Enhancing Friction Pendulum Isolation Systems Using Passive and Semi-Active Dampers
Abstract
1. Introduction
2. Isolation System
2.1. Friction Pendulum System
2.2. Semi-Active FPS
2.3. Phase Control Law
2.4. Energy-Predictive-Based Control Law
3. Isolator Design
3.1. Excitation
3.1.1. Serviceability Earthquake
3.1.2. Design Earthquake
3.2. Performance Index
- →
- Normalized Peak Acceleration
- →
- Normalized RMS Acceleration
- →
- Normalized Bearing Displacement
- →
- Normalized RMS Bearing Displacement
- →
- Normalized Structure Drift
- →
- Normalized RMS Structure Drift
- →
- Normalized Mechanical Energy Structure
- →
- Normalized Mechanical Energy System
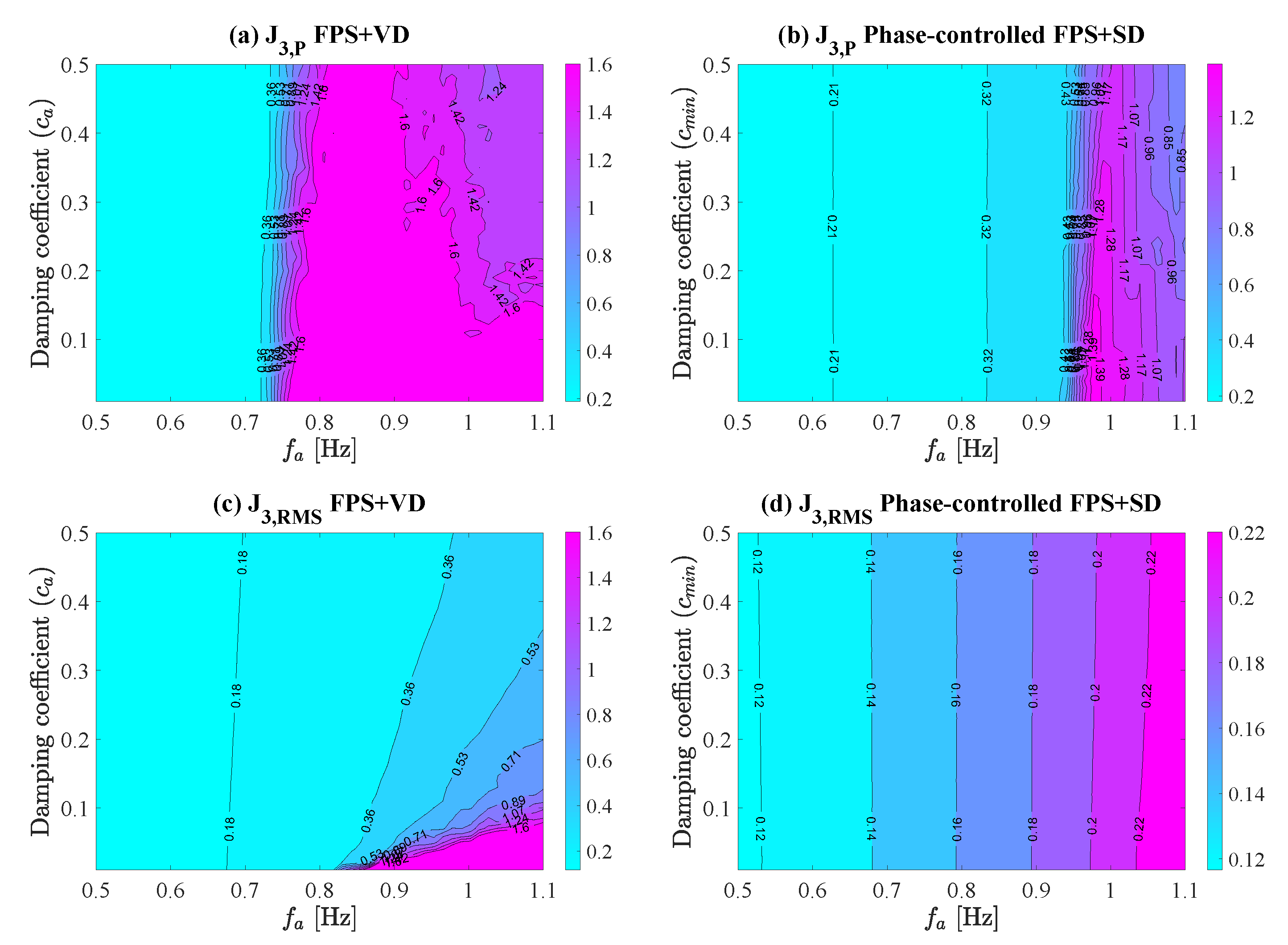
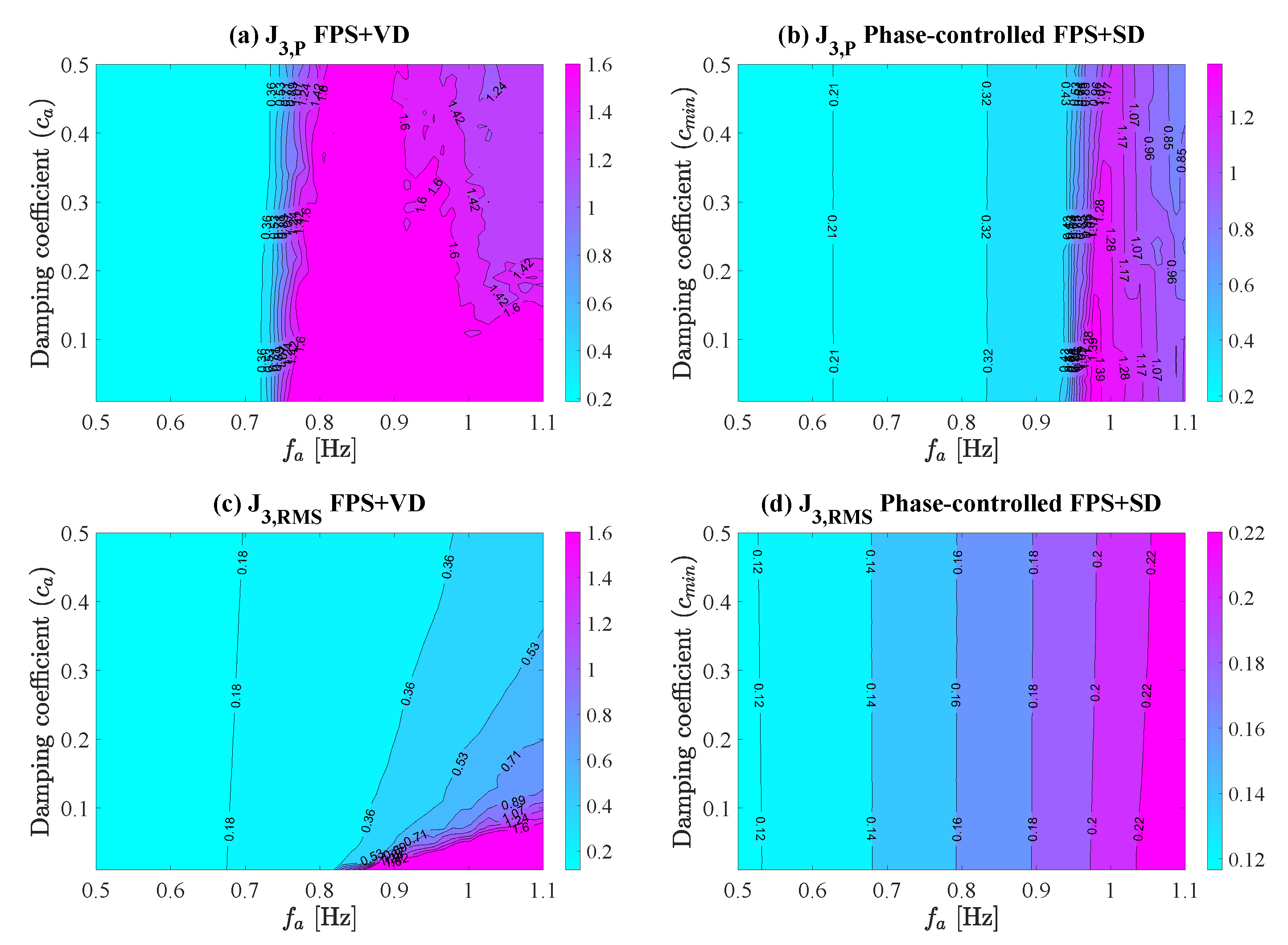
3.3. Sensitivity Analysis
3.4. Optimization Problem
- Step 1. Single FPS (Figure 4a) under the serviceability earthquake. The performance function is defined as:
- Step 2. FPS+VD or FPS+SD (Figure 4b,c) under the design earthquake. The performance function is defined as:
4. Example of Design
5. Results and Analysis
5.1. Performance under Several Earthquakes
5.2. Performance Discussion
6. Concluding Remarks
- The FPS with low friction exhibits large bearing displacements under the design earthquake, while the FPS with high friction is not able to cope with the bearing displacement demand under the serviceability earthquake, producing undesirable residual displacements when the earthquake ends.
- The implementation of an FPS+VD allows us to use a concave plate with low friction, increasing thus the re-centering capacity and avoiding the residual displacements.
- The FPS+SD controls the bearing plate displacement acting when needed: avoiding stroke saturation under large ground motions and showing a very low friction FPS under serviceability ground motions. Additionally, for a similar performance as compared to a single FPS or the FPS+VD, the plate size for the FPS+SD may be significantly smaller.
- The single FPS performance depends importantly on the friction coefficient value; however, the FPS equipped with a damper is robust to changes of the friction coefficients, showing better performance when the damper is semi-active.
- The FPS+SD has similar behavior with a phase control and an energy-predictive-based control. However, the implementation of phase control in practice could be easily implementable as compared to energy control. The phase control requires to measure the response in acceleration and this is possible using directly an accelerometer in the concave plate. The energy-predictive-based control requires measuring the velocity and displacement of the structure and, this process could take a longer time for multi-story buildings. Additionally, an accurate model is needed to get this law to be effective.
- All studied configurations have been testing for the eight selected earthquakes and the FPS+SD has a robust and effective performance under earthquakes differently located.
Author Contributions
Funding
Conflicts of Interest
References
- ACSE. Minimum Design Loads and Associated Criteria for Buildings and Other Structures; The American Society of Civil Engineers: Reston, VA, USA, 2017. [Google Scholar]
- Akiyama, H. Earthquake-Resistant Design Method for Buildings Based on Energy Balance; Reverté, S.A.: Tokyo, Japan, 2002. [Google Scholar]
- Aguiar, R.; Vergara, F.; Monge, J.P. Análisis Sísmico de una Estructura con Aisladores FPS de Primera y Segunda Generación y Elastoméricos Con Núcleo De Plomo. Rev. Int. Ing. Estructuras 2014, 19, 35–89. [Google Scholar]
- Ponzo, F.; Di Cesare, A.; Leccese, G.; Nigro, D. Standard Requirements for the Recentring Capability of Curved Surface Sliders. Ing. Sismica 2019, 3, 3323–3332. [Google Scholar]
- Fenz, D.; Constantinou, M. Spherical Sliding Isolation Bearings with Adaptive Behavior: Theory. Earthq. Eng. Struct. Dyn. 2008, 37, 163–183. [Google Scholar] [CrossRef]
- Weber, F.; Distl, J.; Braun, C. Isolation Performance Assessment of Adaptive Behaviour of Triple Friction Pendulum. J. Civ. Eng. Res. 2017, 7, 17–33. [Google Scholar]
- Quaglini, V.; Gandelli, E.; Dubini, P. Numerical Investigation of Curved Surface Sliders under Bidirectional Orbits. Ing. Sismica 2019, 2, 1–19. [Google Scholar]
- Aguiar, R.; Morales, E.; Guaygua, B.; Rodríguez, M. Método Simplificado para el Análisis Sísmico de Estructuras con Aisladores FPS de Tercera Generación. Rev. Int. Metod. Numer. Para Calc. Diseño Ing. 2017, 33, 103–109. [Google Scholar] [CrossRef]
- Ponzo, F.; Di Cesare, A.; Leccese, G.; Nigro, D. Shake Table Testing on Restoring Capability of Double Concave Friction Pendulum Seismic Isolation Systems: Restoring Capability of Friction. Earthq. Eng. Struct. Dyn. 2017, 46, 2337–2353. [Google Scholar] [CrossRef]
- Weber, F.; Distl, H.; Braun, C. Isolation Performance of Optimized Triple Friction Pendulum. Int. Ref. J. Eng. Sci. 2016, 5, 55–69. [Google Scholar]
- Domenico, D.; Gandeli, E.; Quanglini, V. Adaptive Isolation System Combining Low-friction Sliding Pendulum Bearings and SMA-Based Gap Dampers. Eng. Struct. 2020, 212, 110536. [Google Scholar] [CrossRef]
- Spencer, B., Jr.; Dyke, S.; Deoskar, H. Benchmark Problems in Structural Control: Part I—Active Mass Driver System. Earthq. Eng. Struct. Dyn. 1998, 27, 1127–1139. [Google Scholar] [CrossRef]
- Chang, M.C.; Spencer, B., Jr. Active Base Isolation of Buildings Subjected to Seismic Excitations. Earthq. Eng. Struct. Dyn. 2010, 39, 1493–1512. [Google Scholar] [CrossRef]
- Johnson, E.; Ramallo, J.C.; Spencer, B.; Sain, M. Intelligent Base Isolation Systems. In Proceedings of the Second World Conference on Structural Control, Kyoto, Japan, 28 June–1 July 1998; pp. 1–10. [Google Scholar]
- Xu, Y.; Li, B. Hybrid Platform for High-Tech Equipment Protection against Earthquake and Microvibration. Earthq. Eng. Struct. Dyn. 2006, 35, 943–967. [Google Scholar] [CrossRef]
- Kim, H.; Roschke, P. Design of Fuzzy Logic Controller for Smart Base Isolation System using Genetic Algorithm. Eng. Struct. 2006, 28, 84–96. [Google Scholar] [CrossRef]
- Koo, J.H.; Ahmadian, M.; Setareh, M.; Murray, T.M. In Search of Suitable Control Methods for Semi-Active Tuned Vibration Absorbers. J. Vib. Control 2004, 10, 163–174. [Google Scholar] [CrossRef]
- Weber, F.; Distl, H.; Braun, C. Semi-Active Base Isolation of Civil Engineering Structures Based on Optimal Viscous Damping and Zero Dynamic Stiffness. Conf. Proc. Soc. Exp. Mech. Ser. 2017, 2, 1–9. [Google Scholar]
- Zhang, D.; Pan, P.; Zeng, Y.; Guo, Y. A Novel Robust Optimum Control Algorithm and Its Application to Semi Active Controlled Base Isolated Structures. Bull. Earthq. Eng. 2020, 18, 2431–2460. [Google Scholar] [CrossRef]
- Gu, X.; Yu, Y.; Li, Y.; Li, J.; Askari, M.; Samali, B. Experimental Study of Semi-Active Magnetorheological Elastomer Base Isolation System using Optimal Neuro Fuzzy Logic Control. Mech. Syst. Signal Process. 2019, 119, 380–398. [Google Scholar] [CrossRef]
- Spencer, B., Jr.; Yang, G.; Carlson, J.D.; Sain, M. “Smart” Dampers for Seismic Protection of Structures: A Full-Scale Study. In Proceedings of the Second World Conference on Structural Control, Kyoto, Japan, 28 June–1 July 1998. [Google Scholar]
- Fu, W.; Zhang, C.; Sun, L.; Askari, M.; Samali, B.; Chung, K.; Sharafi, P. Experimental Investigation of a Base Isolation System Incorporating MR Dampers with the High-Order Single Step Control Algorithm. Appl. Sci. 2017, 7, 344. [Google Scholar] [CrossRef]
- Preumont, S.; Seto, K. Active Control of Structures; John Wiley & Sons, Ltd.: Hoboken, NJ, USA, 2008. [Google Scholar]
- Zelleke, D.; Matsagar, V. Energy-Based Predictive Algorithm for Semi-Active Tuned Mass Dampers. Struct. Des. Tall Spec. Build. 2019, 12, 1–20. [Google Scholar] [CrossRef]
- Agudelo, J.A. ACELSIN©. Available online: https://estructurando.net/descargas/software/ (accessed on 8 February 2020).
- Gasparini, D.; Vanmarcke, E. Simulated Earthquake Motions Compatible with Prescribed Responde Spectra; Department of Civil Engineering, Massachussets Institute of Technology: Cambridge, MA, USA, 1976. [Google Scholar]
- PEER. The Web-Based Pacific Earthquake Engineering Research Center. Available online: https://https://ngawest2.berkeley.edu (accessed on 8 July 2020).
- Shook, D.; Lin, P.; Lin, T.; Roschke, P. A Comparative Study in the Semi-Active Control of Isolated Structures. Smart Mater. Struct. 2007, 16, 1433. [Google Scholar] [CrossRef]



















| Modal Parameters | |||
|---|---|---|---|
| Structure | Value | ||
| Mass | 24,000 | kg | |
| Frequency | Hz | ||
| Damping ratio | % | ||
| Damping | kg/s | ||
| Stiffness | N/m | ||
| FPS+VD/FPS+SD | Value | ||
| Mass | 240 | kg | |
| Frequency | to | Hz | |
| Friction coefficient | to | % | |
| Viscous damper | to | kg/s | |
| Semi-active damper | to | kg/s | |
| Semi-active damper | kg/s | ||
| System | Reduction (%) | ||||
|---|---|---|---|---|---|
| Non-isolated structure | - | - | - | 0.833 | 0.00 |
| 0.671 | 0.05 | - | 0.834 | 0.00 | |
| FPS+VD | 0.647 | 0.05 | 0.500 | 0.791 | 5.04 |
| FPS+SD (Phase control) | 0.684 | 0.05 | 0.480 | 0.564 | 32.29 |
| FPS+SD (Energy control) | 0.745 | 0.05 | 0.240 | 0.571 | 31.45 |
| 0.671 | 0.20 | - | 0.529 | 36.49 |
| System | ||||||||
|---|---|---|---|---|---|---|---|---|
| Non-isolated structure | 1.000 | 1.000 | - | - | 1.000 | 1.000 | 1.000 | 1.000 |
| 0.522 | 0.446 | 3.111 | 0.975 | 0.313 | 0.297 | 0.848 | 0.178 | |
| FPS+VD | 0.478 | 0.419 | 3.015 | 0.886 | 0.286 | 0.263 | 0.692 | 0.141 |
| FPS+SD (Phase control) | 0.434 | 0.359 | 1.891 | 0.469 | 0.239 | 0.225 | 0.209 | 0.052 |
| FPS+SD (Energy control) | 0.473 | 0.385 | 1.778 | 0.413 | 0.273 | 0.245 | 0.173 | 0.051 |
| 0.476 | 0.408 | 1.420 | 0.257 | 0.274 | 0.321 | 0.081 | 0.033 |
| Earthquake | System | |||||||||
|---|---|---|---|---|---|---|---|---|---|---|
| Non−isolated | 1.000 | 1.000 | - | - | 1.000 | 1.000 | 1.000 | 1.000 | 0.833 | |
| 0.760 | 0.554 | 0.071 | 0.013 | 0.492 | 0.544 | 0.408 | 0.318 | 0.486 | ||
| Livermore | FPS+VD | 0.776 | 0.580 | 0.056 | 0.009 | 0.495 | 0.566 | 0.395 | 0.336 | 0.495 |
| 0.648 | 0.433 | 0.078 | 0.018 | 0.482 | 0.455 | 0.369 | 0.233 | 0.434 | ||
| USA | 0.655 | 0.547 | 0.050 | 0.008 | 0.482 | 0.532 | 0.345 | 0.297 | 0.458 | |
| 1.133 | 1.072 | 0.010 | 0.003 | 1.059 | 1.068 | 1.287 | 1.190 | 0.900 | ||
| Non−isolated | 1.000 | 1.000 | - | - | 1.000 | 1.000 | 1.000 | 1.000 | 0.833 | |
| 0.864 | 0.763 | 0.069 | 0.019 | 0.441 | 0.486 | 0.418 | 0.310 | 0.511 | ||
| FPS+VD | 0.868 | 0.760 | 0.052 | 0.017 | 0.432 | 0.479 | 0.390 | 0.298 | 0.504 | |
| 0.897 | 0.761 | 0.069 | 0.023 | 0.460 | 0.453 | 0.426 | 0.285 | 0.517 | ||
| USA | 0.855 | 0.773 | 0.065 | 0.016 | 0.487 | 0.515 | 0.415 | 0.330 | 0.530 | |
| 0.953 | 1.288 | 0.110 | 0.011 | 1.656 | 1.484 | 2.459 | 2.255 | 1.191 | ||
| Non−isolated | 1.000 | 1.000 | - | - | 1.000 | 1.000 | 1.000 | 1.000 | 0.833 | |
| 0.352 | 0.177 | 0.793 | 0.114 | 0.140 | 0.123 | 0.166 | 0.049 | 0.288 | ||
| Corinth | FPS+VD | 0.346 | 0.176 | 0.766 | 0.113 | 0.132 | 0.123 | 0.160 | 0.046 | 0.279 |
| 0.345 | 0.178 | 0.820 | 0.114 | 0.148 | 0.127 | 0.158 | 0.046 | 0.294 | ||
| GREECE | 0.303 | 0.185 | 0.618 | 0.087 | 0.157 | 0.140 | 0.113 | 0.044 | 0.260 | |
| 0.332 | 0.267 | 0.597 | 0.067 | 0.258 | 0.248 | 0.124 | 0.077 | 0.327 | ||
| Non−isolated | 1.000 | 1.000 | - | - | 1.000 | 1.000 | 1.000 | 1.000 | 0.833 | |
| Northridge | 0.597 | 0.407 | 1.156 | 0.239 | 0.248 | 0.181 | 0.766 | 0.202 | 0.473 | |
| FPS+VD | 0.596 | 0.405 | 1.126 | 0.227 | 0.231 | 0.176 | 0.684 | 0.180 | 0.461 | |
| USA | 0.588 | 0.392 | 0.863 | 0.152 | 0.245 | 0.176 | 0.340 | 0.116 | 0.418 | |
| 0.602 | 0.408 | 0.759 | 0.133 | 0.268 | 0.185 | 0.294 | 0.115 | 0.415 | ||
| 0.607 | 0.514 | 0.581 | 0.098 | 0.357 | 0.370 | 0.274 | 0.180 | 0.464 | ||
| Non−isolated | 1.000 | 1.000 | - | - | 1.000 | 1.000 | 1.000 | 1.000 | 0.833 | |
| 0.338 | 0.221 | 0.827 | 0.190 | 0.125 | 0.126 | 0.234 | 0.065 | 0.294 | ||
| FPS+VD | 0.333 | 0.221 | 0.803 | 0.190 | 0.117 | 0.125 | 0.230 | 0.062 | 0.286 | |
| 0.344 | 0.220 | 0.824 | 0.175 | 0.129 | 0.132 | 0.197 | 0.057 | 0.296 | ||
| USA | 0.312 | 0.227 | 0.617 | 0.143 | 0.145 | 0.147 | 0.155 | 0.057 | 0.266 | |
| 0.392 | 0.279 | 0.465 | 0.090 | 0.218 | 0.240 | 0.116 | 0.073 | 0.302 | ||
| Non−isolated | 1.000 | 1.000 | - | - | 1.000 | 1.000 | 1.000 | 1.000 | 0.833 | |
| 0.231 | 0.204 | 0.239 | 0.049 | 0.161 | 0.189 | 0.131 | 0.054 | 0.198 | ||
| Irpinia | FPS+VD | 0.243 | 0.213 | 0.251 | 0.049 | 0.159 | 0.199 | 0.132 | 0.057 | 0.204 |
| 0.242 | 0.218 | 0.241 | 0.047 | 0.163 | 0.205 | 0.124 | 0.057 | 0.205 | ||
| ITALY | 0.261 | 0.230 | 0.206 | 0.038 | 0.182 | 0.219 | 0.107 | 0.059 | 0.213 | |
| 0.510 | 0.511 | 0.200 | 0.030 | 0.455 | 0.502 | 0.315 | 0.268 | 0.439 | ||
| Non−isolated | 1.000 | 1.000 | - | - | 1.000 | 1.000 | 1.000 | 1.000 | 0.833 | |
| 0.523 | 0.360 | 0.279 | 0.056 | 0.164 | 0.239 | 0.289 | 0.0974 | 0.288 | ||
| Iwate | FPS+VD | 0.522 | 0.362 | 0.286 | 0.057 | 0.161 | 0.240 | 0.301 | 0.098 | 0.289 |
| 0.554 | 0.373 | 0.294 | 0.056 | 0.183 | 0.255 | 0.292 | 0.105 | 0.307 | ||
| JAPAN | 0.577 | 0.383 | 0.239 | 0.043 | 0.199 | 0.276 | 0.223 | 0.105 | 0.312 | |
| 0.735 | 0.561 | 0.218 | 0.026 | 0.438 | 0.516 | 0.345 | 0.281 | 0.484 | ||
| Non−isolated | 1.000 | 1.000 | - | - | 1.000 | 1.000 | 1.000 | 1.000 | 0.833 | |
| 0.488 | 0.227 | 0.438 | 0.047 | 0.080 | 0.084 | 0.043 | 0.018 | 0.233 | ||
| Darfield | FPS+VD | 0.484 | 0.229 | 0.411 | 0.047 | 0.076 | 0.087 | 0.044 | 0.019 | 0.227 |
| 0.491 | 0.233 | 0.421 | 0.047 | 0.088 | 0.090 | 0.043 | 0.019 | 0.235 | ||
| NEW | 0.512 | 0.237 | 0.324 | 0.037 | 0.109 | 0.095 | 0.035 | 0.019 | 0.231 | |
| ZEALAND | 0.579 | 0.303 | 0.312 | 0.027 | 0.186 | 0.201 | 0.062 | 0.051 | 0.295 |
| Serviceability Earthquake | ||||||
| System | Reduction (%) | |||||
| 0.300 | 0.867 | 0.05 | - | 0.491 | 50.90 | |
| FPS+VD | 0.300 | 0.867 | 0.05 | 0.500 | 0.504 | 49.60 |
| FPS+SD (Phase control) | 0.300 | 0.867 | 0.05 | 0.480 | 0.480 | 52.00 |
| FPS+SD (Energy control) | 0.300 | 0.867 | 0.05 | 0.240 | 0.470 | 53.00 |
| 0.300 | 0.867 | 0.20 | - | 0.930 | 7.00 | |
| Design Earthquake | ||||||
| System | Reduction (%) | |||||
| 0.300 | 0.867 | 0.05 | - | 5.614 | 0.00 | |
| FPS+VD | 0.300 | 0.867 | 0.05 | 0.500 | 1.476 | 0.00 |
| FPS+SD (Phase control) | 0.300 | 0.867 | 0.05 | 0.480 | 0.608 | 39.20 |
| FPS+SD (Energy control) | 0.300 | 0.867 | 0.05 | 0.240 | 0.612 | 38.80 |
| 0.300 | 0.867 | 0.20 | - | 0.599 | 40.10 | |
© 2020 by the authors. Licensee MDPI, Basel, Switzerland. This article is an open access article distributed under the terms and conditions of the Creative Commons Attribution (CC BY) license (http://creativecommons.org/licenses/by/4.0/).
Share and Cite
Barrera-Vargas, C.A.; Díaz, I.M.; Soria, J.M.; García-Palacios, J.H. Enhancing Friction Pendulum Isolation Systems Using Passive and Semi-Active Dampers. Appl. Sci. 2020, 10, 5621. https://doi.org/10.3390/app10165621
Barrera-Vargas CA, Díaz IM, Soria JM, García-Palacios JH. Enhancing Friction Pendulum Isolation Systems Using Passive and Semi-Active Dampers. Applied Sciences. 2020; 10(16):5621. https://doi.org/10.3390/app10165621
Chicago/Turabian StyleBarrera-Vargas, Christian A., Iván M. Díaz, José M. Soria, and Jaime H. García-Palacios. 2020. "Enhancing Friction Pendulum Isolation Systems Using Passive and Semi-Active Dampers" Applied Sciences 10, no. 16: 5621. https://doi.org/10.3390/app10165621
APA StyleBarrera-Vargas, C. A., Díaz, I. M., Soria, J. M., & García-Palacios, J. H. (2020). Enhancing Friction Pendulum Isolation Systems Using Passive and Semi-Active Dampers. Applied Sciences, 10(16), 5621. https://doi.org/10.3390/app10165621
