Indirect Multicultural Experiences: A Multidimensional Journey to Inspire Self-Change
Abstract
1. Introduction
1.1. Indirect Multicultural Experiences and Self-Change
1.2. Indirect Multicultural Experiences and Self-Change: The Mediating Role of Positive Emotion
1.3. Indirect Multicultural Experiences and Self-Change: The Mediating Role of Meaning Seeking
1.4. Indirect Multicultural Experiences and Self-Change: Subjective and Objective Social Class as Moderator
1.5. The Current Research
2. Methods
2.1. Participants
2.2. Measures
2.2.1. Indirect Multicultural Experience
2.2.2. Positive Emotion
2.2.3. Meaning Seeking
2.2.4. Self-Change
2.2.5. Subjective Social Class
2.2.6. Objective Social Class
2.2.7. Control Variable
2.3. Analysis and Results
2.3.1. Common Method Biases Test
2.3.2. Descriptive Statistics and Correlations
2.3.3. Indirect Multicultural Experience Positively Predicts Self-Change
2.3.4. Parallel Mediating Effects of Positive Emotions and Meaning Seeking
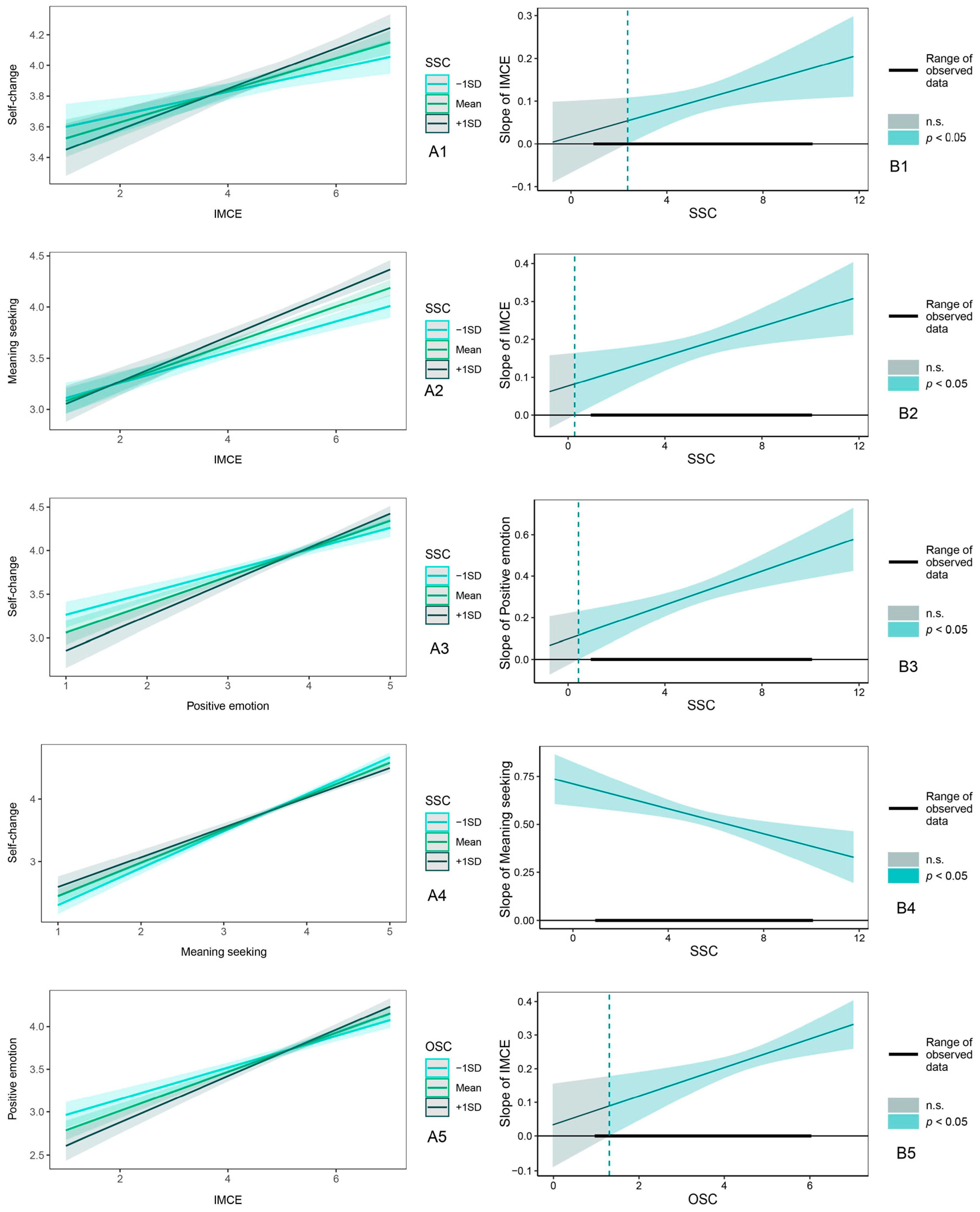
2.3.5. Moderating Effects of Subjective and Objective Social Status
3. Discussion
3.1. The Positive Association Between Indirect Multicultural Experiences and Self-Change
3.2. The Mediating Role of Positive Emotions
3.3. The Mediating Role of Meaning Seeking
3.4. Moderating Effect of Social Class
3.5. Implications
3.6. Future Direction
4. Conclusions
Author Contributions
Funding
Institutional Review Board Statement
Informed Consent Statement
Data Availability Statement
Conflicts of Interest
References
- Adler, N. E., & Ostrove, J. M. (1999). Socioeconomic status and health: What we know and what we don’t. Annals of the New York Academy of Sciences, 896(1), 3–15. [Google Scholar] [CrossRef] [PubMed]
- Alhazmi, A. A., & Kaufmann, A. (2022). Phenomenological qualitative methods applied to the analysis of cross-cultural experience in novel educational social contexts. Frontiers in Psychology, 13, 785134. [Google Scholar] [CrossRef] [PubMed]
- Aytug, Z. G., Kern, M. C., & Dilchert, S. (2018). Multicultural experience: Development and validation of a multidimensional scale. International Journal of Intercultural Relations, 65, 1–16. [Google Scholar] [CrossRef]
- Bao, Y., Zhang, C., Bi, C., Cheng, Q., Chen, Q., Zhang, J., & Zhao, Y. (2024). The “moral neutrality pattern” of individuals with indirect multicultural experiences in immoral and moral judgments: Behavioral and neural evidence. BMC Psychology, 12(1), 635. [Google Scholar] [CrossRef] [PubMed]
- Belmi, P., Neale, M. A., Reiff, D., & Ulfe, R. (2020). The social advantage of miscalibrated individuals: The relationship between social class and overconfidence and its implications for class-based inequality. Journal of Personality and Social Psychology, 118(2), 254–282. [Google Scholar] [CrossRef] [PubMed]
- Berry, J. W., & Hou, F. (2016). Immigrant acculturation and wellbeing in Canada. Canadian Psychology, 57(4), 254–264. [Google Scholar] [CrossRef]
- Botha, F., Booysen, F., & Wouters, E. (2018). Satisfaction with family life in South Africa: The role of socioeconomic status. Journal of Happiness Studies, 19(8), 2339–2372. [Google Scholar] [CrossRef]
- Boucher, H. C. (2021). Social class and self-concept consistency: Implications for subjective well-being and felt authenticity. Self and Identity, 20(3), 406–422. [Google Scholar] [CrossRef]
- Box, A. G., Feito, Y., Brown, C., & Petruzzello, S. J. (2019). Individual differences influence exercise behavior: How personality, motivation, and behavioral regulation vary among exercise mode preferences. Heliyon, 5(4), e01459. [Google Scholar] [CrossRef]
- Breines, J. G., & Chen, S. (2012). Self-Compassion increases self-improvement motivation. Personality and Social Psychology Bulletin, 38(9), 1133–1143. [Google Scholar] [CrossRef]
- Butzer, B., & Kuiper, N. A. (2006). Relationships between the frequency of social comparisons and self-concept clarity, intolerance of uncertainty, anxiety, and depression. Personality and Individual Differences, 41(1), 167–176. [Google Scholar] [CrossRef]
- Carver, C. S., & Scheier, M. F. (1990). Origins and functions of positive and negative affect: A control-process view. Psychological Review, 97, 19–35. [Google Scholar] [CrossRef]
- Chen, W., Niu, G.-F., Zhang, D.-J., Fan, C.-Y., Tian, Y., & Zhou, Z.-K. (2016). Socioeconomic status and life satisfaction in Chinese adolescents: Analysis of self-esteem as a mediator and optimism as a moderator. Personality and Individual Differences, 95, 105–109. [Google Scholar] [CrossRef]
- Consedine, N. S., Chentsova-Dutton, Y. E., & Krivoshekova, Y. S. (2014). Emotional acculturation predicts better somatic health: Experiential and expressive acculturation among immigrant women from four ethnic groups. Journal of Social and Clinical Psychology, 33(10), 867–889. [Google Scholar] [CrossRef]
- Crisp, R. J., & Turner, R. N. (2011). Cognitive adaptation to the experience of social and cultural diversity. Psychological Bulletin, 137(2), 242–266. [Google Scholar] [CrossRef] [PubMed]
- De Leersnyder, J., Mesquita, B., & Kim, H. S. (2011). Where do my emotions belong? A study of immigrants’ emotional acculturation. Personality and Social Psychology Bulletin, 37(4), 451–463. [Google Scholar] [CrossRef] [PubMed]
- DiMaggio, P. (1997). Culture and cognition. Annual Review of Sociology, 23, 263–287. [Google Scholar] [CrossRef]
- Dimesinova, S. S., & Moldakhmetov, A. (2012). The role of the multicultural environment in the self-development of students of pedagogical universities. Available online: https://repo.kspi.kz/bitstream/handle/123456789/4548/2012-2_93-96.pdf?sequence=1&isAllowed=y (accessed on 25 October 2024).
- Doğan, T., Sapmaz, F., Tel, F. D., Sapmaz, S., & Temizel, S. (2012). Meaning in life and subjective well-being among Turkish university students. Procedia-Social and Behavioral Sciences, 55, 612–617. [Google Scholar] [CrossRef]
- Endicott, L., Bock, T., & Narvaez, D. (2003). Moral reasoning, intercultural development, and multicultural experiences: Relations and cognitive underpinnings. International Journal of Intercultural Relations, 27(4), 403–419. [Google Scholar] [CrossRef]
- Fowers, B. J., & Davidov, B. J. (2006). The virtue of multiculturalism: Personal transformation, character, and openness to the other. American Psychologist, 61(6), 581–594. [Google Scholar] [CrossRef]
- Fredrickson, B. L. (1998). What good are positive emotions? Review of General Psychology, 2(3), 300–319. [Google Scholar] [CrossRef] [PubMed]
- Fredrickson, B. L. (2011). The role of positive emotions in positive psychology. American Psychologist, 56, 218–226. [Google Scholar] [CrossRef]
- Gross, J. J. (2015). Emotion regulation: Current status and future prospects. Psychological Inquiry, 26(1), 1–26. [Google Scholar] [CrossRef]
- Hooker, E. D., & Algoe, S. B. (2022). Integrating research on social class and social relationships. Social and Personality Psychology Compass, 16(8), e12698. [Google Scholar] [CrossRef]
- Hundschell, A., Razinskas, S., Backmann, J., & Hoegl, M. (2022). The effects of diversity on creativity: A literature review and synthesis. Applied Psychology, 71(4), 1598–1634. [Google Scholar] [CrossRef]
- Hayes, A. F. (2018). Introduction to mediation moderation and conditional process analysis: A regression-based approach. The Guilford Press. [Google Scholar]
- Işik, Ş., & Uzbe, N. (2015). Personality traits and positive/negative affects: An analysis of meaning in life among adults. Educational Sciences: Theory & Practice, 15(3), 587–595. [Google Scholar] [CrossRef]
- Johnson, D. W., & Johnson, R. T. (2009). An educational psychology success story: Social interdependence theory and cooperative learning. Educational Researcher, 38(5), 365–379. [Google Scholar] [CrossRef]
- John-Steiner, V., & Mahn, H. (1996). Sociocultural approaches to learning and development: A vygotskian framework. Educational Psychologist, 31(3–4), 191–206. [Google Scholar] [CrossRef]
- Kahn, B. E., & Isen, A. M. (1993). The influence of positive affect on variety seeking among safe, enjoyable products. Journal of Consumer Research, 20(2), 257. [Google Scholar] [CrossRef]
- Kashdan, T. B., Gallagher, M. W., Silvia, P. J., Winterstein, B. P., Breen, W. E., Terhar, D., & Steger, M. F. (2009). The curiosity and exploration inventory-II: Development, factor structure, and psychometrics. Journal of Research in Personality, 43(6), 987–998. [Google Scholar] [CrossRef]
- Kraus, M. W., & Park, J. W. (2014). The undervalued self: Social class and self-evaluation. Frontiers in Psychology, 5, 1404. [Google Scholar] [CrossRef]
- Kraus, M. W., Piff, P. K., & Keltner, D. (2009). Social class, sense of control, and social explanation. Journal of Personality and Social Psychology, 97(6), 992–1004. [Google Scholar] [CrossRef]
- Kraus, M. W., Piff, P. K., Mendoza-Denton, R., Rheinschmidt, M. L., & Keltner, D. (2012). Social class, solipsism, and contextualism: How the rich are different from the poor. Psychological Review, 119(3), 546–572. [Google Scholar] [CrossRef]
- Lee, J. C., Hall, D. L., & Wood, W. (2018). Experiential or material purchases? Social class determines purchase happiness. Psychological Science, 29(7), 1031–1039. [Google Scholar] [CrossRef] [PubMed]
- Leung, A. K., Maddux, W. W., Galinsky, A. D., & Chiu, C. (2008). Multicultural experience enhances creativity: The when and how. American Psychologist, 63(3), 169–181. [Google Scholar] [CrossRef]
- Lickel, B., Kushlev, K., Savalei, V., Matta, S., & Schmader, T. (2014). Shame and the motivation to change the self. Emotion, 14(6), 1049–1061. [Google Scholar] [CrossRef]
- Lin, R., Hong, Y., Xiao, H., Chen, Y., & Lian, R. (2021). Openness to experience and dispositional awe: The moderating role of subjective socioeconomic status and mediating role of Zhong-Yong thinking style in Chinese undergraduates. Scandinavian Journal of Psychology, 62(4), 617–624. [Google Scholar] [CrossRef] [PubMed]
- Lu, J. G., Quoidbach, J., Gino, F., Chakroff, A., Maddux, W. W., & Galinsky, A. D. (2017). The dark side of going abroad: How broad foreign experiences increase immoral behavior. Journal of Personality and Social Psychology, 112(1), 1–16. [Google Scholar] [CrossRef]
- Maddux, W. W., Leung, A. K., Chiu, C., & Galinsky, A. D. (2009). Toward a more complete understanding of the link between multicultural experience and creativity. American Psychologist, 64(2), 156–158. [Google Scholar] [CrossRef] [PubMed]
- Maddux, W. W., Lu, J. G., Affinito, S. J., & Galinsky, A. D. (2021). Multicultural experiences: A systematic review and new theoretical framework. Academy of Management Annals, 15(2), 345–376. [Google Scholar] [CrossRef]
- Matz, S. C. (2021). Personal echo chambers: Openness-to-experience is linked to higher levels of psychological interest diversity in large-scale behavioral data. Journal of Personality and Social Psychology, 121(6), 1284–1300. [Google Scholar] [CrossRef]
- McCrae, R. R. (1996). Social consequences of experiential openness. Psychological Bulletin, 120(3), 323–337. [Google Scholar] [CrossRef]
- McRae, K. (2016). Cognitive emotion regulation: A review of theory and scientific findings. Current Opinion in Behavioral Sciences, 10, 119–124. [Google Scholar] [CrossRef]
- Moradi, B., & Hasan, N. T. (2004). Arab American persons’ reported experiences of discrimination and mental health: The mediating role of personal control. Journal of Counseling Psychology, 51(4), 418–428. [Google Scholar] [CrossRef]
- Ochsner, K. N., & Gross, J. J. (2008). Cognitive emotion regulation: Insights from social cognitive and affective neuroscience. Current Directions in Psychological Science, 17(2), 153–158. [Google Scholar] [CrossRef]
- Odabasi, B. (2013). The effect of learned helplessness to the success. International Journal of Academic Research, 5(4), 125–133. [Google Scholar] [CrossRef]
- Orth, U., Robins, R. W., & Widaman, K. F. (2012). Life-span development of self-esteem and its effects on important life outcomes. Journal of Personality and Social Psychology, 102(6), 1271–1288. [Google Scholar] [CrossRef] [PubMed]
- Park, C. L. (2010). Making sense of the meaning literature: An integrative review of meaning making and its effects on adjustment to stressful life events. Psychological Bulletin, 136(2), 257–301. [Google Scholar] [CrossRef] [PubMed]
- Piff, P. K., & Moskowitz, J. P. (2018). Wealth, poverty, and happiness: Social class is differentially associated with positive emotions. Emotion, 18(6), 902–905. [Google Scholar] [CrossRef]
- Quon, E. C., & McGrath, J. J. (2014). Subjective socioeconomic status and adolescent health: A meta-analysis. Health Psychology, 33(5), 433–447. [Google Scholar] [CrossRef] [PubMed]
- Richman, S. B., Slotter, E. B., Gardner, W. L., & DeWall, C. N. (2015). Reaching out by changing what’s within: Social exclusion increases self-concept malleability. Journal of Experimental Social Psychology, 57, 64–77. [Google Scholar] [CrossRef]
- Ro, H. K., Terenzini, P. T., & Yin, A. C. (2013). Between-college effects on students reconsidered. Research in Higher Education, 54(3), 253–282. [Google Scholar] [CrossRef]
- Russell, J. A. (2003). Core affect and the psychological construction of emotion. Psychological Review, 110(1), 145–172. [Google Scholar] [CrossRef] [PubMed]
- Russo-Netzer, P., Horenczyk, G., & Bergman, Y. S. (2021). Affect, meaning in life, and life satisfaction among immigrants and non-immigrants: A moderated mediation model. Current Psychology, 40(7), 3450–3458. [Google Scholar] [CrossRef]
- Serin, N. B., Serin, O., & Özbaş, L. F. (2010). Predicting university students’ life satisfaction by their anxiety and depression level. Procedia-Social and Behavioral Sciences, 9, 579–582. [Google Scholar] [CrossRef]
- Shea, C. H., & Wulf, G. (2005). Schema theory: A critical appraisal and reevaluation. Journal of Motor Behavior, 37(2), 85–102. [Google Scholar] [CrossRef] [PubMed]
- Shiota, M. N., Sauter, D. A., & Desmet, P. M. (2021). What are ‘positive’ affect and emotion? Current Opinion in Behavioral Sciences, 39, 142–146. [Google Scholar] [CrossRef]
- Slotter, E. B., & Walsh, C. M. (2017). All role transitions are not experienced equally: Associations among self-change, emotional reactions, and self-concept clarity. Self and Identity, 16(5), 531–556. [Google Scholar] [CrossRef]
- Sparkman, D. J., Eidelman, S., & Blanchar, J. C. (2016). Multicultural experiences reduce prejudice through personality shifts in Openness to Experience. European Journal of Social Psychology, 46(7), 840–853. [Google Scholar] [CrossRef]
- Steger, M. F., Frazier, P., Oishi, S., & Kaler, M. (2006). The meaning in life questionnaire: Assessing the presence of and search for meaning in life. Journal of Counseling Psychology, 53(1), 80–93. [Google Scholar] [CrossRef]
- Steger, M. F., & Kashdan, T. B. (2007). Stability and specificity of meaning in life and life satisfaction over one year. Journal of Happiness Studies, 8(2), 161–179. [Google Scholar] [CrossRef]
- Steger, M. F., Kashdan, T. B., Sullivan, B. A., & Lorentz, D. (2008). Understanding the search for meaning in life: Personality, cognitive style, and the dynamic between seeking and experiencing meaning. Journal of Personality, 76(2), 199–228. [Google Scholar] [CrossRef] [PubMed]
- Stephan, E., & Sedikides, C. (2024). Mental time travel as self-affirmation. Personality and Social Psychology Review, 28(2), 181–208. [Google Scholar] [CrossRef] [PubMed]
- Tadmor, C. T., Galinsky, A. D., & Maddux, W. W. (2012a). Getting the most out of living abroad: Biculturalism and integrative complexity as key drivers of creative and professional success. Journal of Personality and Social Psychology, 103(3), 520–542. [Google Scholar] [CrossRef] [PubMed]
- Tadmor, C. T., Hong, Y., Chao, M. M., Wiruchnipawan, F., & Wang, W. (2012b). Multicultural experiences reduce intergroup bias through epistemic unfreezing. Journal of Personality and Social Psychology, 103(5), 750–772. [Google Scholar] [CrossRef]
- Tian, L., Liu, B., Huang, S., & Huebner, E. S. (2013). Perceived social support and school well-being among Chinese early and middle adolescents: The mediational role of self-esteem. Social Indicators Research, 113(3), 991–1008. [Google Scholar] [CrossRef]
- Ukasoanya, G. (2014). Social adaptation of new immigrant students: Cultural Scripts, roles, and symbolic interactionism. International Journal for the Advancement of Counselling, 36(2), 150–161. [Google Scholar] [CrossRef]
- Watson, D., Anna, L., & Tellegen, A. (1988). Development and Validation of Brief Measures of Positive and Negative Affect: The PANAS Scales. Journal of Personality and Social Psychology, 54, 1063–1070. [Google Scholar] [CrossRef] [PubMed]
- Yakunina, E. S., Weigold, I. K., Weigold, A., Hercegovac, S., & Elsayed, N. (2012). The multicultural personality: Does it predict international students’ openness to diversity and adjustment? International Journal of Intercultural Relations, 36(4), 533–540. [Google Scholar] [CrossRef]
- Youngstrom, E. A., & Green, K. W. (2003). Reliability generalization of self-report of emotions when using the differential emotions scale. Educational and Psychological Measurement, 63(2), 279–295. [Google Scholar] [CrossRef]
- Zhao, N., Zhao, Y., Bao, Y., Mo, X., & Ma, X. (2024). Effects of multicultural experiences on Empathy: A model of the roles of positive emotion and critical thinking. Journal of Applied Social Psychology, 54, 697–797. [Google Scholar] [CrossRef]
- Zhou, H. (2004). Statistical remedies for common method biases. Advances in Psychological Science, 12(6), 942–950. [Google Scholar]




| M | SD | 1 | 2 | 3 | 4 | 5 | 6 | |
|---|---|---|---|---|---|---|---|---|
| 1. IMCE | 4.80 | 1.19 | ||||||
| 2. Positive emotion | 3.65 | 0.74 | 0.36 *** | |||||
| 3. Meaning seeking | 3.79 | 0.79 | 0.31 *** | 0.51 *** | ||||
| 4. Self-change | 3.93 | 0.74 | 0.18 *** | 0.31 *** | 0.57 *** | |||
| 5. Gender | 0.27 | 0.44 | −0.06 * | −0.17 *** | 0.06 * | 0.20 *** | ||
| 6. Age | 24.32 | 4.47 | 0.07 ** | 0.10 *** | 0.07 ** | −0.02 | −0.07 ** | |
| 7. Overseas duration | 3.12 | 2.22 | 0.44 *** | 0.25 *** | −0.03 | −0.13 *** | −0.22 *** | 0.08 ** |
| Step 1 | Step 2 | |||||||
|---|---|---|---|---|---|---|---|---|
| B | SE | β | t | B | SE | β | t | |
| IMCE | 0.11 | 0.02 | 0.18 | 7.39 *** | 0.18 | 0.02 | 0.29 | 10.92 *** |
| Gender | 0.28 | 0.04 | 0.17 | 7.02 *** | ||||
| Age | 0.00 | 0.00 | −0.01 | −0.54 | ||||
| Overseas duration | −0.07 | 0.01 | −0.21 | −7.99 *** | ||||
| R2 | 0.03 | 0.11 | ||||||
| ΔR2 | 0.03 | 0.08 | ||||||
| F | 54.62 *** | 48.80 *** | ||||||
| Step 1: Positive Emotion | Step 2: Meaning Seeking | Step 3: Self-Change | |||||||
|---|---|---|---|---|---|---|---|---|---|
| SE | β | t | SE | β | t | SE | β | t | |
| IMCE | 0.03 | 0.31 | 12.26 *** | 0.03 | 0.40 | 15.6 *** | 0.02 | 0.06 | 2.45 * |
| Positive emotion | 0.03 | 0.10 | 4.01 *** | ||||||
| Meaning seeking | 0.02 | 0.49 | 19.95 *** | ||||||
| Overseas duration | 0.03 | 0.08 | 3.19 ** | 0.03 | −0.20 | −7.66 *** | 0.02 | −0.12 | −5.27 *** |
| Gender | 0.05 | −0.13 | −5.4 *** | 0.05 | 0.04 | 1.82 | 0.05 | 0.16 | 7.75 *** |
| Age | 0.00 | 0.06 | 2.66 ** | 0.00 | 0.06 | 2.68 ** | 0.00 | −0.05 | −2.45 * |
| R2 | 0.16 | 0.14 | 0.37 | ||||||
| F | 77.51 *** | 65.49 *** | 156 *** | ||||||
| Step 1: Positive Emotion | Step 2: Meaning Seeking | Step 3: Self-Change | |||||||
|---|---|---|---|---|---|---|---|---|---|
| SE | β | t | SE | β | t | SE | β | t | |
| IMCE | 0.03 | 0.28 | 11.15 *** | 0.03 | 0.38 | 14.69 *** | 0.02 | 0.06 | 2.64 ** |
| SSC | 0.02 | 0.24 | 10.23 *** | 0.02 | 0.18 | 7.38 *** | 0.02 | 0.01 | 0.33 |
| IMCE × SSC | 0.02 | 0.01 | 0.71 | 0.02 | 0.07 | 3.35 ** | 0.02 | 0.04 | 2.29 * |
| OSC | 0.02 | −0.02 | −0.85 | 0.02 | −0.02 | −1.02 | 0.02 | 0.06 | 2.92 ** |
| IMCE × OSC | 0.02 | 0.06 | 2.79 ** | 0.02 | 0.01 | 0.49 | 0.02 | 0.00 | −0.22 |
| PE | 0.03 | 0.13 | 4.99 *** | ||||||
| MS | 0.02 | 0.46 | 18.44 *** | ||||||
| PE × SSC | 0.02 | 0.10 | 4.47 *** | ||||||
| MS × SSC | 0.02 | −0.13 | −5.35 *** | ||||||
| PE × OSC | 0.03 | −0.04 | −1.58 | ||||||
| MS × OSC | 0.03 | −0.04 | −1.24 | ||||||
| Overseas duration | 0.03 | 0.04 | 1.38 | 0.03 | −0.25 | −9.28 *** | 0.02 | −0.13 | −5.56 *** |
| Gender | 0.02 | −0.11 | −5.01 *** | 0.02 | 0.05 | 2.28 * | 0.02 | 0.16 | 7.58 *** |
| Age | 0.02 | 0.03 | 1.45 | 0.02 | 0.04 | 1.51 | 0.02 | −0.04 | −2.12 * |
| R2 | 0.22 | 0.17 | 0.39 | ||||||
| F | 55.95 *** | 42.47 *** | 72.84 *** | ||||||
Disclaimer/Publisher’s Note: The statements, opinions and data contained in all publications are solely those of the individual author(s) and contributor(s) and not of MDPI and/or the editor(s). MDPI and/or the editor(s) disclaim responsibility for any injury to people or property resulting from any ideas, methods, instructions or products referred to in the content. |
© 2025 by the authors. Licensee MDPI, Basel, Switzerland. This article is an open access article distributed under the terms and conditions of the Creative Commons Attribution (CC BY) license (https://creativecommons.org/licenses/by/4.0/).
Share and Cite
Zhang, J.; Rong, G.; Du, W.; Bao, Y. Indirect Multicultural Experiences: A Multidimensional Journey to Inspire Self-Change. Behav. Sci. 2025, 15, 53. https://doi.org/10.3390/bs15010053
Zhang J, Rong G, Du W, Bao Y. Indirect Multicultural Experiences: A Multidimensional Journey to Inspire Self-Change. Behavioral Sciences. 2025; 15(1):53. https://doi.org/10.3390/bs15010053
Chicago/Turabian StyleZhang, Jun, Guanglan Rong, Wenxi Du, and Yan Bao. 2025. "Indirect Multicultural Experiences: A Multidimensional Journey to Inspire Self-Change" Behavioral Sciences 15, no. 1: 53. https://doi.org/10.3390/bs15010053
APA StyleZhang, J., Rong, G., Du, W., & Bao, Y. (2025). Indirect Multicultural Experiences: A Multidimensional Journey to Inspire Self-Change. Behavioral Sciences, 15(1), 53. https://doi.org/10.3390/bs15010053
