Oxy-Fuel Combustion Characteristics of Pulverized Coal under O2/Recirculated Flue Gas Atmospheres
Abstract
1. Introduction
2. Experimental
2.1. The 0.3 MWth Multi-Fuel Combustion Test Facility
2.1.1. Combustion Furnace with a Multi-Fuel Burner
2.1.2. Fuel and Oxidant/Recirculated Flue Gas (RFG) Supply System
2.1.3. Flue Gas Treatment Unit
2.1.4. Measurement Devices
2.2. Experimental Procedures
2.2.1. Furnace Preheating Process
2.2.2. The Oxy-Fuel Combustion Process
3. Results and Discussion
3.1. Temperature Distributions in Oxy-Combustion of Australian Coal
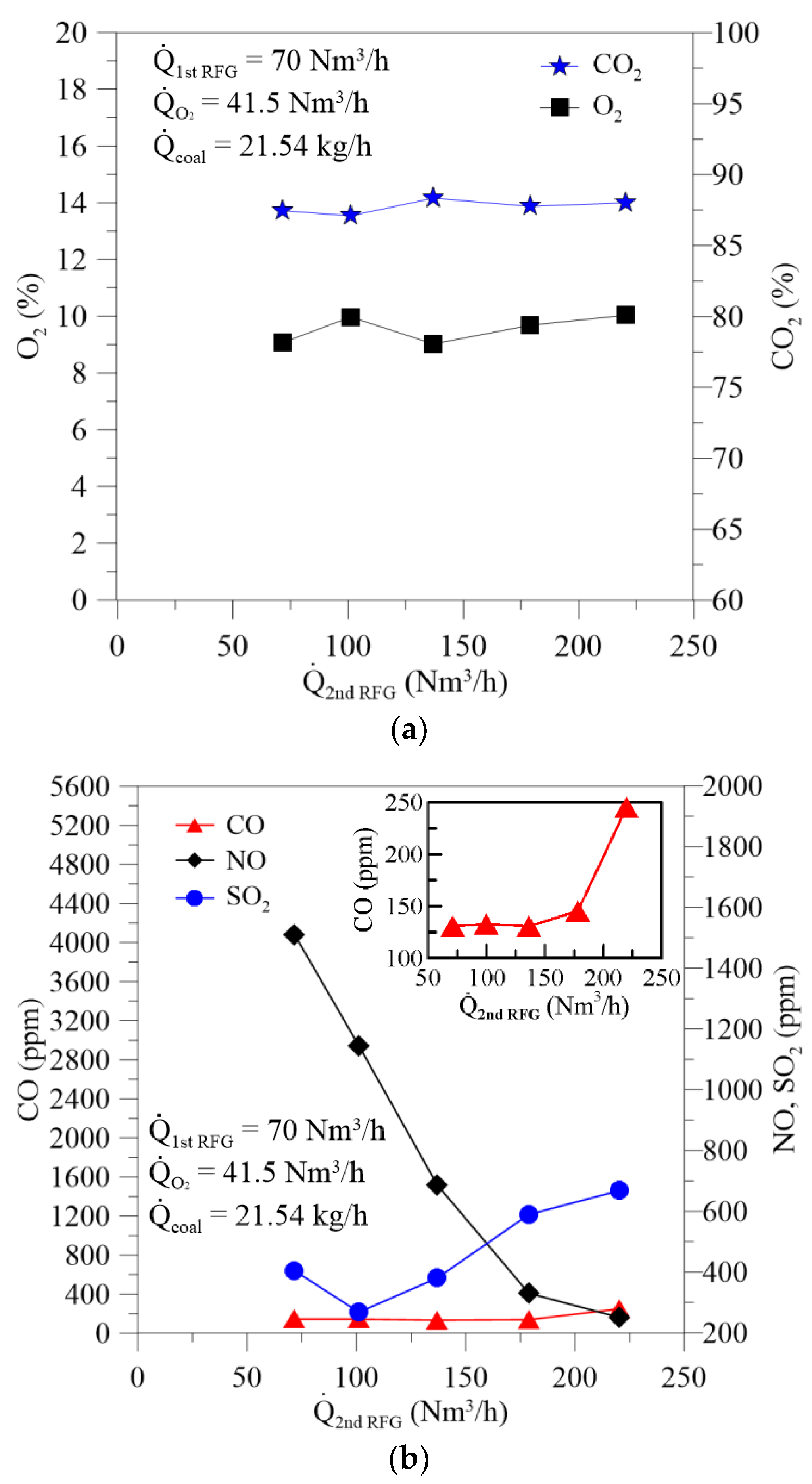
3.2. Emissions in Oxy-Combustion of Australian Coal
3.3. Modified Combustion Efficiency (MCE) in Oxy-Combustion of Australian Coal
4. Conclusions
Author Contributions
Funding
Acknowledgments
Conflicts of Interest
References
- Abraham, B.M.; Asbury, J.G.; Lynch, E.P.; Teotia, A.P.S. Coal-oxygen process provides CO2 for enhanced recovery. Oil. Gas J. 1982, 80, 68–70. [Google Scholar]
- Scheffknecht, G.; Al-Makhadmeh, L.; Schnell, U.; Maier, J. Oxy-fuel coal combustion—A review of the current state-of-the-art. Int. J. Greenh. Gas Control 2011, 5, S16–S35. [Google Scholar] [CrossRef]
- Castle, W.F. Air separation and liquefaction: Recent developments and prospects for the beginning of the new millennium. Int. J. Refrig. 2002, 25, 158–172. [Google Scholar] [CrossRef]
- Ghoniem, A.F. Needs, resources and climate change: Clean and efficient conversion technologies. Prog. Energy Combust. Sci. 2011, 37, 15–51. [Google Scholar] [CrossRef]
- Ditaranto, M.; Hals, J. Combustion instabilities in sudden expansion oxy-fuel flames. Combust. Flame 2006, 146, 493–512. [Google Scholar] [CrossRef]
- Hu, X.; Yu, Q.; Sun, N.; Qin, Q. Experimental study of flammability limits of oxy-methane mixture and calculation based on thermal theory. Int. J. Hydrogen Energy 2014, 39, 9527–9533. [Google Scholar] [CrossRef]
- Buhre, B.J.; Elliott, L.K.; Sheng, C.D.; Gupta, R.P.; Wall, T.F. Oxy-fuel combustion technology for coal-fired power generation. Prog. Energy Combust. Sci. 2005, 31, 283–307. [Google Scholar] [CrossRef]
- Zhou, K.; Lin, Q.; Hu, H.; Shan, F.; Fu, W.; Zhang, P.; Wang, X.; Wang, C. Ignition and combustion behaviors of single coal slime particles in CO2/O2 atmosphere. Combust. Flame 2018, 194, 250–263. [Google Scholar] [CrossRef]
- Schluckner, C.; Gaber, C.; Landfahrer, M.; Demuth, M.; Hochenauer, C. Fast and accurate CFD-model for NOx emission prediction during oxy-fuel combustion of natural gas using detailed chemical kinetics. Fuel 2020, 264, 116841. [Google Scholar] [CrossRef]
- Hu, Y.; Li, H.; Yan, J. Numerical investigation of heat transfer characteristics in utility boilers of oxy-coal combustion. Appl. Energy 2014, 130, 543–551. [Google Scholar] [CrossRef]
- Perrone, D. A study of an oxy-coal combustion with wet recycle using CFD modelling. Energy Procedia 2015, 82, 900–907. [Google Scholar] [CrossRef][Green Version]
- Yin, C.; Yan, J. Oxy-fuel combustion of pulverized fuels: Combustion fundamentals and modeling. Appl. Energy 2016, 162, 742–762. [Google Scholar] [CrossRef]
- Duan, Y.; Duan, L.; Wang, J.; Anthony, E.J. Observation of simultaneously low CO, NOx and SO2 emission during oxy-coal combustion in a pressurized fluidized bed. Fuel 2019, 242, 374–381. [Google Scholar] [CrossRef]
- Ostrycharczyk, M.; Krochmalny, K.; Czerep, M.; Pawlak-Kruczek, H.; Zgóra, J.; Baranowski, M. Examinations of the sulfur emission from pulverized lignite fuel, under pyrolysis and oxy-fuel combustion condition. Fuel 2019, 241, 579–584. [Google Scholar] [CrossRef]
- Sher, F.; Pans, M.A.; Sun, C.; Snape, C.; Liu, H. Oxy-fuel combustion study of biomass fuels in a 20 kWth fluidized bed combustor. Fuel 2018, 215, 778–786. [Google Scholar] [CrossRef]
- Liu, Y.; Geier, M.; Molina, A.; Shaddix, C.R. Pulverized coal stream ignition delay under conventional and oxy-fuel combustion conditions. Int. J. Greenh. Gas Control 2011, 5, 36–46. [Google Scholar] [CrossRef]
- Andersson, K.; Johansson, R.; Hjärtstam, S.; Johnsson, F.; Leckner, B. Radiation intensity of lignite-fired oxy-fuel flames. Exp. Therm. Fluid Sci. 2008, 33, 67–76. [Google Scholar] [CrossRef]
- Smart, J.; Lu, G.; Yan, Y.; Riley, G. Characterisation of an oxy-coal flame through digital imaging. Combust. Flame 2010, 157, 1132–1139. [Google Scholar] [CrossRef]
- Álvarez, L.; Gharebaghi, M.; Jones, J.M.; Pourkashanian, M.; Williams, A.; Riaza, J.; Pevida, C.; Pisa, J.J.; Rubiera, F. CFD modeling of oxy-coal combustion: Prediction of burnout, volatile and NO precursors release. Appl. Energy 2013, 104, 653–665. [Google Scholar] [CrossRef]
- Woycenko, D.M.; van de Kamp, W.L.; Roberts, P.A. Combustion of Pulverised Coal in a Mixture of Oxygen and Recycled Flue Gas; Summary of the APG Research Program, IFRF Doc. F98/Y/4; International Flame Research Foundation (IFRF): Ijmuiden, The Netherlands, 1995. [Google Scholar]
- Normann, F.; Andersson, K.; Leckner, B.; Johnsson, F. Emission control of nitrogen oxides in the oxy-fuel process. Prog. Energy Combust. Sci. 2009, 35, 385–397. [Google Scholar] [CrossRef]
- Stadler, H.; Christ, D.; Habermehl, M.; Heil, P.; Kellermann, A.; Ohliger, A.; Toporov, D.; Kneer, R. Experimental investigation of NOx emissions in oxycoal combustion. Fuel 2011, 90, 1604–1611. [Google Scholar] [CrossRef]
- Ikeda, M.; Toporov, D.; Christ, D.; Stadler, H.; Förster, M.; Kneer, R. Trends in NOx emissions during pulverized fuel oxy-fuel combustion. Energy Fuels 2012, 26, 3141–3149. [Google Scholar] [CrossRef]
- Li, S.; Li, W.; Xu, M.; Wang, X.; Li, H.; Lu, Q. The experimental study on nitrogen oxides and SO2 emission for oxy-fuel circulation fluidized bed combustion with high oxygen concentration. Fuel 2015, 146, 81–87. [Google Scholar] [CrossRef]
- De las Obras-Loscertales, M.; Mendiara, T.; Rufas, A.; de Diego, L.F.; García-Labiano, F.; Gayán, P.; Abad, A.; Adánez, J. NO and N2O emissions in oxy-fuel combustion of coal in a bubbling fluidized bed combustor. Fuel 2015, 150, 146–153. [Google Scholar] [CrossRef]
- Hu, X.; Li, X.; Luo, G.; Yao, H. Homogeneous and heterogeneous contribution of CO2 and recycled NO to NO emission difference between air and oxy-coal combustion. Fuel 2016, 163, 1–7. [Google Scholar] [CrossRef]
- Ndibe, C.; Spӧrl, R.; Maier, J.; Scheffknecht, G. Experimental study of NO and NO2 formation in a PF oxy-coal firing system. Fuel 2013, 107, 749–756. [Google Scholar] [CrossRef]
- Muto, M.; Watanabe, H.; Kurose, R.; Komori, S.; Balusamy, S.; Hochgreb, S. Large-eddy simulation of pulverized coal jet flame- Effect of oxygen concentration on NOx formation. Fuel 2015, 142, 152–163. [Google Scholar] [CrossRef]
- Croiset, E.; Thambimuthu, K.V. NOx and SO2 emissions from O2/CO2 recycle coal combustion. Fuel 2001, 80, 2117–2121. [Google Scholar] [CrossRef]
- Chi, C.C.; Lin, T.H.; Huang, W.C.; Hou, S.S.; Wang, P.Y. Achievement of high CO2 concentration in the flue gas at slightly positive pressure during oxy-coal combustion in a 300 kWth furnace. Fuel 2015, 160, 434–439. [Google Scholar] [CrossRef]
- Huang, W.C.; Hou, S.S.; Lin, T.H. Combustion characteristics of a 300 kWth oil-fired furnace using castor oil/diesel blended fuels. Fuel 2017, 208, 71–81. [Google Scholar] [CrossRef]
- Moffat, R.J. Describing the uncertainties in experimental results. Exp. Therm. Fluid Sci. 1988, 1, 3–17. [Google Scholar] [CrossRef]
- Panahi, A.; Tarakcioglu, M.; Schiemann, M.; Delichatsios, M.; Levendis, Y.A. On the particle sizing of torrefied biomass for co-firing with pulverized coal. Combust. Flame 2018, 194, 72–84. [Google Scholar] [CrossRef]
- Hou, S.S.; Huang, W.C.; Rizal, F.M.; Lin, T.H. Co-Firing of fast pyrolysis bio-oil and heavy fuel oil in a 300-kWth furnace. Appl. Sci. 2016, 6, 326. [Google Scholar] [CrossRef]
- Tan, Y.Q.; Croiset, E.; Douglas, M.A.; Thambimuthu, K.V. Combustion characteristics of coal in a mixture of oxygen and recycled flue gas. Fuel 2006, 85, 507–512. [Google Scholar] [CrossRef]
- Liu, H.; Shao, Y. Predictions of the impurities in the CO2 stream of an oxy-coal combustion plant. Appl. Energy 2010, 87, 3162–3170. [Google Scholar] [CrossRef]
- Khare, S.; Wall, T.F.; Gupta, R.P.; Elliott, L.; Buhre, B. Oxy-fuel (O2/CO2, O2/RFG) technology for sequestration-ready CO2 and emission compliance. In Proceedings of the Clearwater Coal Conference: The 30th International Technical Conference on Coal Utilisation & Fuel Systems, Coal Technology: Yesterday–Today–Tomorrow, Clearwater, FL, USA, 17–21 April 2005. [Google Scholar]
- Wang, C.S.; Berry, G.F.; Chang, K.C.; Wolsky, A.M. Combustion of pulverised coal using waste carbon dioxide and oxygen. Combust. Flame 1988, 72, 301–310. [Google Scholar] [CrossRef]
- Toftegaard, M.B.; Brix, J.; Jensen, P.A.; Glarborg, P.; Jensen, A.D. Oxy-fuel combustion of solid fuels. Prog. Energy Combust. Sci. 2010, 36, 581–625. [Google Scholar] [CrossRef]
- Chiang, C.Y.; Huang, W.C.; Hou, S.S.; Lin, T.H. Combustion characteristics and pollutant emissions of coals from various sources. In Proceedings of the 25th National Conference on Combustion and Energy, Kaohsiung, Taiwan, 24–25 April 2015. [Google Scholar]
- Okazaki, K.; Ando, T. NOx reduction mechanism in coal combustion with recycled CO2. Energy 1997, 22, 207–215. [Google Scholar] [CrossRef]
- Hu, Y.; Naito, S.; Kobayashi, N.; Hasatani, M. CO2, NOx and SO2 emissions from the combustion of coal with high oxygen concentration gases. Fuel 2000, 79, 1925–1932. [Google Scholar] [CrossRef]
- Hu, Y.Q.; Kobayashi, N.; Hasatani, M. Effects of coal properties on recycled-NOx reduction in coal combustion with O2/recycled flue gas. Energy Convers. Manag. 2003, 44, 2331–2340. [Google Scholar] [CrossRef]
- Nozaki, T.; Takano, S.; Kiga, T. Analysis of the flame formed during oxidation of pulverized coal by an O2-CO2 mixture. Energy 1997, 22, 199–205. [Google Scholar] [CrossRef]
- Ward, D.E.; Hardy, C.C. Smoke emissions from wildland fires. Environ. Int. 1991, 17, 117–134. [Google Scholar] [CrossRef]
- Zhang, H.; Ye, X.; Cheng, T.; Chen, J.; Yang, X.; Wang, L.; Zhang, R. A laboratory study of agricultural crop residue combustion in China: Emission factors and emission inventory. Atmos. Environ. 2008, 42, 8432–8441. [Google Scholar] [CrossRef]
- Amorim, E.B.; Carvalho, J.A., Jr.; Neto, T.S.; Anselmo, E.; Saito, V.O.; Dias, F.F.; Santos, J.C. Influence of specimen size, tray inclination and air flow rate on the emission of gases from biomass combustion. Atmos. Environ. 2013, 74, 52–59. [Google Scholar] [CrossRef]
- Ferek, R.J.; Reid, J.S.; Hobbs, P.V.; Blake, D.R.; Liousse, C. Emission factors of hydrocarbons, halocarbons, trace gases, and particles from biomass burning in Brazil. J. Geophys. Res. 1998, 103, 32107–32118. [Google Scholar] [CrossRef]
- Akagi, S.K.; Yokelson, R.J.; Wiedinmyer, C.; Alvarado, M.; Reid, J.S.; Karl, T.; Crounse, J.D.; Wennberg, P.O. Emission factors for open and domestic biomass burning for use in atmospheric models. Atmos. Chem. Phys. 2011, 11, 4039–4072. [Google Scholar] [CrossRef]
- Wu, K.K.; Chang, Y.C.; Chen, C.H.; Chen, Y.D. High-efficiency combustion of natural gas with 21–30% oxygen-enriched air. Fuel 2010, 89, 2455–2462. [Google Scholar] [CrossRef]
- Arvanitoyannis, I.S.; Ladas, D.; Mavromatis, A. Wine waste management: Treatment methods and potential uses of treated waste. In Waste Management for the Food Industries, 1st ed.; Arvanitoyannis, I.S., Ed.; Academic Press: Amsterdam, The Netherlands, 2008; Part 4, Chapter 7; pp. 413–452. [Google Scholar]
- Bilsback, K.R.; Eilenberg, S.R.; Good, N.; Heck, L.; Johnson, M.; Kodros, J.K.; Lipsky, E.M.; L’Orange, C.; Pierce, J.R.; Robinson, A.L.; et al. The firepower sweep test: A novel approach to cookstove laboratory testing. Indoor Air 2018, 28, 936–949. [Google Scholar] [CrossRef]
- Hower, J.C.; Groppo, J.G.; Graham, U.M.; Ward, C.R.; Kostova, I.J.; Maroto-Valer, M.M.; Dai, S. Coal-derived unburned carbons in fly ash: A review. Int. J. Coal Geol. 2017, 179, 11–27. [Google Scholar] [CrossRef]
- CNS 3036, Coal Fly Ash and Raw or Calcined Natural Pozzolan for Use as a Mineral Admixture in Concrete; National Standards of Republic of China (CNS): Shenzhen, China, 2009.
- ASTM C618-00, Standard Specification for Coal Fly Ash and Raw or Calcined Natural Pozzolan for Use as a Mineral Admixture in Concrete; American Society of the International Association for Testing and Materials (ASTM): West Conshohocken, PA, USA, 2015.
- Goto, K.; Kazama, S.; Furukawa, A.; Serizawa, M.; Aramaki, S.; Shoji, K. Effect of CO2 purity on energy requirement of CO2 capture processes. Energy Procedia 2013, 37, 806–812. [Google Scholar] [CrossRef]
- Ilbas, M.; Bektas, A.; Karyeyen, S. Effect of oxy-fuel combustion on flame characteristics of low calorific value coal gases in a small burner and combustor. Fuel 2018, 226, 350–364. [Google Scholar] [CrossRef]








| Ultimate Analysis (wt %) | |
| Nitrogen (%, DB) | 1.65 |
| Carbon (%, DB) | 73.10 |
| Hydrogen (%, DB) | 4.30 |
| Sulfur (%, DB) | 0.48 |
| Ash (%, DB) | 15.20 |
| Oxygen (%, DB) | 5.27 |
| Proximate Analysis (wt %) | |
| Ash (%, AD) | 14.78 |
| Moisture (%, AD) | 2.78 |
| Volatile matter (%, AD) | 29.68 |
| Fixed carbon (%, AD) | 52.76 |
| Heating value (MJ/kg, AD) | 27.52 |
| Australian Coal | ||
|---|---|---|
| Feed rate (kg/h) | 21.54 | |
| Heat release rate (kW) | 165 | |
| Primary RFG (1st RFG) (Nm3/h) | 70 | |
| Oxygen supply (Nm3/h) | 41.5 | 38.5 |
| Secondary RFG (2nd RFG) (Nm3/h) | 70–220 | 50–170 |
© 2020 by the authors. Licensee MDPI, Basel, Switzerland. This article is an open access article distributed under the terms and conditions of the Creative Commons Attribution (CC BY) license (http://creativecommons.org/licenses/by/4.0/).
Share and Cite
Hou, S.-S.; Chiang, C.-Y.; Lin, T.-H. Oxy-Fuel Combustion Characteristics of Pulverized Coal under O2/Recirculated Flue Gas Atmospheres. Appl. Sci. 2020, 10, 1362. https://doi.org/10.3390/app10041362
Hou S-S, Chiang C-Y, Lin T-H. Oxy-Fuel Combustion Characteristics of Pulverized Coal under O2/Recirculated Flue Gas Atmospheres. Applied Sciences. 2020; 10(4):1362. https://doi.org/10.3390/app10041362
Chicago/Turabian StyleHou, Shuhn-Shyurng, Chiao-Yu Chiang, and Ta-Hui Lin. 2020. "Oxy-Fuel Combustion Characteristics of Pulverized Coal under O2/Recirculated Flue Gas Atmospheres" Applied Sciences 10, no. 4: 1362. https://doi.org/10.3390/app10041362
APA StyleHou, S.-S., Chiang, C.-Y., & Lin, T.-H. (2020). Oxy-Fuel Combustion Characteristics of Pulverized Coal under O2/Recirculated Flue Gas Atmospheres. Applied Sciences, 10(4), 1362. https://doi.org/10.3390/app10041362

