You are currently viewing a new version of our website. To view the old version click .
Administrative Sciences
  • Article
  • Open Access

11 January 2025

Exploring the Effects of Financial Knowledge on Better Decision-Making in SMEs

,
,
,
,
,
and
1
Department of Industrial Management I, University of Seville, 41092 Seville, Spain
2
Faculty of Administrative and Accounting Sciences, Peruvian University of Los Andes, Huancayo 12000, Peru
*
Author to whom correspondence should be addressed.
This article belongs to the Special Issue Effective Leadership and Management in the Sustainable Development of Small and Medium-Sized Enterprises

Abstract

The knowledge on financial management highly matters as it assists the micro-entrepreneurs in the making of right and sustainable business decisions. This research seeks to examine the effects of financial literacy on microenterprise decision-making in order to improve rational decision-making in financial management. A structured questionnaire with Likert-scaled options was used to measure micro-entrepreneurs’ financial decision-making capacity in terms of information processing and decision-making. They demonstrate a favorable relationship between financial education and rationality, which refers to micro-entrepreneurs’ capacity to select from a range of acceptable options. Based on the findings presented in this research, it is suggested that greater efforts should be paid to the integration of financial literacy within any form of entrepreneurial training targeting improvement in sustainability dimensions and qualities of decisions made by micro-entrepreneurs. Through increased financial knowledge, micro-entrepreneurs can manage financial problems effectively and thereby support the growth of sustainable microenterprises. Moreover, such observations suggest that all future policies must focus on and incorporate financial literacy as the defining strategy towards the improvement of the microenterprise sector and, therefore, economic growth.

1. Introduction

People are usually familiar with the concept of purchasing power because it is a fundamental aspect of life and influences numerous economic choices on a daily basis. However, preparation for making appropriate financial decisions remains insufficient. Knowledge and training have become essential for raising living standards, creating growth opportunities, and forming sound financial practices that enable wise choices to be made at every stage of life, all of which support a stronger economy. This scenario requires making assertive financial decisions for both an individual and a businessperson so that it may provide the indicated and satisfy the objective of enhancing the standard of living and narrowing the gap of economic inequality between countries. It is carried out by the provision of financial literacy, which leads to social inclusion and reduction in the rate of over-indebtedness. Financial education promotes changes in knowledge, behavior, and attitudes, without socioeconomic or cultural discrimination, benefiting both individuals and institutions. This means buying financial products and services in a reasoned and sensible way, following the buyer’s skills depending on the income level, and leaning on the support of regulating agencies for the protection of the consumer’s interests.
The analysis presented addresses the innovative strategies adopted by micro-entrepreneurs in response to the COVID-19 pandemic, highlighting the importance of financial education in rational decision-making. It is noted that a large amount of microenterprises had to renegotiate their contracts with suppliers or go into family debts, while the medium and large enterprises had to borrow from banks. Regarding these decisions, women had very active participation. Measures taken because of the pandemic included discounts, home delivery, and the widening of products and services. In addition, the rapid adaptation of micro-entrepreneurs to digital media is noteworthy, which was long overdue. Nevertheless, people’s insufficient financial literacy has resulted in the growth of delinquency and might pose further threats to the financial sphere and the economy of the country. This research also points out that informality in micro and small businesses has grown significantly in the context of the study, affecting employment and business closures. The lack of sufficient state programs for SMEs and the necessity of financial literacy are the key problems. Many problems of an economic nature have to be addressed for the quality of life to be improved, and financial education has not been given the deserved place in curricula. The study establishes that microenterprises contribute a large amount of employment and GDP income in Peru, though they are faced with challenges resulting from inadequate financial literacy. Late payments and lack of liquidity are recurring problems, exacerbated by the granting of long-term loans, which are not adequate for the needs of microenterprises. It is concluded that it is urgent to implement adequate financial education to improve the sustainability of enterprises and the country’s economy (INEI, 2022).
This study has been conducted within a time frame of December 2022 to October 2023, and the findings have been affected by this time horizon. The study focuses on micro-entrepreneurs, who constitute the social group of interest, and is carried out in a specific geographical area, specifically in the Marketing and Licensing Division of a municipality in Peru. From a social perspective, this research has the potential to benefit micro-entrepreneurs in the commercial sector, especially in regions of the Selva Central. Here, financial literacy is introduced as an essential component that is discussed as the main factor for all businessmen and businesswomen. Thus, it helps to create family budgets, start saving practices, and make reasonable decisions on credits and insurance so that we can support the longevity of proper financial management. This research focuses on analyzing the relationship between financial education and decision-making of micro-entrepreneurs, with a particular focus on how these variables interact in the context of small and medium-sized enterprises, which is a critical aspect for their sustainable development. Specific issues are broken down into several key areas: the relationship between the family budget and decision-making, the impact of savings on business decisions, the influence of credits on business management, and the role of insurance in decision-making. These aspects are fundamental to understanding how micro-entrepreneurs can improve their financial management and, therefore, their long-term sustainability. In other words, the research gap addressed by this research is to attend to the fact that there is not a deep literature regarding understanding the impact of financial literacy on the decision-making of micro-entrepreneurs in implementing their businesses, especially in countries with adverse economic environments such as Peru, where microenterprises struggle to meet cash and working capital needs for their businesses. The general objective of the research is to establish the relationship between financial education and decision-making of micro-entrepreneurs, providing a framework to improve the effectiveness of leadership and management in the sustainable development of small and medium-sized enterprises. Specific objectives include identifying the relationships between family budget, savings, credit, and insurance with business or financial decision-making. Therefore, the following research questions can be stated:
RQ1.
How does financial education influence micro-entrepreneurs’ decision-making?
RQ2.
What is the impact of financial education on the long-term sustainability of microenterprises?
RQ3.
How do elements of financial education, such as household budgeting, savings, credit, and insurance, interact in the business management of microenterprises?
The structure of the research is designed to address the objectives in a systematic manner. It starts with the problem statement, which comprises the goals, the reasoning, the formulation, the delimitation, and the description of the problematic reality. The theoretical framework focuses on conceptualizing the own background in Peru and internationally, the theoretical and scientific bases, and the conceptual framework of the variables and dimensions. In the research hypothesis, there are the general and specific hypotheses with conceptual and operational definitions of the variables. Finally, the methodology covers the research method, the type, level, and design of the research, as well as the population, sample, data collection techniques, data processing and analysis, and the ethical aspects of the research. This comprehensive approach not only seeks to contribute to academic knowledge but also to offer practical tools to improve the management and sustainability of microenterprises in a context of increasing economic complexity.

2. Theoretical Framework

Financial education is based on four pillars: savings, family budget, credits, and insurance. These elements are essential for financial management in households and for evaluating the financial behavior of the population. Public and private institutions and non-profit organizations have expressed their concern about the impact of financial education on individual and national income. Ultimately, increasing financial knowledge is vital to developing skills and competencies that allow informed and rational decisions to be made, thus maximizing economic well-being (Mungaray et al., 2021). In this context, the present research was developed with the aim of determining the relationship between financial education and decision-making by micro-entrepreneurs. The methodology used was the scientific method, specifically the hypothetical-deductive method, with a non-experimental correlational descriptive design. The research, at a relational level, adopted a quantitative approach on a population of 361 owners, with a sample of 186 micro-entrepreneurs. The technique used was a survey, and the instrument, a Likert scale questionnaire. The economic situation in Peru reflects a worrying trend in the Latin American region; according to the report by S&P Global Ratings, banks are facing a decline in capitalization and asset quality indicators. In Peru, there are situations with liquidity and profitability problems, driven by factors such as inflation, rising interest rates, political uncertainty, and unemployment. In a similar context, Mexico has implemented financial education courses in its educational curriculum from early childhood education, with the support of the public and private sectors. It aims to raise the awareness and advancement of such a goal or concept commonly referred to as financial health or the state of being financially inclusive. Once the population reaches an adequate level of financial education, the government promotes individual economic progress through access to financial products and services, such as savings, credit, insurance, and retirement plans. The process entails making rational decisions in situations, especially where short-term negative impacts may affect personal and business finances (World Bank, 2022). From a macroeconomic perspective, accurate decision-making in the financial sector is crucial in the fight against poverty indices within an individual and a nation. Specifically, financial education and facilities of the formal FS have numerous advantages, especially for SPMs. Such advantages include the setting of plans for handling economic exigencies and leveraging chance during an effective production phase. In Mexico these strategies have helped in enhancing social need fulfillment and economic enfranchisement of the inhabitants, especially the women.
Business finance has been considered an important aspect of knowledge in the field of industrial organization and business management with special reference to SMEs. In this regard, and from a Peruvian point of view, we find studies such as the following: Rengifo Tuesta and Silva Cayao (2022) conducted a study in the hardware sector of Tarapoto, where a moderate positive relationship was determined between financial education and decision-making, with a correlation coefficient of 0.942. This means that financial education has a direct control over 89 percent of decisions made in this sector. From a theoretical point of view, the study is based on fundamental works such as the “Master Book of Financial Education” (BAC-Credomatic Financial Network, 2009) and “Administration” (Robbins & Coulter, 2018), which address the variables of financial education and financial decision-making, respectively. The present study offers an approach to problem solving and a presentation of solutions to the specific problems and needs of the analyzed context; at the same time, they form a basis for future research. Methodologically, although no explicit justification is presented, the study adapts instruments from previous research, such as ref. (Rojas, 2020), which explores the improvement of micro-entrepreneurs’ decision-making through financial education. This methodological adaptation provides a measure of specificity to the variables at issue consistent with the agenda of sustainability and sound empirical growth of SMEs discussed in the literature on leadership and efficient management practices in the sustainable development of SMEs.
On the other hand, Pérez et al. (2021) investigated the relationship between financial education and personal finances of small and micro-entrepreneurs in Moyobamba. Using a quantitative approach and a non-experimental cross-sectional design, it was concluded that there is a moderate positive relationship between both variables, which highlights the importance of financial education in personal financial management. Similarly, Pérez et al. (2021) investigated the significant link between financial literacy and efficient management of users of banking institutions in the province of San Martín. Using a non-experimental cross-sectional design with a correlational scope, it was found that greater financial education translates into better skills to manage personal finances, which underlines the importance of financial education in effective financial management. A research study focused on the financial education of members of a savings and credit cooperative (Carhuavilca & Zegarra, 2021), of simple descriptive design, revealed that there is a medium-level relationship between financial education and members’ financial management. The development of financial education plans was recommended to improve trust and responsibility between members and the cooperative. Finally, ref. (Ahmed & Zulfiqar, 2023), (Seraj et al., 2022), and (Kulathunga et al., 2020) examined how the study of financial reports influences decision-making. Through a quantitative approach and a correlational design, it was concluded that, although managers consider the analysis of financial reports, these are not decisive in all decisions, especially when it comes to liquidity and debt indicators. Financial literacy is critical as a component of good leadership and sound management within SMEs required for sustainable development aspirations and good business management.
From an international perspective, financial education has become an essential component for the sustainable development of small and medium-sized enterprises (SMEs) and for improving personal and organizational financial management. In his turn, López et al. (2022) focused on the effectiveness of financial education programs in Latin America and pointed out that these programs were meaningful to enhance the financial literacy and capacity of the entrepreneurs. But when defining the type of these programs, they noted that the structure of these programs is mostly prescriptive, which does not contribute to the practical formation of financial literacy, especially in conditions of exclusion and poverty. A redesign of these programs with government support is suggested to address these issues. In a related study (Ferrada et al., 2018), authors analyzed the presence of financial education activities in primary school textbooks in Chile. They concluded that financial education from an early age is crucial to fostering a financial culture that improves personal and family financial health, thus contributing to social well-being.
Ref. (Gabriel et al., 2020) explored financial education in women in Medellin, finding that those with higher academic training and higher incomes demonstrated better financial control and a tendency to save, highlighting the importance of financial education in making informed decisions. Ref. (Joia & Cordeiro, 2021) proposed the creation of a fintech for financial education for children, with the aim of providing them with tools for responsible management of money and financial risks. This initiative seeks to promote financial inclusion and contribute to several sustainable development goals, such as reducing inequality and poverty. In this sense, ref. (Romero & Ramírez, 2018) examined the relationship between financial decision-making and financial knowledge in SMEs, concluding that managers with more education and training in finance use financial and technological tools more, which has a positive impact on business management. These studies highlight the importance of financial education as a pillar for effective leadership and sustainable management in SMEs, aligning with sustainable development goals and effective business management. According to the works of (Lombardi et al., 2016) financial education is characterized as a system of knowledge and instruments that help assess financial potential and use resources and money in the best possible manner. Decision-making is a basic act in any human activity, as it implies the one’s or more individual’s constant and focused thinking, which involves disciplines such as philosophy of knowledge, science, logic, and creativity (Amaya, 2015). In the financial world and throughout the present contribution, concepts like credit, credit history, creditor, as well as capital, entrepreneur, or inflation are basic for the SMEs. This is due to the fact that the understanding of financial education and informed decision-making leads to better business management and leadership in support of the sustainable development goals and efficient organizational arrangements (BAC-Credomatic Financial Network, 2009).
Over the past decade, financial management and financial literacy in strategy formulation and sustainable operations have received increasing interest among scholars. Carrying out a previous and extensive study on the financial administration and planning of the SMEs of Quevedo, Silva et al. (2023) found that decent financial management practices correlated well with successful decision-making. This study therefore highlights the need for long-term developmental reforms in relation to viable attainment of sound business performance across local business environments. In line with this, Abdelkareem and Augustyn (2023) study the role of knowledge visualization in Egyptian SMEs’ strategic decision-making, pointing to the enhancements in decision-making quality and commitment as a result of the use of knowledge visualization. They used global variables to show that knowledge visualization can improve strategic decision-making and therefore decision-making results. In the context of agribusiness in Nigeria, Obi-Anike et al. (2023) showed that there is a positive effect of financial information literacy on strategic decision-making and sustainable performance. It is important to understand that the question of the financial literacy of individuals in the management of their organizations and attainment of profitable economic goals is the key concept stressed in this study. In fact, L. Guo et al. (2022) offered a vertices-connected macroscopic picture of the financial decision-making field by conducting a scientometric and bibliometric analysis and pointed out hot topics and emerging trends such as intergroup differences in financial decision-making. In so doing, this analysis provides a quantitative approach to the emergent trend of the financial decision-making research. In addition, Atmaningrum et al. (2021) investigated the determinants of investment, which included financial literacy, income, and self-discipline. He and his colleagues’ study expands on the influence of financial behavior and financial attitudes in determining the conflict or no conflict in investment. Both Burchi et al. (2021) and Ye and Kulathunga (2019) focused on the role of financial literacy in sustainable entrepreneurship. Burchi et al. used a cross-sectional survey and confirmed a positive correlation of financial literacy on sustainable enterprises in Central Europe; the authors encouraged extracurricular initiatives in enhancing entrepreneurial competencies. Likewise, Ye and Kulathunga also stressed the fact that improvement of the level of financial literacy, accessibility to financing, and an appreciation of risk profiles can enhance SME sustainability in the Sri Lankan context, thereby highlighting the cogs in the wheel of the above-laid correlation in the context of developing economies. Overall, these studies spur, in unison, the multifunctional approaches to asserting financial literacy and management for the improvement of strategic decision-making and promoting sustainable business models within different settings. Below is a synoptic table with the main references analyzed, including their advantages and disadvantages, as well as the research gap left unaddressed (Table 1).
Table 1. Summary of the main references analyzed.
The present research attends to several research gaps identified in the literature. It is performed by analyzing Peruvian micro-entrepreneurs and their financial education in the scope of credit and debt decision-making and underscoring the importance of financial literacy towards improving microenterprise efficiency and vulnerability to risks.

3. Materials and Methods

3.1. Knowledge of Finance

3.1.1. Benefits of Financial Education

Financial education is a fundamental pillar in the economy of individuals, localities, and nations, directly influencing business liquidity and financial inclusion. According to Ramos et al. (2017), financial literacy affects decisions by the dimensions such as perception, knowledge, ability, utilization, and implementation. In addition, they identify essential criteria for evaluating financial education, such as retirement planning, inflation, arithmetic, insurance, credit, savings, investment, and risk diversification. They are needed to develop the economic wellness and enhance the standard of living of people through sound financial functioning. In ref. (Fabris & Luburic, 2016), authors stress that the main objective of financial education is to increase the competitiveness of public and private companies through rational financial decisions.
This can be well illustrated given the rise in over-indebtedness ratios due to poor handling of personal assets. Financial literacy, young people, and children’s financial literacy in particular are still poor globally, so it is necessary to raise it for sustainable development. Analyzing the results of the study of Widyastuti et al. (2020), it can be defined that the intentions of teachers in Indonesia regarding financial education and financial behavior are positively correlated. This result reinforces the need for incorporating financial literacy into teacher education for the enhancement of the financial behavior of the next generation. According to the OECD (2008), financial education is an organized and continuous process through which citizens obtain knowledge to enable them to make sound decisions concerning financial services and products. It is necessary for making risk evaluations, for developing backup strategies, and for taking profit from financial openings that enhance business and personal welfare.

3.1.2. Theories of Financial Education

On the same note, while discussing financial education or financial literacy, it is important to be able to capture the extent of its impact on the education sector and, more to the point, how to overcome barriers to drawing rational conclusions on the financial decisions to be made. Ref. (Huston, 2010) proposes that financial education should include knowledge of concepts, theories, and tools, followed by a SWOT analysis to identify limitations and develop instruments with standardized indicators applicable to all sectors, without discrimination of age, sex, social, economic, and cultural conditions. Financial education is a pending subject, since financial decisions have short-, medium-, and long-term consequences (Barbara & Eugene, 2021). Numerous topics are studied in schools; however, financing issues are usually excluded, and this task is assigned to parents, who do not always have proper education. This can lead to wrong decisions that impact one’s decisions on personal and business life. The authors suggest that financial decision-making should be reasonable and informed.
In addition, they recommend implementing programs, training, and workshops that promote continuous learning of innovative knowledge in financial education. According to BAC-Credomatic Financial Network (2009), financial education is a tool that contributes to the comprehensive training of people, improving their personal, family, social, and entrepreneurial financial management. This is achieved through the development of capacities, competencies, attitudes, values, and positive habits, essential for a successful financial culture and assertive decision-making. BAC-Credomatic Financial Network’s (2009) “Master Book of Financial Education—A System for Living Better” noted a noticeable lack of incorporation of financial management in education curricula. The basic areas include, but are not limited to, savings, investment, credit, insurance, taxation, and protection in financial endeavors, which turns this book into a reliable manual on financial literacy. It is, therefore, significant for micro-entrepreneurs to be informed in order to act rationally and not to become a target for financial fraud. Thus, financial education adds to the flow of knowledge and improvements of values as well as skills that are required in managing financial resources, controlling and distributing expenses, investing in education, purchasing goods and services, and providing for one’s needs after they retire.

3.1.3. Dimensions for Financial Education

In the context of this research, four fundamental dimensions have been identified that underlie financial education and its impact on personal and family financial management as follows:
  • The first dimension, the family budget, refers to the financial behavior of individuals, who often lack the habit of planning their expenses based on their income and needs. This deficiency is attributed to the lack of adequate financial education in formal educational systems, which is aggravated in a consumer society that ignores financial problems. The preparation of a personal budget is essential to control finances, allowing a conscious distribution of resources between fixed and variable expenses, such as food, debt, recreation, and health, which is crucial to achieving financial freedom (BAC-Credomatic Financial Network, 2009, pp. 169–178).
  • The second dimension, savings, is closely linked to investment, as it represents the conservation of current resources with a view to the future. This concept refers, among others, to savings, stocks, and bonds: financial choices are capable of influencing people’s quality of life on a large scale (Huston, 2010) as cited in (Ramos et al., 2017).
  • The third dimension, credit, involves the use of future resources in the present through financial products such as credit cards and loans. Still, it is required to have effective financial education aimed at decreasing the linked costs of credit money, helping people make proper decisions according to the EU financial market environment (Huston, 2010) as cited in (Ramos et al., 2017).
  • Finally, the fourth dimension, insurance, focuses on the protection of resources and risk management through specific financial products. To emphasize, recognizing these ideas is crucial for having sufficient insurance protection in case of something to maintain individual and family finance security (Huston, 2010) as cited in (Ramos et al., 2017).
These dimensions are important for the acquisition of financial behaviors that foster effective and sustainable economic management in line with the sustainable development goals of SMEs.

3.2. Making Financial Decisions

3.2.1. On Financial Decision-Making

Decisions on utilization of financial resources are not centralized but involve almost all the members of the family, including the parents, spouses, and even children, in managing the general finances of the household. Ref. (Kim et al., 2017) were concerned with the ways of introducing education and advice related to financial management into the family, proposing that such an approach may contribute to continuous and systematic improvement in the assessment of potential gains, as well as losses in personal, familial, and business perspectives. In this regard, Ref. (Duarte et al., 2020) emphasizes the necessity to work towards a strengthening of the skills in the economic and financial education of the teachers as well as the students so as to foster change agents to adopt rational decisions. However, their research revealed a significant lack of skills and capabilities in this area, which led to the proposal of an articulation between financial education and informed decision-making, supported by training programs for teachers in public and private schools. A study carried out in the province of La Pampa, Argentina, in the agricultural sector, analyzed various decision-making models through semi-structured surveys, considering productive, social, and family aspects (Torrado Porto & Sili, 2020). This analysis allowed us to identify decision models such as “innovative network”, “family-traditional”, “family-business” and “managerial-administrative”, each with its own characteristics and approaches. Ref. (Seraj et al., 2022), (Muñoz-Céspedes et al., 2021), and (Zaimovic et al., 2023) emphasize that financial literacy requires a deep and detailed understanding of each aspect to be addressed. The competencies include the interpretation of information, the anticipation of financial needs, and the evaluation of the profitability of decisions through financial ratios. In ref. (Robbins & Coulter, 2018), authors describe managers as the primary decision-makers in the managerial functions of planning, organizing, directing, and controlling. They propose two dimensions of financial decisions: the first one is called economic rational decisions, and while being logical and reasonable, do not take into account all possibilities and tend to find satisfactory rather than the best solution; the second one is called limited rational decisions. This approach to financial decision-making is vital and requires an increased focus on and attention towards the need to enhance the capacity in financial literacy and entrepreneurship for effective management of financial resources for optimal development of enterprises, especially SMEs.

3.2.2. Definition of Dimensions

In the field of business management, financial decision-making is classified into two fundamental dimensions: rational financial decisions and limited rational financial decisions. According to refs. (Čirjevskis, 2021), (Kashani & Mousavi Shiri, 2022), and (Gąsiorek & Matuszewska, 2021), rational financial decisions are aimed at maximizing value for investors, based on real and reliable information that is verified by the market. This approach seeks to optimize individual utility, ensuring that each decision made increases perceived value. On the other hand, limited rational financial decisions arise in contexts where information is insufficient or the decision-maker faces an urgency that demands immediate action. In such cases, decision-making is more rational as well as more intuitive and involves both facts and feelings in its decision-making processes. Such kinds of decisions seem quite rational, but they fail to process all the available information and are on the lookout for the minimum rather than the ideal solution, which is very important when dealing with SMEs in uncertain environments and with limited resources available. Awareness of these dimensions is critical in deriving meaningful advancement within these organizations, especially in the case of SMEs, where crucial and unique decision-making capacities make or break the organization. Financial literacy and capacity building for financial management remain critical to enhancing efficiency in resource utilization and encouraging good leadership towards development (Robbins & Coulter, 2018).

3.3. Methodology

In the context of business management and sustainable development of small and medium-sized enterprises, this research focuses on the relationship between financial education and decision-making of micro-entrepreneurs. The general hypothesis is that financial literacy is positively related to the ability of such entrepreneurs to make effective choices. More specifically, it is postulated that proper management of the family budget significantly influences business decision-making, suggesting that efficient management of personal income and expenses can improve micro-entrepreneurs’ ability to make sound financial decisions. Also, savings are believed to be a part of decision-making since it helps to encourage planning, which is crucial to business. In addition, the availability and proper handling of credit are revealed to be important decision influences since proper credit management facilitates the provision of resources for business development and growth. It is suggested at the last that insurance is associated with decisions, as these financial tools provide the safety to let the business venture take risks that it wants and want to guarantee the sustainability of the business venture. This holistic approach shows the significance of financial literacy as one of the key precursors to sound leadership practices and practical management of microenterprises as a means towards building stronger and more efficient economic processes.

3.3.1. Variables (Conceptual Definition and Operationalization)

Based on the analysis of the literature, it can be concluded that financial literacy and financial decision-making are the key variables in the field of business management of small and medium-sized enterprises for sustainable development. Financial education, according to the theory of BAC-Credomatic Financial Network (2009), is conceptualized as a set of concepts, content and tools that not only address traditional education, but also highlight the importance of managing personal and family finances. This variable is broken down into several dimensions, including the family budget, which covers indicators such as financial income, expenses and budget planning. In addition, other dimensions such as savings, investment, credit, and insurance are considered, which are essential for a comprehensive understanding of financial education. Operationally, financial education is assessed using a Likert-type scale questionnaire, which allows measuring the level of knowledge and application of these concepts in business practice. On the other hand, financial decision-making is defined based on the managerial functions of planning, organization, direction, and control, as described by (Robbins & Coulter, 2018). This variable is divided into rational financial decisions, which are objective and based on analyzed information, and limited rational financial decisions, which, although rational, do not process all available information and focus on satisfactory solutions. The operationalization (Table 2) of financial decision-making is also carried out using a Likert-type scale questionnaire, which facilitates the assessment of how managers apply these decisions in real contexts. This approach is particularly important to assure effective leadership and sound management of SMEs as a basis for building strong and viable economic development.
Table 2. Operationalization matrix of variables.

3.3.2. Research Method

In this study, the scientific method has been used to obtain true and reliable information from the target population, which allows us to understand, investigate, and modify the knowledge acquired in order to formulate proposals for improvement. As can be seen along this section, the target population for this study consists of 361 business owners within the jurisdiction of the licensing division and marketing of the Provincial Municipality of Chanchamayo (Peru), an office that belongs to the Economic Development Department. Respondents were identified and recruited by selecting a sample of 186 micro-entrepreneurs from this population, using a finite statistical formula to ensure representativeness. In order to be clear on the concept of the target population and the recruitment process in relation to the objectives and type of study to be conducted, it is important to remark on the following aspects: Concerning the target population and the process of selecting respondents, it is worth noting that the study is limited to micro-entrepreneurs in the Province of Chanchamayo, whereby the number of selected respondents represents a population of 361 informal business owners operating in the Province under the licensing division of the Provincial Municipality of Chanchamayo. This survey was conducted between the period of December 2022 and October 2023. The respondents were selected cautiously and systematically. To that end, the finite population formula was used to arrive at a sample of 186 micro-entrepreneurs. This sample was chosen based on work and business associations of participants in micro-enterprises in the defined geographical area. Before participation, participants were explained about the study and purpose for the study, the involvement of anonymity, and they agreed to participate. The data collection was conducted by a questionnaire Likert scale that was developed to capture financial literacy and decision-making variables.
This approach is based on two essential aspects: the process, which starts with a problem to be investigated and uses all the stages of the scientific method, and the formal part, which culminates with the presentation of the results in a final report. In using the hypothetic-deductive method as highlighted by (Valderrama, 2015), the approach targets observing certain case scenarios in an attempt to develop and compare hypotheses using deductive reasoning, which empirically justifies the methodological induction and deduction. In this research, this method has been adopted to address the problem of the lack of rational financial decision-making among micro-entrepreneurs, identifying its causes and consequences, and confirming or rejecting the general hypothesis to explain the phenomenon and propose solutions based on real facts. The research is of a basic, pure, and theoretical nature, characterized by its origin in a theoretical framework that is not contrasted with practical aspects. Its objective is to increase scientific knowledge, although without solving real-life problems or offering practical recommendations. According to ref. (Y. Guo et al., 2023), (Zaimovic et al., 2023), and (Nugraha et al., 2022), the correlational level of research establishes logical and coherent relationships between the study variables, identifying collateral variables. This relational level study began with an observational approach to the problem of inadequate financial decision-making, moving towards a relationship between the problem and one of its observed causes, the lack of financial education.
The design of this research is characterized by being descriptive correlational, with the objective of examining the relationship between the variables of financial education and financial decision-making, adopting a non-experimental cross-sectional approach. This kind of design, as Hernández and Mendoza (2018) mentioned, means that the researcher does not control the variables or the population but merely observes the phenomena of interest. According to Martínez González (2020), the cross-sectional design is applied at a single time to collect accurate and timely information, although depending on the sample size, it may require multiple applications to ensure the validity of the data. The quantitative approach to research is founded on surveys, as it involves the assessment of the variables with the help of values and percentages that give important figures in the current study (Martínez González, 2020). The population under study is composed of 361 owners, selected from the jurisdiction of the licensing and marketing division (Bernal, 2016). The sample, calculated using the finite population formula, comprises 186 owners of micro and small enterprises (MSEs), ensuring a confidence level of 95% and a margin of error of 5%,
n = Z 2 p q · N E 2 N 1 + Z 2 · p q ,
where
n = sample size
p = 0.5
q = 0.5
N = population size
E = error level (5% for 95% confidence) = 5%
Z = Z-value for 95% confidence interval = 1.96
Replacing
1.96 2 0.5 0.5 · 361 ( 0.05 ) 2 361 1 + 1.96 2 · ( 0.5 ) ( 0.5 ) , n = 186.03   186
For data collection, the survey technique will be used, using a questionnaire designed to measure the study variables (Table 3). A five-point Likert scale is applied to the questions of this questionnaire so that the participants’ responses can be objectively assessed (Bernal, 2016). The data collected from the sample will be analyzed by using SPSS 26 software, Spearman. The Rho test will be used to analyze the correlation between the variables as suggested by Martinez in 2020. To this end, this methodological approach aims to gather a comprehensive understanding of factors that shape financial decision-making with the view to enhancing the small- and medium-scale enterprises and achievements of sustainable and informed leadership.
Table 3. Items designed to measure the study variables.

4. Results

4.1. Description of Results

4.1.1. Variable 1: Financial Education

The analysis of the results obtained in relation to the variable of financial education reveals a worrying trend among the micro-entrepreneurs studied. The data indicate that a significant majority of these entrepreneurs have a poor level of financial education. Specifically, the percentages of micro-entrepreneurs with a poor level range between 50.00% and 55.91% in the different tables analyzed (Table 4, Table 5, Table 6, Table 7 and Table 8). In contrast, those with a regular level vary between 37.63% and 41.40%, while only a small percentage, which fluctuates between 3.76% and 9.68%, reach an optimal level of financial education. These findings call for appropriate leadership and management policies to enhance the adoption of sustainable development in small- and medium-sized enterprises. The areas involve ensuring that people have adequate financial education to help enhance their skills in entrepreneurship besides having sufficient knowledge as a key to the success of the business ventures in the future. Enhancing financial literacy would not only benefit the financial status of the individual entrepreneurs; it can also lead to better general economic development by stimulating increased responsible business practices by the actors.
Table 4. Variable 1—Financial education.
Table 5. Dimension 1—Variable 1—Family budget.
Table 6. Dimension 2—Variable 1—Savings.
Table 7. Dimension 3—Variable 1—Credits.
Table 8. Dimension 4—Variable 1—Insurance.

4.1.2. Variable 2: Financial Decision-Making

The analysis of the variable related to financial decision-making among micro-entrepreneurs reveals a worrying trend towards poor and average levels in most cases. The data indicate that a significant percentage of these entrepreneurs, ranging from 48.92% to 51.61%, have a poor level of financial decision-making ability (Table 9, Table 10 and Table 11). It is for this reason that there is little discussion and analysis of fundamental concepts, including strategies, differentiation, promotion, and competitiveness, if the destination is to attain profitability and sustainability.
Table 9. Variable 2—Financial Decision-Making.
Table 10. Dimension 1—Variable 2—Rational Financial Decisions.
Table 11. Dimension 2—Variable 2—Limited Rational Financial Decisions.
The lack of adequate financial education is reflected in the inability to make rational decisions, which negatively affects the sustainability of businesses. More than 50% of micro-entrepreneurs show deficiencies in the dimension of rational financial decisions, suggesting a direct correlation with the lack of knowledge in personal and business finances. This situation is aggravated when entrepreneurs base their decisions on personal experiences and beliefs, rather than on objective and analyzed information, which limits their ability to make effective rational decisions. However, even with due provision of these resources and programs launched by different institutions, the mentioned tendency to ignore these suggestions at the moment of the decision-making process remains. This puts more emphasis on leadership and management changes for sustaining business development hence underlining the significance of education in every economic activity by stressing on the financial knowledge as the key foundation for generating sound and pertinent decisions.

4.2. Normality Test—Inferential Statistics

Inferential statistical analysis performed using the normality test (Table 12), the Kolmogorov–Smirnov test reveals that the data collected on the variables of financial education and decision-making do not follow a normal distribution, with a p-value less than 0.05. This justifies the use of non-parametric tests, accepting the alternative hypothesis and rejecting the null hypothesis.
Table 12. Normality Test—Inferential Statistics.
In the hypothesis testing (Table 13), the Spearman Rho correlation coefficient was used, suitable for correlational studies with ordinal measurement scales (Hernández & Mendoza, 2018).
Table 13. Correlation coefficient.
Testing the general hypothesis (Table 14, Figure 1) shows a strong positive correlation between financial education and decision-making, with a correlation coefficient of 0.786 and a p-value of 0.000, leading to the rejection of the null hypothesis. Similarly, specific hypothesis 1 (Table 15, Figure 2), which examines the relationship between household budget and decision-making, also shows a strong positive correlation (r = 0.789, p = 0.000), confirming the alternative hypothesis.
Table 14. Correlation between financial education and decision-making.
Figure 1. Scatter diagram between financial education and decision-making.
Table 15. Correlation between family budget and decision-making.
Figure 2. Scatter diagram between family budget and decision-making.
Regarding specific hypothesis 2 (Table 16, Figure 3), a strong positive correlation is observed between savings and decision-making, with a coefficient of 0.797 and a p-value of 0.000, which again supports the acceptance of the alternative hypothesis. Specific hypothesis 3 (Table 17, Figure 4), which analyzes the relationship between credits and decision-making, shows a correlation coefficient of 0.790, with a p-value of 0.000, confirming the strong positive correlation.
Table 16. Correlation between savings and decision-making.
Figure 3. Scatter diagram between savings and decision-making.
Table 17. Correlation between credit and decision-making.
Figure 4. Scatter diagram between credits and decision-making.
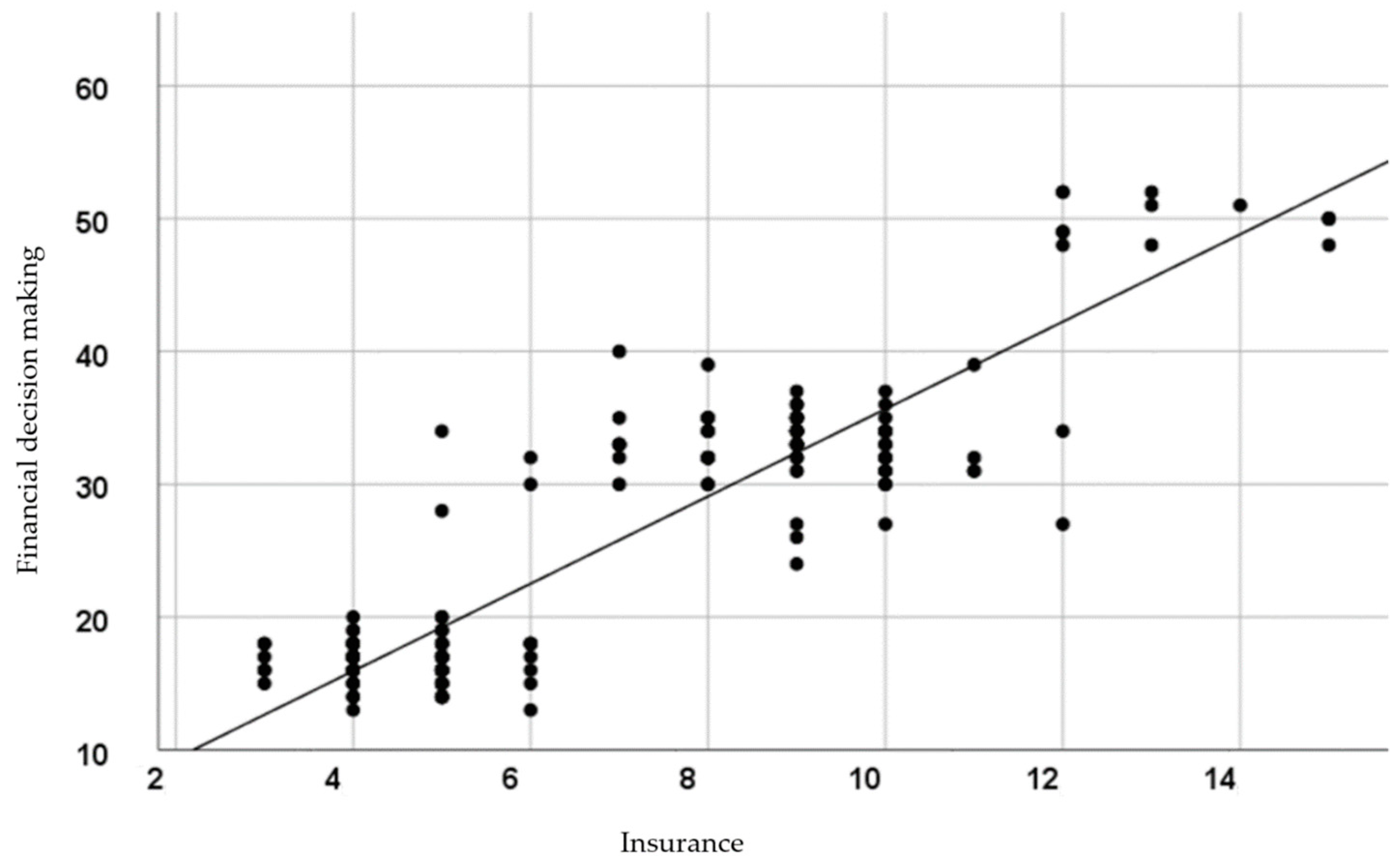
Finally, specific hypothesis 4 (Table 18, Figure 5), which assesses the relationship between insurance and decision-making, also indicates a strong positive correlation (r = 0.719, p = 0.000), leading to accepting the alternative hypothesis. Thus, these results reveal the significance of financial literacy enhancement as a necessary precondition allowing offering relevant financial diagnoses and effective solutions, as well as contributing to the further development of SMEs.
Table 18. Correlation between insurance and decision-making.
Figure 5. Scatter diagram between insurance and decision-making.
In other words, the general null hypothesis (H0) and alternative hypothesis (H1) for the study are as follows:
-
General Null Hypothesis (H0). Financial education and decision-making among micro-entrepreneurs in the Province of Chanchamayo were conducted, and no real relationship was found.
-
General Alternative Hypothesis (H1). This study confirms the existence of a direct correlation between perceived financial literacy and actual financial behavior among microenterprises in the Province of Chanchamayo.
Specific hypotheses related to different dimensions of financial education include:
  • Specific Null Hypothesis for Budgeting (H0). Family budgeting and micro-entrepreneur’s decision-making is not related at all.
    Specific Alternative Hypothesis for Budgeting (H1). This study shows that family budgeting and decision-making play an important role in the life of micro-entrepreneurs.
  • Specific Null Hypothesis for Savings (H0). No correlation exists between savings and decision-making when it comes to micro-entrepreneurs.
    Specific Alternative Hypothesis for Savings (H1). In this study, carried out with micro-entrepreneurs, there was an established relationship between savings and decision-making.
  • Specific Null Hypothesis for Credit Management (H0). There is no correlation between the credit management and the decision-making of the micro-entrepreneurs.
    Specific Alternative Hypothesis for Credit Management (H1). On balance, therefore, there is a relationship between credit management and decision-making among micro-entrepreneurs.
  • Specific Null Hypothesis for Insurance (H0). Insurance has no correlation with decision-making among micro-entrepreneurs.
    Specific Alternative Hypothesis for Insurance (H1). A clear correlation exists between insurance and decision-making for all the micro-entrepreneurs.

5. Discussion

This research examines the relationship between financial education and decision-making in micro-entrepreneurs, revealing a strong positive correlation, with Spearman’s Rho correlation coefficient of 0.786 and a p-value of 0.000. These findings support the acceptance of the alternative hypothesis, highlighting the importance of financial education in business management. Authors in ref. (Pérez et al., 2021) conclude that financial education is crucial for the efficient use of financial resources, investment decision-making, profitability, and savings, thereby reducing excessive debt. Financial literacy, which encompasses understanding of interest rates and financing costs, is essential for rational financial decisions, such as choosing appropriate credit cards. Ref. (López et al., 2022) states that there is a need to incorporate financial literacy in education right from childhood and that the absence of such a tool reduces the ability of citizens to make appropriate decisions on issues to do with finance. In ref. (Ferrada et al., 2018), authors support the incorporation of financial literacy as part of basic education whereby numeracy subjects shall be used in imparting substantial, important, and functional financial skills. Important players are identified as Junior Achievement, an NGO that has been implemented as an example of financial education from childhood. Ref. (Joia & Cordeiro, 2021) highlights that financial education is often the responsibility of public and private organizations and proposes a fintech project for children, with recreational modules that promote responsible money management and a culture of savings. This approach seeks to establish alliances with financial institutions to generate trust and raise awareness about the importance of financial education. In this research, authors have selected a statistical analysis that, despite the fact that this has a low level of complexity, it is considered enough to achieve the established goals. This characteristic of the data set and the formulated hypotheses entail the application of basic statistical procedures to look for significant associations of the variables of interest. This is sufficient to reach useful and realistic conclusions regarding the impact of financial education on the micro-entrepreneurs’ decision-making without the need to employ other complex procedures that may not yield added advantage in this particular scenario. In other words, with regard to the statistical solutions employed in the study, it is understandable that while the current strategies employed do offer substantial significance in looking into the connection of financial literacy with decision-making among the micro-entrepreneurs, there exists further potential for the research. Future research could be useful to solve more detailed problems and analyze the connection between two variables by using more complex statistical methods. This could, for instance, involve the use of multivariate analysis or Structural Equation Modeling in order to measure additional effects that may exist between both variables. Such developments would supplement the current research and enhance the knowledge base about the influence of financial literacy on micro-entrepreneurial choices.
As ref. (Romero & Ramírez, 2018) notes, microenterprises’ outcomes depend on managers’ decision-making, which also depends on microfinance financial literacy. This knowledge is crucial in academia as well as in practical training for the continuation of different companies over their life cycle. Furthermore, concerning the accounting documentation, the author suggests the use of accounting information systems, including free software or Microsoft Excel, to enhance the traceability.
Findings of the study re-affirm the significance of financial literacy as a means of strengthening the micro-entrepreneurs’ decision-making, arguing for its significance in handling money and various financial concepts as well as boosting entrepreneurs’ business performance. This is especially important for such individuals, most of whom invest their money in risky business ventures with little capital investment. The study also holds that every working financial literacy model must inter-connect the household/budget and business finance. Nevertheless, some limitations to the research are worth noting. It targets only the Province of Chanchamayo, and so the current study results may not be extended to other regions or counties. Moreover, this study is cross-sectional, which inhibits drawing causal relationships; also, the data were self-reported. However, there is a requirement of an extended theoretical model that involved personal financing and business financing to support the economic growth issues above. From a practical point of view, the study recommends the necessity of designing intervention programs to improve the financial literacy of micro-entrepreneurs, which should involve cooperation between universities, governmental agencies, and businesses focused on the improvement of the literacy level of the population and on the micro-entrepreneurs level in particular. In other words, this research explores the relationship between various financial dimensions and decision-making in micro-entrepreneurs, revealing a significant positive correlation in several key aspects. First, a strong correlation was identified between the family budget and decision-making, with Spearman’s Rho correlation index of 0.798 and a p-value of 0.000, supporting the acceptance of the alternative hypothesis. Such findings correspond with the research (Gabriel et al., 2020), who point to the significance of proper financial decisions for dealing with daily issues by stressing the family background and culture as the aspects influencing financial literacy. Likewise, a positive correlation was found between savings and decision-making, with an index of 0.797 and a p-value of 0.000. According to ref. (Rutkauskas & Stasytytė, 2022), the managers should assess the financial opportunities and design the saving and investment portfolio, which may be necessary in some sectors like hardware. As for the credit indicator, the correlation coefficient is equal to 0.790, which agrees with (Abdul kareem et al., 2023) and (Du & Shen, 2024) on the matter of the role of managing credits in business profitability. Financial literacy that addresses investment and credit histories and other areas important for saving and proper decision-making is relevant. Finally, a positive correlation was observed between insurance and decision-making, with an index of 0.789. Ref. (Carhuavilca & Zegarra, 2021) highlights the need for informed financial decisions in the daily operations of micro-entrepreneurs, emphasizing the importance of financial skills to manage risks prudently (Figure 6).
Figure 6. Correlation between dimensions and decision-making.
In this regard, it is necessary to contribute towards raising awareness of financial resources and their services, particularly for strategically insecure micro-entrepreneurs. It is suggested that ministries of economy, finance, education, and social inclusion extend financial literacy by using any media, thereby promoting the effective financial literacy.

6. Conclusions

This research has established a significant relationship between financial education and decision-making in micro-entrepreneurs, evidencing a strong positive correlation. The analysis, based on Spearman’s Rho correlation index, reveals that financial education is closely linked to the ability of micro-entrepreneurs to make informed decisions, with a correlation coefficient of 0.786 and a p-value of 0.000, which leads to rejecting the null hypothesis and accepting the alternative hypothesis. This result highlights the need for financial literacy as one of the key aspects of SMEs sustainable development, with a focus on rational financing and risk management. Furthermore, a positive correlation has been identified between the family budget and decision-making, with a coefficient of 0.798, highlighting the relevance of adequate financial planning at the family level for business success. The savings dimension also shows a significant positive correlation (r = 0.797), suggesting that fostering a savings culture is crucial for the financial stability of micro-entrepreneurs. Regarding credits, the research reveals a positive correlation of 0.790, indicating that adequate credit management is essential to improve profitability and avoid over-indebtedness. Finally, the relationship between insurance and decision-making, with a coefficient of 0.789, highlights the importance of insurance as a tool to mitigate risks and ensure business continuity.
Despite the usefulness of this research, it is, however, not without limitations. The research focuses only on the Province of Chanchamayo, which might restrict the transferability of the obtained results to other provinces or other countries. Further, the study is based on a cross-sectional survey, and the data are self-reported, and thus, the results can be influenced by different types of biases. The implications of the theoretical background require the creation of an extended theoretical model that would focus on the integration of financial literacy for the purpose of personal and business financing, as well as the contribution of financial literacy to economic growth. In practice, the results concern the necessity of developing concrete financial literacy intervention programs for micro-entrepreneurs, which may include cooperation between schools, the Ministry of Education, other government agencies, and financial companies to improve this specific population group’s literacy level. The guidelines generated from this research indicate the critical importance of enhancing financial literacy among micro-entrepreneurs and the active involvement of the public and private sectors in the organization of conventions such as workshops and seminars. The urgency of incorporating financial literacy as part of learning curricula so that young people form positive habits of personal finance is emphasized. Therefore, there is a need for micro-entrepreneurs to be equipped with financial management skills that cover aspects of family budgeting, savings, the right credit choice, and appreciation of the positive impacts of insurance that are important when working on the growth and sustenance of the business. These actions will foster not only their economic development but also ensure the enhancement of business and economic structure at the national level, making a stronger environment to perform well in the future challenges.

Author Contributions

Conceptualization, D.P.-A. and J.M.S.-S.; methodology, J.M.S.-S. and S.L.B.-I.; validation, S.L.B.-I. and U.A.-R.; formal analysis, D.P.-A. and M.D.V.-A.; investigation, M.D.V.-A. and J.M.S.-S.; resources, S.L.B.-I.; data curation, U.A.-R.; writing—original draft preparation, F.M.M.-M.; writing—review and editing, V.G.-P.; visualization, V.G.-P.; supervision, V.G.-P. and F.M.M.-M.; project administration, F.M.M.-M. All authors have read and agreed to the published version of the manuscript.

Funding

This research received no external funding.

Institutional Review Board Statement

Not applicable.

Data Availability Statement

Data are contained within the article.

Conflicts of Interest

The authors declare no conflicts of interest.

References

  1. Abdelkareem, R., & Augustyn, M. (2023). Knowledge visualisation and strategic decision-making outcomes in small and medium-sized enterprises. Journal of Information Science. Advance online publication. [Google Scholar] [CrossRef]
  2. Abdul kareem, A. A., Fayed, Z. T., Rady, S., Amin El-Regaily, S., & Nema, B. M. (2023). Factors Influencing Investment Decisions in Financial Investment Companies. Systems, 11, 146. [Google Scholar] [CrossRef]
  3. Ahmed, F., & Zulfiqar, S. (2023). Digital financial literacy and business success of SMEs in Pakistan. Journal of Financial and Management Education, 8(1). [Google Scholar] [CrossRef]
  4. Amaya, A. (2015). Managerial decision making. ECOE Editions. [Google Scholar]
  5. Atmaningrum, S., Kanto, D., & Kisman, Z. (2021). Investment decisions: The results of knowledge, income, and self-control. Journal of Economics and Business, 4(1), 59–69. [Google Scholar] [CrossRef]
  6. BAC-Credomatic Financial Network. (2009). Master book of financial education: A system for living better (1st ed.). BAC-CREDOMATIC Financial Network. [Google Scholar]
  7. Barbara, M., & Eugene, N. (2021). Financial education, a pending subject (100 pages). ALTEA. ISBN 991565975X, 9789915659756. [Google Scholar]
  8. Bernal, C. (2016). Research methodology. Pearson Hispanoamérica. [Google Scholar]
  9. Burchi, A., Włodarczyk, B., Szturo, M., & Martelli, D. (2021). The effects of financial literacy on sustainable entrepreneurship. Sustainability, 13(9), 5070. [Google Scholar] [CrossRef]
  10. Carhuavilca, R., & Zegarra, S. (2021). Financial education in the members of the La Florida de Chanchamayo savings and credit cooperative in 2020. Universidad de Los Andes. Available online: https://repositorio.upla.edu.pe/bitstream/handle/20.500.12848/2734/T037_N%C2%B072954316T.pdf?sequence=1&isAllowed=y (accessed on 6 January 2025).
  11. Čirjevskis, A. (2021). Value maximizing decisions in the real estate market: Real options valuation approach. Journal of Risk and Financial Management, 14(6), 278. [Google Scholar] [CrossRef]
  12. Du, S., & Shen, H. (2024). Reinforcement learning-based multimodal model for the stock investment portfolio management task. Electronics, 13(19), 3895. [Google Scholar] [CrossRef]
  13. Duarte, S., Tapia, K., & Hoz, A. D. L. (2020). Development of competencies in economic and financial education for informed decision-making by the common citizen. Logos, Science & Technology Magazine, 12(1), 95–109. [Google Scholar]
  14. Fabris, N., & Luburic, R. (2016). Financial education for children and young people. Theory and Practice of Central Banking, 2, 65–79. [Google Scholar] [CrossRef]
  15. Ferrada, C., Díaz, D., & Salgado, N. (2018). Analysis of activities on financial education in Chilean primary education textbooks. Journal of Mathematical Education, 1, 48–65. [Google Scholar]
  16. Gabriel, J., Arango, M. A., Gómez, L., & Cortés, D. (2020). Financial education in women: A study in the López de Mesa neighborhood of Medellín. Journal of the Faculty of Economic Sciences, 28(1), 121–141. [Google Scholar]
  17. Gąsiorek, M., & Matuszewska, A. (2021). Modern methods of business valuation—Case study and new concepts. Journal of Risk and Financial Management, 14(6), 275. [Google Scholar] [CrossRef]
  18. Guo, L., Cheng, J., & Zhang, Z. (2022). Mapping the knowledge domain of financial decision making: A scientometric and bibliometric study. Frontiers in Psychology, 13, 1006412. [Google Scholar] [CrossRef]
  19. Guo, Y., Liu, C., Liu, H., Chen, K., & He, D. (2023). Financial literacy, borrowing behavior and rural households’ income: Evidence from the collective forest area, China. Sustainability, 15(2), 1153. [Google Scholar] [CrossRef]
  20. Hernández, R., & Mendoza, C. (2018). Research methodology: The quantitative, qualitative, and mixed routes. McGraw-Hill Interamericana. [Google Scholar]
  21. Huston, S. (2010). Measuring financial literacy. Journal of Consumer Affairs, 44(2), 296–316. [Google Scholar] [CrossRef]
  22. Instituto Nacional de Estadística e Informática. (2022, May 29). Producto Bruto Interno creció 3.8% en el primer trimestre del 2022. INEI. Available online: https://m.inei.gob.pe/prensa/noticias/producto-bruto-interno-crecio-38-en-el-primer-trimestre-del-2022-13696/ (accessed on 6 January 2025).
  23. Joia, L. A., & Cordeiro, J. P. V. (2021). Unlocking the potential of fintechs for financial inclusion: A Delphi-based approach. Sustainability, 13(21), 11675. [Google Scholar] [CrossRef]
  24. Kashani, S. M., & Mousavi Shiri, M. (2022). The role of corporate governance in investment efficiency and financial information disclosure risk in companies listed on the Tehran stock exchange. Journal of Risk and Financial Management, 15(12), 577. [Google Scholar] [CrossRef]
  25. Kim, J., Canaleta, M., & Spangler, T. (2017). Review of family financial decision making: Suggestions for future research and implications for financial education. Journal of Financial Counseling and Planning, 28(1), 253–267. [Google Scholar] [CrossRef]
  26. Kulathunga, K. M. M. C. B., Ye, J., Sharma, S., & Weerathunga, P. R. (2020). How does technological and financial literacy influence SME performance: Mediating role of ERM practices. Information, 11(6), 297. [Google Scholar] [CrossRef]
  27. Lombardi, J., Richter, L. M., Bhutta, Z. A., Black, R. E., Black, M. M., Darmstadt, G. L., Lu, F., Heymann, J., & Daelmans, B. (2016). The cost of not investing in the next 1000 days: Implications for policy and practice. The Lancet, 389(10064), 71–82. [Google Scholar] [CrossRef]
  28. López, J., Hernández, S., Peláez, L., Sarmiento, G., Peña, M., Cueva, N., & Sánchez, J. (2022). Financial education in Latin America. Ciencia Latina Multidisciplinary Scientific Journal, 6, 2029–2054. [Google Scholar]
  29. Martínez González, R. (2020). El secreto detrás de una tesis: Cómo logré convertir mi experiencia al hacer una tesis en la solución que todo profesional necesita. Biblioteca Nacional del Perú. ISBN 978-612-00-5059-0. [Google Scholar]
  30. Mungaray, A., Gonzalez, N., & Osorio, G. (2021). Financial education and its effect on income in Mexico. Problemas del Desarrollo, 52(205), 55–78. [Google Scholar] [CrossRef]
  31. Muñoz-Céspedes, E., Ibar-Alonso, R., & de Lorenzo Ros, S. (2021). Financial literacy and sustainable consumer behavior. Sustainability, 13(16), 9145. [Google Scholar] [CrossRef]
  32. Nugraha, R., Eksanti, A., & Haloho, Y. (2022). The Influence Of Financial Literacy And Financial Behavior On Investment Decision. Jurnal Ilmiah Manajemen dan Bisnis. [Google Scholar] [CrossRef]
  33. Obi-Anike, H. O., Daniel, O. C., Onodugo, I. J., Attamah, I. J., & Imhanrenialena, B. O. (2023). The role of financial information literacy in strategic decision-making effectiveness and sustainable performance among agribusiness entrepreneurs in Nigeria. Sustainability, 15(13), 10416. [Google Scholar] [CrossRef]
  34. Organisation for Economic Co-operation and Development. (2008). Improving financial education and awareness on insurance and private pensions. OECD Publishing. [Google Scholar] [CrossRef]
  35. Pérez, T., Vargas, E., Cruz, J., & Villafuerte, A. (2021). Financial education, financial management in users of banking entities in the province of San Martín. Journal of Research and Culture, 10(2), 11–21. [Google Scholar] [CrossRef]
  36. Ramos, J., García, A., & Moreno, E. (2017). Financial education: A theoretical approach from the perception, knowledge, skill, and use and application of financial instruments. Journal of Psychology, 2, 267–278. [Google Scholar]
  37. Rengifo Tuesta, T., & Silva Cayao, S. (2022). Financial education and decision-making in the hardware sector of the city of Tarapoto, 2021 [Bachelor’s thesis, César Vallejo University]. UCV Institutional Repository. Available online: https://hdl.handle.net/20.500.12692/101852 (accessed on 6 January 2025).
  38. Robbins, S., & Coulter, M. (2018). Management (3rd ed.). Pearson. [Google Scholar]
  39. Rojas, E. (2020). Financial education to improve decision-making among micro-entrepreneurs at the El Tambo market fair. National University of the Center of Peru. [Google Scholar]
  40. Romero, Y., & Ramírez, J. (2018). Relationship of financial decision-making with the level of financial knowledge in MSMEs. Suma de Negocios, 9(1), 36–44. [Google Scholar]
  41. Rutkauskas, A. V., & Stasytytė, V. (2022). Integrated intellectual investment portfolio as an efficient instrument to manage personal financial investment. Journal of Risk and Financial Management, 15(1), 30. [Google Scholar] [CrossRef]
  42. Seraj, A. H. A., Fazal, S. A., & Alshebami, A. S. (2022). Entrepreneurial competency, financial literacy, and sustainable performance—Examining the mediating role of entrepreneurial resilience among Saudi entrepreneurs. Sustainability, 14(17), 10689. [Google Scholar] [CrossRef]
  43. Silva, S., Hidalgo, G., Ballesteros, E., & Alencastro, L. (2023). Strategic optimization: The impact of administration and financial planning on the decision-making of small and medium-sized enterprises in the Quevedo canton. Migration Letters, 20, 181–187. [Google Scholar] [CrossRef]
  44. Torrado Porto, R., & Sili, M. E. (2020). Toma de decisiones y gestión productiva en el sector agropecuario del Noreste de La Pampa (Argentina). Revista de Economia e Sociologia Rural, 58(2), e198357. [Google Scholar] [CrossRef]
  45. Valderrama, S. (2015). Steps for developing scientific research projects: Quantitative, qualitative, and mixed methods. University of San Marcos. [Google Scholar]
  46. Widyastuti, U., Sumiatia, A., Herlitaha, & Melati, I. (2020). Financial education, financial literacy, and financial behavior: What really matters? Management Science Letters, 10, 2715–2720. Available online: https://www.growingscience.com/msl/Vol10/msl_2020_135.pdf (accessed on 6 January 2025). [CrossRef]
  47. World Bank. (2022). The World Bank in Peru. World Bank. Available online: https://www.worldbank.org/en/country/peru/overview#2 (accessed on 6 January 2025).
  48. Ye, J., & Kulathunga, K. M. (2019). How does financial literacy promote sustainability in SMEs? A developing country perspective. Sustainability, 11(10), 2990. [Google Scholar] [CrossRef]
  49. Zaimovic, A., Torlakovic, A., Arnaut-Berilo, A., Zaimovic, T., Dedovic, L., & Nuhic Meskovic, M. (2023). Mapping financial literacy: A systematic literature review of determinants and recent trends. Sustainability, 15(12), 9358. [Google Scholar] [CrossRef]
Disclaimer/Publisher’s Note: The statements, opinions and data contained in all publications are solely those of the individual author(s) and contributor(s) and not of MDPI and/or the editor(s). MDPI and/or the editor(s) disclaim responsibility for any injury to people or property resulting from any ideas, methods, instructions or products referred to in the content.

Article Metrics

Citations

Article Access Statistics

Multiple requests from the same IP address are counted as one view.