Compliance Control of Slave Manipulator Using EMG Signal for Telemanipulation
Abstract
1. Introduction
2. Compliance Control Using the Normalized EMG Signal
3. Identification of EMG Signal Sensing Location
3.1. EMG Signal Processing
3.2. Location for the EMG Attachment
4. Implementation of Telemanipulation System
4.1. System Structure
4.2. Control Architecture
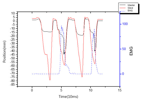
5. Experimental Evaluation
6. Conclusions
Author Contributions
Funding
Conflicts of Interest
References
- Yun, S.S.; Kim, M.; Choi, M.T. Easy interface and control of tele-education robots. Int. J. Soc. Robot. 2013, 5, 335–343. [Google Scholar] [CrossRef]
- Guo, J.; Guo, S.; Wei, X.; Gao, Q. A Novel tele-operation controller for wireless microrobots in-pipe with hybrid motion. Robot. Auton. Syst. 2016, 76, 68–79. [Google Scholar] [CrossRef]
- Kruse, D.; Wen, J.T.; Radke, R.J. A sensor-based dual-arm tele-robotic system. IEEE Trans. Autom. Sci. Eng. 2014, 12, 4–18. [Google Scholar] [CrossRef]
- Cui, J.; Tosunoglu, S.; Roberts, R.; Moore, C.; Repperger, D.W. A review of teleoperation system control. In Proceedings of the Florida Conference on Recent Advances in Robotics, Boca Raton, FL, USA, 8–9 May 2003. [Google Scholar]
- Hokayem, P.F.; Spong, M.W. Bilateral teleoperation:An historical survey. Automatica 2006, 42, 2015–2057. [Google Scholar] [CrossRef]
- Vukobratovic, M.; Tuneski, A. Contact Control Concepts in Manipulation Robotics—An Over View. IEEE Trans. Industrial. Electron. 1994, 41, 12–24. [Google Scholar] [CrossRef]
- Hogan, N. Impedance Control: An Approach to Manipulation: Part I, II and III. Dynam. Sys. Meas. Control 1985, 107, 8–16. [Google Scholar] [CrossRef]
- Zhang, T.; Jiang, L.; Fan, S.W.; Wu, X.Y.; Feng, W. Development and experimental evaluation of multi-fingered robot hand with adaptive impedance control for unknown environment grasping. Robotica 2016, 34, 1168–1185. [Google Scholar] [CrossRef]
- Manson, M. Compliance and Force Control for Computer Controlled Manipulators. IEEE Trans. Sys. Man Cybern. 1981, 11, 418–432. [Google Scholar] [CrossRef]
- Oh, S.R.; Kim, H.C.; Suh, I.H.; You, B.J.; Lee, C.W. A Compliance Control Strategy for Robot Manipulators using A Self-controlled Stiffness Function. In Proceedings of the 1995 IEEE/RSJ International Conference on Intelligent Robots and Systems, Human Robot Interaction and Cooperative Robots, Pittsburgh, PA, USA, 5–9 August 1995; pp. 179–184. [Google Scholar]
- Roveda, L.; Haghshenas, S.; Caimmi, M.; Pedrocchi, N.; Molinati Tosatti, L. Assisting Operators in Heavy Industrial Tasks: On the Design of an Optimized Cooperative Impedance Fuzzy-Controller With Embedded Safety Rules. Front. Robot. AI 2019, 6, 75. [Google Scholar] [CrossRef]
- Roveda, L. A User-Intention Based Adaptive Manual Guidance with Force-Tracking Capabilities Applied to Walk-Through Programming for Industrial Robots. In Proceedings of the 2018 15th International Conference on Ubiquitous Robots (UR), Honolulu, HI, USA, 26–30 June 2018; pp. 369–376. [Google Scholar]
- Aguirre-Ollinger, G.; Colgate, J.E.; Peshkin, M.A.; Goswami, A. Active-Impedance Control of a Lower Limb Assistive Exoskeleton. In Proceedings of the 2007 IEEE 10th International Conference on Rehabilitation Robotics, Noordwijk, The Netherlands, 13–15 June 2007; pp. 188–195. [Google Scholar]
- Vogel, J.; Castellini, C.; van der Smagt, P. EMG-Based Teleoperation and Manipulation with the DLR LWR-III. In Proceedings of the 2011 IEEE/RSJ Int. Conference on Intelligent Robots and Systems, San Francisco, CA, USA, 25–30 September 2011; pp. 672–678. [Google Scholar]
- Hochberg, L.R.; Bacher, D.; Jarosiewicz, B.; Masse, N.Y.; Simeral, J.D.; Vogel, J.; Haddadin, S.; Liu, J.; Cash, S.S.; van der Smagt, P.; et al. Reach and grasp by people with tetraplegia using a neurally controlled robotic arm. Nature 2012, 485, 372–375. [Google Scholar] [CrossRef] [PubMed]
- Lenzi, T.; De Rossi SM, M.; Vitiello, N.; Carrozza, M.C. Intention-based EMG control for powered exoskeletons. IEEE Trans. Biomed. Eng. 2012, 59, 2180–2190. [Google Scholar] [CrossRef] [PubMed]
- Bitzer, S.; Van Der Smagt, P. Learning EMG control of a robotic hand: Towards active prostheses. In Proceedings of the 2006 ICRA 2006 IEEE International Conference on Robotics and Automation, Orlando, FL, USA, 15–19 May 2006; pp. 2819–2823. [Google Scholar]
- Ajoudani, A.; Tsagarakis, N.; Bicchi, A. Tele-impedance: Teleoperation with impedance regulation using a body–machine interface. Int. J. Robot. Res. 2012, 31, 1642–1656. [Google Scholar] [CrossRef]
- Pezarat-Correia, Pedro, L.C.; Mil-Homens, P. A Electromiografia no Estudo do Movimento; Faculdade De Motricidade Humana: Lisboa, Portugal, 2004. [Google Scholar]
- Altimari, L.R.; Dantas, J.L.; Bigliassi, M.; Kanthack TF, D.; Moraes, A.C.; Abrão, T. Influence of Different Strategies of Treatment Muscle Contraction and Relaxation Phases of EMG Signal Processing and Analysis During Cyclic Exercise. In Computational Intelligence in Electromyography Analysis—A Perspective on Current Applications and Future Challenges; 2012; pp. 97–116. Available online: https://www.intechopen.com/books/computational-intelligence-in-electromyography-analysis-a-perspective-on-current-applications-and-future-challenges/influence-of-different-strategies-of-treatment-muscle-contraction-and-relaxation-phases-on-emg-signa (accessed on 20 February 2020). [CrossRef]
- Keman, G.; Gabriell, D.A. Essentials of Electromyography; Human Konetics: Chanmpaign, IL, USA, 2010. [Google Scholar]
- Delagi, E.F.; Peretto, A. Anatomic Guide for the Electromyographer (the Limbs); Charles C Thomas Publisher: Springfield, IL, USA, 1980. [Google Scholar]
- Hermens, H.J.; Freriks, B.; Disselhorst-Klug, C.; Rau, G. Development of recommendations for SEMG sensors and sensor placement procedures. J. Electromyogr. Kinesiol. 2000, 10, 361–374. [Google Scholar] [CrossRef]
- Kendall, F.P.; McCreary, E.K.; Provance, P.G.; Rodgers, M.; Romani, W.A. Muscles, Testing and Function: With Posture and Pain; Williams & Wilkins: Baltimore, MD, USA, 1993. [Google Scholar]























| Muscle | Correlation Value | |||
|---|---|---|---|---|
| 5 N Step | 30 N Step | Stair | Average | |
| APB | 0.9664 | 0.9830 | 0.9388 | 0.9627 |
| FDI | 0.8671 | 0.9439 | 0.9552 | 0.9220 |
| FPL | 0.3704 | 0.9487 | 0.9238 | 0.7476 |
| ED | 0.6103 | 0.9638 | 0.9576 | 0.8439 |
| Experimental Type | Position Error (mm) | Force (N) | Estimated Stiffness (N/mm) |
|---|---|---|---|
| Constant stiffness | 29.69 | −4.07 | 0.14 |
| Variable stiffness with F/T Sensor | 34.17 | −1.60 | 0.05 |
| Variable stiffness with F/T sensor and EMG | 14.49~17.59 | −0.97~2.18 | 0.07~0.12 |
© 2020 by the authors. Licensee MDPI, Basel, Switzerland. This article is an open access article distributed under the terms and conditions of the Creative Commons Attribution (CC BY) license (http://creativecommons.org/licenses/by/4.0/).
Share and Cite
Ahn, B.; Ko, S.Y.; Yang, G.-H. Compliance Control of Slave Manipulator Using EMG Signal for Telemanipulation. Appl. Sci. 2020, 10, 1431. https://doi.org/10.3390/app10041431
Ahn B, Ko SY, Yang G-H. Compliance Control of Slave Manipulator Using EMG Signal for Telemanipulation. Applied Sciences. 2020; 10(4):1431. https://doi.org/10.3390/app10041431
Chicago/Turabian StyleAhn, Bummo, Seong Young Ko, and Gi-Hun Yang. 2020. "Compliance Control of Slave Manipulator Using EMG Signal for Telemanipulation" Applied Sciences 10, no. 4: 1431. https://doi.org/10.3390/app10041431
APA StyleAhn, B., Ko, S. Y., & Yang, G.-H. (2020). Compliance Control of Slave Manipulator Using EMG Signal for Telemanipulation. Applied Sciences, 10(4), 1431. https://doi.org/10.3390/app10041431

