N,N-Dimethylaniline from T = (283.15 to 343.15) K. J. Chem. Eng. Data 2008, 53, 343–349. [Google Scholar] [CrossRef]
- Fort, R.J.; Moore, W.R. Viscosities of binary liquid mixtures. Trans. Faraday Soc. 1966, 62, 1112–1119. [Google Scholar] [CrossRef]
- Bhatia, S.C.; Bhatia, R.; Dubey, G.P. Studies on transport and thermodynamic properties of binary mixtures of octan-1-ol with chloroform, 1,2-dichloroethane and 1,1,2,2-tetrachloroethane at 298.15 and 308.15 K. J. Mol. Liq. 2009, 144, 163–171. [Google Scholar] [CrossRef]
- Grunberg, L.; Nissan, A.H. Mixture law for viscosity. Nature 1949, 164, 799–800. [Google Scholar] [CrossRef]
- Eyring, H. Viscosity, Plasticity, and Diffusion as example of absolute reaction rates. J. Chem. Phys. 1936, 4, 283–291. [Google Scholar] [CrossRef]
- Meyer, R.; Meyer, M.; Metzger, J.; Peneloux, A. Thermodynamic and physicochemical properties of binary solvent. J. Chim. Phys. Phys. Chim. Biol. 1971, 68, 406–412. [Google Scholar] [CrossRef]
- Kinart, C.M.; Kinart, W.J.; Ćwiklińska, A. 2-Methoxyethanol–Tetrahydrofuran–binary liquid system. Viscosities, densities, excess molar volumes and excess Gibbs activation energies of viscous flow at various temperatures. J. Therm. Anal. Calorim. 2002, 68, 307–317. [Google Scholar] [CrossRef]
- Oswal, S.; Rathnam, M.V. Viscosity data of binary mixtures: Ethyl acetate + cyclohexane, + benzene, + toluene, + ethylbenzene + carbon tetrachloride, and + chloroform at 303.15 K. Can. J. Chem. 1984, 62, 2851–2853. [Google Scholar] [CrossRef]
- Ćwiklińska, A.; Kinart, C.M. Thermodynamic and physicochemical properties of binary mixtures of nitromethane with {2-methoxyethanol+2-butoxyethanol} systems at T= (293.15, 298.15, 303.15, 308.15, and 313.15)K. J. Chem. Thermodyn. 2011, 43, 420–429. [Google Scholar] [CrossRef]
- Hartono, A.; Mba, E.O.; Svendsen, H.F. Physical properties of partially CO2 loaded aqueous monoethanolamine (MEA). J. Chem. Eng. Data 2014, 59, 1808–1816. [Google Scholar] [CrossRef]
- McAllister, R.A. The viscosity of liquid mixtures. AIChE J. 1960, 6, 427–431. [Google Scholar] [CrossRef]
- Karunarathne, S.S.; Øi, L.E. Density and viscosity correlations for aqueous 3-amino-1-propanol and monoethanol amine mixtures. Proceedings of SIMS 60, Västeräs, Sweden, 13–16 August 2019. [Google Scholar]






| Solvent with Common Name | Molecular Structure with IUPAC Name |
|---|---|
| N-methyldiethanolamine (MDEA) | ![]() |
| 2-(2-Hydroxyethyl-methyl-amino)ethanol | |
| Dimethylethanolamine (DMEA) | ![]() |
| 2-(Dimethylamino)ethanol | |
| Diethylethanolamine (DEEA) | ![]() |
| 2-(Diethylamino)ethanol |
| Chemical Name | CAS No | Source | Purity a | Purification |
|---|---|---|---|---|
| MDEA | 105-59-9 | Merck KGaA | ≥98.0 | no |
| DEEA | 100-37-8 | Sigma-Aldrich | ≥99.5 | no |
| DMEA | 108-01-0 | Alfa Aesar | ≥99.0 | no |
| T/K | MDEA | DMEA | DEEA | |||
|---|---|---|---|---|---|---|
| This Work | Literature | This Eork | Literature | This Work | Literature | |
| 293.15 | 1040.6 | 887.9 | 887.5 d | 884.3 | 884.2 d | |
| 298.15 | 1036.8 | 1036.8 a, 1035.9 b | 883.7 | 883.3 a 882.6 c 883.1 d | 879.7 | 879.5 a 879.5 d 879.3 e |
| 303.15 | 1033.1 | 1032.0 b | 879.4 | 878.4 c 878.9 d | 875.1 | 874.8 d 874.6 e |
| 308.15 | 1029.3 | 1029.0 a | 875.1 | 875.5 a | 870.4 | 871.4 a |
| 313.15 | 1025.5 | 1024.5 b | 870.8 | 869.9 c 870.3 d | 865.8 | 865.6 d 865.0 e |
| 318.15 | 1021.7 | 1022.6 a | 866.4 | 867.3 a | 861.1 | 861.8 a |
| 323.15 | 1017.9 | 1016.7 b | 862.0 | 856.3 | ||
| 328.15 | 1014.0 | 857.6 | 851.6 | |||
| 333.15 | 1010.2 | 1009.0 b | 853.1 | 851.9 c | 846.8 | 846.5 e |
| 338.15 | 1006.3 | 848.6 | 841.9 | |||
| 343.15 | 1002.4 | 1001.2 b | 843.8 | 837.1 | ||
| 348.15 | 998.5 | 839.6 | 832.3 | |||
| 353.15 | 994.6 | 993.7 b | 834.7 | 833.8 c | 827.4 | 827.2 e |
| Parameters | Mixtures | |||||
|---|---|---|---|---|---|---|
| MDEA (1) + H2O (2) | DMEA (1) + H2O (2) | DEEA (1) + H2O (2) | ||||
| a0 | a1 | a0 | a1 | a0 | a1 | |
| A0 | −7.847 | 0.0111 | −7.363 | 0.00313 | −10.120 | 0.00884 |
| A1 | 5.378 | −0.00932 | 6.103 | −0.01065 | 5.082 | −0.00770 |
| A2 | −2.584 | 0.00663 | −1.532 | 0.00017 | −2.175 | 0.00491 |
| A3 | 8.187 | −0.02062 | 18.490 | −0.05285 | 13.530 | −0.04196 |
| A4 | 1.599 | −0.00537 | −0.774 | 0.00274 | −2.203 | 0.00395 |
| A5 | −15.300 | 0.03798 | −29.660 | 0.08247 | −16.060 | 0.05570 |
| AARD (%) | 0.007 | 0.015 | 0.011 | |||
| AMD (kg·m3) | 0.97 | 1.04 | 0.80 | |||
| Parameters | Mixtures | |||||
|---|---|---|---|---|---|---|
| MDEA (1) + H2O (2) | DMEA (1) + H2O (2) | DEEA (1)+ H2O (2) | ||||
| a0 | a1 | a0 | a1 | a0 | a1 | |
| A0 | 0.3054 | −6.25 × 10−4 | 0.2197 | −9.27 × 10−4 | 0.2491 | −11.42 × 10−4 |
| A1 | −0.4206 | 8.48 × 10−4 | −0.3892 | 12 × 10−4 | −0.4277 | 14.91 × 10−4 |
| A2 | 0.4459 | −9.12 × 10−4 | 0.3690 | −10.5 × 10−4 | 0.5542 | −17.69 × 10−4 |
| AARD (%) | 0.1 | 0.03 | 0.04 | |||
| AMD (kg·m−3) | 3.0 | 1.5 | 2.7 | |||
| T/K | MDEA | DMEA | DEEA | |||
|---|---|---|---|---|---|---|
| This Work | Literature | This Work | Literature | This Work | Literature | |
| 293.15 | 100.72 | 3.89 | 4.95 | |||
| 298.15 | 75.90 | 77.19 a | 3.39 | 4.17 | 4.02 b | |
| 303.15 | 57.82 | 2.96 | 3.54 | 3.31 b | ||
| 308.15 | 44.62 | 2.59 | 3.01 | |||
| 313.15 | 34.89 | 34.11 a | 2.28 | 2.24 c | 2.58 | 2.41 b |
| 318.15 | 27.67 | 2.01 | 2.24 | |||
| 323.15 | 22.22 | 1.79 | 1.76 c | 1.95 | ||
| 328.15 | 18.10 | 1.60 | 1.71 | |||
| 333.15 | 14.89 | 14.30 a | 1.43 | 1.41 c | 1.51 | 1.44 b |
| 338.15 | 12.38 | 1.29 | 1.35 | |||
| 343.15 | 10.38 | 9.85 a | 1.17 | 1.16 c | 1.21 | |
| 348.15 | 8.78 | 1.05 | 1.09 | |||
| 353.15 | 7.48 | 7.12 a | 0.96 | 0.96 c | 0.98 | 0.93 b |
| 358.15 | 6.43 | 0.87 | 0.90 | |||
| 363.15 | 5.56 | 0.80 | 0.82 | |||
| Parameters | Mixtures | ||
|---|---|---|---|
| MDEA (1) + H2O (2) | DMEA (1) + H2O (2) | DEEA (1) + H2O (2) | |
| A0 | 98.13 | 99.61 | 123.5 |
| A1 | −0.4163 | −0.4218 | −0.528 |
| A2 | 5.008 × 10−4 | 5.013 × 10−4 | 6.291 × 10−4 |
| A3 | −29.09 | −33.79 | −45.8 |
| A4 | 0.0838 | 0.1083 | 0.1498 |
| A5 | −10.47 | −14.69 | −18.31 |
| AARD (%) | 1.7 | 2.7 | 4.7 |
| AMD (mPa·s) | 6.4 | 1.3 | 2.4 |
| T/K | Mixtures | |||||
|---|---|---|---|---|---|---|
| MDEA (1) + H2O (2) | DMEA (1) + H2O (2) | DEEA (1) + H2O (2) | ||||
| 106 · v12 | 106 · v21 | 106 · v12 | 106 · v21 | 106 · v12 | 106 · v21 | |
| 293.15 | 44.0582 | 2089.1458 | 3.2724 | 596.7573 | 2.7885 | 1646.6703 |
| 298.15 | 33.9711 | 1340.1148 | 2.9023 | 385.8739 | 2.3762 | 1001.7568 |
| 303.15 | 26.1935 | 883.1637 | 2.6000 | 255.3182 | 2.0452 | 624.2248 |
| 308.15 | 20.3995 | 597.3544 | 2.3060 | 173.9052 | 1.7780 | 402.8284 |
| 313.15 | 16.2081 | 414.6814 | 2.0658 | 121.4510 | 1.5613 | 266.5363 |
| 318.15 | 13.0073 | 296.0447 | 1.8692 | 87.3140 | 1.3573 | 184.4744 |
| 323.15 | 10.4386 | 216.2663 | 1.6745 | 64.2968 | 1.1800 | 131.5663 |
| 328.15 | 8.5464 | 162.4728 | 1.5001 | 48.5945 | 1.0466 | 96.5934 |
| 333.15 | 7.0675 | 124.2767 | 1.3573 | 37.5439 | 0.9282 | 72.6396 |
| 338.15 | 5.8446 | 97.0776 | 1.2282 | 29.5331 | 0.8151 | 56.2896 |
| 343.15 | 4.8818 | 77.1314 | 1.1113 | 23.7008 | 0.7229 | 44.5010 |
| 348.15 | 4.2867 | 59.2349 | 1.0055 | 19.2115 | 0.6412 | 35.7128 |
| 353.15 | 3.6529 | 48.6431 | 0.9190 | 15.7291 | 0.5801 | 28.9483 |
| AARD (%) | 8.4 | 9.2 | 16 | |||
© 2020 by the authors. Licensee MDPI, Basel, Switzerland. This article is an open access article distributed under the terms and conditions of the Creative Commons Attribution (CC BY) license (http://creativecommons.org/licenses/by/4.0/).
Share and Cite
Karunarathne, S.S.; Eimer, D.A.; Øi, L.E. Density, Viscosity, and Excess Properties of MDEA + H2O, DMEA + H2O, and DEEA + H2O Mixtures. Appl. Sci. 2020, 10, 3196. https://doi.org/10.3390/app10093196
Karunarathne SS, Eimer DA, Øi LE. Density, Viscosity, and Excess Properties of MDEA + H2O, DMEA + H2O, and DEEA + H2O Mixtures. Applied Sciences. 2020; 10(9):3196. https://doi.org/10.3390/app10093196
Chicago/Turabian StyleKarunarathne, Sumudu S., Dag A. Eimer, and Lars E. Øi. 2020. "Density, Viscosity, and Excess Properties of MDEA + H2O, DMEA + H2O, and DEEA + H2O Mixtures" Applied Sciences 10, no. 9: 3196. https://doi.org/10.3390/app10093196
APA StyleKarunarathne, S. S., Eimer, D. A., & Øi, L. E. (2020). Density, Viscosity, and Excess Properties of MDEA + H2O, DMEA + H2O, and DEEA + H2O Mixtures. Applied Sciences, 10(9), 3196. https://doi.org/10.3390/app10093196




