Next Issue
Volume 16, January
Previous Issue
Volume 15, November
 
 

Behav. Sci., Volume 15, Issue 12 (December 2025) – 153 articles

Cover Story (view full-size image): Trauma-informed care requires workers to be skilled in building and maintaining relationships and managing emotional challenges, yet we know relatively little about how workers’ personal histories and capacities shape their experience delivering trauma-informed care. Using survey data from frontline workers, the study shows that staff who are more sensitive to rejection are more likely to feel disengaged at work and less emotionally connected to clients. However, supportive work conditions, including higher job satisfaction and trauma knowledge, appear to buffer these challenges. The findings suggest that creating healthy and sustainable trauma-informed care environments depends not only on policies and procedures, but also on how organizations support staff in navigating relational challenges at work. View this paper
  • Issues are regarded as officially published after their release is announced to the table of contents alert mailing list.
  • You may sign up for e-mail alerts to receive table of contents of newly released issues.
  • PDF is the official format for papers published in both, html and pdf forms. To view the papers in pdf format, click on the "PDF Full-text" link, and use the free Adobe Reader to open them.
Order results
Result details
Section
Select all
Export citation of selected articles as:
21 pages, 30397 KB  
Article
Machine Learning-Based Prediction and Analysis of Chinese Youth Marriage Decision
by Jinshuo Zhang, Chang Lu, Xiaofang Wang, Dongyang Guo, Chao Bi and Xingda Ju
Behav. Sci. 2025, 15(12), 1750; https://doi.org/10.3390/bs15121750 - 18 Dec 2025
Viewed by 407
Abstract
This study investigates the key factors that influence marriage decision among Chinese youth using machine learning techniques. Using data from the China Family Panel Studies (2018–2020), we extracted 1700 samples and filtered 26 significant variables. Seven machine learning algorithms were evaluated, with CatBoost [...] Read more.
This study investigates the key factors that influence marriage decision among Chinese youth using machine learning techniques. Using data from the China Family Panel Studies (2018–2020), we extracted 1700 samples and filtered 26 significant variables. Seven machine learning algorithms were evaluated, with CatBoost emerging as the most effective. SHAP (SHapley Additive exPlanations) analysis revealed that work-related variables were the most strongly associated with predictions, accounting for 30% of the predictive power, followed by other factors such as demographic and education. Notably, we found that commute time and working hours exceeding 50 min/hours were negatively associated with marriage likelihood, while job satisfactions showed a non-linear relationship with marriage decision. The findings highlight the determinant of work–life balance in marriage decision and the complexity and nonlinear relationship in social decision-making. The objective of this study is to provide scientific data support for policy makers in an era of declining marriage rates in China. This study not only reveals the key factors affecting marriage decision but also provides critical evidence-based support for policymakers to prioritize resource allocation and formulate targeted policies amid declining marriage rates in China. Full article
Show Figures

Figure 1

12 pages, 256 KB  
Article
Profiles Vulnerable to Maladaptive Use of Recreational Digital Environments Identified Using the Big Five Model
by Bárbara Caffarel-Rodríguez, Andrés González Llamas and Elena Porras-García
Behav. Sci. 2025, 15(12), 1749; https://doi.org/10.3390/bs15121749 - 18 Dec 2025
Viewed by 218
Abstract
The Big Five Model has been widely applied across various areas for detecting problematic or even antisocial behaviors. This research explores its potential to identify behavior patterns and usage profiles in digital environments, such as social media use, digital gaming, and related activities. [...] Read more.
The Big Five Model has been widely applied across various areas for detecting problematic or even antisocial behaviors. This research explores its potential to identify behavior patterns and usage profiles in digital environments, such as social media use, digital gaming, and related activities. This study first conducted a literature review on mobile phone use, video game addiction, and social media overuse through the lens of the Big Five Model. Then, empirical data from 492 participants were analyzed to assess how each personality trait is associated with exposure to excessive internet use. The results shown that individuals with high openness and extraversion are more likely to engage intensively with social media and online entertainment, whereas those with higher levels of neuroticism, agreeableness, or conscientiousness display lower exposure. These findings align with previous research linking personality traits to neuroanatomical patterns that shape behavioral tendencies. This study suggests that specific personality traits, as defined by the Big Five Model, influence the use of digital media and advertising channels, potentially fostering addictive behaviors in users with higher openness and extraversion. Full article
(This article belongs to the Section Cognition)
13 pages, 825 KB  
Article
The Relationship Between TikTok Usage and Executive Function Is Mediated by Problematic Social Media Use
by Jessica Golding, Anya Rallison, Kyra Zhang, Aisha Awan, Francisco Romero, Jillia Lacbain, Samuel Lee, Sahar Momand, Lilian Azer and Weiwei Zhang
Behav. Sci. 2025, 15(12), 1748; https://doi.org/10.3390/bs15121748 - 18 Dec 2025
Viewed by 1406
Abstract
Social media is deeply integrated into life, offering new opportunities for learning and communication. However, excessive use has been linked to negative effects on well-being and cognitive functions. A rapidly growing platform, TikTok has been a focal point of controversy due to concerns [...] Read more.
Social media is deeply integrated into life, offering new opportunities for learning and communication. However, excessive use has been linked to negative effects on well-being and cognitive functions. A rapidly growing platform, TikTok has been a focal point of controversy due to concerns over its short-form content. The present study investigates the relationship between TikTok usage, problematic social media use (PSMU), and executive function (EF) to distinguish platform-specific features from broader patterns of problematic use. A survey conducted with 346 college students measured EF, TikTok use intensity, PSMU, and mental health variables. The findings indicate that while PSMU and TikTok use correlate with EF dysfunction, TikTok use is not a significant predictor when PSMU and mental health factors are statistically accounted for. Mediation analysis suggests that PSMU mediates the relationship between TikTok use and EF impairment, indicating that problematic media use—rather than platform-specific characteristics—relates to poor cognition connected to social media. These results contribute to the growing literature on digital media’s cognitive effects, underscoring the importance of addressing problematic usage patterns rather than focusing on individual platforms. Additionally, the association of PSMU with EF impairments and poor mental health reinforces the need for interventions targeting excessive social media engagement. Full article
Show Figures

Figure 1

15 pages, 746 KB  
Article
Association of Menstrual Cycle with Fronto-Striatal Connectivity and Delay Discounting
by Ming Yang, Jiajia Xie, Xiaofen An and Jinying Zhuang
Behav. Sci. 2025, 15(12), 1747; https://doi.org/10.3390/bs15121747 - 18 Dec 2025
Viewed by 236
Abstract
The dorsal fronto-striatal circuit, particularly the pathway connecting the dorsolateral prefrontal cortex (dlPFC) and caudate, constitutes a core neural system for cognitive control and goal-directed behavior. While ovarian hormone fluctuations are known to influence this circuit, their precise impact on its role in [...] Read more.
The dorsal fronto-striatal circuit, particularly the pathway connecting the dorsolateral prefrontal cortex (dlPFC) and caudate, constitutes a core neural system for cognitive control and goal-directed behavior. While ovarian hormone fluctuations are known to influence this circuit, their precise impact on its role in decision-making remains poorly understood. Here, we leveraged the natural hormonal variation in the menstrual cycle to investigate how estradiol and progesterone shape dlPFC-caudate functional connectivity during a delay-discounting task. We discovered a state-dependent reconfiguration, characterized by the emergence of more negative connectivity for delayed rewards (vs. immediate rewards) in the mid-luteal phase and the dissipation of this pattern in the late follicular phase. Crucially, progesterone levels in the mid-luteal phase fine-tuned the circuit’s behavioral relevance, altering the association between connectivity strength and individual discounting rates. Our findings demonstrate that naturally occurring hormonal fluctuations reversibly reconfigure the functional architecture of the dorsal fronto-striatal circuit, thereby orchestrating state-dependent shifts in human decision-making. Full article
Show Figures

Figure 1

20 pages, 597 KB  
Article
The Language of Numbers: Reading Comprehension and Applied Math Problem-Solving
by Dana Sury and Lia Pilchin
Behav. Sci. 2025, 15(12), 1746; https://doi.org/10.3390/bs15121746 - 17 Dec 2025
Viewed by 598
Abstract
Reading and mathematics are intricately linked through shared cognitive processes that underpin developmental relationships across domains. Despite extensive research on early-grade links between reading and basic arithmetic, gaps persist in understanding how reading comprehension (RC) supports applied math problem-solving (AMP) in older students [...] Read more.
Reading and mathematics are intricately linked through shared cognitive processes that underpin developmental relationships across domains. Despite extensive research on early-grade links between reading and basic arithmetic, gaps persist in understanding how reading comprehension (RC) supports applied math problem-solving (AMP) in older students and non-English contexts. The current study investigates the grade-level relationship between RC and AMP in typically developing Hebrew-speaking fourth (N = 41) and eleventh graders (N = 43), focusing on the contributions of working memory (WM), reading fluency, and arithmetic fluency. Results indicated significant positive associations between RC and AMP in both age groups. In fourth graders, arithmetic fluency partially statistically mediated the RC-AMP relationship in a cross-sectional mediation model. This indicates that students rely on computational proficiency to translate textual understanding into solutions. In contrast, eleventh graders exhibited a direct RC-AMP link, reflecting advanced comprehension and metacognitive strategies as computational skills are automatized. WM showed stronger correlations with RC and AMP among younger students, whereas these associations were weaker in older students. These findings support a Developmental Linguistic–Cognitive Scaffold Model, highlighting age-related shifts in cognitive and linguistic mechanisms supporting AMP. The results emphasize the need for integrated curricula incorporating RC strategies to enhance mathematical reasoning, particularly in morphologically rich languages like Hebrew. Full article
Show Figures

Figure 1

20 pages, 1355 KB  
Article
The Impact of “Practice–Feedback–Journal” Microteaching Model on Critical Thinking Development in Chinese Pre-Service Teachers
by Zhiyao Tan, Qian Gong, Jia Liu, Feifei Liu, Liyun Lu and Wenxin Deng
Behav. Sci. 2025, 15(12), 1745; https://doi.org/10.3390/bs15121745 - 16 Dec 2025
Viewed by 364
Abstract
Critical thinking, regarded as an indispensable high-order thinking for pre-service teachers, is of great significance in effective teaching and the cultivation of students’ critical thinking. Given that it has been confirmed by previous studies that the development of pre-service teachers’ critical thinking can [...] Read more.
Critical thinking, regarded as an indispensable high-order thinking for pre-service teachers, is of great significance in effective teaching and the cultivation of students’ critical thinking. Given that it has been confirmed by previous studies that the development of pre-service teachers’ critical thinking can be promoted by microteaching, a “Practice-Feedback-Journal” microteaching model was innovatively constructed in this study, aiming to cultivate the critical thinking of pre-service teachers. To investigate the impact of this model, 41 participants from a Chinese normal university were selected for a 12-week microteaching intervention experiment. Subsequently, content analysis of their online reflective journals was conducted using the Nvivo 20 software, based on the critical thinking framework. The findings suggest that the model has the potential to enhance Chinese pre-service teachers’ critical thinking. Evidence indicates that reflective feedback and case-based teaching strategies appear supportive, while cooperative learning also emerged as a promising approach due to its dual simulation of both student and teacher perspectives. As a small-scale exploratory study, this research offers preliminary insights and potential avenues for cultivating higher-order thinking in teacher education. Full article
Show Figures

Figure 1

12 pages, 300 KB  
Article
Resident-Led Peer Support Groups in Emergency Medicine: A Pilot Framework for Peer Leader Training
by Kyra D. Reed, Alexandria P. Weston, Alexandra E. Serpe, Destiny D. Folk, Jacob M. Destrampe, Heather P. Kelker, Aloysius J. Humbert, Katie E. Pettit and Julie L. Welch
Behav. Sci. 2025, 15(12), 1744; https://doi.org/10.3390/bs15121744 - 16 Dec 2025
Viewed by 192
Abstract
Peer support has demonstrated efficacy in alleviating symptoms of anxiety and depression, while fostering empathy and mitigating burnout among healthcare professionals. Given the considerable demands of residency training, there is a strong rationale for resident-led peer support interventions. However, structured programs to train [...] Read more.
Peer support has demonstrated efficacy in alleviating symptoms of anxiety and depression, while fostering empathy and mitigating burnout among healthcare professionals. Given the considerable demands of residency training, there is a strong rationale for resident-led peer support interventions. However, structured programs to train residents for such leadership roles remain limited. Our objective was to implement a peer support leader training program for residents, evaluate its perceived effectiveness, and identify common themes discussed in sessions. Between June 2021 and June 2023, we performed a longitudinal, prospective cohort survey study of Emergency Medicine (EM) and EM/Pediatrics (EM/P) residents participating in a novel peer support leader training curriculum. Resident peer support leaders then facilitated biweekly support sessions, with post-session surveys assessing leader preparedness and themes discussed utilizing a novel Resident Stress Checklist (RSC). In total, 16 unique leaders were trained over two years and 52 biweekly peer support group sessions were held. In Year 1 (Y1), 6 resident leaders conducted an average of three sessions each, with 7 residents on average attending each session. In Year 2 (Y2), 4 leaders graduated and 2 leaders from Y1 continued in this role. An additional 10 resident leaders were trained. The 12 leaders in Y2 facilitated an average of 2 sessions each, with 5 residents on average attending each session. Of the completed post-session leader surveys (n = 39), 100% reported feeling prepared to lead the sessions based on their training. The RSC identified the most frequent stressor as work–life balance, most common symptom as frustration, and most common consequence of stress as emotional/psychological suffering. Resident-led peer support training was feasible and well-received, with all surveyed resident leaders reporting adequate preparation. The RSC revealed common session themes that guided future training topics and wellness curriculum interventions. Full article
(This article belongs to the Special Issue Burnout and Psychological Well-Being of Healthcare Workers)
Show Figures

Figure 1

12 pages, 409 KB  
Article
Resilience, Life Satisfaction, and Well-Being in Portuguese Adolescents: A Cross-Sectional Study
by Luís Loureiro, Cândida Loureiro and José Santos
Behav. Sci. 2025, 15(12), 1743; https://doi.org/10.3390/bs15121743 - 16 Dec 2025
Viewed by 340
Abstract
Background: Adolescence is a crucial stage of development marked by significant biological, social, and emotional changes that influence mental health and well-being. This study aims to (a) assess the relationship between resilience, life satisfaction, and mental well-being in adolescents aged between 10 and [...] Read more.
Background: Adolescence is a crucial stage of development marked by significant biological, social, and emotional changes that influence mental health and well-being. This study aims to (a) assess the relationship between resilience, life satisfaction, and mental well-being in adolescents aged between 10 and 18 years who are attending 5th to 12th grade in the central region of mainland Portugal, and (b) assess the quality of fit of a structural mediation model in which life satisfaction mediates the relationship between resilience and mental well-being. Methods: A total of 589 adolescents participated in the study and responded to the Escala de Avaliação do Eu Resiliente, the Multidimensional Life Satisfaction Scale for Adolescents, and the Mental Health Continuum–Short Form. Descriptive analyses, ANOVA, canonical correlation analysis, and structural equation modeling with mediation were carried out. Results: A high canonical correlation (r = 0.873, p < 0.001) was found between resilience and well-being/life satisfaction. Mediation analysis revealed that life satisfaction partially mediates the relationship between resilience and positive mental health (r2 = 0.34), indicating direct and indirect effects. Conclusions: These results suggest that more resilient adolescents tend to report higher levels of life satisfaction and well-being, which reinforces the importance of promoting resilience and life satisfaction as protective factors for mental health during adolescence. Full article
Show Figures

Figure 1

27 pages, 525 KB  
Article
Relationships Between Cultural Factors and Motor Abilities in Autistic and Non-Autistic Children
by Lindsey Anderson, Allison Gladfelter, Milijana Buac, Waifong Catherine Cheung, Ziteng Wang and Sinan Onal
Behav. Sci. 2025, 15(12), 1742; https://doi.org/10.3390/bs15121742 - 16 Dec 2025
Viewed by 313
Abstract
Autism and motor abilities have been found to be closely related. Culture affects motor development as well as various diagnostic criteria for an autism diagnosis, yet cultural factors are rarely considered in research and in clinical diagnostics. This study explored the relationship between [...] Read more.
Autism and motor abilities have been found to be closely related. Culture affects motor development as well as various diagnostic criteria for an autism diagnosis, yet cultural factors are rarely considered in research and in clinical diagnostics. This study explored the relationship between cultural factors, characteristics of autism, and balance abilities in autistic (n = 16) and non-autistic (n = 28) children by utilizing a demographic survey, the Social Responsiveness Scale, 2nd edition (SRS-2), and the Movement Assessment Battery for Children-2 (MABC-2) Balance subtest. A multiple linear regression model was used to analyze whether the relationship between autism characteristics and balance abilities still stands when cultural factors are considered, and to determine which cultural factors moderate the relationship. Moderation analyses with Holm–Bonferroni correction tested whether cultural factors altered the strength of the SRS-2 and MABC-2 balance association. The results of this study were consistent with previous research in that there is still a strong relationship between autism and balance abilities even when cultural factors are considered. The results further indicated that, in addition to autistic characteristics, age, gender/sex, and ethnic origin were statistically significant contributors to the multiple linear regression model. No significant moderation effects were detected, indicating consistency of the autism–balance relationship across cultural groups examined. In conclusion, cultural factors must be considered in autism research, as well as in the development and implementation of diagnostic and treatment protocols for autistic children. Full article
Show Figures

Figure 1

18 pages, 577 KB  
Article
The Impact of Entrepreneurs’ AI Literacy on Entrepreneurial Resilience: The Role of AI Anxiety and Social Support
by Yirong Liu, Haiqing Hu and Weiwei Kong
Behav. Sci. 2025, 15(12), 1741; https://doi.org/10.3390/bs15121741 - 16 Dec 2025
Viewed by 328
Abstract
In the contemporary entrepreneurial environment increasingly shaped by artificial intelligence, the Artificial intelligence (AI) literacy of entrepreneurs plays an essential role in enhancing entrepreneurial resilience. However, the underlying mechanisms that explain this relationship remain inadequately explored. Grounded in the Conservation of Resources (COR) [...] Read more.
In the contemporary entrepreneurial environment increasingly shaped by artificial intelligence, the Artificial intelligence (AI) literacy of entrepreneurs plays an essential role in enhancing entrepreneurial resilience. However, the underlying mechanisms that explain this relationship remain inadequately explored. Grounded in the Conservation of Resources (COR) theory, this study examines the effect of entrepreneurs’ AI literacy on entrepreneurial resilience, specifically assessing the mediating effect of AI anxiety and the moderating effect of social support. Data were obtained from 330 Chinese entrepreneurs using a two-wave survey design. The analysis revealed a significant positive association between AI literacy and entrepreneurial resilience. Furthermore, AI anxiety mediates this relationship, suggesting that AI literacy enhances entrepreneurial resilience by alleviating AI anxiety. Moreover, all three forms of social support were found to buffer the negative effect of AI anxiety on resilience. Notably, the moderating effects of subjective support and support utilization are significantly stronger than those of objective support, highlighting the distinct roles of different support types. These findings deepen theoretical insight into the psychological pathways linking AI literacy to resilience and offer practical guidance for entrepreneurs in the AI era. Full article
Show Figures

Figure 1

20 pages, 319 KB  
Article
Italian Validation of the Feedback Orientation Scale: Psychometric Properties and Cultural Adaptation
by Elena Lo Piccolo, Marco Giovanni Mariani and Gerardo Petruzziello
Behav. Sci. 2025, 15(12), 1740; https://doi.org/10.3390/bs15121740 - 16 Dec 2025
Viewed by 283
Abstract
Background: Feedback Orientation (FO) reflects how individuals value, accept, and use feedback in a way that influences learning, performance, and sustainable career development. While this concept has been empirically examined, the psychometric properties of the Feedback Orientation Scale (FOS) have received sparse attention [...] Read more.
Background: Feedback Orientation (FO) reflects how individuals value, accept, and use feedback in a way that influences learning, performance, and sustainable career development. While this concept has been empirically examined, the psychometric properties of the Feedback Orientation Scale (FOS) have received sparse attention outside English-speaking contexts, with no validation in the Italian context. This study aimed to adapt and validate the Italian version of the FOS. Methods: A sample of 1092 employees from diverse occupational sectors completed the FOS, also using measures of job satisfaction and perceptions of the feedback environment. The dataset was randomly split to conduct both exploratory and confirmatory factor analyses, followed by reliability and validity testing and measurement invariance analyses across groups. Results: Analyses confirmed the original four-factor structure—Utility, Social Awareness, Accountability, and Feedback Self-Efficacy—and supported a higher-order FO construct. The Italian FOS showed acceptable reliability and validity, with expected correlations with job satisfaction and the feedback environment. Measurement invariance was also tested to examine the scale’s equivalence across groups. Conclusions: These initial findings provide support for the Italian FOS as a promising instrument with acceptable psychometric properties, extending the cross-cultural understanding of feedback orientation and offering a useful basis for investigating feedback processes in organizational settings. Full article
22 pages, 564 KB  
Review
Early Life Adversity and Disordered Eating: Cognitive and Neural Mechanisms
by Yijun Luo, Jingqiu Zhang and Hong Chen
Behav. Sci. 2025, 15(12), 1739; https://doi.org/10.3390/bs15121739 - 16 Dec 2025
Viewed by 438
Abstract
The mosaic brain evolution perspective states that the relative sizes and functions of brain regions adapt to living environments and behavioural motivation. Early life adversity brings changes to brain structure, function, and patterns of cognitive processing of food cues. Specific brain development patterns [...] Read more.
The mosaic brain evolution perspective states that the relative sizes and functions of brain regions adapt to living environments and behavioural motivation. Early life adversity brings changes to brain structure, function, and patterns of cognitive processing of food cues. Specific brain development patterns are associated with subsequent disordered eating, which, on the one hand, increases the risk of obesity and metabolic syndrome, and, on the other hand, leads to mental health problems, such as depression and anxiety. This review intends to synthesise aberrant brain development indices, describe aberrant brain developmental trajectories, summarise aberrant neural markers of cognitive processing of food cues, conclude how early life adversity affects disordered eating through aberrant brain development patterns, and provide neural implications for future disordered eating research and intervention. Full article
Show Figures

Figure 1

16 pages, 304 KB  
Article
Differential Effects of Group Intervention on Psychological Subhealth in University Students: Evidence from Core Predicaments
by Anxin Li and Yanan Meng
Behav. Sci. 2025, 15(12), 1738; https://doi.org/10.3390/bs15121738 - 16 Dec 2025
Viewed by 311
Abstract
Psychological subhealth among university students is a growing concern affecting their development, with insufficient attention to differential intervention effects for students facing distinct core predicaments. This exploratory study investigated the overall and differential effects of a group intervention integrating cognitive behavioral and social [...] Read more.
Psychological subhealth among university students is a growing concern affecting their development, with insufficient attention to differential intervention effects for students facing distinct core predicaments. This exploratory study investigated the overall and differential effects of a group intervention integrating cognitive behavioral and social support theories on university students with psychological subhealth experiencing trauma, academic pressure, or family dysfunction. After defining these core predicament groups through questionnaire screening, twenty students with psychological subhealth were recruited from each of the three groups (total N = 60) and subsequently randomly assigned to either an 8-week group intervention or a control group. The Symptom Checklist-90 (SCL-90) was used for pre- and post-test assessments. Results showed the intervention significantly improved students’ overall psychological health and depressive symptoms. Differential effects were evident: the trauma group markedly improved in interpersonal sensitivity and anxiety; the academic pressure group showed pronounced improvement in obsessive-compulsive and anxiety symptoms; and the family dysfunction group benefited most regarding interpersonal sensitivity and hostility. This study suggests the intervention’s effectiveness and its link to students’ core predicament types, indicating a need for differentiated strategies based on precise assessment. These findings provide practical implications for precision-oriented mental health services in higher education. Full article
20 pages, 794 KB  
Article
Love on Empty: The Development and Validation of a Comprehensive Scale to Measure Burnout in Modern Relationships
by Ashley Elizabeth Thompson, Ryn Theis, Rachel Willhite and Julitta Dębska
Behav. Sci. 2025, 15(12), 1737; https://doi.org/10.3390/bs15121737 - 16 Dec 2025
Viewed by 789
Abstract
Modern romantic relationships face increasing internal and external pressures that may leave partners emotionally depleted and overwhelmed, yet empirical tools for assessing relationship burnout remain limited, mononormative, and psychometrically underdeveloped. Across two studies, we developed and validated the Antecedents of Relationship Burnout Scale [...] Read more.
Modern romantic relationships face increasing internal and external pressures that may leave partners emotionally depleted and overwhelmed, yet empirical tools for assessing relationship burnout remain limited, mononormative, and psychometrically underdeveloped. Across two studies, we developed and validated the Antecedents of Relationship Burnout Scale (ARBS), a multidimensional measure grounded in the Job Demands–Resources (JD–R) model and designed to capture the relational demands and resource deficits that precipitate burnout. Study 1 generated and evaluated an initial 51-item pool using a sample of 175 partnered adults. Exploratory factor analysis revealed a clear and robust two-factor structure: Relationship Depletion and Exhaustion (e.g., emotional detachment, diminished appreciation, unmet emotional/sexual needs) and Relational Overload (e.g., external stressors, partner demands, role strain). Study 2 sought to confirm this structure and establish the ARBS’s psychometric validity via a sample of 288 adults. A confirmatory factor analysis supported a 36-item two-factor model with strong internal consistency, full measurement invariance across gender, and theory-consistent associations with relationship satisfaction, therapy participation, and infidelity urge, demonstrating both convergent and predictive validity. Together, these studies introduce the ARBS as the first comprehensive, theoretically grounded measure of the antecedents of relationship burnout, offering a rigorous foundation for future research, assessment, and intervention. Full article
(This article belongs to the Section Social Psychology)
Show Figures

Figure 1

16 pages, 383 KB  
Article
Relational Aggression and Its Association with Other Forms of Aggression: An Applied Latent Profile Analysis
by David Skvarc, Brittany Patafio, Shannon Hyder, Travis Harries, Ashlee Curtis, Michelle Benstead and Richelle Mayshak
Behav. Sci. 2025, 15(12), 1736; https://doi.org/10.3390/bs15121736 - 15 Dec 2025
Viewed by 435
Abstract
Relational aggression (RA) is characterised by social manipulation and covert harm, often involving fluid and overlapping experiences of both perpetration and victimisation. We used latent profile analysis (LPA) to identify subgroups of young Australian adults based on their self-reported experiences of RA and [...] Read more.
Relational aggression (RA) is characterised by social manipulation and covert harm, often involving fluid and overlapping experiences of both perpetration and victimisation. We used latent profile analysis (LPA) to identify subgroups of young Australian adults based on their self-reported experiences of RA and explore whether these RA typologies are associated with broader aggressive traits and behaviours. We used a community sample of Australian adults aged 18–25 (N = 206, Mean age = 21.8, SD = 2.24, 77% female). Three distinct profiles emerged: predominantly victimised, combined victims–perpetrators (enmeshed), and the uninvolved. We observed strong indications that the experience of RA, even when predominantly as victimisation, was associated with increased odds of experiencing and perpetrating any aggression or violent behaviour compared to the uninvolved (OR = 5.17, [1.42–18.87] and OR = 3.21 [1.09–9.63] for the enmeshed and victimised classes, respectively, perpetrating any violent act). Conclusion: These results suggest the bidirectional nature of RA extends into young adulthood, and that distinct RA profiles exhibit differing patterns of broader aggressive behaviour. This study highlights that any approaches to further investigating or intervening with RA require consideration of the bidirectional nature of RA between perpetration and victimisation. Full article
Show Figures

Figure 1

12 pages, 557 KB  
Article
When Low Independence Fuels Luxury Consumption: Uniqueness as a Defense Mechanism During Collective Threats
by Jaeseok Yook and Seunghee Han
Behav. Sci. 2025, 15(12), 1735; https://doi.org/10.3390/bs15121735 - 15 Dec 2025
Viewed by 222
Abstract
Global crises, from pandemics to geopolitical instability, intensify societal anxiety. Paradoxically, these periods of collective threat often witness surges in luxury consumption. Drawing on Terror Management Theory (TMT), we propose this behavior is a psychological response to the deindividuating nature of such threats. [...] Read more.
Global crises, from pandemics to geopolitical instability, intensify societal anxiety. Paradoxically, these periods of collective threat often witness surges in luxury consumption. Drawing on Terror Management Theory (TMT), we propose this behavior is a psychological response to the deindividuating nature of such threats. We argue that a collective crisis increases intentions to purchase luxury goods via an intensified need for uniqueness, which functions as a self-affirming mechanism against a threatened sense of personal identity. We test this model using the COVID-19 pandemic as a salient operationalization of a collective threat. We further propose that this effect is counterintuitively moderated by independent self-construal. Findings from an experimental study (N = 276) show that perceived crisis risk increases luxury purchase intention, and this effect is serially mediated by the need for uniqueness. Critically, this indirect effect is strongest for individuals low in independent self-construal, who are prompted to engage in compensatory uniqueness-seeking when their primary buffer of social connection is disrupted. Our findings contribute to consumer behavior research by identifying a novel psychological pathway linking collective threats to consumption and offer insights for brands navigating consumer behavior during periods of widespread uncertainty. Full article
Show Figures

Figure 1

24 pages, 600 KB  
Systematic Review
Longitudinal Evidence on Peer Victimisation and Persistent Mental Health Outcomes in Youth: A Systematic Review
by Alessandra Giuliani, Irene Petruccelli and Giulio D’Urso
Behav. Sci. 2025, 15(12), 1734; https://doi.org/10.3390/bs15121734 - 15 Dec 2025
Viewed by 909
Abstract
Longitudinal studies consistently demonstrate that repeated exposure to peer victimisation can have enduring consequences for children and adolescents’ mental health. Documented outcomes include elevated risks of disorders such as depression, anxiety disorders, post-traumatic stress symptoms, and self-harm or suicidality, as well as broader [...] Read more.
Longitudinal studies consistently demonstrate that repeated exposure to peer victimisation can have enduring consequences for children and adolescents’ mental health. Documented outcomes include elevated risks of disorders such as depression, anxiety disorders, post-traumatic stress symptoms, and self-harm or suicidality, as well as broader psychosocial difficulties such as low self-esteem, loneliness, and internalising difficulties. However, prevalence estimates and effect sizes vary widely, reflecting differences in study design, measurement strategies, follow-up length, and the operationalisation of victimisation. This systematic review synthesises findings from 24 longitudinal studies to provide a comprehensive account of the mental health and psychosocial outcomes associated with peer victimisation. Evidence was strongest for depression and anxiety disorders, where multiple population-based cohorts in the United States, United Kingdom, Ireland, and Scandinavia showed robust prospective and retrospective associations, with risks amplified by repeated or persistent exposure. Peer victimisation also functioned as a traumatic stressor, predicting later post-traumatic stress symptoms, while self-harm and suicidality were elevated in several large-scale studies, though findings were less consistent. Additional work linked victimisation to later impaired well-being, including low self-esteem and internalizing difficulties. Mediators such as rumination, hostile attributions, and internalised stigma and moderators including gender, school belonging, and family support further explained heterogeneity in outcomes. By integrating findings across diverse contexts, this review clarifies the breadth and severity of long-term consequences of peer victimisation, highlighting both psychological mechanisms and contextual buffers. These insights can inform theoretical models of victimisation as a developmental risk factor and support the design of targeted prevention and intervention strategies. Full article
(This article belongs to the Special Issue Violence and Bullying: Risks, Intervention, Prevention)
Show Figures

Figure 1

18 pages, 273 KB  
Article
How We View Our Jobs and Our Clients: A Quantitative Study of Rejection Sensitivity in Trauma-Informed Care
by Xiwei Huang, Emily A. Bosk, Alicia Mendez, Tareq Hardan, Gina Everett and Michael J. MacKenzie
Behav. Sci. 2025, 15(12), 1733; https://doi.org/10.3390/bs15121733 - 15 Dec 2025
Viewed by 256
Abstract
Despite practice models of trauma-informed care (TIC) emphasizing relational engagement and emotional attunement as critical to service delivery, the role of individual dispositions in shaping staff perceptions and behavior remains underexplored. This study examined how rejection sensitivity, a construct grounded in attachment theory, [...] Read more.
Despite practice models of trauma-informed care (TIC) emphasizing relational engagement and emotional attunement as critical to service delivery, the role of individual dispositions in shaping staff perceptions and behavior remains underexplored. This study examined how rejection sensitivity, a construct grounded in attachment theory, defined as a dispositional tendency to anxiously expect and overreact to perceived rejection, may influence staff perceptions of their roles and client relationships in residential mental health agencies implementing TIC. We further explored whether individual and organizational factors, including job satisfaction, prior trauma training, perceived isolation at work, and trauma-related knowledge, contribute to these associations. Regression analyses were conducted on survey data from 155 frontline staff across three agencies testing the associations between rejection sensitivity and two relational outcomes: perceptions of work and of clients. Higher rejection sensitivity was significantly associated with more disengaged perceptions of work and less empathic views of clients, even after controlling for demographic and contextual organizational variables. Job satisfaction and trauma knowledge emerged as domain-specific protective factors, reducing the negative impact of rejection sensitivity. The findings underscore the importance of addressing staff relational dispositions to sustain effective TIC implementation. Enhancing job satisfaction and trauma knowledge may help support staff engagement in trauma-informed practice. Full article
(This article belongs to the Special Issue Healthy Work Environment: Employee Well-Being and Job Satisfaction)
15 pages, 1178 KB  
Article
Assessing Autonomic Regulation Under Stress with the Yale Pain Stress Test in Social Drinking and Alcohol Use Disorder
by Shaina Barreto, Colleen McGowan, Nia Fogelman, Rajita Sinha and Stephanie E. Wemm
Behav. Sci. 2025, 15(12), 1732; https://doi.org/10.3390/bs15121732 - 15 Dec 2025
Viewed by 303
Abstract
High levels of stress and individual differences in acute stress responses are important predictors of chronic illness. This study examined the effects of stress and Alcohol Use Disorder (AUD) on heart rate variability (HRV) using the Yale Pain Stress Test (YPST), adapted from [...] Read more.
High levels of stress and individual differences in acute stress responses are important predictors of chronic illness. This study examined the effects of stress and Alcohol Use Disorder (AUD) on heart rate variability (HRV) using the Yale Pain Stress Test (YPST), adapted from the well-established Cold Pressor Test (CPT). The YPST characterized three key (time periods) phases of the cardiovascular stress response to repeated trials of a pain-stress versus no pain-stress control condition: pre-stress baseline, acute reactivity, and recovery, using HRV as a physiological marker. Participants included 24 individuals who engaged in social drinking and 21 participants with AUD, all recruited from the Greater New Haven area. They were screened for psychiatric or medical conditions and other substance use disorders using DSM-5 criteria. Results showed significant main effects of stress condition and time across HRV metrics. While no significant three-way interaction among time period, condition, and drinking group was observed, there were significant condition × time period effects and group × condition effects. Participants with AUD exhibited lower high-frequency (HF) and low-frequency (LF) HRV during stress exposure compared to the recovery phase. They also showed a less dynamic LF/HF ratio during stress relative to social drinking controls, suggesting greater sympathetic dominance. In contrast, participants who engaged in social drinking displayed autonomic flexibility across time periods. Findings suggest that individuals with AUD experience blunted autonomic reactivity and reduced HRV recovery following stress, highlighting diminished physiological flexibility potentially indicating risk for long-term stress-related chronic diseases. The results underscore the importance of evaluating autonomic function in clinical care and recovery planning for individuals with AUD. Full article
(This article belongs to the Special Issue Stress and Drinking)
Show Figures

Figure 1

15 pages, 329 KB  
Article
Effect of Job Training and Work Environment on Professionalism Among Direct Long-Term Care Workers
by Chae Yoon Kim, Jeong Mi Lim and Bum Jung Kim
Behav. Sci. 2025, 15(12), 1731; https://doi.org/10.3390/bs15121731 - 15 Dec 2025
Viewed by 201
Abstract
This study examined the associations of job training and work environment with professionalism among direct long-term care (LTC) workers in South Korea. Given the cross-sectional design, the findings reflect statistical associations rather than causal relationships. A survey of 264 LTC workers was analyzed [...] Read more.
This study examined the associations of job training and work environment with professionalism among direct long-term care (LTC) workers in South Korea. Given the cross-sectional design, the findings reflect statistical associations rather than causal relationships. A survey of 264 LTC workers was analyzed using descriptive statistics, correlations, and hierarchical regression. Model fit improved from Model 1 to Model 3 (R2 = 0.370), and regression assumptions—including normality, homoscedasticity, and multicollinearity—were verified (all VIFs < 2.5). Work environment factors showed the strongest associations with professionalism. In the fully adjusted model, work promotion was positively associated (β = 0.177, p < 0.05), whereas work hindrance was negatively associated (β = −0.201, p < 0.01). Among sociodemographic variables, education (β = 0.183, p < 0.01) and monthly income (β = 0.113, p < 0.05) were significant. Job training showed no direct association with professionalism, likely reflecting limited variability and repetitive training content across institutions. Enhancing work environments—particularly by increasing recognition and reducing work obstacles—may strengthen professionalism among LTC workers. Job training systems may require redesign to improve relevance and effectiveness. Because data were drawn from a single region (Gyeonggi-do) and rely on self-report measures, generalizability is limited. Future studies should include multi-regional or longitudinal designs to deepen the understanding of workforce professionalism in aging societies. Practically, these findings suggest that improving recognition systems, reducing workflow barriers, and modernizing standardized training curricula may help strengthen professionalism among long-term care workers. Full article
(This article belongs to the Special Issue Burnout and Psychological Well-Being of Healthcare Workers)
15 pages, 452 KB  
Article
Satisfaction in Romantic Relationships: The Role of Body Appreciation, Sexual Esteem and Sexual Assertiveness
by Marco Rizzo, Camilla Matera, Daniela Caso, Anna Rosa Donizzetti, Caterina Grano, Amanda Nerini and Chiara Rollero
Behav. Sci. 2025, 15(12), 1730; https://doi.org/10.3390/bs15121730 - 15 Dec 2025
Viewed by 2906
Abstract
Romantic relationship satisfaction is widely recognized as a foundational contributor to both psychological and physical well-being. However, research on its association with other key constructs, such as body appreciation, sexual esteem and sexual assertiveness, is still lacking, especially in reference to romantic relationships. [...] Read more.
Romantic relationship satisfaction is widely recognized as a foundational contributor to both psychological and physical well-being. However, research on its association with other key constructs, such as body appreciation, sexual esteem and sexual assertiveness, is still lacking, especially in reference to romantic relationships. The present study investigates the interplay between body appreciation, sexual esteem, and sexual assertiveness, and their combined influence on relationship satisfaction in individuals in heterosexual relationships in Italy. Participants were 473 adults (50.1% men, 49.7% women, 0.2% other; age range 18–49). Structural equation modeling revealed that while body appreciation was indirectly associated with sexual assertiveness, it significantly predicted sexual esteem. Sexual assertiveness, but not sexual esteem, was positively associated with relationship satisfaction. No significant gender differences were found in the structural relationships among the variables. These findings underscore a process through which sexual assertiveness and body appreciation can enhance relational well-being and inform educational programs aimed at promoting healthy romantic relationships. Full article
(This article belongs to the Special Issue Body Image and Wellbeing: From a Social Psychology Perspective)
Show Figures

Figure 1

16 pages, 308 KB  
Article
Measuring Public Occupational Stigma Toward Morticians: Scale Development, Validation, and Implications
by Jiejing Yu and Dongmei Huang
Behav. Sci. 2025, 15(12), 1729; https://doi.org/10.3390/bs15121729 - 13 Dec 2025
Viewed by 273
Abstract
The present study employed stigma theory to devise a scale measuring public occupational stigma towards morticians and subsequently analyzed its impact. In Phase 1 (n = 575), the researchers developed the Public Occupational Stigma toward Morticians Scale (POSMS) and conducted item analysis [...] Read more.
The present study employed stigma theory to devise a scale measuring public occupational stigma towards morticians and subsequently analyzed its impact. In Phase 1 (n = 575), the researchers developed the Public Occupational Stigma toward Morticians Scale (POSMS) and conducted item analysis and exploratory factor analysis. Phase 2 (n = 536, n = 466) conducted confirmatory factor analysis and retest reliability testing for the scale. Phase 3 (n = 1111) validated construct validity, measurement invariance across genders, and criterion-related validity. In summary, these results supported the reliability and validity of the POSMS and confirmed that public occupational stigma toward morticians had negative consequences. This study fills a gap in research on occupational stigma within the funeral industry and offers practical insights for addressing stigma-related issues in other professions. Full article
(This article belongs to the Special Issue The Impact of Social Stigma on Marginalized Populations)
18 pages, 269 KB  
Article
Promoting Data Literacy: Using Social and Emotional Learning Assessment Data to Inform Teaching and Learning
by Zi Jia Ng, Britney Foster, Troya L. Ellis, Sophie P. Barnes, Jessica D. Hoffmann and Christina Cipriano
Behav. Sci. 2025, 15(12), 1728; https://doi.org/10.3390/bs15121728 - 13 Dec 2025
Viewed by 489
Abstract
Data literacy enables members of a school to evaluate the credibility of the information they encounter, meaningfully interpret the findings in context, and empower stakeholders to make data-based decisions that can promote student success. However, schools are often not equipped to readily interpret, [...] Read more.
Data literacy enables members of a school to evaluate the credibility of the information they encounter, meaningfully interpret the findings in context, and empower stakeholders to make data-based decisions that can promote student success. However, schools are often not equipped to readily interpret, critically appraise, and appropriately use data. This is particularly true for data from social and emotional learning assessments that measure non-academic skills and behaviors crucial to students’ well-being and success. This study illustrates the use of advise-and-design sessions, a sequence of focus groups that unpack, make sense of, and act on assessment data to inform and improve teaching and learning. A total of 37 educators and 11 adolescent students from 12 schools participated. Each was involved in 4–5 advise-and-design sessions during Spring 2024. The sessions were audio-recorded and then analyzed by thematic inductive coding. Key findings included data-driven introductory positioning, in-depth data review, and data-informed actions. An advise-and-design protocol is developed for use in schools. Implications for teaching and learning practices are also discussed. Full article
(This article belongs to the Special Issue Social and Emotional Learning in Schools)
21 pages, 1501 KB  
Review
Decision-Making in Repeated Games: Insights from Active Inference
by Hui Yuan, Ligang Wang, Wenbin Gao, Ting Tao and Chunlei Fan
Behav. Sci. 2025, 15(12), 1727; https://doi.org/10.3390/bs15121727 - 13 Dec 2025
Viewed by 717
Abstract
This review systematically explores the potential of the active inference framework in illuminating the cognitive mechanisms of decision-making in repeated games. Repeated games, characterized by multi-round interactions and social uncertainty, closely resemble real-world social scenarios in which the decision-making process involves interconnected cognitive [...] Read more.
This review systematically explores the potential of the active inference framework in illuminating the cognitive mechanisms of decision-making in repeated games. Repeated games, characterized by multi-round interactions and social uncertainty, closely resemble real-world social scenarios in which the decision-making process involves interconnected cognitive components such as inference, policy selection, and learning. Unlike traditional reinforcement learning models, active inference, grounded in the principle of free energy minimization, unifies perception, learning, planning, and action within a single generative model. Belief updating occurs by minimizing variational free energy, while the exploration–exploitation dilemma is balanced by minimizing expected free energy. Based on partially observable Markov decision processes, the framework naturally incorporates social uncertainty, and its hierarchical structure allows for simulating mentalizing processes, providing a unified account of social decision-making. Future research can further validate its effectiveness through model simulations and behavioral fitting. Full article
(This article belongs to the Section Behavioral Economics)
Show Figures

Figure 1

13 pages, 474 KB  
Article
Parental Psychological Control and Depression in University Students: The Chain Mediating Role of Self-Compassion and Emotion Regulation Difficulties
by Keke Chen, Asad Ur Rehman Awan and Tianyong Chen
Behav. Sci. 2025, 15(12), 1726; https://doi.org/10.3390/bs15121726 - 12 Dec 2025
Viewed by 479
Abstract
Parental psychological control has emerged as a significant risk factor for mental health challenges in young adults. This study aimed to investigate the relationship between parental psychological control and depression, with a specific focus on the chain mediating role of self-compassion and emotion [...] Read more.
Parental psychological control has emerged as a significant risk factor for mental health challenges in young adults. This study aimed to investigate the relationship between parental psychological control and depression, with a specific focus on the chain mediating role of self-compassion and emotion regulation difficulties among Chinese university students. A cross-sectional survey was administered to 363 university students (aged 17–24, 43.3% males, 56.7% females), who completed measures of parental psychological control, emotion regulation difficulties, self-compassion and depression. Findings revealed a significant positive relationship between parental psychological control and depression. Both self-compassion and emotion regulation difficulties independently mediated this association. Furthermore, the chain mediation of self-compassion and emotion regulation difficulties was significant, indicating that parental psychological control was linked with increased depression through decreased self-compassion and increased emotion regulation difficulties. This study sheds light on the significance of minimizing parental psychological control and cultivating a positive family atmosphere to alleviate depression. Parental psychological control has been identified as a potential risk factor for depression, hindering the development of self-compassion, increasing emotional regulation difficulties, with the diminished self-compassion also aggravating emotion regulation difficulties. Despite the cross-sectional design limiting causal inferences, our findings still highlight potential targets for interventions aimed at reducing depression. Full article
(This article belongs to the Section Health Psychology)
Show Figures

Figure 1

16 pages, 986 KB  
Article
Hidden Markov Trajectories of Early-Adolescent Media Overdependence and Machine Learning Prediction of High-Risk Maintenance from Early Childhood and Lower Elementary Predictors
by Eun-Kyoung Goh and Juyoun Kyun
Behav. Sci. 2025, 15(12), 1725; https://doi.org/10.3390/bs15121725 - 12 Dec 2025
Viewed by 292
Abstract
Early adolescence is a sensitive period for digital media overdependence; however, persistent high-risk patterns remain poorly understood. Using data from the 2008 birth panel of the Panel Study on Korean Children (n = 1354), we examined predictors measured from early childhood to [...] Read more.
Early adolescence is a sensitive period for digital media overdependence; however, persistent high-risk patterns remain poorly understood. Using data from the 2008 birth panel of the Panel Study on Korean Children (n = 1354), we examined predictors measured from early childhood to Grades 1–2 (2014–2016) and modeled digital media overdependence from Grades 3 to 6 (2017–2020). Hidden Markov Models (HMMs) were used to identify developmental trajectories, and machine learning models characterized risk signals using SHAP-informed feature importance. Five trajectories emerged, including one subgroup that maintained persistently high risk. The predictive model showed good discriminative performance (strong predictive performance [Receiver Operating Characteristic Area Under the Curve (ROC AUC) = 0.84]). Executive function difficulties in Grade 1 and their worsening through Grade 2 predicted an elevated risk, whereas longer or increasing sleep duration, stronger family interactions, and appropriate parental control were protective. In contrast, higher maternal parenting stress, greater overall media use time, and a larger proportion of game-centered media use functioned as risk factors. These findings identify modifiable early childhood and early elementary predictors of high-risk maintenance trajectories of media overdependence and may inform early screening and preventive interventions in families, schools, and communities. Full article
Show Figures

Figure 1

14 pages, 516 KB  
Article
As Effective as You Perceive It: The Relationship Between ChatGPT’s Perceived Effectiveness and Mental Health Stigma
by Scott N. Hannah, Deirdre Drake, Christopher D. Huntley and Joanne M. Dickson
Behav. Sci. 2025, 15(12), 1724; https://doi.org/10.3390/bs15121724 - 12 Dec 2025
Viewed by 614
Abstract
Individuals are increasingly using artificial intelligence chatbots, such as ChatGPT, to seek conversational support for their personal mental health difficulties. Heightened concerns about mental health stigma may make anonymous, on-demand chatbot interactions more appealing for some than traditional face-to-face support. This study examined [...] Read more.
Individuals are increasingly using artificial intelligence chatbots, such as ChatGPT, to seek conversational support for their personal mental health difficulties. Heightened concerns about mental health stigma may make anonymous, on-demand chatbot interactions more appealing for some than traditional face-to-face support. This study examined if using ChatGPT-4 for personal mental health difficulties is associated with two distinct forms of stigma, anticipated stigma and self-stigma. Our main aim was to investigate if the perceived effectiveness of ChatGPT use for mental health issues mediates the relationship between ChatGPT usage and anticipated stigma and self-stigma. The sample comprised 73 participants, mostly undergraduate psychology students. Participants completed online self-report measures to assess ChatGPT usage for mental health purposes, perceived effectiveness of ChatGPT for mental health issues, and anticipated stigma and self-stigma. Perceived effectiveness of ChatGPT was significantly and positively correlated with ChatGPT usage, and significantly negatively correlated with reduced anticipated stigma. Cross-sectional analyses found that perceived effectiveness significantly mediated the relationship between ChatGPT use and anticipated stigma, but not for self-stigma. The results indicate that ChatGPT use, when perceived as effective, is associated with a reduction in anticipated stigma concerning mental health issues. More research is now needed in this emerging area to inform best practice on the use of AI aids for mental health issues. Full article
(This article belongs to the Special Issue Understanding Mental Health and Well-Being in University Students)
Show Figures

Figure 1

19 pages, 902 KB  
Article
Prevention of Postpartum Depression via a Digital ACT-Based Intervention: Evaluation of a Prototype Using Multiple Case Studies
by Anna Elena Nicoletti, Silvia Rizzi, Stefano Fait and Oscar Mayora-Ibarra
Behav. Sci. 2025, 15(12), 1723; https://doi.org/10.3390/bs15121723 - 12 Dec 2025
Viewed by 233
Abstract
Postpartum depression (PPD) affects up to 15% of mothers, yet access to preventive psychological interventions during pregnancy remains limited. Acceptance and Commitment Therapy (ACT) has demonstrated efficacy in promoting psychological flexibility and preventing mental distress. Nevertheless, no studies have yet evaluated its use [...] Read more.
Postpartum depression (PPD) affects up to 15% of mothers, yet access to preventive psychological interventions during pregnancy remains limited. Acceptance and Commitment Therapy (ACT) has demonstrated efficacy in promoting psychological flexibility and preventing mental distress. Nevertheless, no studies have yet evaluated its use for the prevention of PPD through a chatbot-based digital intervention. The present study describes the development and preliminary evaluation of an ACT-based chatbot intervention (REA) to support women during late pregnancy and the early postpartum period. Nineteen participants interacted with the low-fidelity REA prototype, explored its features, completed two questionnaires, and then participated in semi-structured interviews. Quantitative data were analysed using the Wilcoxon signed-rank test; qualitative data were analysed using thematic analysis. Quantitative analysis revealed significantly elevated scores for the majority of variables, including empathy and listening, fluency, lexicon, clarity, engagement, functionality, aesthetics, information, and perceived impact. The interview findings demonstrated a notable level of appreciation for the intervention. The participants described the chatbot as engaging and supportive, highlighting a smooth interaction flow, content-appropriate language, and messages of suitable length. The REA prototype demonstrated high acceptability, usability, and perceived usefulness among a diverse range of stakeholders, thus supporting its potential as a scalable, stigma-reducing tool for the prevention of PPD. Subsequent research endeavours will focus on refining the chatbot’s personalisation features and conducting comprehensive clinical trials to evaluate its efficacy. Full article
(This article belongs to the Special Issue Psychological Flexibility for Health and Wellbeing)
Show Figures

Figure 1

15 pages, 785 KB  
Article
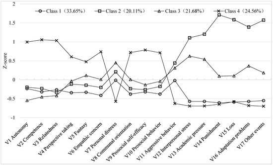
The Relationship Between Negative Life Events and Aggressive/Prosocial Behavior: A Latent Profile Analysis Based on Basic Psychological Need Satisfaction
by Yanli Zhu, Mengzhu Jiang, Fan Feng and Defeng Xia
Behav. Sci. 2025, 15(12), 1722; https://doi.org/10.3390/bs15121722 - 12 Dec 2025
Viewed by 262
Abstract
This study integrates Self-Determination Theory with an emotion–cognition framework and uses a questionnaire-based design to examine individual differences in behavioral responses. A person-centered latent profile analysis (LPA) was conducted among 1596 Chinese participants (gender: 68.9% female; mean age: 18.25 years old) to identify [...] Read more.
This study integrates Self-Determination Theory with an emotion–cognition framework and uses a questionnaire-based design to examine individual differences in behavioral responses. A person-centered latent profile analysis (LPA) was conducted among 1596 Chinese participants (gender: 68.9% female; mean age: 18.25 years old) to identify distinct behavioral profiles in the context of negative life events. The results revealed that (1) four distinct profiles emerged among participants: a Self-Focused Group (33.65%), a Stress–Aggression Group (20.11%), an Ambivalent–Aggression Group (21.68%), and a Prosocial Group (24.56%); (2) significant differences were observed among these profiles in terms of empathic responses and psychological need satisfaction. By employing a person-centered analytical approach, this study contributes to a nuanced understanding of behavioral divergence under stress and offers insights for designing subgroup-specific psychological interventions. Full article
(This article belongs to the Section Social Psychology)
Show Figures

Figure 1

24 pages, 643 KB  
Article
From Pressure to Peril: Investigating the Drivers of Suicide Planning and Attempts in University Students Struggling with Academic Anxiety
by Gulzar H. Shah, Masha Asad Khan, Maham Muzamil and Mahira Ahmed
Behav. Sci. 2025, 15(12), 1721; https://doi.org/10.3390/bs15121721 - 12 Dec 2025
Viewed by 517
Abstract
Self-harm is a growing public health concern, particularly among university students facing academic anxiety. This study explored the underlying factors driving suicide planning and attempts in this population. Using a qualitative design, we conducted thematic analysis of interviews with eight counselors and eight [...] Read more.
Self-harm is a growing public health concern, particularly among university students facing academic anxiety. This study explored the underlying factors driving suicide planning and attempts in this population. Using a qualitative design, we conducted thematic analysis of interviews with eight counselors and eight students from five public and private universities. Analysis via NVivo Software revealed six core themes: (1) current mental health support and coping strategies, (2) triggers of suicidal ideation linked to family and psychological stressors, (3) perceptions of campus mental health services, (4) cultural and societal misconceptions surrounding suicide, (5) institutional barriers to accessing mental health care, and (6) student-driven recommendations for prevention and support. These findings highlight the complex interplay between academic pressure, emotional distress, and limited institutional support. The study emphasizes the need for universities to enhance access to mental health services, reduce stigma through open dialogue and peer support, and engage families through targeted workshops. Tailored interventions addressing academic, emotional, and familial challenges—such as flexible deadlines and improved counseling access—can significantly reduce suicidal ideation and promote student well-being. Full article
(This article belongs to the Special Issue Suicidal Behaviors: Prevention, Intervention and Postvention)
Show Figures

Figure 1

Previous Issue
Next Issue
Back to TopTop