Development and Preliminary Trajectory Verification of the Electromotor-Driven Parallel External Fixator for Deformity Correction
Abstract
Featured Application
Abstract
1. Introduction
2. Materials and Methods
2.1. The Bone-Fixator System
2.2. Inverse Kinematic Solution
2.3. The Algorithm for Trajectory Planning
2.3.1. Equal Joint Adjustment
2.3.2. Joint Adjustment for Equal Bone Distraction
2.4. The Electromotor-Driven Parallel External Fixator System
2.4.1. Structure Design of the Parallel External Fixator
2.4.2. The Electromechanical System
- (1)
- Hardware of the electromechanical system
- (2)
- Mode of the motion control
3. Results
3.1. ROM of the External Fixator
3.2. Trajectory Generating
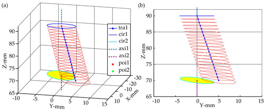
3.3. Trajectory Verification
4. Discussion
5. Conclusions and Future Work
Author Contributions
Funding
Acknowledgments
Conflicts of Interest
References
- Sangkaew, C. Distraction osteogenesis for the treatment of post traumatic complications using a conventional external fixator: A novel technique. Injury 2005, 36, 185–193. [Google Scholar] [CrossRef]
- Block, M.S.; Cervini, D.; Chang, A.; Gottsegenet, G.B. Distraction Osteogenesis. J. Pediatr. Orthopaed. 2015, 53, 561–565. [Google Scholar]
- Birch, J.G.; Samchukov, M.L. Use of the Ilizarov Method to Correct Lower Limb Deformities in Children and Adolescents. J. Am. Acad. Orthop. Surg. 2004, 12, 144–154. [Google Scholar] [CrossRef] [PubMed]
- Lan, X.; Zhang, L.; Peifu, T.; Xia, H.; Li, G.; Peng, A.; Han, Y.; Yuan, B.; Xu, W. S-osteotomy with lengthening and then nailing compared with traditional Ilizarov method. Int. Orthop. 2013, 37, 1995–2000. [Google Scholar] [CrossRef][Green Version]
- Dammerer, D.; Kirschbichler, K.; Donnan, L.; Kaufmann, G.; Krismer, M.; Biedermann, R. Clinical value of the Taylor Spatial Frame: A comparison with the Ilizarov and Orthofix fixators. J. Child. Orthop. 2011, 5, 343–349. [Google Scholar] [CrossRef]
- Wu, Y.Y.; Plakseychuk, A.; Shimada, K. Computer-aided surgical planner for a new bone deformity correction device using axis-angle representation. Med. Eng. Phys. 2014, 36, 1536–1542. [Google Scholar] [CrossRef]
- Mutlu, H.; Akçali, I.D.; Gulsen, M. A Mathematical Model for the Use of a Gough-Stewart Platform Mechanism as a Fixator. J. Eng. Math. 2005, 54, 119–143. [Google Scholar] [CrossRef]
- Ganger, R.; Radler, C.; Speigner, B.; Grill, F. Correction of post-traumatic lower limb deformities using the Taylor spatial frame. Int. Orthop. 2009, 34, 723–730. [Google Scholar] [CrossRef]
- Avşar, E.; Ün, K. Automatic 3D modeling and simulation of bone-fixator system in a novel graphical user interface. Inform. Med. Unlocked 2016, 2, 78–91. [Google Scholar] [CrossRef]
- Du, H.; Hu, L.; Li, C.; He, C.; Zhang, L.; Tang, P. Preoperative trajectory planning for closed reduction of long-bone diaphyseal fracture using a computer-assisted reduction system. Int. J. Med. Robot. Comput. Assist. Surg. 2014, 11, 58–66. [Google Scholar] [CrossRef]
- Du, H.; Hu, L.; Li, C.; Wang, T.; Zhao, L.; Li, Y.; Mao, Z.; Liu, D.; Zhang, L.; He, C.; et al. Advancing computer-assisted orthopaedic surgery using a hexapod device for closed diaphyseal fracture reduction. Int. J. Med. Robot. Comput. Assist. Surg. 2014, 11, 348–359. [Google Scholar] [CrossRef] [PubMed]
- Seide, K.; Faschingbauer, M.; Wenzl, M.E.; Weinrich, N.; Juergens, C. A hexapod robot external fixator for computer assisted fracture reduction and deformity correction. Int. J. Med. Robot. Comput. Assist. Surg. 2004, 1, 64–69. [Google Scholar] [CrossRef] [PubMed]
- Li, J.; Zhao, X.; Hu, X.; Tao, C.; Ji, R. Numerical investigation of the relationship between pin deviations and joint coordinates of a unilateral external fixator. Clin. Biomech. 2018, 53, 107–116. [Google Scholar] [CrossRef] [PubMed]
- Faschingbauer, M.; Heuer, H.J.D.; Seide, K.; Wendlandt, R.; Münch, M.; Jürgens, C.; Kirchner, R. Accuracy of a hexapod parallel robot kinematics based external fixator. Int. J. Med. Robot. Comput. Assist. Surg. 2014, 11, 424–435. [Google Scholar] [CrossRef] [PubMed]
- Li, C.; Wang, T.; Hu, L.; Zhang, L.; Du, H.; Wang, L.; Luan, S.; Tang, P. Accuracy Analysis of a Robot System for Closed Diaphyseal Fracture Reduction. Int. J. Adv. Robot. Syst. 2014, 11, 1–11. [Google Scholar] [CrossRef]
- Zuo, S.; Dong, M.; Li, J.; Tao, C.; Ji, R. Configuration design and correction ability evaluation of a novel external fixator for foot and ankle deformity treated by U osteotomy. Med. Biol. Eng. Comput. 2020, 58, 541–558. [Google Scholar] [CrossRef]
- Paley, D. History and Science Behind the Six-Axis Correction External Fixation Devices in Orthopaedic Surgery. Oper. Tech. Orthop. 2011, 21, 125–128. [Google Scholar] [CrossRef]
- Vito, G.R.; Talarico, L.M.; Kanuck, D.M. Use of external fixation to correct deformities of the lower leg. Clin. Podiatr. Med. Surg. 2003, 20, 119–157. [Google Scholar] [CrossRef]
- Nakase, T.; Kitano, M.; Kawai, H.; Ueda, T.; Higuchi, C.; Hamada, M.; Yoshikawa, H. Distraction osteogenesis for correction of three-dimensional deformities with shortening of lower limbs by Taylor Spatial Frame. Arch. Orthop. Trauma Surg. 2009, 129, 1197–1201. [Google Scholar] [CrossRef]
- Niculescu, B.; Faur, C.I.; Tataru, T.; Diaconu, B.M.; Cruceru, M. Investigation of Biomechanical Characteristics of Orthopedic Implants for Tibial Plateau Fractures by Means of Deep Learning and Support Vector Machine Classification. Appl. Sci. 2020, 10, 4697. [Google Scholar] [CrossRef]
- Morsy, A.; Tsuchiya, H.; Matsubara, H.; Kabata, T.; Tomita, K. Ilizarov deformity correction of the lower limbs in Ellis-van Creveld syndrome. J. Orthop. Sci. 2007, 12, 505–509. [Google Scholar] [CrossRef] [PubMed]
- Bor, N.; Rubin, G.; Rozen, N. Ilizarov Method for Gradual Deformity Correction. Oper. Tech. Orthop. 2011, 21, 104–112. [Google Scholar] [CrossRef]
- Rozbruch, S.R.; Helfet, D.L.; Blyakher, A. Distraction of hypertrophic nonunion of tibia with deformity using Ilizarov/Taylor Spatial Frame-Report of two cases. Arch. Orthopaed. Trauma Surg. 2002, 122, 295–298. [Google Scholar] [CrossRef] [PubMed]
- Takata, M.; Vilensky, V.A.; Tsuchiya, H.; Solomin, L.N. Foot Deformity Correction with Hexapod External Fixator, the Ortho-SUV Frame™. J. Foot Ankle Surg. 2013, 52, 324–330. [Google Scholar] [CrossRef]
- Skomoroshko, P.V.; Vilensky, V.A.; Hammouda, A.I.; Fletcher, M.D.A.; Solomin, L.N. Mechanical rigidity of the Ortho-SUV frame compared to the Ilizarov frame in the correction of femoral deformity. Strat. Trauma Limb Reconstr. 2015, 10, 5–11. [Google Scholar] [CrossRef]
- Riganti, S.; Nasto, L.A.; Mannino, S.; Marrè, B.G.; Boero, S. Correction of complex lower limb angular deformities with or without length discrepancy in children using the TL-Hex hexapod system: Comparison of clinical and radiograph- ical results. J. Pediatr. Orthopaed. B 2019, 28, 214–220. [Google Scholar] [CrossRef]
- Li, C.; Wang, T.; Hu, L.; Zhang, L.; Du, H.; Zhao, L.; Wang, L.; Peifu, T. A visual servo-based teleoperation robot system for closed diaphyseal fracture reduction. Proc. Inst. Mech. Eng. Part H J. Eng. Med. 2015, 229, 629–637. [Google Scholar] [CrossRef]
- Amaro, A.M.; Paulino, M.; Roseiro, L.; Neto, M.A. The Effect of External Fixator Configurations on the Dynamic Compression Load: An Experimental and Numerical Study. Appl. Sci. 2019, 10, 3. [Google Scholar] [CrossRef]
- Dong, M.; Fan, W.; Li, J.; Zhou, X.; Rong, X.; Kong, Y.; Zhou, Y. A New Ankle Robotic System Enabling Whole-stage Compliance Rehabilitation Training. IEEE/ASME Trans. Mechatron. 2020, 1. [Google Scholar] [CrossRef]












| The Maximum Correction Capability | The Allowable Strokes of the Rod | |||
|---|---|---|---|---|
| Translation along the x-axis | −92~+92 mm | Rotation around the x-axis | −18°~+18° | 140~210 mm |
| Translation along the y-axis | −82~+82 mm | Rotation around the y-axis | −20°~+20° | |
| Translation along the z-axis | +122~+196 mm | Rotation around the z-axis | −34°~+34° | |
| Rod li | l1 | l2 | l3 | l4 | l5 | l6 | Average Value | |
|---|---|---|---|---|---|---|---|---|
| Root mean square error | Equal joint adjustment | 0.0185 | 0.0306 | 0.0355 | 0.1046 | 0.1084 | 0.1275 | 0.0712 |
| Joint adjustment for equal bone distraction | 0.0362 | 0.0384 | 0.0304 | 0.1088 | 0.0917 | 0.1242 |
Publisher’s Note: MDPI stays neutral with regard to jurisdictional claims in published maps and institutional affiliations. |
© 2020 by the authors. Licensee MDPI, Basel, Switzerland. This article is an open access article distributed under the terms and conditions of the Creative Commons Attribution (CC BY) license (http://creativecommons.org/licenses/by/4.0/).
Share and Cite
Li, G.; Li, J.; Dong, M.; Zuo, S. Development and Preliminary Trajectory Verification of the Electromotor-Driven Parallel External Fixator for Deformity Correction. Appl. Sci. 2020, 10, 9074. https://doi.org/10.3390/app10249074
Li G, Li J, Dong M, Zuo S. Development and Preliminary Trajectory Verification of the Electromotor-Driven Parallel External Fixator for Deformity Correction. Applied Sciences. 2020; 10(24):9074. https://doi.org/10.3390/app10249074
Chicago/Turabian StyleLi, Guotong, Jianfeng Li, Mingjie Dong, and Shiping Zuo. 2020. "Development and Preliminary Trajectory Verification of the Electromotor-Driven Parallel External Fixator for Deformity Correction" Applied Sciences 10, no. 24: 9074. https://doi.org/10.3390/app10249074
APA StyleLi, G., Li, J., Dong, M., & Zuo, S. (2020). Development and Preliminary Trajectory Verification of the Electromotor-Driven Parallel External Fixator for Deformity Correction. Applied Sciences, 10(24), 9074. https://doi.org/10.3390/app10249074

