One Computational Innovation Transition-Based Recovery Policy for Flexible Manufacturing Systems Using Petri nets
Abstract
Featured Application
Abstract
1. Introduction
2. Preliminary
2.1. Petri Nets (PN)
2.2. Reachability Graph (RG) Analysis
3. Basic Theory
3.1. Leading Transitions
3.2. Generating and Comparing Aiding Matrix (GCAM)
4. Algorithm
| Algorithm 1: GCAM-based Recovery Control Transition Designing |
| Input: One PN model of a FMS with deadlock and quasi-deadlock markings. Output: One optimal controlled FMS with control transitions 1. Illustrate reachability graph with all reachable markings. 2. Identify the set of legal markings and the set of deadlock markings . 3. Build GCAM and SGCAM including all possible control transitions. 4. Comparing computation. while do for do for do for do if then let l be 1 /*reset the value of k and l to skip the rest of column Mk and start the next column. */ end if end for end for end for Add the control transition tc with the maximal to the PN model. if then Do reachability graph analysis and build GCAM for next loop. end if end while 5. Output completely recovered system with and all markings reachable. |
5. Experimental Results
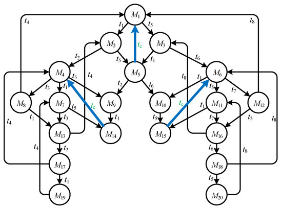
5.1. Examples
5.2. Comparison
6. Conclusions
Author Contributions
Funding
Conflicts of Interest
Appendix A
References
- Coffman, E.G.; Elphick, M.; Shoshani, A. System deadlocks. ACM Comput. Surv. 1971, 3, 67–78. [Google Scholar] [CrossRef]
- Hopcroft, J.; Ullman, J. Introduction to Automata Theory, Languages, and Computation; Addison-Wesley Publishing Company: Boston, MA, USA, 1979; ISBN 0-201-02988-X. [Google Scholar]
- Yalcin, A.; Boucher, T.O. Deadlock avoidance in flexible manufacturing systems using finite automata. IEEE Trans. Robot. Autom. 2000, 16, 424–429. [Google Scholar] [CrossRef]
- Kleinrock, L. Queueing Systems, Vol. 1: Theory; Wiley-Interscience: New York, NY, USA, 1975. [Google Scholar]
- Gross, D.; Harris, C.M. Fundamentals of Queueing Theory; Wiley: Hoboken, NJ, USA, 1998; ISBN 0-471-32812-X. [Google Scholar]
- Murata, T. Petri nets: Properties, analysis and applications. Proc. IEEE 1989, 77, 541–580. [Google Scholar] [CrossRef]
- Karatkevich, A. Deadlock analysis in Statecharts. In Proceedings of the Forum on Specification and Design Languages–FDL’03, Frankfurt, Germany, 23–26 September 2003; pp. 414–424. [Google Scholar]
- Ramadge, P.J.; Wonham, W.M. Supervisory control of a class of discrete event systems. Siam J. Control Optim. 1987, 25, 206–230. [Google Scholar] [CrossRef]
- Yamalidou, K.; Moody, J.; Lemmon, M.; Antsaklis, P. Feedback control of petri nets based on place invariants. Automatica 1996, 32, 15–28. [Google Scholar] [CrossRef]
- Ezpeleta, J.; Colom, J.; Martinez, J. A Petri net based deadlock prevention policy for flexible manufacturing systems. IEEE Trans. Robot. Autom. 1995, 11, 173–184. [Google Scholar] [CrossRef]
- Kumaran, T.K.; Chang, W.; Cho, H.; Wysk, R.A. A structured approach to deadlock detection, avoidance and resolution in flexible manufacturing systems. Int. J. Prod. Res. 1994, 32, 2361–2379. [Google Scholar] [CrossRef]
- Luo, J.; Wu, W.; Su, H.; Chu, J. Supervisor synthesis for enforcing a class of generalized mutual exclusion constraints on petri nets. IEEE Trans. Syst. Man Cybern.-Part A Syst. Hum. 2009, 39, 1237–1246. [Google Scholar]
- Zhou, M.; Dicesare, F. Parallel and sequential mutual exclusions for petri net modeling of manufacturing systems with shared resources. IEEE Trans. Robot. Autom. 1991, 7, 515–527. [Google Scholar] [CrossRef]
- Huang, Y.; Jeng, M.; Xie, X.; Chung, S. Deadlock prevention policy based on Petri nets and siphons. Int. J. Prod. Res. 2001, 39, 283–305. [Google Scholar] [CrossRef]
- Huang, Y.-S.; Jeng, M.; Xie, X.; Chung, D.-H. Siphon-based deadlock prevention policy for flexible manufacturing systems. IEEE Trans. Syst. Man Cybern.-Part A Syst. Hum. 2006, 36, 1248–1256. [Google Scholar] [CrossRef]
- Zhou, M.; Mcdermott, K.; Patel, P. Petri net synthesis and analysis of a flexible manufacturing system cell. IEEE Trans. Syst. Man Cybern. 1993, 23, 523–531. [Google Scholar] [CrossRef]
- Moody, J.; Yamalidou, K.; Lemmon, M.; Antsaklis, P. Feedback control of Petri nets based on place invariants. In Proceedings of the 1994 33rd IEEE Conference on Decision and Control, Lake Buena Vista, FL, USA, 14–16 December 1994. [Google Scholar]
- Iordache, M.; Moody, J.; Antsaklis, P. Synthesis of deadlock prevention supervisors using Petri nets. IEEE Trans. Robot. Autom. 2002, 18, 59–68. [Google Scholar] [CrossRef]
- Moody, J.O.; Antsaklis, P.J. Supervisory Control of Discrete Event Systems Using Petri Nets; Kluwer Academic Publishers: Boston, MA, USA, 1998. [Google Scholar]
- Iordache, M.; Moody, J.; Antsaklis, P. A method for the synthesis of liveness enforcing supervisors in Petri nets. In Proceedings of the 2001 American Control Conference. (Cat. No.01CH37148), Arlington, VA, USA, 25–27 June 2001. [Google Scholar]
- Park, J.; Reveliotis, S. Algebraic synthesis of efficient deadlock avoidance policies for sequential resource allocation systems. IEEE Trans. Robot. Autom. 2000, 16, 190–195. [Google Scholar] [CrossRef]
- Li, Z.; Zhou, M. Elementary siphons of petri nets and their application to deadlock prevention in flexible manufacturing systems. IEEE Trans. Syst. Man Cybern.-Part A Syst. Hum. 2004, 34, 38–51. [Google Scholar] [CrossRef]
- Uzam, M. An optimal deadlock prevention policy for flexible manufacturing systems using petri net models with resources and the theory of regions. Int. J. Adv. Manuf. Technol. 2002, 19, 192–208. [Google Scholar] [CrossRef]
- Ghaffari, A.; Rezg, N.; Xie, X. Design of a live and maximally permissive petri net controller using the theory of regions. IEEE Trans. Robot. Autom. 2003, 19, 137–142. [Google Scholar] [CrossRef]
- Uzam, M.; Zhou, M. Iterative synthesis of Petri net based deadlock prevention policy for flexible manufacturing systems. In Proceedings of the 2004 IEEE International Conference on Systems, Man and Cybernetics (IEEE Cat. No.04CH37583), The Hague, The Netherlands, 10–13 October 2004. [Google Scholar]
- Uzam, M. Synthesis of feedback control elements for discrete event systems using Petri net models and theory of regions. Int. J. Adv. Manuf. Technol. 2004, 24, 48–69. [Google Scholar] [CrossRef]
- Uzam, M.; Zhou, M.C. An improved iterative synthesis method for liveness enforcing supervisors of flexible manufacturing systems. Int. J. Prod. Res. 2006, 44, 1987–2030. [Google Scholar] [CrossRef]
- Li, Z.; Wang, A.; Wei, N. Liveness-enforcing supervisors for flexible manufacturing systems with multiple resource acquisitions. In Proceedings of the 2006 IEEE International Conference on Networking, Sensing and Control, Ft. Lauderdale, FL, USA, 23–25 April 2006. [Google Scholar]
- Uzam, M.; Zhou, M. An iterative synthesis approach to petri net-based deadlock prevention policy for flexible manufacturing systems. IEEE Trans. Syst. Man Cybern.-Part A Syst. Hum. 2007, 37, 362–371. [Google Scholar] [CrossRef]
- Chen, Y.; Li, Z. Design of a maximally permissive liveness-enforcing supervisor with a compressed supervisory structure for flexible manufacturing systems. Automatica 2011, 47, 1028–1034. [Google Scholar] [CrossRef]
- Huang, Y.-S.; Pan, Y.-L. Enhancement of an efficient liveness-enforcing supervisor for flexible manufacture systems. Int. J. Adv. Manuf. Technol. 2010, 48, 725–737. [Google Scholar] [CrossRef]
- Huang, Y.-S.; Pan, Y.-L.; Zhou, M. Computationally improved optimal deadlock control policy for flexible manufacturing systems. IEEE Trans. Syst. Man Cybern.-Part A Syst. Hum. 2012, 42, 404–415. [Google Scholar] [CrossRef]
- Pan, Y.-L.; Huang, Y.-S.; Jeng, M.; Chung, S.-L. Enhancement of an efficient control policy for FMSs using the theory of regions and selective siphon method. Int. J. Adv. Manuf. Technol. 2012, 66, 1805–1815. [Google Scholar] [CrossRef]
- Pan, Y.-L.; Jenga, M.-D.; Chungb, S.-L.; Guoa, Y.-X. Computationally improved optimal deadlock prevention policy for linear programming problems of flexible manufacturing systems. In Proceedings of the 2013 IEEE International Conference on Systems, Man, and Cybernetics, Manchester, UK, 13–16 October 2013. [Google Scholar]
- Uzam, M. The use of the Petri net reduction approach for an optimal deadlock prevention policy for flexible manufacturing systems. Int. J. Adv. Manuf. Technol. 2004, 23, 204–219. [Google Scholar] [CrossRef]
- Huang, Y.-S.; Pan, Y.-L. An improved maximally permissive deadlock prevention policy based on the theory of regions and reduction approach. IET Control Theory Appl. 2011, 5, 1069–1078. [Google Scholar] [CrossRef]
- Piroddi, L.; Cordone, R.; Fumagalli, I. Selective siphon control for deadlock prevention in petri nets. IEEE Trans. Syst. Man Cybern.-Part A Syst. Hum. 2008, 38, 1337–1348. [Google Scholar] [CrossRef]
- Pan, Y.-L.; Yang, C.-F.; Jeng, M.-D. Enhancement of selective siphon control method for deadlock prevention in FMSs. Math. Probl. Eng. 2015, 2015, 196514. [Google Scholar] [CrossRef]
- Chen, Y.; Li, Z.; Khalgui, M.; Mosbahi, O. Design of a maximally permissive liveness-enforcing petri net supervisor for flexible manufacturing systems. IEEE Trans. Autom. Sci. Eng. 2011, 8, 374–393. [Google Scholar] [CrossRef]
- Chen, Y.; Li, Z.; Barkaoui, K. Optimal Petri net supervisor with lowest implemental cost for flexible manufacturing systems. In Proceedings of the ETFA2011, Toulouse, France, 5–9 September 2011. [Google Scholar]
- Chen, Y.; Li, Z.; Zhou, M. Behaviorally Optimal and Structurally Simple Liveness-Enforcing Supervisors of Flexible Manufacturing Systems. IEEE Trans. Syst. Man Cybern.-Part A Syst. Hum. 2012, 42, 615–629. [Google Scholar] [CrossRef]
- Pan, Y.-L.; Tseng, C.-Y.; Row, T.-C. Design of improved optimal or suboptimal deadlock prevention for fmss based on place invariant and reachability graph analysis methods. J. Algorithms Comput. Technol. 2017, 11, 261–270. [Google Scholar] [CrossRef]
- Pan, Y.-L.; Tseng, C.-Y.; Huang, Y.-S. Design of one computationally improved deadlock prevention based on MFFP technology in flexible manufacturing system. In Proceedings of the 2015 International Automatic Control Conference (CACS), Yilan, Taiwan, 18–20 November 2015. [Google Scholar]
- Huang, Y.-S.; Pan, Y.-L.; Su, P.-J. Transition-based deadlock detection and recovery policy for fmss using graph technique. ACM Trans. Embed. Comput. Syst. 2013, 12, 1–13. [Google Scholar] [CrossRef]
- Huang, Y.; Row, T.; Su, P. A graph-based deadlock prevention technique for FMSs Petri nets. In Proceedings of the SICE Annual Conference 2010, Taipei, Taiwan, 18–21 August 2010; pp. 2248–2252. [Google Scholar]
- Chen, Y.; Li, Z.; Al-Ahmari, A.; Wu, N.; Qu, T. Deadlock recovery for flexible manufacturing systems modeled with Petri nets. Inf. Sci. 2017, 381, 290–303. [Google Scholar] [CrossRef]
- Dong, Y.; Chen, Y.; Li, S.; El-Meligy, M.A.; Sharaf, M. An efficient deadlock recovery policy for flexible manufacturing systems modeled with petri nets. IEEE Access 2019, 7, 11785–11795. [Google Scholar] [CrossRef]
- Bashir, M.; Liu, D.; Uzam, M.; Wu, N.; Al-Ahmari, A.; Li, Z. Optimal enforcement of liveness to flexible manufacturing systems modeled with Petri nets via transition-based controllers. Adv. Mech. Eng. 2018, 10, 168781401775070. [Google Scholar] [CrossRef]
- Row, T.-C.; Pan, Y.-L. Maximally permissive deadlock prevention policies for flexible manufacturing systems using control transition. Adv. Mech. Eng. 2018, 10, 168781401878740. [Google Scholar] [CrossRef]
- Uzam, M.; Gelen, G.; Saleh, T.L. Think-globally-act-locally approach with weighted arcs to the synthesis of a liveness-enforcing supervisor for generalized Petri nets modeling FMSs. Inf. Sci. 2016, 363, 235–260. [Google Scholar] [CrossRef]
- Wu, Y.; Xing, K.; Luo, J.; Feng, Y. Robust deadlock control for automated manufacturing systems with an unreliable resource. Inf. Sci. 2016, 346–347, 17–28. [Google Scholar] [CrossRef]
- Zhang, X.; Uzam, M.; Li, Z.; Wu, N. On the synthesis of liveness-enforcing supervisors for flexible manufacturing systems using global idle places. Ima J. Math. Control Inf. 2018, 35, 165–182. [Google Scholar] [CrossRef]
- Karoui, O.; Li, Z.; Wu, N.; Khalgui, M.; Nasr, E.A.; El-Tamimi, A.M. One-step control-ahead approach for the design of an optimal petri-net based deadlock prevention policy. IEEE Access 2018, 6, 34307–34323. [Google Scholar] [CrossRef]
- Chen, Y.F.; Li, Z. On structural minimality of optimal supervisors for flexible manufacturing systems. Automatica 2012, 48, 2647–2656. [Google Scholar] [CrossRef]
- Chen, Y.F.; Li, Z.W.; Barkaoui, K.; Uzam, M. Monitor design with multiple self-loops for maximally permissive supervisors. ISA Trans. 2016, 61, 129–140. [Google Scholar] [CrossRef]
- Cong, X.Y.; Gu, C.; Uzam, M.; Chen, Y.F.; Al-Ahmari, M.; Wu, N.Q.; Zhou, M.C.; Li, Z.W. Design of optimal petri net supervisors for flexible manufacturing systems via weighted inhibitor arcs. Asian J. Control 2018, 20, 511–530. [Google Scholar] [CrossRef]
- Xing, K.; Wang, F.; Zhou, M.C.; Lei, H.; Luo, J. Deadlock characterization and control of flexible assembly systems with Petri nets. Automatica 2018, 87, 358–364. [Google Scholar] [CrossRef]
- Liu, M.; Wang, S.G.; Zhou, M.C.; Liu, D.; Al-Ahmari, A.; Qu, T.; Wu, N.Q.; Li, Z.W. Deadlock and liveness characterization for a class of generalized Petri nets. Inf. Sci. 2017, 420, 403–416. [Google Scholar] [CrossRef]
- Gelen, G.; Uzam, M.; Li, Z. A new method for the redundancy analysis of Petri net-based liveness enforcing supervisors. Trans. Inst. Meas. Control 2017, 39, 763–780. [Google Scholar] [CrossRef]
- Zhao, M.; Uzam, M. A suboptimal deadlock control policy for designing non-blocking supervisors in flexible manufacturing systems. Inf. Sci. 2017, 388–389, 135–153. [Google Scholar] [CrossRef]
- Bashir, M.; Li, Z.; Uzam, M.; Al-Ahmari, A.; Wu, N.; Liu, D.; Qu, T. A minimal supervisory structure to optimally enforce liveness on petri net models for flexible manufacturing systems. IEEE Access 2017, 5, 15731–15749. [Google Scholar] [CrossRef]
- Row, T.-C.; Syu, W.-M.; Pan, Y.-L.; Wang, C.-C. One novel and optimal deadlock recovery policy for flexible manufacturing systems using iterative control transitions strategy. Math. Probl. Eng. 2019, 2019, 4847072. [Google Scholar] [CrossRef]
- INA. (Integrated Net Analyzer), A Software Tool for Analysis of Petri Nets. Version 2.2. Available online: http://www. informatik.hu-berlin.de/~starke/ina.html (accessed on 31 July 2003).
- PN-Tools, A. Petri Net Analysis Tool, Ver. 1.0; Pedagogical Univ. Rzesów: Warsaw, Poland, 1987. [Google Scholar]







| Marking No. | Information of Marking | Marking No. | Information of Marking |
|---|---|---|---|
![]() | |||
![]() | ![]() | ||
![]() | |||
| : | |||
| Marking No. | Information of Markings [p1~p19] | Marking No. | Information of Markings [p1~p19] |
|---|---|---|---|
| 3 1 1 1 0 0 0 4 1 1 0 0 0 0 0 1 0 0 0 | 3 0 0 1 1 1 0 4 1 1 0 0 0 0 1 0 0 0 0 | ||
| 5 0 1 0 0 0 0 3 1 1 1 0 0 1 0 1 0 0 0 | 4 0 1 0 0 1 0 3 1 1 1 0 0 1 0 0 0 0 0 | ||
| 4 0 0 0 1 1 0 4 1 1 0 0 0 1 1 0 0 0 0 | 5 0 0 1 0 0 0 2 1 1 1 1 0 0 0 1 0 0 0 | ||
| 4 0 1 1 0 0 0 3 1 1 1 0 0 0 0 1 0 0 0 | 3 0 1 1 0 1 0 3 1 1 1 0 0 0 0 0 0 0 0 | ||
| 4 1 0 1 0 0 0 3 1 1 0 1 0 0 0 1 0 0 0 | 3 1 0 1 0 1 0 3 1 1 0 1 0 0 0 0 0 0 0 | ||
| 6 0 0 0 0 0 0 2 1 1 1 1 0 1 0 1 0 0 0 | 4 0 0 0 1 1 0 3 1 1 0 1 0 1 0 0 0 0 0 | ||
| 2 1 1 1 0 1 0 4 1 1 0 0 0 0 0 0 0 0 0 | 5 0 0 0 0 1 0 2 1 1 1 1 0 1 0 0 0 0 0 | ||
| 3 0 1 0 1 1 0 4 1 1 0 0 0 1 0 0 0 0 0 | 4 0 0 1 0 1 0 2 1 1 1 1 0 0 0 0 0 0 0 |
| Marking No. | Information of markings [p1~p19] | Marking No. | Information of markings [p1~p19] | ||||||||||||||||||||||||||||||||||||
|---|---|---|---|---|---|---|---|---|---|---|---|---|---|---|---|---|---|---|---|---|---|---|---|---|---|---|---|---|---|---|---|---|---|---|---|---|---|---|---|
| 1 | 6 | 0 | 0 | 0 | 0 | 0 | 0 | 6 | 0 | 0 | 0 | 0 | 0 | 1 | 1 | 1 | 1 | 1 | 1 | 120 | 3 | 0 | 1 | 1 | 0 | 1 | 0 | 5 | 1 | 0 | 0 | 0 | 0 | 0 | 0 | 0 | 1 | 1 | 0 |
| 2 | 5 | 1 | 0 | 0 | 0 | 0 | 0 | 6 | 0 | 0 | 0 | 0 | 0 | 1 | 1 | 1 | 1 | 0 | 1 | 121 | 3 | 1 | 1 | 0 | 0 | 1 | 0 | 5 | 0 | 1 | 0 | 0 | 0 | 1 | 0 | 0 | 0 | 0 | 1 |
| 3 | 6 | 0 | 0 | 0 | 0 | 0 | 0 | 5 | 1 | 0 | 0 | 0 | 0 | 1 | 1 | 1 | 1 | 1 | 0 | 122 | 4 | 0 | 0 | 0 | 0 | 1 | 1 | 6 | 0 | 0 | 0 | 0 | 0 | 1 | 1 | 0 | 1 | 1 | 0 |
| 4 | 5 | 0 | 1 | 0 | 0 | 0 | 0 | 6 | 0 | 0 | 0 | 0 | 0 | 1 | 0 | 1 | 1 | 1 | 1 | 123 | 4 | 0 | 0 | 0 | 1 | 1 | 0 | 5 | 0 | 1 | 0 | 0 | 0 | 1 | 1 | 0 | 0 | 0 | 1 |
| 5 | 5 | 0 | 0 | 1 | 0 | 0 | 0 | 6 | 0 | 0 | 0 | 0 | 0 | 0 | 1 | 1 | 1 | 1 | 1 | 124 | 4 | 0 | 1 | 0 | 0 | 0 | 1 | 5 | 0 | 1 | 0 | 0 | 0 | 1 | 0 | 1 | 0 | 1 | 0 |
| 6 | 5 | 1 | 0 | 0 | 0 | 0 | 0 | 5 | 1 | 0 | 0 | 0 | 0 | 1 | 1 | 1 | 1 | 0 | 0 | 127 | 3 | 1 | 0 | 1 | 0 | 1 | 0 | 5 | 0 | 1 | 0 | 0 | 0 | 0 | 1 | 0 | 0 | 0 | 1 |
| 7 | 6 | 0 | 0 | 0 | 0 | 0 | 0 | 5 | 0 | 1 | 0 | 0 | 0 | 1 | 1 | 1 | 0 | 1 | 1 | 128 | 4 | 0 | 0 | 1 | 0 | 0 | 1 | 5 | 0 | 1 | 0 | 0 | 0 | 0 | 1 | 1 | 0 | 1 | 0 |
| 8 | 4 | 1 | 1 | 0 | 0 | 0 | 0 | 6 | 0 | 0 | 0 | 0 | 0 | 1 | 0 | 1 | 1 | 0 | 1 | 129 | 4 | 0 | 0 | 1 | 0 | 1 | 0 | 4 | 1 | 1 | 0 | 0 | 0 | 0 | 1 | 0 | 0 | 1 | 0 |
| 9 | 5 | 0 | 0 | 0 | 1 | 0 | 0 | 6 | 0 | 0 | 0 | 0 | 0 | 1 | 1 | 1 | 1 | 0 | 1 | 130 | 4 | 0 | 0 | 1 | 0 | 1 | 0 | 5 | 0 | 0 | 1 | 0 | 0 | 0 | 1 | 0 | 1 | 0 | 1 |
| 10 | 5 | 0 | 1 | 0 | 0 | 0 | 0 | 5 | 1 | 0 | 0 | 0 | 0 | 1 | 0 | 1 | 1 | 1 | 0 | 132 | 5 | 0 | 0 | 0 | 0 | 0 | 1 | 5 | 0 | 0 | 0 | 1 | 0 | 1 | 0 | 1 | 1 | 1 | 0 |
| 11 | 4 | 1 | 0 | 1 | 0 | 0 | 0 | 6 | 0 | 0 | 0 | 0 | 0 | 0 | 1 | 1 | 1 | 0 | 1 | 133 | 5 | 0 | 0 | 0 | 0 | 1 | 0 | 4 | 0 | 1 | 1 | 0 | 0 | 1 | 1 | 0 | 0 | 0 | 1 |
| 12 | 5 | 0 | 0 | 1 | 0 | 0 | 0 | 5 | 1 | 0 | 0 | 0 | 0 | 0 | 1 | 1 | 1 | 1 | 0 | 134 | 5 | 0 | 0 | 0 | 0 | 1 | 0 | 4 | 1 | 0 | 0 | 1 | 0 | 1 | 0 | 0 | 1 | 1 | 0 |
| 13 | 5 | 1 | 0 | 0 | 0 | 0 | 0 | 5 | 0 | 1 | 0 | 0 | 0 | 1 | 1 | 1 | 0 | 0 | 1 | 135 | 4 | 1 | 0 | 0 | 0 | 1 | 0 | 5 | 0 | 0 | 0 | 1 | 0 | 1 | 0 | 0 | 1 | 0 | 1 |
| 14 | 6 | 0 | 0 | 0 | 0 | 0 | 0 | 4 | 1 | 1 | 0 | 0 | 0 | 1 | 1 | 1 | 0 | 1 | 0 | 136 | 5 | 0 | 0 | 0 | 0 | 1 | 0 | 5 | 0 | 0 | 0 | 0 | 1 | 1 | 1 | 0 | 1 | 0 | 1 |
| 15 | 6 | 0 | 0 | 0 | 0 | 0 | 0 | 5 | 0 | 0 | 1 | 0 | 0 | 1 | 1 | 1 | 1 | 0 | 1 | 137 | 5 | 0 | 0 | 1 | 0 | 0 | 0 | 3 | 1 | 1 | 0 | 1 | 0 | 0 | 0 | 1 | 0 | 1 | 0 |
| 16 | 4 | 0 | 1 | 1 | 0 | 0 | 0 | 6 | 0 | 0 | 0 | 0 | 0 | 0 | 0 | 1 | 1 | 1 | 1 | 139 | 5 | 0 | 0 | 0 | 1 | 0 | 0 | 4 | 0 | 1 | 0 | 1 | 0 | 1 | 0 | 1 | 0 | 0 | 1 |
| 17 | 4 | 1 | 1 | 0 | 0 | 0 | 0 | 5 | 1 | 0 | 0 | 0 | 0 | 1 | 0 | 1 | 1 | 0 | 0 | 141 | 5 | 0 | 0 | 1 | 0 | 0 | 0 | 4 | 0 | 1 | 0 | 0 | 1 | 0 | 1 | 1 | 0 | 0 | 1 |
| 18 | 5 | 0 | 0 | 0 | 0 | 1 | 0 | 6 | 0 | 0 | 0 | 0 | 0 | 1 | 1 | 0 | 1 | 1 | 1 | 145 | 3 | 0 | 1 | 0 | 1 | 0 | 1 | 6 | 0 | 0 | 0 | 0 | 0 | 1 | 0 | 1 | 1 | 0 | 0 |
| 19 | 5 | 0 | 0 | 0 | 1 | 0 | 0 | 5 | 1 | 0 | 0 | 0 | 0 | 1 | 1 | 1 | 1 | 0 | 0 | 146 | 3 | 0 | 1 | 0 | 1 | 1 | 0 | 5 | 1 | 0 | 0 | 0 | 0 | 1 | 0 | 0 | 1 | 0 | 0 |
| 20 | 5 | 0 | 1 | 0 | 0 | 0 | 0 | 5 | 0 | 1 | 0 | 0 | 0 | 1 | 0 | 1 | 0 | 1 | 1 | 147 | 3 | 0 | 0 | 1 | 1 | 0 | 1 | 6 | 0 | 0 | 0 | 0 | 0 | 0 | 1 | 1 | 1 | 0 | 0 |
| 21 | 4 | 1 | 0 | 1 | 0 | 0 | 0 | 5 | 1 | 0 | 0 | 0 | 0 | 0 | 1 | 1 | 1 | 0 | 0 | 148 | 3 | 0 | 0 | 1 | 1 | 1 | 0 | 5 | 1 | 0 | 0 | 0 | 0 | 0 | 1 | 0 | 1 | 0 | 0 |
| 22 | 5 | 0 | 0 | 1 | 0 | 0 | 0 | 5 | 0 | 1 | 0 | 0 | 0 | 0 | 1 | 1 | 0 | 1 | 1 | 149 | 3 | 0 | 1 | 1 | 0 | 1 | 0 | 5 | 0 | 1 | 0 | 0 | 0 | 0 | 0 | 0 | 0 | 1 | 1 |
| 23 | 5 | 1 | 0 | 0 | 0 | 0 | 0 | 4 | 1 | 1 | 0 | 0 | 0 | 1 | 1 | 1 | 0 | 0 | 0 | 150 | 3 | 1 | 1 | 0 | 0 | 0 | 1 | 5 | 0 | 1 | 0 | 0 | 0 | 1 | 0 | 1 | 0 | 0 | 0 |
| 24 | 6 | 0 | 0 | 0 | 0 | 0 | 0 | 4 | 1 | 0 | 1 | 0 | 0 | 1 | 1 | 1 | 1 | 0 | 0 | 152 | 3 | 1 | 0 | 0 | 0 | 1 | 1 | 6 | 0 | 0 | 0 | 0 | 0 | 1 | 1 | 0 | 1 | 0 | 0 |
| 25 | 6 | 0 | 0 | 0 | 0 | 0 | 0 | 5 | 0 | 0 | 0 | 1 | 0 | 1 | 0 | 1 | 1 | 1 | 1 | 153 | 4 | 0 | 0 | 0 | 1 | 0 | 1 | 5 | 0 | 1 | 0 | 0 | 0 | 1 | 1 | 1 | 0 | 0 | 0 |
| 27 | 4 | 0 | 1 | 0 | 1 | 0 | 0 | 6 | 0 | 0 | 0 | 0 | 0 | 1 | 0 | 1 | 1 | 0 | 1 | 157 | 3 | 1 | 0 | 1 | 0 | 0 | 1 | 5 | 0 | 1 | 0 | 0 | 0 | 0 | 1 | 1 | 0 | 0 | 0 |
| 28 | 4 | 0 | 0 | 1 | 1 | 0 | 0 | 6 | 0 | 0 | 0 | 0 | 0 | 0 | 1 | 1 | 1 | 0 | 1 | 159 | 4 | 0 | 0 | 1 | 0 | 0 | 1 | 5 | 0 | 0 | 1 | 0 | 0 | 0 | 1 | 1 | 1 | 0 | 0 |
| 29 | 4 | 0 | 1 | 1 | 0 | 0 | 0 | 5 | 1 | 0 | 0 | 0 | 0 | 0 | 0 | 1 | 1 | 1 | 0 | 160 | 4 | 0 | 0 | 1 | 0 | 1 | 0 | 4 | 1 | 0 | 1 | 0 | 0 | 0 | 1 | 0 | 1 | 0 | 0 |
| 30 | 4 | 1 | 1 | 0 | 0 | 0 | 0 | 5 | 0 | 1 | 0 | 0 | 0 | 1 | 0 | 1 | 0 | 0 | 1 | 161 | 4 | 0 | 0 | 1 | 0 | 1 | 0 | 5 | 0 | 0 | 0 | 1 | 0 | 0 | 0 | 0 | 1 | 1 | 1 |
| 31 | 4 | 1 | 0 | 0 | 0 | 1 | 0 | 6 | 0 | 0 | 0 | 0 | 0 | 1 | 1 | 0 | 1 | 0 | 1 | 163 | 4 | 1 | 0 | 0 | 0 | 0 | 1 | 5 | 0 | 0 | 0 | 1 | 0 | 1 | 0 | 1 | 1 | 0 | 0 |
| 32 | 5 | 0 | 0 | 0 | 0 | 0 | 1 | 6 | 0 | 0 | 0 | 0 | 0 | 1 | 1 | 1 | 1 | 1 | 0 | 164 | 5 | 0 | 0 | 0 | 0 | 0 | 1 | 5 | 0 | 0 | 0 | 0 | 1 | 1 | 1 | 1 | 1 | 0 | 0 |
| 33 | 5 | 0 | 0 | 0 | 0 | 1 | 0 | 5 | 1 | 0 | 0 | 0 | 0 | 1 | 1 | 0 | 1 | 1 | 0 | 165 | 5 | 0 | 0 | 0 | 0 | 0 | 1 | 4 | 0 | 1 | 1 | 0 | 0 | 1 | 1 | 1 | 0 | 0 | 0 |
| 34 | 5 | 0 | 0 | 0 | 1 | 0 | 0 | 5 | 0 | 1 | 0 | 0 | 0 | 1 | 1 | 1 | 0 | 0 | 1 | 166 | 5 | 0 | 0 | 0 | 0 | 1 | 0 | 3 | 1 | 1 | 1 | 0 | 0 | 1 | 1 | 0 | 0 | 0 | 0 |
| 35 | 5 | 0 | 1 | 0 | 0 | 0 | 0 | 4 | 1 | 1 | 0 | 0 | 0 | 1 | 0 | 1 | 0 | 1 | 0 | 167 | 5 | 0 | 0 | 0 | 0 | 1 | 0 | 4 | 0 | 1 | 0 | 1 | 0 | 1 | 0 | 0 | 0 | 1 | 1 |
| 37 | 4 | 1 | 0 | 1 | 0 | 0 | 0 | 5 | 0 | 1 | 0 | 0 | 0 | 0 | 1 | 1 | 0 | 0 | 1 | 168 | 4 | 1 | 0 | 0 | 0 | 1 | 0 | 4 | 1 | 0 | 0 | 1 | 0 | 1 | 0 | 0 | 1 | 0 | 0 |
| 38 | 5 | 0 | 0 | 1 | 0 | 0 | 0 | 4 | 1 | 1 | 0 | 0 | 0 | 0 | 1 | 1 | 0 | 1 | 0 | 169 | 5 | 0 | 0 | 0 | 0 | 1 | 0 | 4 | 1 | 0 | 0 | 0 | 1 | 1 | 1 | 0 | 1 | 0 | 0 |
| 39 | 5 | 0 | 0 | 1 | 0 | 0 | 0 | 5 | 0 | 0 | 1 | 0 | 0 | 0 | 1 | 1 | 1 | 0 | 1 | 171 | 5 | 0 | 0 | 0 | 1 | 0 | 0 | 3 | 1 | 1 | 0 | 1 | 0 | 1 | 0 | 1 | 0 | 0 | 0 |
| 40 | 6 | 0 | 0 | 0 | 0 | 0 | 0 | 4 | 0 | 1 | 1 | 0 | 0 | 1 | 1 | 1 | 0 | 0 | 1 | 173 | 5 | 0 | 0 | 1 | 0 | 0 | 0 | 3 | 1 | 1 | 0 | 0 | 1 | 0 | 1 | 1 | 0 | 0 | 0 |
| 41 | 6 | 0 | 0 | 0 | 0 | 0 | 0 | 4 | 1 | 0 | 0 | 1 | 0 | 1 | 0 | 1 | 1 | 1 | 0 | 176 | 3 | 0 | 1 | 0 | 0 | 1 | 1 | 6 | 0 | 0 | 0 | 0 | 0 | 1 | 0 | 0 | 1 | 1 | 0 |
| 42 | 5 | 1 | 0 | 0 | 0 | 0 | 0 | 5 | 0 | 0 | 0 | 1 | 0 | 1 | 0 | 1 | 1 | 0 | 1 | 177 | 3 | 0 | 1 | 0 | 1 | 1 | 0 | 5 | 0 | 1 | 0 | 0 | 0 | 1 | 0 | 0 | 0 | 0 | 1 |
| 43 | 6 | 0 | 0 | 0 | 0 | 0 | 0 | 5 | 0 | 0 | 0 | 0 | 1 | 1 | 1 | 1 | 1 | 0 | 1 | 178 | 3 | 0 | 0 | 1 | 0 | 1 | 1 | 6 | 0 | 0 | 0 | 0 | 0 | 0 | 1 | 0 | 1 | 1 | 0 |
| 45 | 4 | 0 | 1 | 0 | 0 | 1 | 0 | 6 | 0 | 0 | 0 | 0 | 0 | 1 | 0 | 0 | 1 | 1 | 1 | 179 | 3 | 0 | 0 | 1 | 1 | 1 | 0 | 5 | 0 | 1 | 0 | 0 | 0 | 0 | 1 | 0 | 0 | 0 | 1 |
| 46 | 4 | 0 | 1 | 0 | 1 | 0 | 0 | 5 | 1 | 0 | 0 | 0 | 0 | 1 | 0 | 1 | 1 | 0 | 0 | 180 | 3 | 0 | 1 | 1 | 0 | 0 | 1 | 5 | 0 | 1 | 0 | 0 | 0 | 0 | 0 | 1 | 0 | 1 | 0 |
| 47 | 4 | 0 | 0 | 1 | 0 | 1 | 0 | 6 | 0 | 0 | 0 | 0 | 0 | 0 | 1 | 0 | 1 | 1 | 1 | 183 | 4 | 0 | 0 | 0 | 0 | 1 | 1 | 5 | 0 | 1 | 0 | 0 | 0 | 1 | 1 | 0 | 0 | 1 | 0 |
| 48 | 4 | 0 | 0 | 1 | 1 | 0 | 0 | 5 | 1 | 0 | 0 | 0 | 0 | 0 | 1 | 1 | 1 | 0 | 0 | 185 | 4 | 0 | 0 | 1 | 0 | 0 | 1 | 5 | 0 | 0 | 0 | 1 | 0 | 0 | 0 | 1 | 1 | 1 | 0 |
| 49 | 4 | 0 | 1 | 1 | 0 | 0 | 0 | 5 | 0 | 1 | 0 | 0 | 0 | 0 | 0 | 1 | 0 | 1 | 1 | 186 | 4 | 0 | 0 | 1 | 0 | 1 | 0 | 4 | 0 | 1 | 1 | 0 | 0 | 0 | 1 | 0 | 0 | 0 | 1 |
| 50 | 4 | 1 | 1 | 0 | 0 | 0 | 0 | 4 | 1 | 1 | 0 | 0 | 0 | 1 | 0 | 1 | 0 | 0 | 0 | 187 | 4 | 0 | 0 | 1 | 0 | 1 | 0 | 4 | 1 | 0 | 0 | 1 | 0 | 0 | 0 | 0 | 1 | 1 | 0 |
| 51 | 4 | 1 | 0 | 0 | 0 | 0 | 1 | 6 | 0 | 0 | 0 | 0 | 0 | 1 | 1 | 1 | 1 | 0 | 0 | 189 | 4 | 0 | 0 | 0 | 1 | 1 | 0 | 5 | 0 | 0 | 0 | 1 | 0 | 1 | 0 | 0 | 1 | 0 | 1 |
| 52 | 4 | 1 | 0 | 0 | 0 | 1 | 0 | 5 | 1 | 0 | 0 | 0 | 0 | 1 | 1 | 0 | 1 | 0 | 0 | 190 | 4 | 0 | 0 | 1 | 0 | 1 | 0 | 5 | 0 | 0 | 0 | 0 | 1 | 0 | 1 | 0 | 1 | 0 | 1 |
| 53 | 5 | 0 | 0 | 0 | 0 | 1 | 0 | 5 | 0 | 1 | 0 | 0 | 0 | 1 | 1 | 0 | 0 | 1 | 1 | 191 | 5 | 0 | 0 | 0 | 0 | 0 | 1 | 4 | 0 | 1 | 0 | 1 | 0 | 1 | 0 | 1 | 0 | 1 | 0 |
| 54 | 5 | 0 | 0 | 0 | 1 | 0 | 0 | 4 | 1 | 1 | 0 | 0 | 0 | 1 | 1 | 1 | 0 | 0 | 0 | 192 | 5 | 0 | 0 | 0 | 0 | 1 | 0 | 3 | 1 | 1 | 0 | 1 | 0 | 1 | 0 | 0 | 0 | 1 | 0 |
| 56 | 4 | 1 | 0 | 1 | 0 | 0 | 0 | 4 | 1 | 1 | 0 | 0 | 0 | 0 | 1 | 1 | 0 | 0 | 0 | 193 | 4 | 1 | 0 | 0 | 0 | 1 | 0 | 4 | 0 | 1 | 0 | 1 | 0 | 1 | 0 | 0 | 0 | 0 | 1 |
| 57 | 5 | 0 | 0 | 1 | 0 | 0 | 0 | 4 | 1 | 0 | 1 | 0 | 0 | 0 | 1 | 1 | 1 | 0 | 0 | 195 | 5 | 0 | 0 | 0 | 0 | 1 | 0 | 4 | 0 | 1 | 0 | 0 | 1 | 1 | 1 | 0 | 0 | 0 | 1 |
| 58 | 5 | 0 | 0 | 1 | 0 | 0 | 0 | 5 | 0 | 0 | 0 | 1 | 0 | 0 | 0 | 1 | 1 | 1 | 1 | 199 | 2 | 1 | 1 | 0 | 0 | 1 | 1 | 6 | 0 | 0 | 0 | 0 | 0 | 1 | 0 | 0 | 1 | 0 | 0 |
| 59 | 6 | 0 | 0 | 0 | 0 | 0 | 0 | 3 | 1 | 1 | 1 | 0 | 0 | 1 | 1 | 1 | 0 | 0 | 0 | 200 | 3 | 0 | 0 | 0 | 1 | 1 | 1 | 6 | 0 | 0 | 0 | 0 | 0 | 1 | 1 | 0 | 1 | 0 | 0 |
| 60 | 6 | 0 | 0 | 0 | 0 | 0 | 0 | 4 | 0 | 1 | 0 | 1 | 0 | 1 | 0 | 1 | 0 | 1 | 1 | 201 | 3 | 0 | 1 | 0 | 1 | 0 | 1 | 5 | 0 | 1 | 0 | 0 | 0 | 1 | 0 | 1 | 0 | 0 | 0 |
| 61 | 5 | 1 | 0 | 0 | 0 | 0 | 0 | 4 | 1 | 0 | 0 | 1 | 0 | 1 | 0 | 1 | 1 | 0 | 0 | 203 | 2 | 1 | 0 | 1 | 0 | 1 | 1 | 6 | 0 | 0 | 0 | 0 | 0 | 0 | 1 | 0 | 1 | 0 | 0 |
| 62 | 6 | 0 | 0 | 0 | 0 | 0 | 0 | 4 | 1 | 0 | 0 | 0 | 1 | 1 | 1 | 1 | 1 | 0 | 0 | 204 | 3 | 0 | 0 | 1 | 1 | 0 | 1 | 5 | 0 | 1 | 0 | 0 | 0 | 0 | 1 | 1 | 0 | 0 | 0 |
| 64 | 3 | 1 | 1 | 0 | 0 | 1 | 0 | 6 | 0 | 0 | 0 | 0 | 0 | 1 | 0 | 0 | 1 | 0 | 1 | 208 | 3 | 1 | 0 | 0 | 0 | 1 | 1 | 5 | 0 | 1 | 0 | 0 | 0 | 1 | 1 | 0 | 0 | 0 | 0 |
| 65 | 4 | 0 | 0 | 0 | 1 | 1 | 0 | 6 | 0 | 0 | 0 | 0 | 0 | 1 | 1 | 0 | 1 | 0 | 1 | 209 | 4 | 0 | 0 | 0 | 0 | 1 | 1 | 5 | 0 | 0 | 1 | 0 | 0 | 1 | 1 | 0 | 1 | 0 | 0 |
| 66 | 4 | 0 | 1 | 0 | 0 | 0 | 1 | 6 | 0 | 0 | 0 | 0 | 0 | 1 | 0 | 1 | 1 | 1 | 0 | 213 | 4 | 0 | 0 | 0 | 1 | 0 | 1 | 5 | 0 | 0 | 0 | 1 | 0 | 1 | 0 | 1 | 1 | 0 | 0 |
| 67 | 4 | 0 | 1 | 0 | 0 | 1 | 0 | 5 | 1 | 0 | 0 | 0 | 0 | 1 | 0 | 0 | 1 | 1 | 0 | 214 | 4 | 0 | 0 | 1 | 0 | 0 | 1 | 5 | 0 | 0 | 0 | 0 | 1 | 0 | 1 | 1 | 1 | 0 | 0 |
| 68 | 4 | 0 | 1 | 0 | 1 | 0 | 0 | 5 | 0 | 1 | 0 | 0 | 0 | 1 | 0 | 1 | 0 | 0 | 1 | 215 | 4 | 0 | 0 | 1 | 0 | 0 | 1 | 4 | 0 | 1 | 1 | 0 | 0 | 0 | 1 | 1 | 0 | 0 | 0 |
| 69 | 3 | 1 | 0 | 1 | 0 | 1 | 0 | 6 | 0 | 0 | 0 | 0 | 0 | 0 | 1 | 0 | 1 | 0 | 1 | 216 | 4 | 0 | 0 | 1 | 0 | 1 | 0 | 3 | 1 | 1 | 1 | 0 | 0 | 0 | 1 | 0 | 0 | 0 | 0 |
| 70 | 4 | 0 | 0 | 1 | 0 | 0 | 1 | 6 | 0 | 0 | 0 | 0 | 0 | 0 | 1 | 1 | 1 | 1 | 0 | 217 | 4 | 0 | 0 | 1 | 0 | 1 | 0 | 4 | 0 | 1 | 0 | 1 | 0 | 0 | 0 | 0 | 0 | 1 | 1 |
| 71 | 4 | 0 | 0 | 1 | 0 | 1 | 0 | 5 | 1 | 0 | 0 | 0 | 0 | 0 | 1 | 0 | 1 | 1 | 0 | 219 | 4 | 0 | 0 | 0 | 1 | 1 | 0 | 4 | 1 | 0 | 0 | 1 | 0 | 1 | 0 | 0 | 1 | 0 | 0 |
| 72 | 4 | 0 | 0 | 1 | 1 | 0 | 0 | 5 | 0 | 1 | 0 | 0 | 0 | 0 | 1 | 1 | 0 | 0 | 1 | 220 | 4 | 0 | 0 | 1 | 0 | 1 | 0 | 4 | 1 | 0 | 0 | 0 | 1 | 0 | 1 | 0 | 1 | 0 | 0 |
| 73 | 4 | 0 | 1 | 1 | 0 | 0 | 0 | 4 | 1 | 1 | 0 | 0 | 0 | 0 | 0 | 1 | 0 | 1 | 0 | 221 | 4 | 1 | 0 | 0 | 0 | 0 | 1 | 4 | 0 | 1 | 0 | 1 | 0 | 1 | 0 | 1 | 0 | 0 | 0 |
| 75 | 4 | 1 | 0 | 0 | 0 | 1 | 0 | 5 | 0 | 1 | 0 | 0 | 0 | 1 | 1 | 0 | 0 | 0 | 1 | 223 | 5 | 0 | 0 | 0 | 0 | 0 | 1 | 4 | 0 | 1 | 0 | 0 | 1 | 1 | 1 | 1 | 0 | 0 | 0 |
| 76 | 5 | 0 | 0 | 0 | 0 | 0 | 1 | 5 | 0 | 1 | 0 | 0 | 0 | 1 | 1 | 1 | 0 | 1 | 0 | 224 | 4 | 1 | 0 | 0 | 0 | 1 | 0 | 3 | 1 | 1 | 0 | 1 | 0 | 1 | 0 | 0 | 0 | 0 | 0 |
| 77 | 5 | 0 | 0 | 0 | 0 | 1 | 0 | 4 | 1 | 1 | 0 | 0 | 0 | 1 | 1 | 0 | 0 | 1 | 0 | 226 | 5 | 0 | 0 | 0 | 0 | 1 | 0 | 3 | 1 | 1 | 0 | 0 | 1 | 1 | 1 | 0 | 0 | 0 | 0 |
| 78 | 5 | 0 | 0 | 0 | 0 | 1 | 0 | 5 | 0 | 0 | 1 | 0 | 0 | 1 | 1 | 0 | 1 | 0 | 1 | 228 | 2 | 0 | 1 | 1 | 0 | 1 | 1 | 6 | 0 | 0 | 0 | 0 | 0 | 0 | 0 | 0 | 1 | 1 | 0 |
| 80 | 5 | 0 | 0 | 1 | 0 | 0 | 0 | 4 | 0 | 1 | 1 | 0 | 0 | 0 | 1 | 1 | 0 | 0 | 1 | 229 | 3 | 0 | 1 | 0 | 0 | 1 | 1 | 5 | 0 | 1 | 0 | 0 | 0 | 1 | 0 | 0 | 0 | 1 | 0 |
| 81 | 5 | 0 | 0 | 1 | 0 | 0 | 0 | 4 | 1 | 0 | 0 | 1 | 0 | 0 | 0 | 1 | 1 | 1 | 0 | 230 | 3 | 0 | 0 | 1 | 0 | 1 | 1 | 5 | 0 | 1 | 0 | 0 | 0 | 0 | 1 | 0 | 0 | 1 | 0 |
| 83 | 5 | 0 | 0 | 0 | 1 | 0 | 0 | 5 | 0 | 0 | 0 | 1 | 0 | 1 | 0 | 1 | 1 | 0 | 1 | 232 | 4 | 0 | 0 | 0 | 0 | 1 | 1 | 5 | 0 | 0 | 0 | 1 | 0 | 1 | 0 | 0 | 1 | 1 | 0 |
| 84 | 5 | 0 | 0 | 1 | 0 | 0 | 0 | 5 | 0 | 0 | 0 | 0 | 1 | 0 | 1 | 1 | 1 | 0 | 1 | 233 | 4 | 0 | 0 | 1 | 0 | 0 | 1 | 4 | 0 | 1 | 0 | 1 | 0 | 0 | 0 | 1 | 0 | 1 | 0 |
| 85 | 6 | 0 | 0 | 0 | 0 | 0 | 0 | 3 | 1 | 1 | 0 | 1 | 0 | 1 | 0 | 1 | 0 | 1 | 0 | 234 | 4 | 0 | 0 | 1 | 0 | 1 | 0 | 3 | 1 | 1 | 0 | 1 | 0 | 0 | 0 | 0 | 0 | 1 | 0 |
| 86 | 5 | 1 | 0 | 0 | 0 | 0 | 0 | 4 | 0 | 1 | 0 | 1 | 0 | 1 | 0 | 1 | 0 | 0 | 1 | 236 | 4 | 0 | 0 | 0 | 1 | 1 | 0 | 4 | 0 | 1 | 0 | 1 | 0 | 1 | 0 | 0 | 0 | 0 | 1 |
| 88 | 6 | 0 | 0 | 0 | 0 | 0 | 0 | 4 | 0 | 1 | 0 | 0 | 1 | 1 | 1 | 1 | 0 | 0 | 1 | 238 | 4 | 0 | 0 | 1 | 0 | 1 | 0 | 4 | 0 | 1 | 0 | 0 | 1 | 0 | 1 | 0 | 0 | 0 | 1 |
| 90 | 3 | 0 | 1 | 1 | 0 | 1 | 0 | 6 | 0 | 0 | 0 | 0 | 0 | 0 | 0 | 0 | 1 | 1 | 1 | 241 | 2 | 0 | 1 | 0 | 1 | 1 | 1 | 6 | 0 | 0 | 0 | 0 | 0 | 1 | 0 | 0 | 1 | 0 | 0 |
| 91 | 3 | 1 | 1 | 0 | 0 | 0 | 1 | 6 | 0 | 0 | 0 | 0 | 0 | 1 | 0 | 1 | 1 | 0 | 0 | 242 | 2 | 0 | 0 | 1 | 1 | 1 | 1 | 6 | 0 | 0 | 0 | 0 | 0 | 0 | 1 | 0 | 1 | 0 | 0 |
| 92 | 3 | 1 | 1 | 0 | 0 | 1 | 0 | 5 | 1 | 0 | 0 | 0 | 0 | 1 | 0 | 0 | 1 | 0 | 0 | 243 | 2 | 1 | 1 | 0 | 0 | 1 | 1 | 5 | 0 | 1 | 0 | 0 | 0 | 1 | 0 | 0 | 0 | 0 | 0 |
| 93 | 4 | 0 | 0 | 0 | 1 | 0 | 1 | 6 | 0 | 0 | 0 | 0 | 0 | 1 | 1 | 1 | 1 | 0 | 0 | 244 | 3 | 0 | 0 | 0 | 1 | 1 | 1 | 5 | 0 | 1 | 0 | 0 | 0 | 1 | 1 | 0 | 0 | 0 | 0 |
| 94 | 4 | 0 | 0 | 0 | 1 | 1 | 0 | 5 | 1 | 0 | 0 | 0 | 0 | 1 | 1 | 0 | 1 | 0 | 0 | 246 | 2 | 1 | 0 | 1 | 0 | 1 | 1 | 5 | 0 | 1 | 0 | 0 | 0 | 0 | 1 | 0 | 0 | 0 | 0 |
| 95 | 4 | 0 | 1 | 0 | 0 | 1 | 0 | 5 | 0 | 1 | 0 | 0 | 0 | 1 | 0 | 0 | 0 | 1 | 1 | 247 | 3 | 0 | 0 | 1 | 0 | 1 | 1 | 5 | 0 | 0 | 1 | 0 | 0 | 0 | 1 | 0 | 1 | 0 | 0 |
| 97 | 3 | 1 | 0 | 1 | 0 | 0 | 1 | 6 | 0 | 0 | 0 | 0 | 0 | 0 | 1 | 1 | 1 | 0 | 0 | 250 | 3 | 1 | 0 | 0 | 0 | 1 | 1 | 5 | 0 | 0 | 0 | 1 | 0 | 1 | 0 | 0 | 1 | 0 | 0 |
| 98 | 3 | 1 | 0 | 1 | 0 | 1 | 0 | 5 | 1 | 0 | 0 | 0 | 0 | 0 | 1 | 0 | 1 | 0 | 0 | 251 | 4 | 0 | 0 | 0 | 0 | 1 | 1 | 5 | 0 | 0 | 0 | 0 | 1 | 1 | 1 | 0 | 1 | 0 | 0 |
| 99 | 4 | 0 | 0 | 1 | 0 | 1 | 0 | 5 | 0 | 1 | 0 | 0 | 0 | 0 | 1 | 0 | 0 | 1 | 1 | 253 | 4 | 0 | 0 | 0 | 1 | 0 | 1 | 4 | 0 | 1 | 0 | 1 | 0 | 1 | 0 | 1 | 0 | 0 | 0 |
| 100 | 4 | 0 | 0 | 1 | 1 | 0 | 0 | 4 | 1 | 1 | 0 | 0 | 0 | 0 | 1 | 1 | 0 | 0 | 0 | 255 | 4 | 0 | 0 | 1 | 0 | 0 | 1 | 4 | 0 | 1 | 0 | 0 | 1 | 0 | 1 | 1 | 0 | 0 | 0 |
| 102 | 4 | 1 | 0 | 0 | 0 | 0 | 1 | 5 | 0 | 1 | 0 | 0 | 0 | 1 | 1 | 1 | 0 | 0 | 0 | 259 | 4 | 0 | 0 | 1 | 0 | 1 | 0 | 3 | 1 | 1 | 0 | 0 | 1 | 0 | 1 | 0 | 0 | 0 | 0 |
| 103 | 4 | 1 | 0 | 0 | 0 | 1 | 0 | 4 | 1 | 1 | 0 | 0 | 0 | 1 | 1 | 0 | 0 | 0 | 0 | 262 | 2 | 0 | 1 | 1 | 0 | 1 | 1 | 5 | 0 | 1 | 0 | 0 | 0 | 0 | 0 | 0 | 0 | 1 | 0 |
| 104 | 5 | 0 | 0 | 0 | 0 | 0 | 1 | 5 | 0 | 0 | 1 | 0 | 0 | 1 | 1 | 1 | 1 | 0 | 0 | 263 | 3 | 0 | 0 | 1 | 0 | 1 | 1 | 5 | 0 | 0 | 0 | 1 | 0 | 0 | 0 | 0 | 1 | 1 | 0 |
| 105 | 5 | 0 | 0 | 0 | 0 | 1 | 0 | 4 | 1 | 0 | 1 | 0 | 0 | 1 | 1 | 0 | 1 | 0 | 0 | 264 | 4 | 0 | 0 | 0 | 0 | 1 | 1 | 4 | 0 | 1 | 0 | 1 | 0 | 1 | 0 | 0 | 0 | 1 | 0 |
| 106 | 5 | 0 | 0 | 0 | 0 | 1 | 0 | 5 | 0 | 0 | 0 | 1 | 0 | 1 | 0 | 0 | 1 | 1 | 1 | 267 | 2 | 0 | 1 | 0 | 1 | 1 | 1 | 5 | 0 | 1 | 0 | 0 | 0 | 1 | 0 | 0 | 0 | 0 | 0 |
| 108 | 5 | 0 | 0 | 1 | 0 | 0 | 0 | 3 | 1 | 1 | 1 | 0 | 0 | 0 | 1 | 1 | 0 | 0 | 0 | 268 | 2 | 0 | 0 | 1 | 1 | 1 | 1 | 5 | 0 | 1 | 0 | 0 | 0 | 0 | 1 | 0 | 0 | 0 | 0 |
| 109 | 5 | 0 | 0 | 1 | 0 | 0 | 0 | 4 | 0 | 1 | 0 | 1 | 0 | 0 | 0 | 1 | 0 | 1 | 1 | 271 | 3 | 0 | 0 | 0 | 1 | 1 | 1 | 5 | 0 | 0 | 0 | 1 | 0 | 1 | 0 | 0 | 1 | 0 | 0 |
| 111 | 5 | 0 | 0 | 0 | 1 | 0 | 0 | 4 | 1 | 0 | 0 | 1 | 0 | 1 | 0 | 1 | 1 | 0 | 0 | 272 | 3 | 0 | 0 | 1 | 0 | 1 | 1 | 5 | 0 | 0 | 0 | 0 | 1 | 0 | 1 | 0 | 1 | 0 | 0 |
| 112 | 5 | 0 | 0 | 1 | 0 | 0 | 0 | 4 | 1 | 0 | 0 | 0 | 1 | 0 | 1 | 1 | 1 | 0 | 0 | 273 | 3 | 1 | 0 | 0 | 0 | 1 | 1 | 4 | 0 | 1 | 0 | 1 | 0 | 1 | 0 | 0 | 0 | 0 | 0 |
| 113 | 5 | 1 | 0 | 0 | 0 | 0 | 0 | 3 | 1 | 1 | 0 | 1 | 0 | 1 | 0 | 1 | 0 | 0 | 0 | 275 | 4 | 0 | 0 | 0 | 0 | 1 | 1 | 4 | 0 | 1 | 0 | 0 | 1 | 1 | 1 | 0 | 0 | 0 | 0 |
| 115 | 6 | 0 | 0 | 0 | 0 | 0 | 0 | 3 | 1 | 1 | 0 | 0 | 1 | 1 | 1 | 1 | 0 | 0 | 0 | 278 | 3 | 0 | 0 | 1 | 0 | 1 | 1 | 4 | 0 | 1 | 0 | 1 | 0 | 0 | 0 | 0 | 0 | 1 | 0 |
| 117 | 3 | 0 | 1 | 0 | 1 | 1 | 0 | 6 | 0 | 0 | 0 | 0 | 0 | 1 | 0 | 0 | 1 | 0 | 1 | 280 | 3 | 0 | 0 | 0 | 1 | 1 | 1 | 4 | 0 | 1 | 0 | 1 | 0 | 1 | 0 | 0 | 0 | 0 | 0 |
| 118 | 3 | 0 | 0 | 1 | 1 | 1 | 0 | 6 | 0 | 0 | 0 | 0 | 0 | 0 | 1 | 0 | 1 | 0 | 1 | 282 | 3 | 0 | 0 | 1 | 0 | 1 | 1 | 4 | 0 | 1 | 0 | 0 | 1 | 0 | 1 | 0 | 0 | 0 | 0 |
| 119 | 3 | 0 | 1 | 1 | 0 | 0 | 1 | 6 | 0 | 0 | 0 | 0 | 0 | 0 | 0 | 1 | 1 | 1 | 0 | ||||||||||||||||||||
| Leading Transition | The Number of Deadlock Markings | The Property of Leading Transition |
|---|---|---|
| 8 | ||
| 8 | ||
| 8 | ||
| 8 | ||
| 8 | ||
| 8 | ||
| 8 | ||
| 8 | ||
| 8 | ||
| 8 | ||
| 8 | ||
| 8 | ||
| 8 | ||
| 8 | ||
| 8 | ||
| 8 | ||
| 8 | ||
| 8 | ||
| 8 | ||
| 8 | ||
| 8 | ||
| 8 | ||
| 8 | ||
| 8 | ||
| 8 | ||
| 8 | ||
| 8 | ||
| 8 | ||
| 8 | ||
| 8 | ||
| 8 | ||
| 8 | ||
| 8 | ||
| 8 | ||
| 8 | ||
| 8 | ||
| 8 | ||
| 8 | ||
| 8 | ||
| 8 |
| Leading Transition | The Number of Deadlock Markings | The Property of Leading Transition |
|---|---|---|
| 5 | ||
| 5 | ||
| 5 | ||
| 5 | ||
| 5 | ||
| 5 | ||
| 5 | ||
| 5 | ||
| 5 | ||
| 5 | ||
| 5 | ||
| 5 | ||
| 5 | ||
| 5 | ||
| 5 | ||
| 5 | ||
| 5 | ||
| 5 | ||
| 5 | ||
| 5 | ||
| 5 | ||
| 5 | ||
| 5 | ||
| 5 | ||
| 5 |
| Policy | The Number of Control Transitions | The Numberof Control Arcs | Total Number of Reachable States |
|---|---|---|---|
| Huang et al. [44] | 2 | 16 | 20 |
| Row and Pan -1 [49] | 2 | 16 | 20 |
| Row and Pan -2 [49] | 2 | 12 | 20 |
| Row et al. [62] | 2 | 12 | 20 |
| This paper | 1 | 6 | 20 |
| Policy | The Number of Control Transitions | The Numberof Control Arcs | Total Number of Reachable States |
|---|---|---|---|
| Huang et al. [44] | 7 | 69 | 282 |
| Row and Pan [49] | 6 | 53 | 282 |
| Row et al. [62] | 5 | 36 | 282 |
| Bashir et al. [48] | 4 | 14 | 282 |
| Chen et al.-1 [46] | 3 | 27 | 282 |
| Chen et al.-2 [46] | 3 | 25 | 282 |
| Dong et al. [47] | 3 | 25 | 282 |
| This paper | 3 | 25 | 282 |
© 2020 by the author. Licensee MDPI, Basel, Switzerland. This article is an open access article distributed under the terms and conditions of the Creative Commons Attribution (CC BY) license (http://creativecommons.org/licenses/by/4.0/).
Share and Cite
Pan, Y.-L. One Computational Innovation Transition-Based Recovery Policy for Flexible Manufacturing Systems Using Petri nets. Appl. Sci. 2020, 10, 2332. https://doi.org/10.3390/app10072332
Pan Y-L. One Computational Innovation Transition-Based Recovery Policy for Flexible Manufacturing Systems Using Petri nets. Applied Sciences. 2020; 10(7):2332. https://doi.org/10.3390/app10072332
Chicago/Turabian StylePan, Yen-Liang. 2020. "One Computational Innovation Transition-Based Recovery Policy for Flexible Manufacturing Systems Using Petri nets" Applied Sciences 10, no. 7: 2332. https://doi.org/10.3390/app10072332
APA StylePan, Y.-L. (2020). One Computational Innovation Transition-Based Recovery Policy for Flexible Manufacturing Systems Using Petri nets. Applied Sciences, 10(7), 2332. https://doi.org/10.3390/app10072332




