Abstract
In this paper, conventional and advanced exergy analyses are comprehensively introduced on an innovative transcritical CO2 energy storage based trigeneration system. Conventional exergy analysis can quantify in an independent way the component exergy destruction. However, the advanced technology is able to evaluate the interactions among components and identify the tangible promotion potential by allowing for the technical and economic limitations. In this method, the component exergy destruction is separated into avoidable and unavoidable parts, as well as the endogenous/exogenous parts. Calculation of the split parts is carried out by utilizing the thermodynamic cycle-based approach. Results coming from conventional exergy analysis indicate that the first three largest exergy destructions are given by cold storage, compressor 1, and heat exchanger 3. However, advanced analysis results demonstrate that the cold storage, compressor 1, and compressor 2 should be given the first improvement priority in sequence by depending on the avoidable exergy destruction. The turbine efficiency produces a higher impact on overall exergy destruction than compressor efficiency. The pinch temperature in cold storage causes the highest effect on exergy destruction amongst all the heat exchangers. There exists an optimum value in the compressor inlet pressure and ambient temperature.
1. Introduction
The energy requirement has been marked with a sharp increase worldwide in the last several decades by referring to the statistical data on the consumption of energy resources amongst 69 countries []. In particular, the scarcity of energy is directly intensified due to the significant augment of energy consumption in developing economies like China, India, South Africa, and Brazil, which are accelerating the urbanization process. For example, the energy use in China is inferred to be 15 times larger by 2050 in comparison with that in 1970 []. It is also reported that the oil demand will increase by 30% all around the world from 2007 to 2035 []. The increasing consumption of fossil fuels has brought serious energy shortages, environmental pollution, and global warming [,,]. On one hand, measures can be made to promote the conversion efficiency of the existing energy systems. On the other hand, more efforts should be made to increase the utilization of renewable energies like wind, solar, and biomass energy to improve the currently unreasonable energy structure.
However, the remarkable randomness and intermittency make renewable energies the inordinate and discordant sources when integrated to an electricity grid, bringing the discard of some redundant energy during the dispatching stage []. The technology of compressed air energy storage (CAES) has been proven to be a promising option to integrate the power obtained from renewable resources into the grid system by many researchers [,]. The main demerit of this conventional CAES system is the compressed heat loss, which causes the low efficiency of the system (e.g., the efficiencies of the Huntorf plant is 42%). The advanced adiabatic CAES (AA-CAES) was therefore proposed with high operation efficiency by configuring with thermal energy storage to recover and reutilize the heat of compression [,,,]. Moreover, in the CAES system, storing a huge amount of pressurized air must use large-scale caverns like salt mines, hard rocks, and porous rocks []. The liquid air energy storage [,] is therefore put forward as the solution with the advantages of increasing energy storage density dramatically when storing liquid air. However, the extremely low-temperature requirement for air liquefaction decreases the economic feasibility of liquid and supercritical CAES and its security and reliability.
To use the energy of CAES in step, the combined cooling, heating, and power (CCHP) technology has been developed, which has higher thermal efficiency and lowers operating cost per energy output. A CAES-based CCHP system was proposed and examined thermodynamically in a 300 MW wind farm []. The energy efficiency values of this system were 30.6%, 32.3%, and 92.4% for electrical power, cooling, and heating productions, respectively. Mohammadi et al. [] demonstrated that the CCHP performance was highly dependent upon the gas turbine parameters when coupled with gas turbine and CAES. Han and Guo [] evaluated the thermodynamic performance of a CAES-based CCHP under four different operation strategies of charging-discharging by means of both energy and exergy analyses. Research demonstrated that the sliding-sliding scenario retained the largest cycle, thermal and exergy efficiencies compared to the constant-constant, sliding-constant and constant-sliding operation strategies. A hybrid CCHP was developed by Yan et al. [] by integrating the wind turbine, biogas, and photovoltaic cells resources, in which the CAES compression heat was provided for heating users and the cooling load was satisfied through taking advantage of absorption chiller combining with the cryogenic air from CAES.
Unlike air, CO2 is more susceptible to liquefaction by using current measures []. The working fluid CO2 has high density and favorable heat transfer properties, making the thermal systems extremely compact []. Moreover, researches have highlighted the larger cycle efficiency of the Brayton cycles with non-ideal working fluids than that with ideal gases []. Moreover, plenty of CO2 has to be sequestrated geologically in deep formations in order to lower the emissions of greenhouse gas []. Considering the above aspects, the cycle efficiency of a gas energy storage system is able to be largely enhanced by applying CO2 as a working medium. Moreover, the size of storage tank can be very small, and the greenhouse effect can be well reduced. Wang et al. [] described a CO2-based energy storage technology and the performance analysis intensified its advantage of much higher energy density compared with CAES system. Zhang et al. [] described a CO2 energy storage system with transcritical compression and expansion processes in combination with packed bed regenerator. Results showed that the minimum pressures had a more significant influence on system performance than the maximum pressures. Liu et al. [] proposed an energy storage system by employing two saline aquifers with unequal depths, the round-trip efficiencies of which were 62.28% and 63.35% at transcritical and supercritical conditions, separately.
Conventional exergy analysis is a powerful tool to present the exergy destruction distribution [,]. However, on one hand, the conventional exergy analysis cannot determine the tangible promotion potential of a system component since it considers none of the technical and economic limitations; on the other hand, it cannot evaluate the reciprocal interdependencies among components. Therefore, the advanced exergy analysis was developed recently as the solution to the above issues by separating the exergy destruction of a component into different parts [,,]. This advanced method has been utilized in many energy systems, such as refrigeration cycles [,], supercritical power plant [], underwater CAES [], supercritical CCES [], and trigeneration systems []. In accordance with the open documents, it can be concluded that the advanced exergy analysis offers much more meaningful details that cannot be acquired through resorting to the conventional one. More importantly, the advanced exergy analysis tends to clear, potentially, the misleading deductions obtained from the conventional exergy analysis.
Based on the literature survey, several papers in the literature deal with the CAES-based CCHP system; only one is concerned on the CCHP system based on CCES, which is developed by authors []. Main investigation of the previous work is about the energy efficiency of the CCES-based CCHP system by using the first law of thermodynamics. As a further study, the focus of the present work is to pioneer the advanced exergy analysis of the CCES-based CCHP system. Splitting the component exergy destruction is clearly described. A particular focus is the sensitivity examination of the system to analyze the impacts of some key parameters on system performance. This advanced approach overcomes the most important limitations of a conventional exergetic analysis and, therefore, assists engineers in better understanding how thermodynamic inefficiencies are formed. Conventional exergy analyses only quantify the exergy destruction in different components, but cannot shed light on the interactions between components, while advanced exergy analyses overcome this weakness and uncover more of the accessible potential of the system.
2. Analysis Methods
The schematic diagram of CCES-based CCHP system is depicted in Figure 1, which is composed mainly by two compressors (C), two turbines (T), four heat exchangers (HE), two gas storage tanks (HST and LST), three thermal medium storage tanks (HFT and CFT) and two valves (TV). The pressured water is employed in this work as the thermal storage medium. The system running process is clearly given as follows.

Figure 1.
Schematic of the CCES-based CCHP system.
In the charging stage, the liquid CO2 from LST is first cooled by the throttling action through TV1 to guarantee the CS (cold storage) function, and then is evaporated to gaseous state. The cold energy released is preserved in CS. Afterwards, the gaseous CO2 is compressed to supercritical state powered by abundant electrical power, and is finally stored with supercritical state in HST. Meanwhile, the compression heat absorbed by water in HE1 can be offered to heat user, and the recovered heat by HE2 is stored in HFT1. In the discharging stage, the supercritical CO2 in high pressure passes through TV2 which is used to maintain the inlet pressure of T1 constant, and then enters HE3 for preheating. The heat stored in HFT1 will be supplied for HE3. After that, the CO2 expands through the turbine train to output electricity power. The outlet cryogenic CO2 from T2 provides cooling ability in HE4, which is transferred to ambient air for satisfying the cooling users need. The gaseous CO2 is then condensed in CS, and the liquid CO2 is fed to the LST for application in the next cycle.
2.1. CCHP Model
For the compressor and turbine, isentropic efficiency is provided to represent their actual performance []:
Enthalpy at the exit state is acquired through the property association f by using the REFPROP software []:
where sis,e equals to the inlet entropy during isentropic compression/expansion processes.
The power is calculated by:
For heat exchangers, the properties of supercritical CO2 can largely change in a small temperature band. Therefore, the heat exchanger can be discretized many small sections that each of them can be considered with constant properties []. The discretization is completed by splitting the total enthalpy variation of hot fluid into several equal parts. The heat transfer and mass flow rate of water or air for each section n are respectively calculated by:
The HST and LST are presumed to be completely insulated and the inlet and outlet conditions have no difference []:
Isenthalpic process is assumed through the throttle valve:
The heat transfer rate of CS is written as []:
2.2. Conventional Exergy Analysis
There is absence of chemical reactions in the developed CCHP system and the total exergy can be thus expressed as []:
The specific exergy ej is separated deeply into its thermal and mechanical exergy []:
where the node X is at the pressure p and ambient temperature τ0. Here, thermal exergy is mainly due to the temperature, and mechanical exergy mainly due to the pressure.
The “fuel-product” definition is applied for exergy in the present analysis. At component level, the exergy balance can be expressed as []:
and the exergy balance for overall system is:
where and stands for product and fuel exergy, respectively. is the exergy that will not be used further in the system. It is noteworthy that is considered merely for the overall system rather than for a specific component.
The following definitions are introduced to assess the exergy conversion rate in the conventional exergy analysis [,,]:
Exergy efficiency of a component:
The system exergy efficiency:
The ratio of exergy destruction:
The relative exergy destruction:
In Table 1, the fuel and product exergy is listed by referring to [,].

Table 1.
The exergy definitions in the CCHP system based on TC-CCES.
2.3. Advanced Exergy Analysis
Advanced exergy analysis [,,,] is introduced into the novel CCHP system based on TC-CCES to make the quality of the conclusions from conventional method better. Exergy destruction is separated into detailed parts, e.g., unavoidable/avoidable parts and endogenous/exogenous parts. Moreover, more valuable details can be received by combining the above two splitting measures for improving the system performance. It is noteworthy that exergy destruction is due to irreversibilities within the system, and exergy loss is the exergy transfer to the environment. Here, exergy loss is associated with the overall system but not with a component because each exergy stream exiting a component is considered either at the fuel or at the product side. Therefore, it is mainly concerned the exergy destruction in this section.
The component exergy destruction is not only dependent on the irreversibility occurring within the component itself, but also related to the interconnections among different components, which can therefore be written as:
where and stands for the parts that determined by the component itself and the other components, respectively.
The component exergy destruction is able to be alternatively separated to the unavoidable part and avoidable part :
where will always exists owning to the technological limitations, while could be lessened by improvement measure. The splitting approach proposes the real potential to improve a specific component.
By coupling the above two concepts, four more detailed parts can be erected as follows:
where and stand for the parts that can be and cannot be lessened, respectively, when the component works in the best running mode; and are the parts that can be and cannot be decreased, respectively, through promoting the characteristics of the other components and the system integration.
The thermodynamic cycle-based method [] is adopted in the work to compute each part of exergy destruction. This approach for splitting the exergy destruction into different parts is based on the analysis of thermodynamic cycles. When the method is used, the real thermodynamic cycle, unavoidable thermodynamic cycle, and hybrid thermodynamic cycle should be defined. The real cycle means that the components in the system operate with real processes. Conventional exergy analysis is conducted just depending upon this cycle. The unavoidable cycle is formed by using the current best operating parameter of the components, which is limited by the technological limitations. The unavoidable part can be written as:
where is the unavoidability indicator. It is calculated through dividing product exergy by exergy destruction in the unavoidable cycle.
In the hybrid cycle, the component considered operates with real condition. The other components work at ideal conditions []: the component exergy destruction reaches zero if possible or otherwise the minimum value. In this case, the endogenous exergy destruction of the kth component can be obtained directly.
The unavoidable endogenous part of the exergy destruction is based on hybrid cycles and the cycle for the unavoidable exergy destruction mentioned above, and it is calculated by the following equation:
3. Result and Discussion
Detailed performance analyses are performed in this section through solving the real, unavoidable and hybrid thermodynamic cycles. The computing procedure is compiled in MATLAB and the fluid properties are resorted to the REFPROP database and subroutines. The flow chart of the calculation procedure is illustrated in Figure 2. Design parameters of the CCES-based CCHP system are shown in Table 2 and the three set of assumptions given for the real, unavoidable, and ideal cycles are summarized in Table 3. It is noted here that ambient temperature is chosen as the reference temperature for the exergy analysis in this work. The system exergy efficiency εtot at the real cycle is 56.25% while at the unavoidable cycle it is 74.79%. This demonstrates that the system efficiency can be enhanced largely, attracting interest in the CCHP system based on TC-CCES concept. In addition, the exergy efficiency is almost equivalent with the CCHP system based on CAES (εtot = 56.48 []). However, a large advantage of the system based on TC-CCES is its much higher exergy density (the ratio of total output exergy to the total volume of tanks []), 7.07 times of the value for CAES-based CCHP system. This authenticates the presented CCHP system as a promising option for satisfying the diversified need of users.

Figure 2.
The flow chart of the calculation procedure.

Table 2.
Design parameters of the developed CCHP system.

Table 3.
Values at real, unavoidable and ideal cycles [,,].
3.1. Comparison of the Analysis Methods
Table 4 lists the fundamental results calculated from the conventional exergy analysis on CCHP system. It is found that the CS possesses the biggest exergy destruction () and the lowest exergy efficiency () except for HE3 and HE4. The reason can be given that two phase-transition processes in CS results in high irreversible loss. The second biggest exergy destruction rate is located in C1 with , followed by HE3, C2, T2, T1, and HE2 in sequence (, , , , ). The exergy destruction rates within TV2, HE1, TV1, HE4 are rather low, and together, they account for only 10.49% of the system exergy destruction. In addition, it is seen that HE2 and HE3 located in supercritical state have much more irreversible loss than HE1 and HE4 (, ) within gaseous state. The logical explanation behind this phenomenon can be given in two aspects. The mass flow of cooling water is larger for supercritical CO2 owning to its higher specific heat. Moreover, the properties of supercritical CO2 are more sensitive to temperature, and thus a larger temperature difference will occur to guarantee the set pinch temperature. For instance, the upper terminal temperature difference of HE1 and HE2 are 5 K and 34.15 K, respectively. From the system point, the total fuel exergy originates from the power supplied to compressors, and is the summation of the power produced in turbines and the heating and cooling exergy. The overall system has an exergy efficiency of 56.25%, and therefore 43.20% of the system fuel exergy is destroyed.

Table 4.
Conventional exergy analysis results.
Using the approach aforesaid, all detailed exergy parts are shown in Table 5. One can notice that the endogenous part is much larger than the exogenous part, implying that the exergy destruction within each component is mainly induced by its own irreversibility. The exogenous part is zero for C2, HE2 and all throttle valves, indicating that for these components the exergy destructions are introduced only by their endogenous irreversibility. The negative exogenous exergy destructions within turbines and HE3 mean that enhancing the irreversible loss in other system components lessens the exergy destruction within these components. It is concluded that the communications of components in the CCHP system based on TC-CCES are not strong but rather complex. One can also see in Table 5 that only turbomachineries and CS possess higher avoidable part than unavoidable part and therefore 48.5% of the system exergy destruction cannot be eliminated in the studied condition. The CS exists the largest magnitude of avoidable part ( kW), followed by compressors and turbines. In addition, the reader should concentrate mainly on and . It is observed that all the components except of HE4 and TV2 have larger than , which demonstrates that the elimination of energy losses in the system depends mainly on improving the performance of components themselves. Very readable foundation is shown by concentrating on . The data of is negative, which clears that can be lessened by raising the magnitude of its pinch temperature which results in a decline of the liquid carrying capacity at the outlet of T2.

Table 5.
Advanced exergy analysis results (kW).
Table 6 lists the promotion priority of all the components in the presented CCHP system based on TC-CCES determined by different analysis methods. It can be observed that high diverse happens between conventional and advanced priorities because of different criteria. For an instance, the HE3 is considered the third priority in conventional exergy analysis. However, it is the eighth component for optimization in the advanced method. In short, the advanced exergy method offers much more trustworthy results since both technological limitations of each component and the interconnections among components are considered.

Table 6.
Improvement priority of components.
3.2. Parametric Study
Conducting a parametric study is of significance by varying a parameter alone at the fixed remaining values in order to evaluate the characteristics of the exergy destruction. Therefore, the efficiencies of compressors and turbines (η), pinch temperatures of heat exchangers and CS (Δτmin), pressure drop in TV2 (ΔpTV2), storage pressure in HST (p7), compressor inlet pressure (p3) and ambient temperature (τamb) are examined individually. Figure 3, Figure 4, Figure 5, Figure 6, Figure 7, Figure 8 and Figure 9 depict the impacts of the parameters on the results achieved from both conventional and advanced exergy analyses.
3.2.1. Effects of the Component Performance
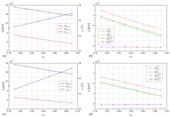
In this section the dependency of the examined parameters is investigated on each turbomachinery efficiency as the remaining parameters are retained the identical values as in Table 2 and for the real condition in Table 3. Since the effects of turbomachinery efficiency shares similar behavior, only the results from the examination of C1 and T1 efficiencies are illustrated in Figure 3 for simplicity and clarity. As seen in Figure 3a,c, an increase of C1 efficiency and T1 efficiency both lead to the decreasing and , and the increasing εtot. The increase in εtot can be ascribed to a smaller power depletion coming from larger compressor efficiency and a higher power production because of larger turbine efficiency, respectively. A change of 0.01 in ηC1 alters and by 37.58 kW and 38.30 kW, respectively, while the change of and are separately 25.98 kW and 43.00 kW with the same change in ηT1. It is found that although the variation of the turbine exergy destruction is smaller than that in compressor, the turbine efficiency makes a higher influence on system exergy destruction. This can be explained that the CCHP system based on TC-CCES is a closed loop thermodynamic cycle, and thus the outlet thermodynamic state from turbine will influence the power consumed in compressor. More detailed and fascinating features are identified in Figure 3b,d, which indicates that the increase in turbomachinery efficiency causes a relatively large decline in the endogenous part, avoidable part, and avoidable endogenous part of exergy destruction. Moreover, the avoidable exogenous part keeps almost the same constant versus efficiency. The results demonstrate that the exergy destructions in compressor and turbine can be decreased mainly by promoting the same component itself. In a word, larger turbomachinery efficiency favors reducing the exergy destruction.

Figure 3.
Effects of turbomachinery efficiency: (a) conventional and (b) advanced exergy analysis results versus compressor 1 efficiency; (c) conventional and (d) advanced exergy analysis results versus turbine 1 efficiency.
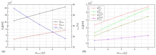
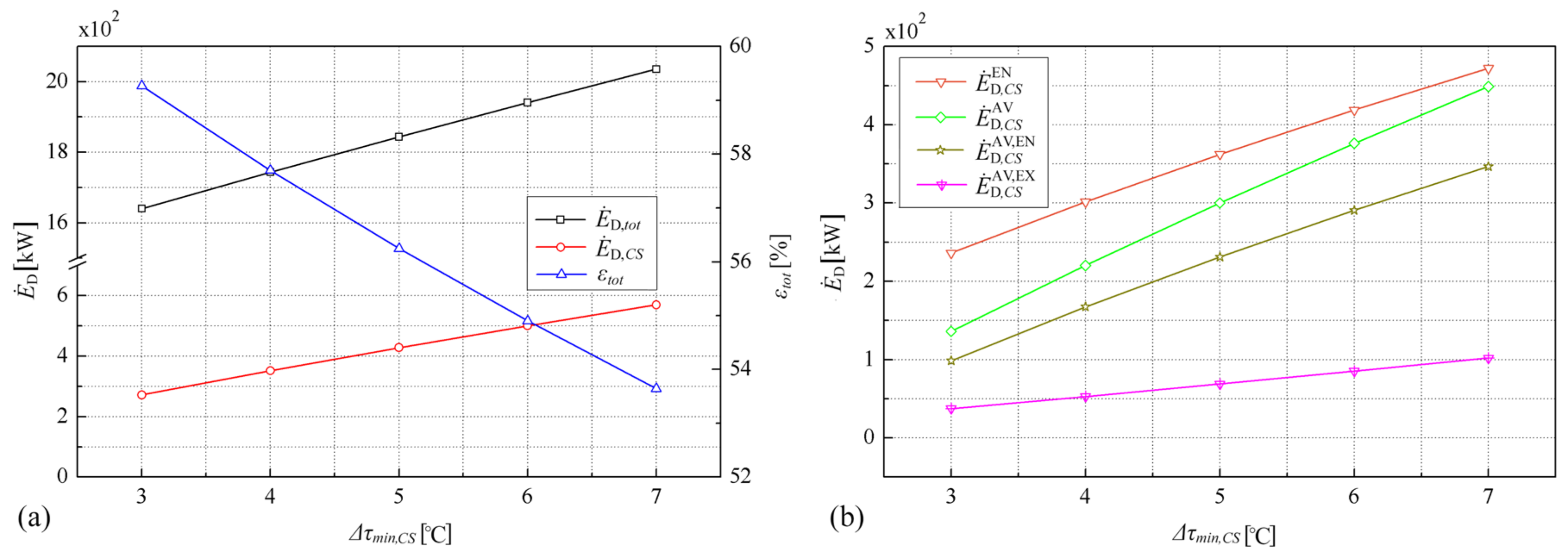
Figure 4 depicts the influence of pinch temperature in CS (Δτmin,CS) on exergy analysis results. It is observed in Figure 4a that an increase of Δτmin,CS results in a relatively large rise of the CS exergy destruction and the exergy destruction in overall system , and therefore a decline of total exergy efficiency εtot. A 1 °C degree increment of Δτmin,CS will increase and by 58.99 kW and 74.49 kW respectively, leading to a quite large potential for improvement. As can be seen in Figure 4b, one can notice that tendencies depicted for the split parts of exergy destruction , , and are similar, all increasing monotonically with Δτmin,CS. Moreover, the is larger than , and the difference becomes larger with the increase of Δτmin,CS since the increasing trend of the former part is sharper than the latter one. This make it clear that a reduction of is of more dependence on improving the performance of CS itself. In short, a smaller Δτmin,CS favors the system performance for decreasing the exergy destruction and enhancing system exergy efficiency.
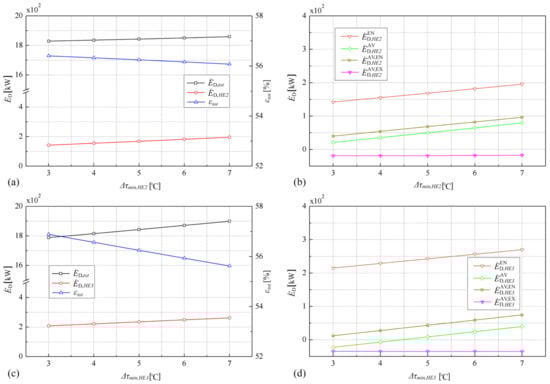
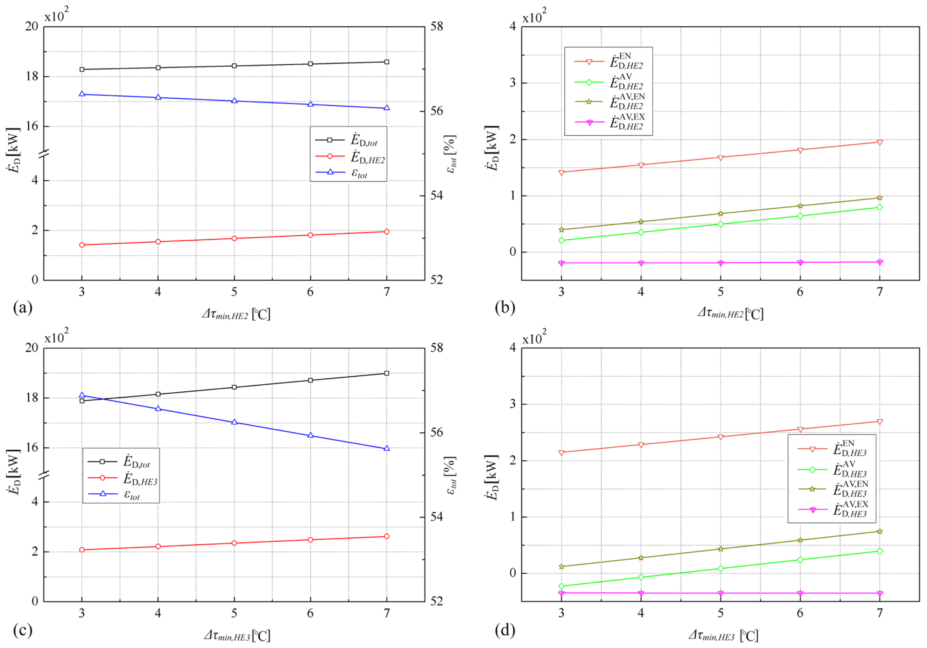
Figure 5 shows the variation of exergy destructions and εtot by changing the pinch temperature in HE2 and HE3. The results of exergy analyses for HE1 and HE4 are not given in this section since the values of their exergy destruction rate are rather small. It is pointed out that analyzing the component with high exergy destruction is more meaningful and advisable []. It is seen in Figure 5a,c that an increase in HE pinch temperature Δτmin,HE shifts up and with a sensitivity of 13.40 kW and 7.60 kW for HE2 and 13.48 kW and 27.78 kW for HE3 respectively per Celsius degree. However, the avoidable part is so small, as shown in Figure 5b,d, that results in a rather low potential of improvement.

Figure 4.
Effects of pinch temperature in cold storage: (a) conventional exergy analysis results; (b) advanced exergy analysis results.

Figure 5.
Effects of pinch temperature in heat exchangers: (a) conventional and (b) advanced exergy analysis results versus pinch temperature in heat exchanger 2; (c) conventional and (d) advanced exergy analysis results versus pinch temperature in heat exchanger 3.
3.2.2. Effects of the Operating Parameters
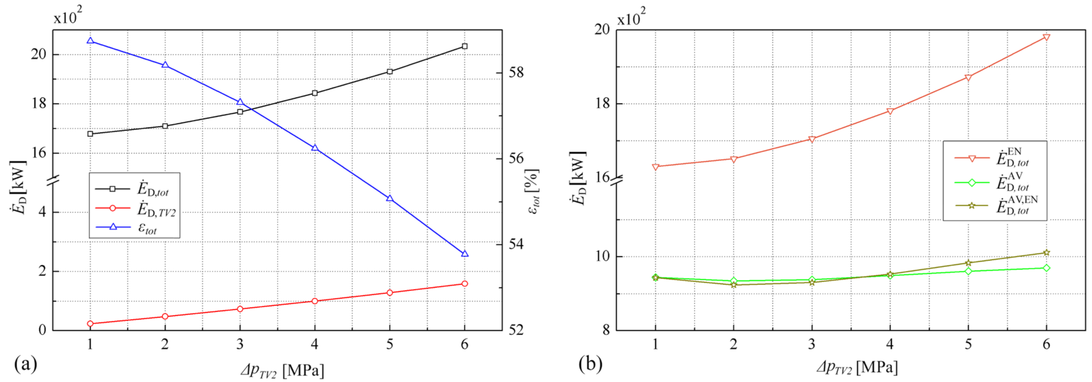
The pressure drop in the TV2 (ΔpTV2) has a large impact on the power production of the turbine. Figure 6 illustrates that a rise in ΔpTV2 introduces an increase of the exergy destruction for both TV2 and system ( and ) with sensitivities of 27.05 kW and 71.24 kW per MPa, respectively. The decreasing system exergy efficiency εtot originates in the decline of the turbine inlet pressure. The variation tendency of the endogenous exergy destruction in overall system is similar to since very most of comes from . Moreover, the system avoidable exergy destruction is almost the same as the avoidable endogenous part, both decreasing slowly and then increasing gradually.

Figure 6.
Effects of pressure drop in throttle valve 2: (a) conventional exergy analysis results; (b) advanced exergy analysis results.
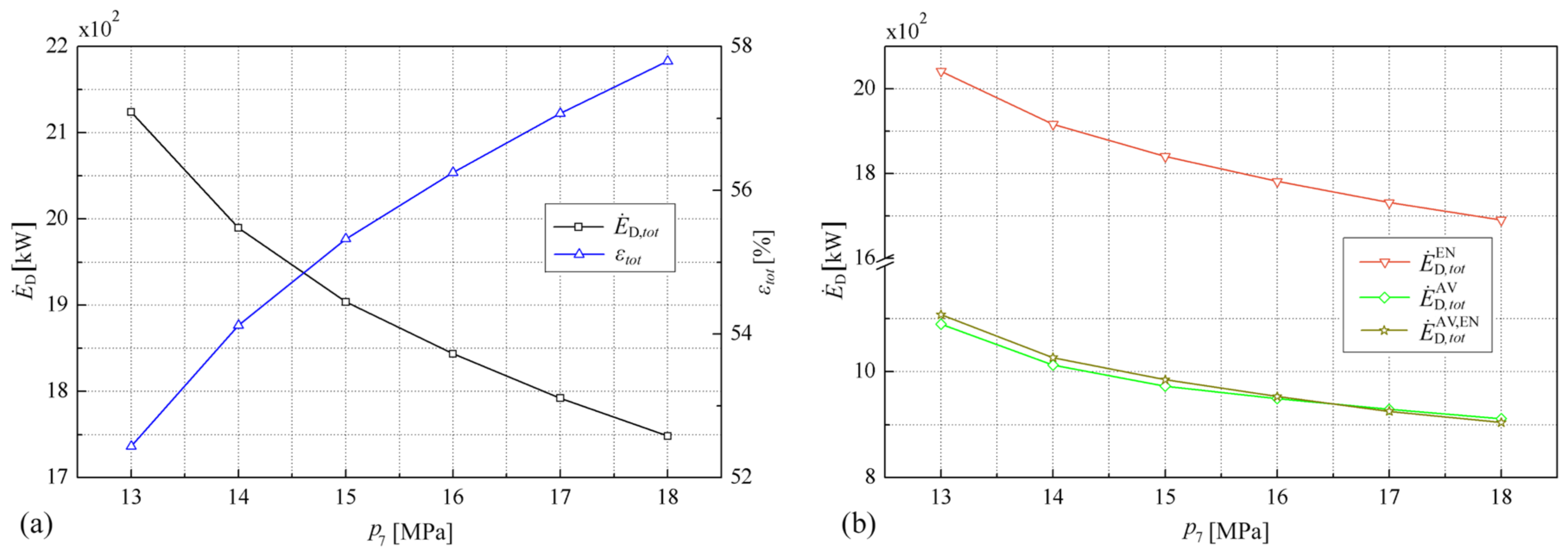
The storage pressure in HST p7 has a significance role in determining the power consumed in compressor and the power produced in turbine. Figure 7 illustrates the variation of system exergy destructions and exergy efficiency by varying the storage pressure. A rise in storage pressure produces a decline in overall system exergy destruction with sensitivity of 75.10 kW per MPa, and thus the decreasing causes an increase in system total exergy efficiency εtot. Therefore, the system endogenous part , avoidable part , and avoidable endogenous part all decrease with storage pressure.

Figure 7.
Effects of storage pressure: (a) conventional exergy analysis results; (b) advanced exergy analysis results.
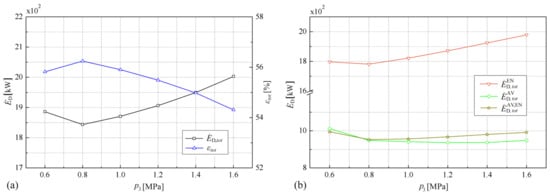
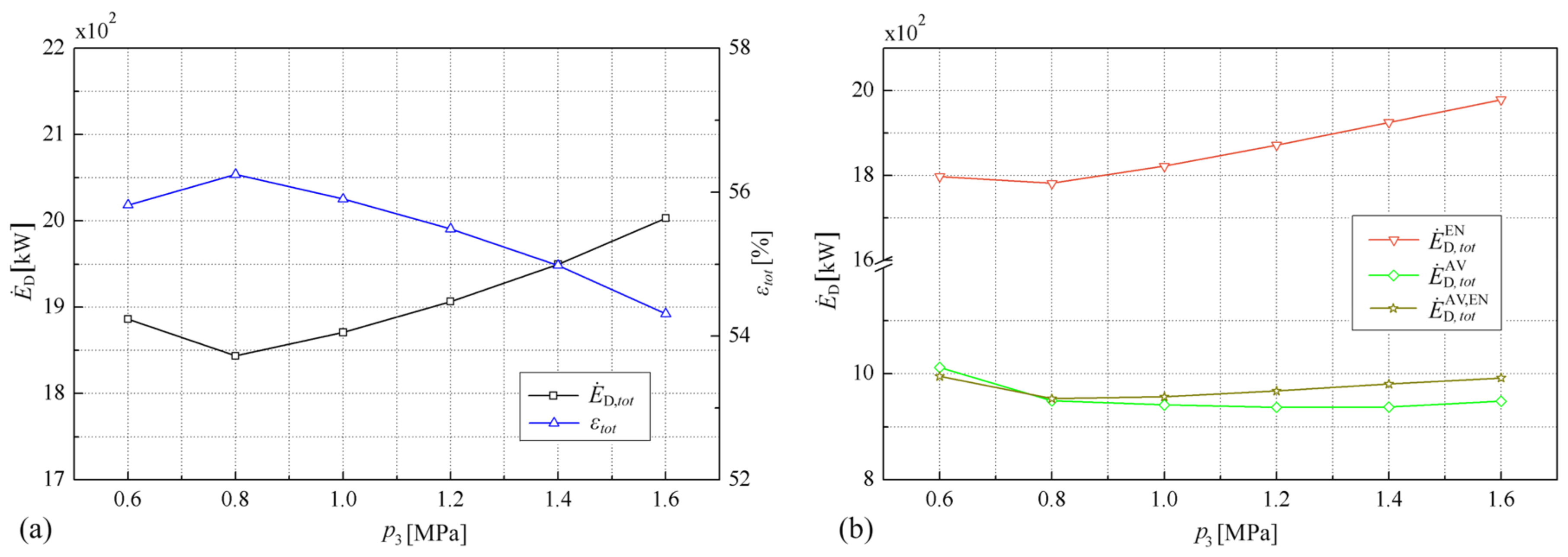
Figure 8 describes the variation of system exergy destructions and exergy efficiency by changing the compressor inlet pressure (p3). It is observed that with an increase in compressor inlet pressure, the system exergy destruction decreases firstly with sensitivity of 21.26 kW per 0.1 MPa and then increases monotonically with sensitivity of 19.95 kW per 0.1 MPa. This phenomenon can be explained below. With a higher compressor inlet pressure, the exergy destruction of CS is decreased, and the changing extent becomes smaller with the increasing compressor inlet pressure, while the exergy destruction of compressors, heat exchangers and TV2 shows a larger increase. Therefore, the system exergy destruction decreases firstly and then increase. Moreover, the system exergy efficiency εtot increases firstly and then decreases monotonically corresponding to . The tendencies of , and are similar with .

Figure 8.
Effects of compressor inlet pressure: (a) conventional exergy analysis results; (b) advanced exergy analysis results.
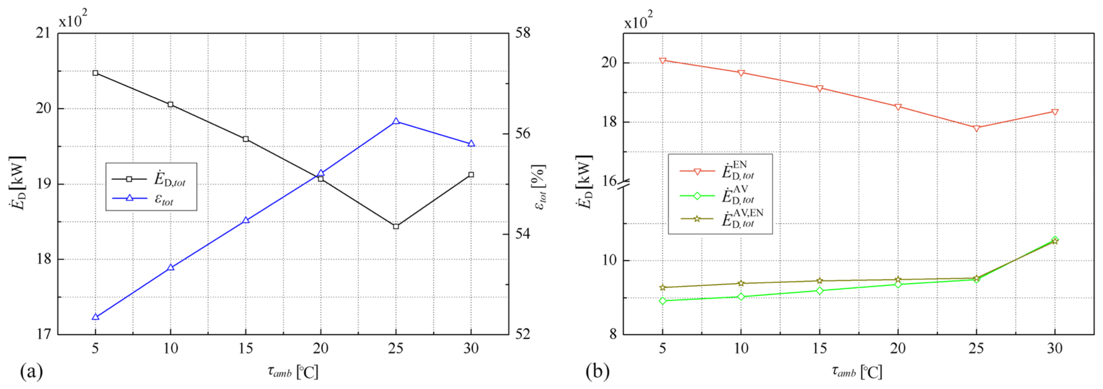
Figure 9 presents the impact of ambient temperature (τamb) on system exergy destructions and exergy efficiency. It is observed that with an increase in ambient temperature, the system exergy destruction decreases firstly with sensitivity of 10.19 kW per Celsius degree and then increases monotonically with sensitivity of 13.78 kW per Celsius degree. The exergy destruction of heat exchangers is decreased with a higher ambient temperature, while the exergy destruction of CS shows a reverse trend. Moreover, with a larger ambient temperature, the change extent of exergy destruction within CS becomes larger than that within heat exchangers. Therefore, the refraction occurs in the figure. Simultaneously, the system exergy efficiency εtot increases firstly and then decreases monotonically corresponding to . Tendencies of , , and are similar with .

Figure 9.
Effects of ambient temperature: (a) conventional exergy analysis results; (b) advanced exergy analysis results.
4. Conclusions
In this paper, exergy analysis based on both the conventional and advanced technology is utilized to a novel CCHP system based on TC-CCES. Some important conclusions are drawn as follows.
(1) Based on the results obtained from conventional exergy analysis, the biggest exergy destruction exists in cold storage, followed by compressor 1 and heat exchanger 3. Heat exchanger with supercritical working fluid produces much more irreversible loss than that with gaseous working fluid. The system keeps an overall exergy efficiency of 56.25%.
(2) More interesting features can be obtained from advanced exergy analysis. Dividing exergy destruction into exogenous /endogenous parts clarifies that the component interactions in the system are not very sound but rather complex. Dividing exergy destruction into avoidable/unavoidable parts uncovers the real improvement potential and identifies heat exchanger 3 as the eighth component to be improved, amending the misleading conclusion deduced based on conventional exergy analysis results. The overall system exergy efficiency is 74.79% under the unavoidable condition, indicating a great improvement potential to the CCHP system based on TC-CCES.
(3) Sensitivity analysis demonstrates that an increase in turbomachinery efficiency and a reduction of pinch temperature in the heat exchanger and cold storage within technological permission benefits the system characteristics in terms of decreasing exergy destruction and increasing system exergy efficiency. Moreover, the efficiency in turbine keeps a higher influence on overall system exergy destruction than compressor efficiency. In addition, a smaller pressure drop in throttle valve 2 and a larger storage pressure are helpful for improving system exergy efficiency, and there exists optimum value through evaluating compressor inlet pressure and ambient temperature.
The application of advanced exergy analysis to the CCHP system based on TC-CCES provides more valuable and detailed information for the optimization of the system. The advanced exergy analysis can be considered as a meaningful supplement to the conventional exergy analysis.
Author Contributions
Conceptualization, W.S. and Z.L.; methodology, W.S. and Z.L.; validation, W.S. and Z.L.; formal analysis, W.S. and Z.L.; writing—original draft preparation, W.S.; writing—review and editing, Z.L. All authors have read and agreed to the published version of the manuscript.
Funding
This research received no external funding.
Conflicts of Interest
The authors declare no conflict of interest.
Nomenclature
Symbols | ε | exergy efficiency | |
power (kW) | Δ | change quantity | |
h | specific enthalpy (kJ/kg) | ||
mass flow rate (kg/s) | Subscripts | ||
heat transfer rate (kW) | C | compressor | |
τ | temperature (K) | is | isentropic |
exergy flow rate (kW) | T | turbine | |
s | specific entropy (kJ/kg.K) | i | inlet |
e | specific exergy flow rate (J/kg) | e | exit |
y | exergy destruction ratio | CO2 | carbon dioxide |
y* | relative exergy destruction | LST | low-pressure storage tank |
p | pressure (MPa) | HST | high-pressure storage tank |
CS | cold storage | ||
Abbreviations | hot | high-temperature stream | |
CAES | compressed air energy storage | cold | low-temperature sream |
AA-CAES | advanced adiabatic CAES | j | stream number |
CCHP | combined cooling, heating and power | 0 | ambient state |
CO2 | carbon dioxide | F | fuel |
CCES | compressed CO2 energy storage | P | product |
TC-CCES | transcritical CCES | D | destruction |
C | compressor | k | the k-th component |
T | turbine | tot | total |
HE | heat exchanger | L | loss |
HST | high-pressure storage tank | ||
TV | throttle valve | Superscripts | |
CS | cold storage | PH | physical |
LST | low-pressure storage tank | τ | thermal |
CR | cooler | M | mechanical |
CFT | cold fluid tank | AV | avoidable |
HFT | hot fluid tank | UN | unavoidable |
EN | endogenous | ||
Greeks | EX | exogenous | |
η | efficiency |
References
- Sharma, S.S. Determinants of carbon dioxide emissions: Empirical evidence from 69 countries. Appl. Energy 2011, 88, 376–382. [Google Scholar] [CrossRef]
- Berardi, U. Building energy consumption in US, EU, and BRIC countries. Procedia Eng. 2015, 118, 128–136. [Google Scholar] [CrossRef]
- Liu, Z.; Liu, Z.H.; Xin, X.; Yang, X. Proposal and assessment of a novel carbon dioxide energy storage system with electrical thermal storage and ejector condensing cycle: Energy and exergy analysis. Appl. Energy 2020, 269, 115067. [Google Scholar] [CrossRef]
- Liu, Z.; Liu, B.; Guo, J.; Xin, X.; Yang, X. Conventional and advanced exergy analysis of a novel transcritical compressed carbon dioxide energy storage system. Energy Convers. Manag. 2019, 198, 111807. [Google Scholar] [CrossRef]
- Budt, M.; Wolf, D.; Span, R.; Yan, J. A review on compressed air energy storage: Basic principles, past milestones and recent developments. Appl. Energy 2016, 170, 250–268. [Google Scholar] [CrossRef]
- China Electricity Council. Statistical Data of National Electric Power Industry. 2017. Available online: http://www.cec.org.cn/ (accessed on 24 November 2020).
- Arabkoohsar, A.; Machado, L.; Koury, R. Operation analysis of a photovoltaic plant integrated with a compressed air energy storage system and a city gate station. Energy 2016, 98, 78–91. [Google Scholar] [CrossRef]
- Lund, H.; Salgi, G. The role of compressed air energy storage (CAES) in future sustainable energy systems. Energy Convers. Manag. 2009, 50, 1172–1179. [Google Scholar] [CrossRef]
- Barbour, E.; Mignard, D.; Ding, Y.; Li, Y. Adiabatic compressed air energy storage with packed bed thermal energy storage. Appl. Energy 2015, 155, 804–815. [Google Scholar] [CrossRef]
- Luo, X.; Wang, J.; Krupke, C.; Wang, Y.; Sheng, Y.; Li, J.; Xu, Y.; Wang, D.; Miao, S.; Chen, H. Modelling study, efficiency analysis and optimisation of large-scale adiabatic compressed air energy storage systems with low-temperature thermal storage. Appl. Energy 2016, 162, 589–600. [Google Scholar] [CrossRef]
- Wang, S.; Zhang, X.; Yang, L.; Zhou, Y.; Wang, J. Experimental study of compressed air energy storage system with thermal energy storage. Energy 2016, 103, 182–191. [Google Scholar] [CrossRef]
- Yang, K.; Zhang, Y.; Li, X.; Xu, J. Theoretical evaluation on the impact of heat exchanger in advanced adiabatic compressed air energy storage system. Energy Convers. Manag. 2014, 86, 1031–1044. [Google Scholar] [CrossRef]
- Sciacovelli, A.; Vecchi, A.; Ding, Y. Liquid air energy storage (LAES) with packed bed cold thermal storage—From component to system level performance through dynamic modelling. Appl. Energy 2017, 190, 84–98. [Google Scholar] [CrossRef]
- Guizzi, G.; Manno, M.; Tolomei, L.; Vitali, R. Thermodynamic analysis of a liquid air energy storage system. Energy 2015, 93, 1639–1647. [Google Scholar] [CrossRef]
- Guo, H.; Xu, Y.; Chen, H.; Zhou, X. Thermodynamic characteristics of a novel supercritical compressed air energy storage system. Energy Convers. Manag. 2016, 115, 167–177. [Google Scholar] [CrossRef]
- Arabkoohsar, A.; Dremark-Larsen, M.; Lorentzen, R.; Andresen, G. Subcooled compressed air energy storage system for coproduction of heat, cooling and electricity. Appl. Energy 2017, 205, 602–614. [Google Scholar] [CrossRef]
- Mohammadi, A.; Ahmadi, M.; Bidi, M.; Joda, F.; Valero, A.; Uson, S. Exergy analysis of a Combined Cooling, Heating and Power system integrated with wind turbine and compressed air energy storage system. Energy Convers. Manag. 2017, 131, 69–78. [Google Scholar] [CrossRef]
- Han, Z.; Guo, S. Investigation of operation strategy of combined cooling, heating and power (CCHP) system based on advanced adiabatic compressed air energy storage. Energy 2018, 160, 290–308. [Google Scholar] [CrossRef]
- Yan, Y.; Zhang, C.; Li, K.; Wang, Z. An integrated design for hybrid combined cooling, heating and power system with compressed air energy storage. Appl. Energy 2018, 201, 1151–1166. [Google Scholar] [CrossRef]
- Liu, Z.; Liu, Z.H.; Yang, X.Q.; Zhai, H.; Yang, X.H. Advanced exergy and exergoeconomic analysis of a novel liquid carbon dioxide energy storage system. Energy Convers. Manag. 2020, 205, 112391. [Google Scholar] [CrossRef]
- Austin, B.; Sumathy, K. Transcritical carbon dioxide heat pump systems: A review. Renew. Sustain. Energy Rev. 2011, 15, 4013–4029. [Google Scholar] [CrossRef]
- Kimball, K.; Clementoni, E. Supercritical carbon dioxide brayton power cycle development overview. In Proceedings of the ASME Turbo Txpo 2012: Turbine Technical Conference and Exposition, Copenhagen, Denmark, 11–15 June 2012. [Google Scholar]
- Zhou, Q.; Birkholzer, J.; Tsang, C.; Rutqvist, J. A method for quick assessment of CO2 storage capacity in closed and semi-closed saline formations. Int. J. Greenh. Gas Control 2008, 2, 626–639. [Google Scholar] [CrossRef]
- Wang, M.; Zhao, P.; Wu, Y.; Dai, Y. Performance analysis of a novel energy storage system based on liquid carbon dioxide. Appl. Therm. Eng. 2015, 91, 812–823. [Google Scholar] [CrossRef]
- Zhang, Y.; Yang, K.; Hong, H.; Zhong, X.; Xu, J. Thermodynamic analysis of a novel energy storage system with carbon dioxide as working fluid. Renew. Energy 2016, 99, 682–697. [Google Scholar] [CrossRef]
- Liu, H.; He, Q.; Borgia, A.; Pan, L.; Oldenburg, C. Thermodynamic analysis of a compressed carbon dioxide energy storage system using two saline aquifers at different depths as storage reservoirs. Energy Convers. Manag. 2016, 127, 149–159. [Google Scholar] [CrossRef]
- Fernandes, A.; Woudstra, T.; Wijk, A.; Verhoef, L.; Aravind, P. Fuel cell electric vehicle as a power plant and SOFC as a natural gas reformer: An exergy analysis of different system designs. Appl. Energy 2016, 173, 13–28. [Google Scholar] [CrossRef]
- Ahmadi, P.; Dincer, I.; Rosen, M. Exergy, exergoeconomic and environmental analyses and evolutionary algorithm based multi-objective optimization of combined cycle power plants. Energy 2011, 36, 5886–5898. [Google Scholar] [CrossRef]
- Tsatsaronis, G.; Moung-Ho, P. On avoidable and unavoidable exergy destructions and investment costs in thermal systems. Energy Convers. Manag. 2002, 43, 1259–1270. [Google Scholar] [CrossRef]
- Kelly, S. Energy Systems Improvement based on Endogenous and Exogenous Exergy Destruction. Ph.D. Thesis, Technischen University Berlin, Berlin, Germany, 2008. [Google Scholar]
- Kelly, S.; Tsatsaronis, G.; Morosuk, T. Advanced exergetic analysis: Approaches for splitting the exergy destruction into endogenous and exogenous parts. Energy 2009, 34, 384–391. [Google Scholar] [CrossRef]
- Morosuk, T.; Tsatsaronis, G. A new approach to the exergy analysis of absorption refrigeration machines. Energy 2008, 33, 890–907. [Google Scholar] [CrossRef]
- Chen, J.; Havtun, H.; Palm, B. Conventional and advanced exergy analysis of an ejector refrigeration system. Appl. Energy 2015, 144, 139–151. [Google Scholar] [CrossRef]
- Yang, Y.; Wang, L.; Dong, C.; Xu, G.; Morosuk, T.; Tsatsaronis, G. Comprehensive exergy-based evaluation and parametric study of a coal-fired ultrasupercritical power plant. Appl. Energy 2013, 112, 1087–1099. [Google Scholar] [CrossRef]
- Wang, Z.; Xiong, W.; Ting, D.; Carriveau, R. Conventional and advanced exergy analyses of an underwater compressed air energy storage system. Appl. Energy 2016, 180, 810–822. [Google Scholar] [CrossRef]
- He, Q.; Liu, H.; Hao, Y.; Liu, Y.; Liu, W. Thermodynamic analysis of a novel supercritical compressed carbon dioxide energy storage system through advanced exergy analysis. Renew. Energy 2018, 127, 835–849. [Google Scholar] [CrossRef]
- Anvari, S.; Saray, R.; Bahlouli, K. Conventional and advanced exergetic and exergoeconomic analyses applied to a tri-generation cycle for heat, cold and power production. Energy 2015, 91, 925–939. [Google Scholar] [CrossRef]
- Liu, Z.; Cao, F.; Guo, J.; Liu, J.; Zhai, H.; Duan, Z. Performance analysis of a novel combined cooling, heating and power system based on carbon dioxide energy storage. Energy Convers. Manag. 2019, 188, 151–161. [Google Scholar] [CrossRef]
- Lemmon, E.; Huber, M.; McLinden, M. NIST Standard Reference Database 23: Reference Fluid Thermodynamic and Transport Properties-REFPROP; Version 9.1.; NIST NSRDS: Gaithersburg, MA, USA, 2013. [Google Scholar]
- Morosuk, T.; Tsatsaronis, G.; Zhang, C. Conventional thermodynamic and advanced exergetic analysis of a refrigeration machine using a Voorhees’ compression process. Energy Convers. Manag. 2012, 60, 143–151. [Google Scholar] [CrossRef]
Publisher’s Note: MDPI stays neutral with regard to jurisdictional claims in published maps and institutional affiliations. |
© 2020 by the authors. Licensee MDPI, Basel, Switzerland. This article is an open access article distributed under the terms and conditions of the Creative Commons Attribution (CC BY) license (http://creativecommons.org/licenses/by/4.0/).