Coupling Up: A Dynamic Investigation of Romantic Partners’ Neurobiological States During Nonverbal Connection
Abstract
1. Introduction
1.1. Frontal Alpha Asymmetry as a Proxy of Approach Motivation in Romantic Partners
1.2. Current Study Objectives
2. Materials and Methods
2.1. Participants
2.2. General Procedures
2.3. Nonverbal Connections Paradigm
2.4. EEG Acquisition, Processing, and FAA Computation
2.5. Analytic Plan
3. Results
3.1. General FAA Differences Related to Condition and Time
3.1.1. Lack of FAA for No Connection and Embrace Conditions
3.1.2. Dynamic Shifts Across Epoch Varied by Condition
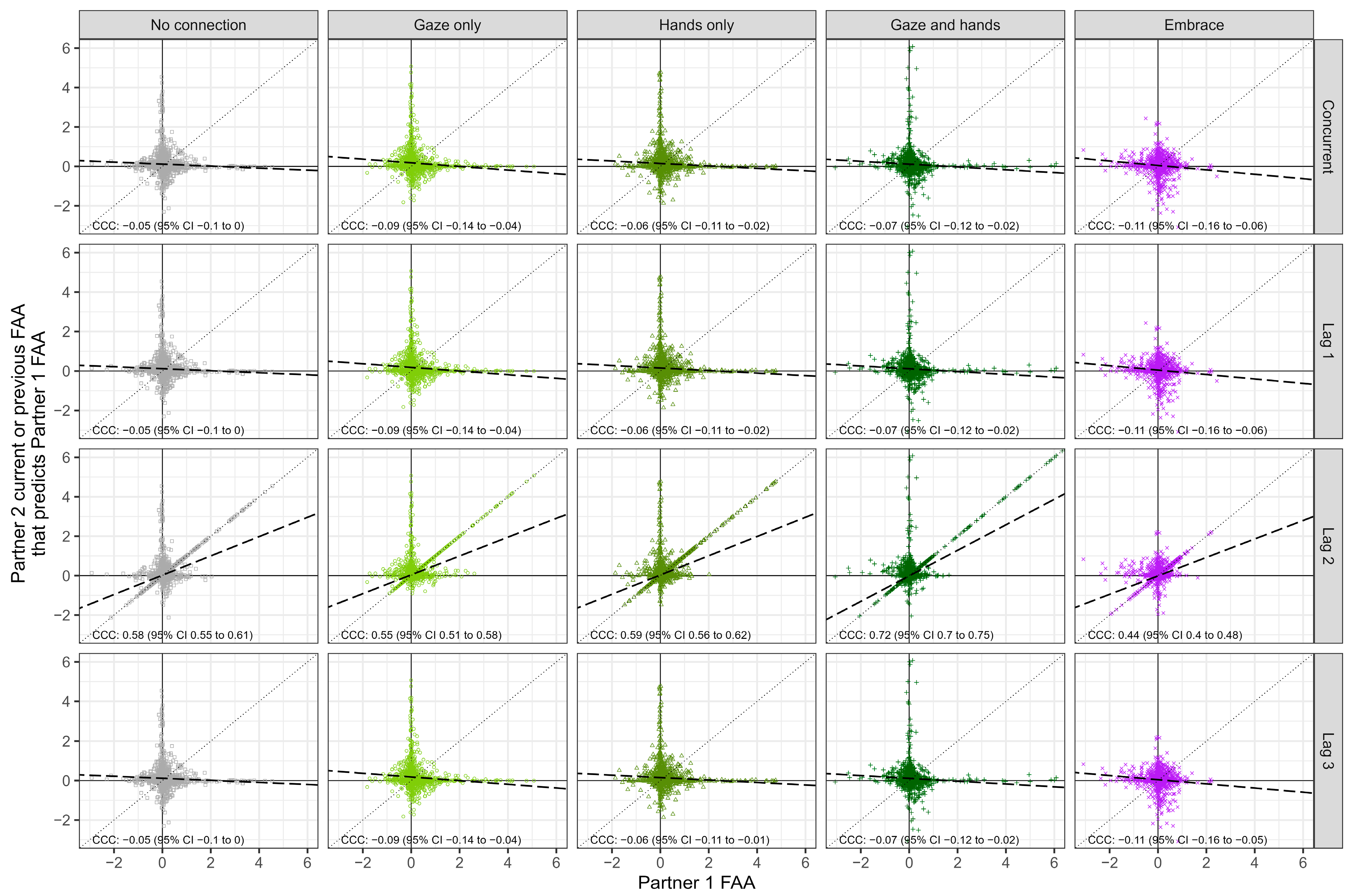
3.2. Interplay of FAA Responses Within Romantic Partner Dyads
3.3. Influence of Individual Differences
4. Discussion
4.1. Approach-like Neural Correlates Vary over Different Types of Nonverbal Connection and Time
4.2. Partners’ Brains Couple-Up at a Lagged Offset During Nonverbal Connection
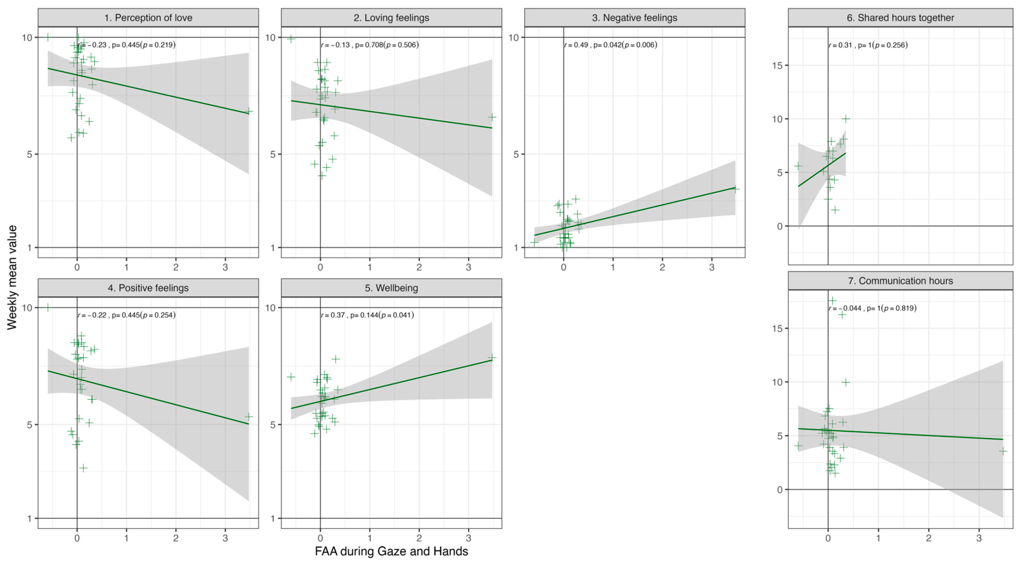
4.3. Negative Feelings May Influence Partners’ Approach-like Neural Correlates
4.4. Limitations and Future Directions
5. Conclusions
Supplementary Materials
Author Contributions
Funding
Institutional Review Board Statement
Informed Consent Statement
Data Availability Statement
Acknowledgments
Conflicts of Interest
References
- Burgoon, J.K.; Le Poire, B.A. Nonverbal cues and interpersonal judgements: Participant and observer perceptions of intimacy, dominance, composure, and formality. Commun. Monogr. 1999, 66, 105–124. [Google Scholar] [CrossRef]
- Jones, S.E.; Yarbrough, A.E. A naturalistic study of the meanings of touch. Commun. Monogr. 1985, 52, 19–56. [Google Scholar] [CrossRef]
- Jarick, M.; Laidlaw, K.E.; Nasiopoulos, E.; Kingstone, A. Eye contact affects attention more than arousal as revealed by prospective time estimation. Atten. Percept. Psychophys. 2016, 78, 1302–1307. [Google Scholar] [CrossRef] [PubMed]
- Vannier, S.A.; O’sullivan, L.F. Communicating interest in sex: Verbal and nonverbal initiation of sexual activity in young adults’ romantic dating relationships. Arch. Sex. Behav. 2011, 40, 961–969. [Google Scholar] [CrossRef]
- Noller, P. Nonverbal Communication and Marital Interaction; Pergamon Press: Oxford, UK, 1984. [Google Scholar]
- Schrage, K.M.; Maxwell, J.A.; Impett, E.A.; Keltner, D.; MacDonald, G. Effects of verbal and nonverbal communication of affection on avoidantly attached partners’ emotions and message receptiveness. Personal. Soc. Psychol. Bull. 2020, 46, 1567–1580. [Google Scholar] [CrossRef]
- Andersen, P.A.; Guerrero, L.K.; Jones, S.M. Nonverbal behavior in intimate interactions and intimate relationships. In The Sage Handbook of Nonverbal Communication; Manusov, V., Patterson, M.L., Eds.; Sage Publications, Inc.: Thousand Oaks, CA, USA, 2006; pp. 259–277. [Google Scholar] [CrossRef]
- Horgan, T.G. The verbal and nonverbal communication of romantic interest. In Nonverbal Communication of Our Gendered and Sexual Selves; Palgrave Macmillan: Cham, Switzerland, 2024; pp. 203–235. [Google Scholar] [CrossRef]
- Docan-Morgan, T.; Manusov, V.; Harvey, J. When a small thing means so much: Nonverbal cues as turning points in relationships. Interpersona Int. J. Pers. Relatsh. 2013, 7, 110–124. [Google Scholar] [CrossRef]
- Frank, M.G.; Solbu, A.; Glowacki, Z.R.; Toh, Z.; Neurohr, M. The look of love: Evolution and nonverbal signs and signals of attraction. In Nonverbal Communication in Close Relationships: What Words Don’t Tell Us; Sternberg, R.J., Kostić, A., Eds.; Springer International Publishing: Cham, Switzerland, 2022; pp. 75–104. [Google Scholar]
- Feldman, R. The neurobiology of human attachments. Trends Cogn. Sci. 2017, 21, 80–99. [Google Scholar] [CrossRef]
- Chatel-Goldman, J.; Congedo, M.; Jutten, C.; Schwartz, J. Touch increases autonomic coupling between romantic partners. Front. Behav. Neurosci. 2014, 8, 95. [Google Scholar] [CrossRef]
- Goldstein, P.; Weissman-Fogel, I.; Shamay-Tsoory, S.G. The role of touch in regulating inter-partner physiological coupling during empathy for pain. Sci. Rep. 2017, 7, 3252. [Google Scholar] [CrossRef]
- Goldstein, P.; Weissman-Foge, I.; Dumas, G.; Shamay-Tsoory, S.G. Brain-to-brain coupling during handholding is associated with pain reduction. Proc. Natl. Acad. Sci. USA 2018, 115, E2528–E2537. [Google Scholar] [CrossRef]
- Long, Y.; Zheng, L.; Zhao, H.; Zhou, S.; Zhai, Y.; Lu, C. Interpersonal neural synchronization during interpersonal touch underlies affiliative pair bonding between romantic couples. Cereb. Cortex 2021, 31, 1647–1659. [Google Scholar] [CrossRef] [PubMed]
- Guerrero, L.K. Nonverbal involvement across interactions with same-sex friends, opposite-sex friends and romantic partners: Consistency or change? J. Soc. Pers. Relatsh. 1997, 14, 31–58. [Google Scholar] [CrossRef]
- Chen, Y.; Liu, S.; Hao, Y.; Zhao, Q.; Ren, J.; Piao, Y.; Wang, L.; Yan, Y.; Jin, C.; Wang, H.; et al. Higher emotional synchronization is modulated by relationship quality in romantic relationships and not in close friendships. NeuroImage 2024, 297, 120733. [Google Scholar] [CrossRef] [PubMed]
- Duan, H.; Yang, T.; Wang, X.; Kan, Y.; Zhao, H.; Li, Y.; Hu, W. Is the creativity of lovers better? A behavioral and functional near-infrared spectroscopy hyperscanning study. Curr. Psychol. 2022, 41, 41–54. [Google Scholar] [CrossRef]
- Long, Y.; Chen, C.; Wu, K.; Zhou, S.; Zhou, F.; Zheng, L.; Zhao, H.; Zhai, Y.; Lu, C. Interpersonal conflict increases interpersonal neural synchronization in romantic couples. Cereb. Cortex 2022, 32, 3254–3268. [Google Scholar] [CrossRef]
- Shao, C.; Zhang, X.; Wu, Y.; Zhang, W.; Sun, B. Increased interpersonal brain synchronization in romantic couples is associated with higher honesty: An fNIRS hyperscanning study. Brain Sci. 2023, 13, 833. [Google Scholar] [CrossRef]
- Czeszumski, A.; Eustergerling, S.; Lang, A.; Menrath, D.; Gerstenberger, M.; Schuberth, S.; Schreiber, F.; Rendon, Z.Z.; König, P. Hyperscanning: A valid method to study neural inter-brain underpinnings of social interaction. Front. Hum. Neurosci. 2020, 14, 39. [Google Scholar] [CrossRef]
- Kinreich, S.; Djalovski, A.; Kraus, L.; Louzoun, Y.; Feldman, R. Brain-to-brain synchrony during naturalistic social interactions. Sci. Rep. 2017, 7, 17060. [Google Scholar] [CrossRef]
- Nikitin, J.; Schoch, S. Social approach and avoidance motivations. In Handbook of Solitude: Psychological Perspectives on Social Isolation, Social Withdrawal, and Being Alone, 2nd ed.; Coplan, R.J., Bowker, J.C., Eds.; Wiley Blackwell: New York, NY, USA, 2021; pp. 191–208. [Google Scholar]
- Johnson, Z.V.; Young, L.J. Neurobiological mechanisms of social attachment and pair bonding. Curr. Opin. Behav. Sci. 2015, 3, 38–44. [Google Scholar] [CrossRef]
- Porges, S.W. The polyvagal theory: Phylogenetic substrates of a social nervous system. Int. J. Psychophysiol. 2001, 42, 123–146. [Google Scholar] [CrossRef]
- Kelley, N.J.; Hortensius, R.; Schutter, D.J.L.G.; Harmon-Jones, E. The relationship of approach/avoidance motivation and asymmetric frontal cortical activity: A review of studies manipulating frontal asymmetry. Int. J. Psychophysiol. 2017, 119, 19–30. [Google Scholar] [CrossRef] [PubMed]
- Reznik, S.J.; Allen, J.J. Frontal asymmetry as a mediator and moderator of emotion: An updated review. Psychophysiology 2018, 55, e12965. [Google Scholar] [CrossRef] [PubMed]
- Vincent, K.M.; Xie, W.; Nelson, C.A. Using different methods for calculating frontal alpha asymmetry to study its development form infancy to 3 years of age in a large longitudinal sample. Dev. Psychobiol. 2021, 63, e22163. [Google Scholar] [CrossRef] [PubMed]
- Gonçalves, S.I.; de Munck, J.C.; Pouwels, P.J.W.; Schoonhoven, R.; Kuijer, J.P.A.; Maurits, N.M.; Hoogduin, J.M.; Van Someren, E.J.W.; Heethaar, R.M.; Lopes da Silva, F.H. Correlating the alpha rhythm to BOLD using simultaneous EEG/fMRI: Inter-subject variability. NeuroImage 2006, 30, 203–213. [Google Scholar] [CrossRef]
- Harmon-Jones, E.; Gable, P.A. On the role of asymmetric frontal cortical activity in approach and withdrawal motivation: An updated review of the evidence. Psychophysiology 2018, 55, e12879. [Google Scholar] [CrossRef]
- Schöne, B.; Schomberg, J.; Gruber, T.; Quirin, M. Event-related frontal alpha asymmetries: Electrophysiological correlates of approach motivation. Exp. Brain Res. 2016, 234, 559–567. [Google Scholar] [CrossRef]
- Deng, X.; Zhang, S.; Chen, X.; Coplan, R.J.; Xiao, B.; Ding, X. Links between social avoidance and frontal alpha asymmetry during processing emotional facial stimuli: An exploratory study. Biol. Psychol. 2023, 178, 108516. [Google Scholar] [CrossRef]
- Sobotka, S.S.; Davidson, R.J.; Senulis, J.A. Anterior brain electriacl asymmetries in response to reward and punishment. Electronencephalography Clin. Neurophysiol. 1992, 83, 236–247. [Google Scholar] [CrossRef]
- Langeslag, S.J.E. Electrophysiological correlates of romantic love: A review of EEG and ERP studies with beloved-related stimuli. Brain Sci. 2022, 12, 551. [Google Scholar] [CrossRef]
- Quirin, M.; Gruber, T.; Kuhl, J.; Düsing, R. Is love right? Prefrontal resting brain asymmetry is related to the affiliation motive. Front. Hum. Neurosci. 2013, 7, 902. [Google Scholar] [CrossRef]
- Aghedu, F.C.; Sarlo, M.; Zappasodi, F.; Acevado, B.P.; Bisiacchi, P.S. Romantic love affects emotional processing of love-unrelated stimuli: An EEG/ERP study using a love induction task. Brain Cogn. 2021, 151, 105733. [Google Scholar] [CrossRef] [PubMed]
- Packheiser, J.; Berretz, G.; Rook, N.; Bahr, C.; Schockenhoff, L.; Güntürkün, O.; Ocklenburg, S. Investigating real-life emotions in romantic couples: A mobile EEG study. Sci. Rep. 2021, 11, 1142. [Google Scholar] [CrossRef] [PubMed]
- Jones, N.A.; Field, T. Massage and music therapies attenuate frontal EEG asymmetry in depressed adolescents. Adolescence 1999, 34, 529–534. [Google Scholar] [PubMed]
- Delorme, A.; Makeig, S. EEGLAB: An open source toolbox for analysis of single-trial EEG dynamics including independent component analysis. J. Neurosci. Methods 2004, 134, 9–21. [Google Scholar] [CrossRef]
- Delorme, A. EEG is better left alone. Sci. Rep. 2023, 13, 2372. [Google Scholar] [CrossRef]
- Bates, D.M. lme4: Mixed-Effects Modeling with R; Springer: Berlin/Heidelberg, Germany, 2010. [Google Scholar]
- Benjamini, Y.; Hochberg, Y. Controlling the false discovery rate: A practical and powerful approach to multiple testing. J. R. Stat. Soc. Ser. B 1995, 57, 289–300. [Google Scholar] [CrossRef]
- Lenth, R.V. emmeans: Estimated Marginal Means, aka Least-Squares Means. R Package Version 1.7.2. 2021. Available online: https://CRAN.R-project.org/package=emmeans (accessed on 22 November 2024).
- Lin, L. A concordance correlation coefficient to evaluate reproducibility. Biometrics 1989, 45, 255–268. [Google Scholar] [CrossRef]
- Lin, L. A note on the concordance correlation coefficient. Biometrics 2000, 56, 324–325. [Google Scholar]
- Fatima, S.N.; Erzin, E. Use of affect context in dyadic interactions for continuous emotion recognition. Speech Commun. 2021, 132, 70–82. [Google Scholar] [CrossRef]
- Quinn, C.; Haber, M.J.; Pan, Y. Use of the concordance correlation coefficient when examining agreement in dyadic research. Nurs. Res. 2009, 58, 368–373. [Google Scholar] [CrossRef]
- Tabachnick, B.G.; Fidell, L.S. Using Multivariate Statistics, 6th ed.; Pearson: Boston, MA, USA, 2013. [Google Scholar]
- Goelman, G.; Dan, R.; Stößel, G.; Tost, H.; Meyer-Lindenberg, A.; Bilek, E. Bidirectional signal exchanges and their mechanisms during joint attention interaction—A hyperscanning fMRI study. Neuroimage 2019, 198, 242–254. [Google Scholar] [CrossRef] [PubMed]
- Kuhlen, A.K.; Allefeld, C.; Haynes, J.D. Content-specific coordination of listeners’ to speakers’ EEG during communication. Front. Hum. Neurosci. 2012, 6, 266. [Google Scholar] [CrossRef] [PubMed]
- Misaki, M.; Kerr, K.L.; Ratliff, E.L.; Cosgrove, K.T.; Simmons, W.K.; Morris, A.S.; Bodurka, J. Beyond synchrony: The capacity of fMRI hyperscanning for the study of human social interaction. Soc. Cogn. Affect. Neurosci. 2021, 16, 84–92. [Google Scholar] [CrossRef]
- Stolk, A.; Noordzij, M.L.; Verhagen, L.; Volman, I.; Schoffelen, J.-M.; Oostenveld, R.; Hagoort, P.; Toni, I. Cerebral coherence between communicators marks the emergence of meaning. Proc. Natl. Acad. Sci. USA 2014, 111, 18183–18188. [Google Scholar] [CrossRef]
- Carver, C.S.; Harmon-Jones, E. Anger is an approach-related affect: Evidence and implications. Psychol. Bull. 2009, 135, 183–204. [Google Scholar] [CrossRef]
- Harmon-Jones, E. Anger and the behavioral approach system. Personal. Individ. Differ. 2003, 35, 995–1005. [Google Scholar] [CrossRef]
- Harmon-Jones, E.; Allen, J.J.B. Anger and frontal brain activity: EEG asymmetry consistent with approach motivation despite negative affective valence. J. Personal. Soc. Psychol. 1998, 74, 1310–1316. [Google Scholar] [CrossRef]
- Flo, E.; Steine, I.; Blågstad, T.; Grønli, J.; Pallesen, S.; Portas, C.M. Transient changes in frontal alpha asymmetry as a measure of emotional and physical distress during sleep. Brain Res. 2011, 1367, 234–249. [Google Scholar] [CrossRef]
- Mikutta, C.; Altorfer, A.; Strik, W.; Koenig, T. Emotions, arousal, and frontal alpha rhythm asymmetry during Beethoven’s 5th symphony. Brain Topogr. 2012, 25, 423–430. [Google Scholar] [CrossRef]
- Smith, E.E.; Reznik, S.J.; Stewart, J.L.; Allen, J.J.B. Assessing and conceptualizing frontal EEG asymmetry: An updated primer on recording, processing, analyzing, and interpreting frontal alpha asymmetry. Int. J. Psychophysiol. 2017, 111, 98–114. [Google Scholar] [CrossRef]
- Pan, Y.; Cheng, X.; Zhang, Z.; Li, X.; Hu, Y. Cooperation in lovers: An fNIRS-based hyperscanning study. Hum. Brain Mapp. 2017, 38, 831–841. [Google Scholar] [CrossRef] [PubMed]
- Zeevi, L.; Selle, N.K.; Kellmann, E.L.; Boiman, G.; Hart, Y.; Atzil, S. Bio-behavioral synchrony is a potential mechanism for mate selection in humans. Sci. Rep. 2022, 12, 4786. [Google Scholar] [CrossRef] [PubMed]
- Freihart, B.K.; Meston, C.M. Preliminary evidence for a relationship between physiological synchrony and sexual satisfaction in opposite-sex couples. J. Sex. Med. 2019, 16, 2000–2010. [Google Scholar] [CrossRef] [PubMed]





| Baseline (Visit 1) | Mean (SD) | Range |
|---|---|---|
| Age (Years) | 28.03 (5.05) | 21–40 |
| Relationship duration (Years) | 7.41 (5.99) | 1–20 |
| Weekday time (Hours) | 40.8 (19.18) | 10–90 |
| Weekend time (Hours) | 75.9 (19.07) | 10–97 |
| Perceived love | 9.03 (1.03) | 7–10 |
| Wellbeing | 6.65 (1.36) | 3.59–9.39 |
| Weekly Mean Across 7 Days | Mean (SD) | Range |
| Perceived love | 8.31 (1.33) | 5.7–10 |
| Loving feelings | 7.07 (1.47) | 4.07–9.93 |
| Negative feelings | 1.9 (0.67) | 1–3.5 |
| Positive feelings | 6.86 (1.68) | 3.14–10 |
| Wellbeing | 6.07 (0.88) | 4.61–7.85 |
| Shared time together (Hours/day) | 5.83 (2.29) | 1.5–10 |
| Communication time (Hours/day) | 5.46 (3.63) | 1.52–17.57 |
| Effect | F | (df1, df2) | p-Value |
|---|---|---|---|
| Random intercept | 2.99 | (1, 32319) | 0.0835 |
| Condition | 8.27 | (4, 32319) | <0.0001 |
| Time (slope) | 1.62 | (1, 32319) | 0.2031 |
| Time (quadratic) | 1.94 | (1, 32319) | 0.1639 |
| Condition × Time (slope) | 4.09 | (4, 32319) | 0.0026 |
| Condition × Time (quadratic) | 6.13 | (4, 32319) | 0.0001 |
| Mean | SD | Min | Max | Skew | Kurtosis | |
|---|---|---|---|---|---|---|
| No Connection | 0.01 | 0.102 | −0.254 | 0.389 | 0.749 | 2.855 |
| Gaze Only | −0.024 | 0.109 | −0.682 | 0.228 | −1.994 | 9.742 |
| Hands only | 0.011 | 0.088 | −0.213 | 0.33 | 0.308 | 1.415 |
| Gaze and Hands | 0.014 | 0.082 | −0.238 | 0.404 | 0.792 | 4.266 |
| Embrace | −0.016 | 0.102 | −0.417 | 0.293 | −0.245 | 2.642 |
Disclaimer/Publisher’s Note: The statements, opinions and data contained in all publications are solely those of the individual author(s) and contributor(s) and not of MDPI and/or the editor(s). MDPI and/or the editor(s) disclaim responsibility for any injury to people or property resulting from any ideas, methods, instructions or products referred to in the content. |
© 2024 by the authors. Licensee MDPI, Basel, Switzerland. This article is an open access article distributed under the terms and conditions of the Creative Commons Attribution (CC BY) license (https://creativecommons.org/licenses/by/4.0/).
Share and Cite
Nelson, C.M.; O’Reilly, C.; Xia, M.; Hudac, C.M. Coupling Up: A Dynamic Investigation of Romantic Partners’ Neurobiological States During Nonverbal Connection. Behav. Sci. 2024, 14, 1133. https://doi.org/10.3390/bs14121133
Nelson CM, O’Reilly C, Xia M, Hudac CM. Coupling Up: A Dynamic Investigation of Romantic Partners’ Neurobiological States During Nonverbal Connection. Behavioral Sciences. 2024; 14(12):1133. https://doi.org/10.3390/bs14121133
Chicago/Turabian StyleNelson, Cailee M., Christian O’Reilly, Mengya Xia, and Caitlin M. Hudac. 2024. "Coupling Up: A Dynamic Investigation of Romantic Partners’ Neurobiological States During Nonverbal Connection" Behavioral Sciences 14, no. 12: 1133. https://doi.org/10.3390/bs14121133
APA StyleNelson, C. M., O’Reilly, C., Xia, M., & Hudac, C. M. (2024). Coupling Up: A Dynamic Investigation of Romantic Partners’ Neurobiological States During Nonverbal Connection. Behavioral Sciences, 14(12), 1133. https://doi.org/10.3390/bs14121133

