Impact of Preheating Temperatures and RAP Characteristics on the Activation of RAP Binder
Abstract
1. Introduction
2. Objective
- (1)
- The influence of preheating temperature on the activation of RA binder;
- (2)
- The influence of aging of RA binder on the activation of RA binder.
3. Materials and Methods
3.1. Materials
3.1.1. RAP from Old Roads
3.1.2. Artificial RAP
3.2. Methods
3.2.1. Producing RAP-Art with Different Degrees of Aging
- Accelerated aging procedure
- RA binder recovery
- Inspection of aging
3.2.2. Preheating and Compaction Procedure
3.2.3. Properties of Specimens with 100% RAP
4. Results
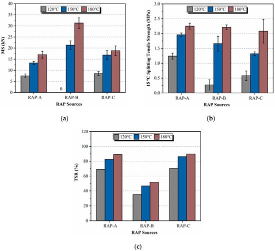
4.1. Influence of Preheating Temperature
4.2. Influence of RA Binder Aging
4.2.1. Inspection of Aging
4.2.2. Evaluation of Binder Activation
5. Conclusions
- Since the air voids and splitting tensile strength at 15 °C results are easy to obtain and presented a good correlation with binder activation in this study, it is recommended to use the two indicators to measure the activation of RA binder.
- The preheating temperature was found to have a significant effect on the activation of RA binder. As the preheating temperature increases to 180 °C, RA binder from all the sources can be highly activated. However, the strength of specimens decreased significantly at 120 °C, indicating that the activation degree of RA binder is quite low under the limiting preheating temperature (120 °C) of RAP according to the standard. In the current preheating method used for RAP, most of the RA binder is not activated.
- The artificial RAP produced through the accelerated aging method can be used to represent RAP with different oxidation levels and investigate the influence of aging on binder activation. Regarding the RAP preheated at a high temperature (180 °C), the aging of RA binder does not show any negative effect on binder activation. However, when the preheating temperature is low (120 °C), the aging of RA binder shows a significant adverse effect on binder activation. According to the presented test results, it is recommended to increase the preheating temperature of RAP during the production process to improve the activation of RA binder, especially when the oxidation level of RA binder is high.
Author Contributions
Funding
Conflicts of Interest
References
- Alqadi, I.L.; Elseifi, M.; Carpenter, S. Reclaimed Asphalt Pavement–A Literature Review; Technical Report for Illinois Center for Transportation; Technical Report No. FHWA-ICT-07-001; University of Illinois at Urbana-Champaign: Champaign, IL, USA, 2007. [Google Scholar]
- Copeland, A. High Reclaimed Asphalt Pavement Use; Technical report for FHWA; Technical Report No. FHWA-HRT-11-057; Federal Highway Administration: Washington, DC, USA, 2011.
- Zaumanis, M.; Mallick, R.B. Review of very high-content reclaimed asphalt use in plant-produced pavements: State of the art. Int. J. Pavement Eng. 2015, 16, 39–55. [Google Scholar] [CrossRef]
- Haghshenas, H.F.; Kim, Y.R.; Nxengiyumya, G.; Kommidi, S.R. Research on High-RAP Asphalt Mixtures with Rejuvenators–Phase II; Report No. SPR-1(18) M070; University of Nebraska: Lincoln, NE, USA, 2019. [Google Scholar]
- Gonzalo-Orden, H.; Linares-Unamunzaga, A.; Pérez-Acebo, H.; Díaz-Minguela, J. Advances in the Study of the Behavior of Full-Depth Reclamation (FDR) with Cement. Appl. Sci. 2019, 9, 3055. [Google Scholar] [CrossRef]
- Fedrigo, W.; Núñez, W.P.; Visser, A.T. A review of full-depth reclamation of pavements with Portland cement: Brazil and abroad. Constr. Build. Mater. 2020, 262, 120540. [Google Scholar] [CrossRef]
- Farina, A.; Zanetti, M.C.; Santagata, E.; Blengini, G.A. Life cycle assessment applied to bituminous mixtures containing recycled materials: Crumb rubber and reclaimed asphalt pavement. Resour. Conserv. Recycl. 2017, 117, 204–212. [Google Scholar] [CrossRef]
- Bressi, S.; Santos, J.; Orešković, M.; Losa, M. A comparative environmental impact analysis of asphalt mixtures containing crumb rubber and reclaimed asphalt pavement using life cycle assessment. Int. J. Pavement Eng. 2019, 1, 1–15. [Google Scholar] [CrossRef]
- Zaumanis, M.; Mallick, R.B.; Frank, R. 100% recycled hot mix asphalt: A review and analysis. Resour. Conserv. Recycl. 2014, 92, 230–245. [Google Scholar] [CrossRef]
- Bressi, S.; Dumont, A.G.; Partl, M.N. A new laboratory methodology for optimization of mixture design of asphalt concrete containing reclaimed asphalt pavement material. Mater. Struct. 2016, 49, 4975–4990. [Google Scholar] [CrossRef]
- Abed, A.; Thom, N.; Presti, D.L. Design considerations of high RAP-content asphalt produced at reduced temperatures. Mater. Struct. 2018, 51, 91. [Google Scholar] [CrossRef]
- Presti, D.L.; Carrión, A.J.D.B.; Airey, G.; Hajj, E. Towards 100% recycling of reclaimed asphalt in road surface courses: Binder design methodology and case studies. J. Clean. Prod. 2016, 131, 43–51. [Google Scholar] [CrossRef]
- Menegusso Pires, G.; Carrión, A.J.D.B.; Airey, D.; Lo Presti, D. Maximising asphalt recycling in road surface courses: The importance of a preliminary binder design. In Proceedings of the Tenth International Conference on the Bearing Capacity of Roads, Railways and Airfields, Athens, Greece, 28–30 June 2017. [Google Scholar] [CrossRef]
- Lo Presti, D.; Airey, G.; Liberto, M.; Noto, S.; Di Mino, G.; Blasl, A.; Falla, G.; Wellner, F. AllBack2Pave: Towards a sustainable recycling of asphalt in wearing courses. In Proceedings of the AIIT International Congress on Transport Infrastructure and Systems, Rome, Italy, 10–12 April 2017. [Google Scholar] [CrossRef]
- Kennedy, T.W.; Tam, W.O.; Solaimanian, M. Optimizing Use of Reclaimed Asphalt Pavement with the Superpave System. Asph. Paving Technol. 1998, 67, 311–333. [Google Scholar]
- Mcdaniel, R.S.; Soleymani, H.; Anderson, R.M.; Turner, P.; Peterson, R. Recommended Use of Reclaimed Asphalt Pavement in the Superpave Mix Design Method; NCHRP Report 452; Transportation Research Board National Research Council: Washington, DC, USA, 2000. [Google Scholar]
- Kandhal, P.S.; Mallick, R.B. Pavement Recycling Guidelines for State and Local Governments: Participant’s Reference Book: Chapter 6 Hot-Mix Asphalt Recycling-Drum Plant (Construction Methods and Equipment). 1997. Available online: https://www.fhwa.dot.gov/pavement/recycling/98042/98042.pdf (accessed on 1 October 2020).
- Shirodkar, P.; Mehta, Y.; Nolan, A.; Sonpal, K.; Norton, A.; Tomlinson, C.; Dubois, E.; Sullivan, P.; Sauber, R. A study to determine the degree of partial blending of reclaimed asphalt pavement (RAP) binder for high RAP hot mix asphalt. Constr. Build. Mater. 2011, 25, 150–155. [Google Scholar] [CrossRef]
- Ding, Y.; Huang, B.; Shu, X. Characterizing blending efficiency of plant produced asphalt paving mixtures containing high RAP. Constr. Build. Mater. 2016, 126, 172–178. [Google Scholar] [CrossRef]
- Bowers, B.F.; Moore, J.; Huang, B.; Shu, X. Blending Efficiency of Reclaimed Asphalt Pavement: An Approach Utilizing Rheological Properties and Molecular Weight Distributions. Fuel 2014, 135, 63–68. [Google Scholar] [CrossRef]
- JTG/T 5521-2019: Technical Specifications for Highway Asphalt Pavement Recycling; Ministry of Transport of the People’s Republic of China: Beijing, China, 2019.
- Liu, Y.; Wang, H.; Tighe, S.L.; Zhao, G.; You, Z. Effects of preheating conditions on performance and workability of hot in-place recycled asphalt mixtures. Constr. Build. Mater. 2019, 226, 288–298. [Google Scholar] [CrossRef]
- Alqadi, I.L.; Carpenter, S.H.; Roberts, G.L.; Ozer, H.; Aurangzeb, Q. Investigation of Working Binder in Hot-Mix Asphalt Containing Recycled Asphalt Pavements. In Proceedings of the 88 TRB Annual Meeting, Washington, DC, USA, 11–15 January 2009. [Google Scholar]
- West, R.; Willis, J.R.; Marasteanu, M. Improved Mix Design, Evaluation, and Materials Management Practices for Hot Mix Asphalt with High Reclaimed Asphalt Pavement Content; NCHRP Report 752; Transportation Research Board National Research Council: Washington, DC, USA, 2013. [Google Scholar]
- Alqadi, I.L.; Aurangzeb, Q.; Carpenter, S.H.; Pine, W.J.; Trepanier, J. Impact of High RAP Contents on Structural and Performance Properties of Asphalt Mixtures; Rea. Rep. No. FHWA-ICT-12-002; Illinois Center for Transportation: Urbana, IL, USA, 2012.
- Zaumanis, M.; Mallick, R.B.; Frank, R. Determining optimum rejuvenator dose for asphalt recycling based on Superpave performance grade specifications. Constr. Build. Mater. 2014, 69, 159–166. [Google Scholar] [CrossRef]
- Haghshenas, H.F.; Nabizadeh, H.; Kim, Y.R.; Kommidi, S.R. Research on High-RAP Asphalt Mixtures with Rejuvenators and WMA Additives; Report No. SPR-P1(15) M016; University of Nebraska: Lincoln, NE, USA, 2016. [Google Scholar]
- Menegusso Pires, G.; Lo Presti, D.; Airey, G.D. A practical approach to estimate the degree of binder activity of reclaimed asphalt materials. Road Mater. Pavement Des. 2019, 1–24. [Google Scholar] [CrossRef]
- Lo Presti, D.; Vasconcelos, K.; Oreskovic, M.; Menegusso Pires, G.; Bressi, S. On the degree of binder activity of reclaimed asphalt and degree of blending with recycling agents. Road Mater. Pavement Des. 2019, 1–20. [Google Scholar] [CrossRef]
- Navaro, J.; Bruneau, D.; Drouadaine, I.; Colin, J.; Dony, A.; Cournet, J. Observation and evaluation of the degree of blending of reclaimed asphalt concretes using microscopy image analysis. Constr. Build. Mater. 2012, 37, 135–143. [Google Scholar] [CrossRef]
- Gaspar, M.; Vasconcelos, K.; Lopes, M.; Bemucci, L. Evaluation of Binder Blending on Warm Mix Recycling. In Proceedings of the 2018 ISAP Conference, Fortaleza, Brazil, 19–22 June 2018. [Google Scholar]
- Yu, S.; Shen, S.; Zhang, C.; Zhang, W.; Jia, X. Evaluation of the Blending Effectiveness of Reclaimed Asphalt Pavement Binder. J. Mater. Civ. Eng. 2017, 29, 04017230. [Google Scholar] [CrossRef]
- Sreeram, A.; Leng, Z.; Zhang, Y.; Padhan, R. Evaluation of RAP binder mobilisation and blending efficiency in bituminous mixtures: An approach using ATR-FTIR and artificial aggregate. Constr. Build. Mater. 2018, 179, 245–253. [Google Scholar] [CrossRef]
- Booshehrian, A.; Mogawer, W.S.; Bonaquist, R. How to Construct an Asphalt Binder Master Curve and Assess the Degree of Blending between RAP and Virgin Binders. J. Mater. Civ. Eng. 2013, 25, 1813–1821. [Google Scholar] [CrossRef]
- Zhao, S.; Huang, B.; Shu, X.; Woods, M. Quantitative evaluation of blending and diffusion in high RAP and RAS mixtures. Mater. Des. 2016, 89, 1161–1170. [Google Scholar] [CrossRef]
- Oreskovic, M.; Menegusso Pires, G.; Bressi, S.; Vasconcelos, K.; Lo Presti, D. Quantitative assessment of the parameters linked to the blending between reclaimed asphalt binder and recycling agent: A literature review. Constr. Build. Mater. 2020, 234. [Google Scholar] [CrossRef]
- Huang, B.; Li, G.; Vukosavljevic, D.; Shu, X.; Egan, B. Laboratory Investigation of Mixing Hot-Mix Asphalt with Reclaimed Asphalt Pavement. Transp. Res. Rec. J. Transp. Res. Board 2005, 1929, 37–45. [Google Scholar] [CrossRef]
- Camper, L. Herwonne Asfalt: Hoe Effektief is Verouderde Bitumen in Bitumen Stabliliseerde Materiale? Bachelor’s Thesis, University of Stellenbosch, Stellenbosch, South Africa, 2012. [Google Scholar]
- Wu, J. The Influence of Mineral Aggregates and Binder Volumetrics on Bitumen Ageing. Ph.D. Thesis, University of Nottingham, Nottingham, UK, 2009. [Google Scholar]
- Zhang, K.; Wen, H.; Hobbs, A. Laboratory Tests and Numerical Simulations of Mixing Superheated Virgin Aggregate with Reclaimed Asphalt Pavement Materials. Transp. Res. Rec. J. Transp. Res. Board 2015, 2506, 62–71. [Google Scholar] [CrossRef]
- JTG E20-2011: Standard Test Methods of Bitumen and Bituminous Mixtures for Highway Engineering; Ministry of Transport of the People’s Republic of China: Beijing, China, 2011.
- Kim, Y.R.; Castorena, C.; Elwardany, M.D.; Rad, F.Y.; Underwood, S.; Akshay, G.; Gudipudi, P.; Farrar, M.J.; Glaser, R.R. Long-Term Aging of Asphalt Mixtures for Performance Testing and Prediction; NCHRP Report 871; The National Academies Press: Washington, DC, USA, 2018. [Google Scholar]
- Zhao, S.; Huang, B.; Shu, X.; Woods, M.E. Quantitative Characterization of Binder Blending: How Much Recycled Binder is Mobilized during Blending? Transp. Res. Rec. J. Transp. Res. Board 2015, 2506, 72–80. [Google Scholar] [CrossRef]
- Bowers, B.; Huang, B.; Shu, X.; Miller, B. Investigation of Reclaimed Asphalt Pavement Blending Efficiency through GPC and FTIR. Constr. Build. Mater. 2014, 50, 517. [Google Scholar] [CrossRef]
- Zhao, S.; Bowers, B.; Huang, B.; Shu, X. Characterizing Rheological Properties of Binder and Blending Efficiency of Asphalt Paving Mixtures Containing RAS through GPC. J. Mater. Civ. Eng. 2014, 26, 941–946. [Google Scholar] [CrossRef]
- Qtaish, A.; Nazzal, L.; Abbas, A.; Kaya, S.; Akinbowale, S.; Arefin, M.S.; Kim, S.-S. Micromechanical and Chemical Characterization of Foamed Warm-Mix Asphalt Aging. J. Mater. Civ. Eng. 2018, 30. [Google Scholar] [CrossRef]












| Index | Unit | Test Results | ||
|---|---|---|---|---|
| RA-A | RA-B | RA-C | ||
| Softening point (Ring and Ball Test) | °C | 67.0 | 83.5 | 64.2 |
| Penetration (25 °C, 100 g, 5 s) | 0.1 mm | 30.0 | 21.1 | 26.6 |
| Ductility (15 °C, 5 cm/min) | cm | 8.0 | 0 | 12.3 |
Publisher’s Note: MDPI stays neutral with regard to jurisdictional claims in published maps and institutional affiliations. |
© 2020 by the authors. Licensee MDPI, Basel, Switzerland. This article is an open access article distributed under the terms and conditions of the Creative Commons Attribution (CC BY) license (http://creativecommons.org/licenses/by/4.0/).
Share and Cite
Meng, Y.; Liu, L. Impact of Preheating Temperatures and RAP Characteristics on the Activation of RAP Binder. Appl. Sci. 2020, 10, 8378. https://doi.org/10.3390/app10238378
Meng Y, Liu L. Impact of Preheating Temperatures and RAP Characteristics on the Activation of RAP Binder. Applied Sciences. 2020; 10(23):8378. https://doi.org/10.3390/app10238378
Chicago/Turabian StyleMeng, Yifu, and Liping Liu. 2020. "Impact of Preheating Temperatures and RAP Characteristics on the Activation of RAP Binder" Applied Sciences 10, no. 23: 8378. https://doi.org/10.3390/app10238378
APA StyleMeng, Y., & Liu, L. (2020). Impact of Preheating Temperatures and RAP Characteristics on the Activation of RAP Binder. Applied Sciences, 10(23), 8378. https://doi.org/10.3390/app10238378
