A Study of the Effects of Virtual Reality-Based Sports Games on Improving Executive and Cognitive Functions in Minors with ADHD—A Meta-Analysis of Randomized Controlled Trials
Abstract
1. Introduction
2. Methods
2.1. Protocol and Registration
2.2. Sources of Information
2.3. Search Strategy
2.4. Inclusion and Exclusion Criteria
2.5. Data Extraction and Synthesis
2.6. Study Quality Assessment
2.7. Statistical Analysis
3. Results
3.1. Study Selection
3.2. Basic Characteristics of the Included Literature
3.3. Methodological Assessment of the Included Literature
3.4. Analysis of Outcomes
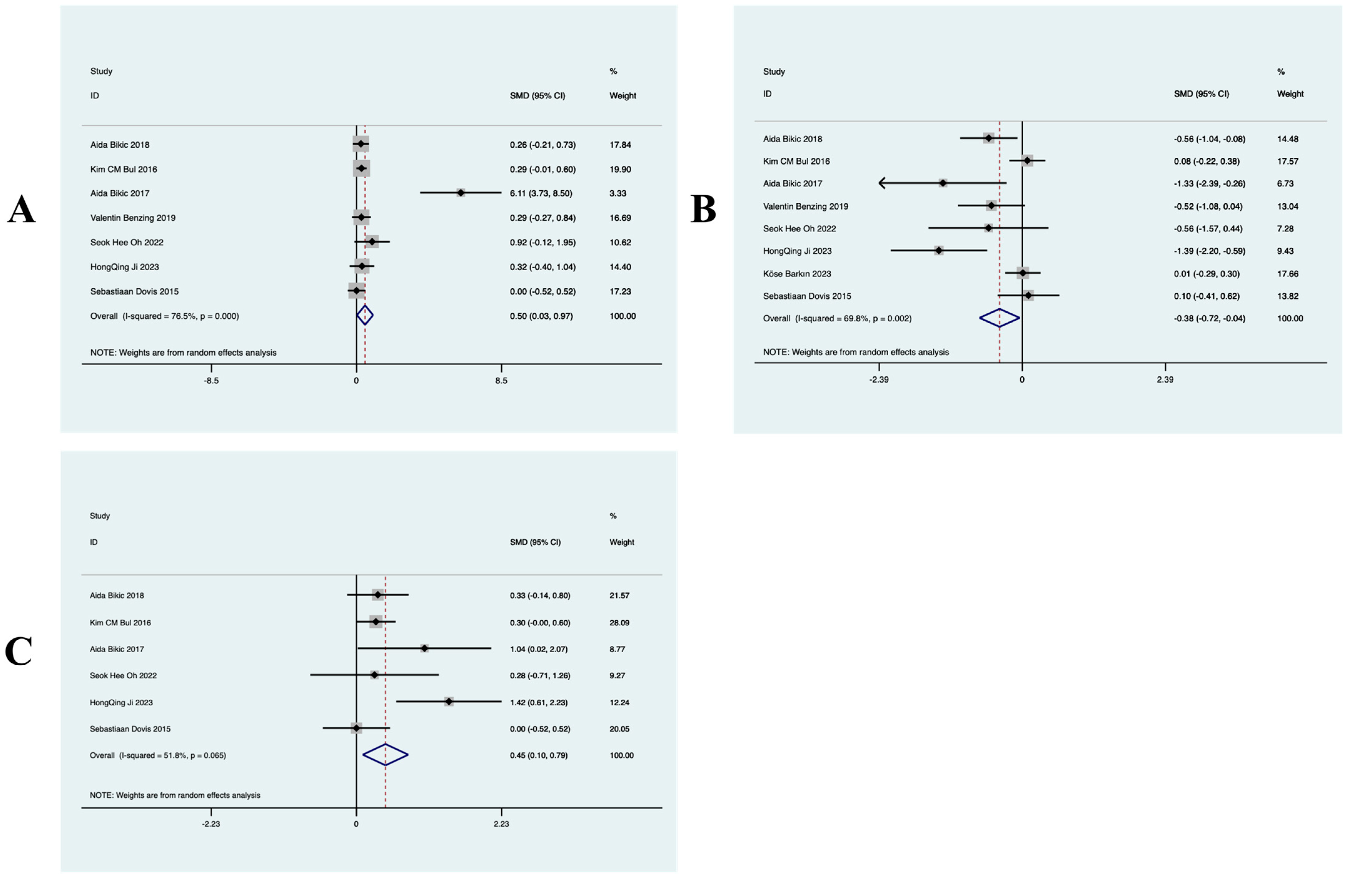
3.4.1. Main Outcome Indicators
Effects of Virtual Reality Exercise Technology on Cognitive Function in Minor ADHD Patients
Effects of Virtual Reality Movement Technology on Executive Functioning in Minor ADHD Patients
3.4.2. Secondary Outcome Indicators
Effect of Virtual Reality Exercise Technology on Attention in Minor ADHD Patients
Effect of Virtual Reality Movement Technology on Memory in Minor ADHD Patients
Effect of Virtual Reality Motion Technology on Task Switching in Minor ADHD Patients
3.5. Sensitivity Analysis
3.6. Bias Test
4. Discussion
4.1. Cognitive Function
4.1.1. Main Outcome Indicators
4.1.2. Secondary Outcome Indicators
4.2. Executive Function
4.2.1. Main Outcome Indicators
4.2.2. Secondary Outcome Indicators
4.3. Limitations of the Article
5. Conclusions
Author Contributions
Funding
Institutional Review Board Statement
Informed Consent Statement
Data Availability Statement
Conflicts of Interest
References
- Weinstein, C.S.; Apfel, R.J.; Weinstein, S.R. Description of Mothers with ADHD with Children with ADHD. Psychiatry 1998, 61, 12–19. [Google Scholar] [CrossRef] [PubMed]
- Akinbami, L.J.; Liu, X.; Pastor, P.N.; Reuben, C.A. Attention Deficit Hyperactivity Disorder among Children Aged 5–17 Years in the United States, 1998–2009; NCHS Data Brief, No. 70; National Center for Health Statistics: Hyattsville, MD, USA, 2011.
- Danielson, M.L.; Bitsko, R.H.; Ghandour, R.M.; Holbrook, J.R.; Kogan, M.D.; Blumberg, S.J. Prevalence of Parent-Reported ADHD Diagnosis and Associated Treatment Among U.S. Children and Adolescents, 2016. J. Clin. Child Adolesc. Psychol. 2018, 47, 199–212. [Google Scholar] [CrossRef] [PubMed]
- Danielson, M.L.; Claussen, A.H.; Bitsko, R.H.; Katz, S.M.; Newsome, K.; Blumberg, S.J.; Kogan, M.D.; Ghandour, R. ADHD Prevalence Among U.S. Children and Adolescents in 2022: Diagnosis, Severity, Co-Occurring Disorders, and Treatment. J. Clin. Child Adolesc. Psychol. 2024, 53, 343–360. [Google Scholar] [CrossRef] [PubMed]
- Doernberg, E.; Hollander, E. Neurodevelopmental Disorders (ASD and ADHD): DSM-5, ICD-10, and ICD-11. CNS Spectr. 2016, 21, 295–299. [Google Scholar] [CrossRef] [PubMed]
- Antshel, K.M.; Faraone, S.V.; Maglione, K.; Doyle, A.E.; Fried, R.; Seidman, L.J.; Biederman, J. Executive functioning in high-IQ adults with ADHD. Psychol. Med. 2010, 40, 1909–1918. [Google Scholar] [CrossRef]
- Randall, K.D.; Brocki, K.C.; Kerns, K.A. Cognitive Control in Children with ADHD-C: How efficient are they? Child Neuropsychol. 2009, 15, 163–178. [Google Scholar] [CrossRef]
- Antshel, K.M.; Remer, R. Social Skills Training in Children With Attention Deficit Hyperactivity Disorder: A Randomized-Controlled Clinical Trial. J. Clin. Child Adolesc. Psychol. 2003, 32, 153–165. [Google Scholar] [CrossRef]
- Bottini, S.; Polizzi, C.P.; Vizgaitis, A.; Ellenberg, S.; Krantweiss, A.R. When measures diverge: The intersection of psychometric instruments and clinical judgment in multimodal adult attention-deficit/hyperactivity disorder assessment. Prof. Psychol. Res. Pract. 2019, 50, 353–363. [Google Scholar] [CrossRef]
- Lee, H.K.; Jeong, J.; Kim, N.; Park, M.; Kim, T.; Seo, H.; Lim, H.; Hong, S.; Han, J. Sleep and cognitive problems in patients with attention-deficit hyperactivity disorder. Neuropsychiatr. Dis. Treat. 2014, 10, 1799–1805. [Google Scholar] [CrossRef]
- Irwin, L.N.; Soto, E.F.; Chan, E.S.M.; Miller, C.E.; Carrington-Forde, S.; Groves, N.B.; Kofler, M.J. Activities of daily living and working memory in pediatric attention-deficit/hyperactivity disorder (ADHD). Child Neuropsychol. 2021, 27, 468–490. [Google Scholar] [CrossRef]
- Tarle, S.J.; Alderson, R.M.; Arrington, E.F.; Roberts, D.K. Emotion Regulation and Children with Attention-Deficit/Hyperactivity Disorder: The Effect of Varying Phonological Working Memory Demands. J. Atten. Disord. 2021, 25, 851–864. [Google Scholar] [CrossRef] [PubMed]
- Arnold, L.E.; Hodgkins, P.; Kahle, J.; Madhoo, M.; Kewley, G. Long-Term Outcomes of ADHD: Academic Achievement and Performance. J. Atten. Disord. 2020, 24, 73–85. [Google Scholar] [CrossRef] [PubMed]
- Saccani, M.S.; Ursumando, L.; Di Vara, S.; Lazzaro, G.; Varuzza, C.; Vicari, S.; Menghini, D. Sleep disturbances in children with attentional deficit hyperactivity disorder and specific learning disorders. Int. J. Environ. Res. Public Health 2022, 19, 6411. [Google Scholar] [CrossRef] [PubMed]
- Klymkiw, D.F.; Milligan, K.; Lackner, C.; Phillips, M.; Schmidt, L.A.; Segalowitz, S.J. Does Anxiety Enhance or Hinder Attentional and Impulse Control in Youth With ADHD? An ERP Analysis. J. Atten. Disord. 2020, 24, 1746–1756. [Google Scholar] [CrossRef]
- Engelhardt, P.E.; Nigg, J.T.; Carr, L.A.; Ferreira, F. Cognitive inhibition and working memory in attention-deficit/hyperactivity disorder. J. Abnorm. Psychol. 2008, 117, 591. [Google Scholar] [CrossRef]
- Fried, R.; Chan, J.; Feinberg, L.; Pope, A.; Woodworth, K.Y.; Faraone, S.V.; Biederman, J. Clinical correlates of working memory deficits in youth with and without ADHD: A controlled study. J. Clin. Exp. Neuropsychol. 2016, 38, 487–496. [Google Scholar] [CrossRef]
- Rapport, M.D.; Bolden, J.; Kofler, M.J.; Sarver, D.E.; Raiker, J.S.; Alderson, R.M. Hyperactivity in boys with attention-deficit/hyperactivity disorder (ADHD): A ubiquitous core symptom or manifestation of working memory deficits? J. Abnorm. Child Psychol. 2009, 37, 521–534. [Google Scholar] [CrossRef]
- Allan, D.M.; Lonigan, C.J. Examination of the Structure and Measurement of Inattentive, Hyperactive, and Impulsive Behaviors from Preschool to Grade 4. J. Abnorm. Child Psychol. 2019, 47, 975–987. [Google Scholar] [CrossRef]
- Jaffe, C.; Bush, K.R.; Straits-Troster, K.; Meredith, C.; Romwall, L.; Rosenbaum, G.; Cherrier, M.; Saxon, A.J. A Comparison of Methamphetamine-Dependent Inpatients With and Without Childhood Attention Deficit Hyperactivity Disorder Symptomatology. J. Addict. Dis. 2005, 24, 133–152. [Google Scholar] [CrossRef]
- Virone, M.L. The Use of Mindfulness to Improve Emotional Regulation and Impulse Control among Adolescents with ADHD. J. Occup. Ther. Sch. Early Interv. 2021, 16, 78–90. [Google Scholar] [CrossRef]
- Hariprasad, V.R.; Arasappa, R.; Varambally, S.; Srinath, S.; Gangadhar, B.N. Feasibility and efficacy of yoga as an add-on intervention in attention deficit-hyperactivity disorder: An exploratory study. Indian J. Psychiatry 2013, 55 (Suppl. S3), S379–S384. [Google Scholar] [CrossRef] [PubMed]
- Silva, L.A.D.; Doyenart, R.; Henrique Salvan, P.; Rodrigues, W.; Felipe Lopes, J.; Gomes, K.; Thirupathi, A.; De Pinho, R.A.; Silveira, P.C. Swimming training improves mental health parameters, cognition and motor coordination in children with Attention Deficit Hyperactivity Disorder. Int. J. Environ. Health Res. 2019, 30, 584–592. [Google Scholar] [CrossRef] [PubMed]
- Yildirim, C. Transformative Virtual Reality Games for Adaptive Sports Training: Exploring the Perceptions of Individuals with Mobility Impairments. Int. J. Hum.—Comput. Interact. 2024, 1–13. [Google Scholar] [CrossRef]
- Morales Téllez, A.; Castro, L.A.; Tentori, M. Developing and evaluating a virtual reality videogame using biofeedback for stress management in sports. Interact. Comput. 2023, 35, 407–420. [Google Scholar] [CrossRef]
- Ou, Y.-K.; Wang, Y.-L.; Chang, H.-C.; Yen, S.-Y.; Zheng, Y.-H.; Lee, B.-O. Development of virtual reality rehabilitation games for children with attention-deficit hyperactivity disorder. J. Ambient Intell. Humaniz. Comput. 2020, 11, 5713–5720. [Google Scholar] [CrossRef]
- Merzon, L.; Pettersson, K.; Aronen, E.T.; Huhdanpää, H.; Seesjärvi, E.; Henriksson, L.; MacInnes, W.J.; Mannerkoski, M.; Macaluso, E.; Salmi, J. Eye movement behavior in a real-world virtual reality task reveals ADHD in children. Sci. Rep. 2022, 12, 20308. [Google Scholar] [CrossRef]
- Wan, B.; Wang, Q.; Su, K.; Dong, C.; Song, W.; Pang, M. Measuring the impacts of virtual reality games on cognitive ability using EEG signals and game performance data. IEEE Access 2021, 9, 18326–18344. [Google Scholar] [CrossRef]
- Rodrigues, E.V.; Gallo, L.H.; Guimarães, A.T.B.; Melo Filho, J.; Luna, B.C.; Gomes, A.R.S. Effects of dance exergaming on depressive symptoms, fear of falling, and musculoskeletal function in fallers and nonfallers community-dwelling older women. Rejuvenation Res. 2018, 21, 518–526. [Google Scholar] [CrossRef]
- Page, M.J.; McKenzie, J.E.; Bossuyt, P.M.; Boutron, I.; Hoffmann, T.C.; Mulrow, C.D.; Shamseer, L.; Tetzlaff, J.M.; Akl, E.A.; Brennan, S.E.; et al. The PRISMA 2020 statement: An updated guideline for reporting systematic reviews. BMJ 2021, 372, n71. [Google Scholar] [CrossRef]
- Higgins, J.P.T.; Thomas, J.; Chandler, J.; Cumpston, M.; Li, T.; Page, M.J.; Welch, V.A. (Eds.) Cochrane Handbook for Systematic Reviews of Interventions Version 6.5. (Updated August 2024). Cochrane, 2024. Available online: www.training.cochrane.org/handbook (accessed on 9 May 2024).
- Bikic, A.; Leckman, J.F.; Christensen, T.Ø.; Bilenberg, N.; Dalsgaard, S. Attention and executive functions computer training for attention-deficit/hyperactivity disorder (ADHD): Results from a randomized, controlled trial. Eur. Child Adolesc. Psychiatry 2018, 27, 1563–1574. [Google Scholar] [CrossRef]
- Bul, K.C.; Kato, P.M.; Van der Oord, S.; Danckaerts, M.; Vreeke, L.J.; Willems, A.; van Oers, H.J.; Van Den Heuvel, R.; Birnie, D.; Van Amelsvoort, T.A.; et al. Behavioral Outcome Effects of Serious Gaming as an Adjunct to Treatment for Children With Attention-Deficit/Hyperactivity Disorder: A Randomized Controlled Trial. J. Med. Internet Res. 2016, 18, e26. [Google Scholar] [CrossRef] [PubMed]
- Bikic, A.; Christensen, T.Ø.; Leckman, J.F.; Bilenberg, N.; Dalsgaard, S. A double-blind randomized pilot trial comparing computerized cognitive exercises to Tetris in adolescents with attention-deficit/hyperactivity disorder. Nord. J. Psychiatry 2017, 71, 455–464. [Google Scholar] [CrossRef] [PubMed]
- Benzing, V.; Schmidt, M. The effect of exergaming on executive functions in children with ADHD: A randomized clinical trial. Scand. J. Med. Sci. Sport. 2019, 29, 1243–1253. [Google Scholar] [CrossRef] [PubMed]
- Oh, S.H.; Park, J.W.; Cho, S. Effectiveness of the VR Cognitive Training for Symptom Relief in Patients with ADHD. J. Web Eng. 2022, 21, 767–788. [Google Scholar] [CrossRef]
- Ji, H.; Wu, S.; Won, J.; Weng, S.; Lee, S.; Seo, S.; Park, J.J. The Effects of Exergaming on Attention in Children With Attention Deficit/Hyperactivity Disorder: Randomized Controlled Trial. JMIR Serious Games 2023, 11, e40438. [Google Scholar] [CrossRef]
- Kim, S.; Ryu, J.; Choi, Y.; Kang, Y.; Li, H.; Kim, K. Eye-Contact Game Using Mixed Reality for the Treatment of Children With Attention Deficit Hyperactivity Disorder. IEEE Access 2020, 8, 45996–46006. [Google Scholar] [CrossRef]
- Barkın, K.; Ege, T.; Özgün, K.K.; Koray, K.; Sedef, Ş. How does therapist guided game-based intervention program effect motor skills in children with Attention Deficit Hyperactivity Disorder?: Single blind randomised study design. Res. Dev. Disabil. 2023, 137, 104495. [Google Scholar] [CrossRef]
- Kim, J.; Hong, S.; Song, M.; Kim, K. Visual Attention and Pulmonary VR Training System for Children With Attention Deficit Hyperactivity Disorder. IEEE Access 2024, 12, 53739–53751. [Google Scholar] [CrossRef]
- Dovis, S.; Van der Oord, S.; Wiers, R.W.; Prins, P.J. Improving executive functioning in children with ADHD: Training multiple executive functions within the context of a computer game. a randomized double-blind placebo controlled trial. PLoS ONE 2015, 10, e0121651. [Google Scholar] [CrossRef]
- Rodrigo-Yanguas, M.; Martin-Moratinos, M.; Menendez-Garcia, A.; Gonzalez-Tardon, C.; Royuela, A.; Blasco-Fontecilla, H. A virtual reality game (The Secret Trail of Moon) for treating attention-deficit/hyperactivity disorder: Development and usability study. JMIR Serious Games 2021, 9, e26824. [Google Scholar] [CrossRef]
- Liao, Y.Y.; Tseng, H.Y.; Lin, Y.J.; Wang, C.J.; Hsu, W.C. Using virtual reality-based training to improve cognitive function, instrumental activities of daily living and neural efficiency in older adults with mild cognitive impairment. Eur. J. Phys. Rehabil. Med. 2020, 56, 47–57. [Google Scholar] [CrossRef] [PubMed]
- Tuena, C.; Borghesi, F.; Bruni, F.; Cavedoni, S.; Maestri, S.; Riva, G.; Tettamanti, M.; Liperoti, R.; Rossi, L.; Ferrarin, M.; et al. Technology-Assisted Cognitive Motor Dual-Task Rehabilitation in Chronic Age-Related Conditions: Systematic Review. J. Med. Internet Res. 2023, 25, e44484. [Google Scholar] [CrossRef] [PubMed]
- Miklós, M.; Futó, J.; Komáromy, D.; Balázs, J. Executive Function and Attention Performance in Children with ADHD: Effects of Medication and Comparison with Typically Developing Children. Int. J. Environ. Res. Public Health 2019, 16, 3822. [Google Scholar] [CrossRef] [PubMed]
- Rogers, J.M.; Duckworth, J.; Middleton, S.; Steenbergen, B.; Wilson, P.H. Elements virtual rehabilitation improves motor, cognitive, and functional outcomes in adult stroke: Evidence from a randomized controlled pilot study. J. Neuroeng. Rehabil. 2019, 16, 56. [Google Scholar] [CrossRef]
- Faria, A.L.; Andrade, A.; Soares, L.; I Badia, S.B. Benefits of virtual reality based cognitive rehabilitation through simulated activities of daily living: A randomized controlled trial with stroke patients. J. Neuroeng. Rehabil. 2016, 13, 96. [Google Scholar] [CrossRef]
- Graf, L.; Scholemann, L.; Masuch, M. Designing VR games with gaze control for directing attention of children with ADHD. In Proceedings of the 2021 IEEE Conference on Games (CoG), Copenhagen, Denmark, 17–20 August 2021; pp. 1–5. [Google Scholar] [CrossRef]
- Lis, S.; Baer, N.; Franzen, N.; Hagenhoff, M.; Gerlach, M.; Koppe, G.; Sammer, G.; Gallhofer, B.; Kirsch, P. Social Interaction Behavior in ADHD in Adults in a Virtual Trust Game. J. Atten. Disord. 2016, 20, 335–345. [Google Scholar] [CrossRef]
- Pheh, K.S.; Tan, K.A.; Ibrahim, N.; Sidik, S.M. Effectiveness of Online Mindfulness-Based Intervention (iMBI) on Inattention, Hyperactivity-Impulsivity, and Executive Functioning in College Emerging Adults with Attention-Deficit/Hyperactivity Disorder: A Study Protocol. Int. J. Environ. Res. Public Health 2021, 18, 1257. [Google Scholar] [CrossRef]
- Wong, K.P.; Qin, J.; Xie, Y.J.; Zhang, B. Effectiveness of Technology-Based Interventions for School-Age Children With Attention-Deficit/Hyperactivity Disorder: Systematic Review and Meta-Analysis of Randomized Controlled Trials. JMIR Ment. Health 2023, 10, e51459. [Google Scholar] [CrossRef]
- De Luca, V.; Schena, A.; Covino, A.; Di Bitonto, P.; Potenza, A.; Barba, M.C.; D’Errico, G.; De Paolis, L.T. Serious games for the treatment of children with ADHD: The BRAVO project. Inf. Syst. Front. 2024. [Google Scholar] [CrossRef]
- Seesjärvi, E.; Puhakka, J.; Aronen, E.T.; Lipsanen, J.; Mannerkoski, M.; Hering, A.; Zuber, S.; Kliegel, M.; Laine, M.; Salmi, J. Quantifying ADHD Symptoms in Open-Ended Everyday Life Contexts With a New Virtual Reality Task. J. Atten. Disord. 2022, 26, 1394–1411. [Google Scholar] [CrossRef]
- Ahn, J.; Ahn, H.S.; Cheong, J.H.; Dela Peña, I. Natural Product-Derived Treatments for Attention-Deficit/Hyperactivity Disorder: Safety, Efficacy, and Therapeutic Potential of Combination Therapy. Neural Plast. 2016, 2016, 1320423. [Google Scholar] [CrossRef] [PubMed]
- Gillberg, C.; Melander, H.; von Knorring, A.; Kopp, H.; Janols, L.; Thernlund, G.; Eidevall-Wallin, E.; Gustafsson, P.; Hägglöf, B. Long-term stimulant treatment of children with attention-deficit hyperactivity disorder symptoms: A randomized, double-blind, placebo-controlled trial. Arch. Gen. Psychiatry 1997, 54, 857–864. [Google Scholar] [CrossRef] [PubMed]
- Nekar, D.M.; Lee, D.Y.; Hong, J.H.; Kim, J.S.; Kim, S.G.; Seo, Y.G.; Yu, J.H. Effects of Augmented Reality Game-Based Cognitive-Motor Training on Restricted and Repetitive Behaviors and Executive Function in Patients with Autism Spectrum Disorder. Healthcare 2022, 10, 1981. [Google Scholar] [CrossRef] [PubMed]
- Rodrigo-Yanguas, M.; Martin-Moratinos, M.; Menendez-Garcia, A.; Gonzalez-Tardon, C.; Sanchez-Sanchez, F.; Royuela, A.; Blasco-Fontecilla, H. A virtual reality serious videogame versus online chess augmentation in patients with attention deficit hyperactivity disorder: A randomized clinical trial. Games Health J. 2021, 10, 283–292. [Google Scholar]
- Savickaite, S.; Morrison, C.; Lux, E.; Delafield-Butt, J.; Simmons, D.R. The use of a tablet-based app for investigating the influence of autistic and ADHD traits on performance in a complex drawing task. Behav. Res. Methods 2022, 54, 2479–2501. [Google Scholar] [CrossRef]
- Pollak, Y.; Shomaly, H.B.; Weiss, P.L.; Rizzo, A.A.; Gross-Tsur, V. Methylphenidate Effect in Children With ADHD Can Be Measured by an Ecologically Valid Continuous Performance Test Embedded in Virtual Reality. CNS Spectr. 2010, 15, 125–130. [Google Scholar] [CrossRef]
- Vieira, Á.; Melo, C.; Machado, J.; Gabriel, J. Virtual reality exercise on a home-based phase III cardiac rehabilitation program, effect on executive function, quality of life and depression, anxiety and stress: A randomized controlled trial. Disability and rehabilitation. Assist. Technol. 2018, 13, 112–123. [Google Scholar] [CrossRef]
- Wang, C.; Li, K.; Seo, D.C.; Gaylord, S. Use of complementary and alternative medicine in children with ADHD: Results from the 2012 and 2017 National Health Interview Survey. Complement. Ther. Med. 2020, 49, 102352. [Google Scholar] [CrossRef]








| #1 | MeSH descriptor: [Virtual Reality] explode all trees |
| #2 | (Reality, Virtual):ti,ab,kw OR (Virtual Reality, Educational):ti,ab,kw OR (Educational Virtual Realities):ti,ab,kw OR (Educational Virtual Reality):ti,ab,kw OR (Reality, Educational Virtual):ti,ab,kw OR (Virtual Realities, Educational):ti,ab,kw OR (Virtual Reality, Instructional):ti,ab,kw OR (Instructional Virtual Realities):ti,ab,kw OR (Instructional Virtual Reality):ti,ab,kw OR (Realities, Instructional Virtual):ti,ab,kw OR (Reality, Instructional Virtual):ti,ab,kw OR (Virtual Realities, Instructional):ti,ab,kw |
| #3 | #1 OR #2 |
| #4 | MeSH descriptor: [Attention Deficit Disorder with Hyperactivity] explode all trees |
| #5 | (ADHD):ti,ab,kw OR (ADDH):ti,ab,kw OR (Attention Deficit Disorders with Hyperactivity):ti,ab,kw OR (Attention Deficit Hyperactivity Disorders):ti,ab,kw OR (Attention Deficit Hyperactivity Disorder):ti,ab,kw OR (Attention Deficit-Hyperactivity Disorder):ti,ab,kw OR (Attention Deficit-Hyperactivity Disorders):ti,ab,kw OR (Deficit-Hyperactivity Disorder, Attention):ti,ab,kw OR (Deficit-Hyperactivity Disorders, Attention):ti,ab,kw OR (Disorder, Attention Deficit-Hyperactivity):ti,ab,kw OR (Disorders, Attention Deficit-Hyperactivity):ti,ab,kw OR (Hyperkinetic Syndrome):ti,ab,kw OR (Syndromes, Hyperkinetic):ti,ab,kw OR (Attention Deficit Disorder):ti,ab,kw OR (Attention Deficit Disorders):ti,ab,kw OR (Deficit Disorder, Attention):ti,ab,kw OR (Deficit Disorders, Attention):ti,ab,kw OR (Disorder, Attention Deficit):ti,ab,kw OR (Disorders, Attention Deficit):ti,ab,kw OR (Brain Dysfunction, Minimal):ti,ab,kw OR (Dysfunction, Minimal Brain):ti,ab,kw |
| #6 | #4 OR #5 |
| #7 | #3 and #6 |
| Author | Year | Simple Size (Male/Female) | Source | Age | (T/C) | Intervention Cycle, Frequency, and Duration | Indicators | Measurement Tools |
|---|---|---|---|---|---|---|---|---|
| Aida Bikic [32] | 2018 | 70 | Denmark | 6–13 | (35/35) | 8 weeks, 6 times/week | cognitive, executive | RVP, SOC |
| Kim CM Bul [33] | 2016 | 170 (133/37) | Belgium | 8–12 | (88/82) | 10 weeks, 3 times/week, 65 min/time | cognitive, executive | BRIEF |
| Aida Bikic [34] | 2017 | 17 (12/5) | Denmark | 14–17 | (9/8) | 7 weeks, 5 times/week, 30 min/time | cognitive, executive | RVP, SOC |
| Valentin Benzing [35] | 2019 | 51 (42/9) | Germany | 8–12 | (28/23) | 8 weeks, 3 times/week, 30 min/week | cognitive, executive | Flanker, EFs |
| Seok Hee Oh [36] | 2022 | 16 | South Korea | 8–13 | (8/8) | 8 times | cognitive, executive | ATA, Stroop |
| HongQing Ji [37] | 2023 | 30 | South Korea | 8–12 | 1 (6/14) | 4 weeks, 3 times/week, 50 min/week | cognitive, executive | FAIR, Go/No-go |
| Seongki Kim [38] | 2020 | 40 | South Korea | under 10 | (20/20) | 15 times in 6 weeks, 50 min/time | cognitive, executive | ATA, IM |
| Köse Barkın [39] | 2023 | 176 | Turkey | 7–12 | (88/88) | 8 weeks, 2 times/week, 45 min/time | executive | BOT |
| Jimoon Kim [40] | 2024 | 24 (10/14) | South Korea | child | (12/12) | 4 times in 8 weeks, 15 min/time | cognitive, executive | ATA |
| Sebastiaan Dovis [41] | 2015 | 89 | The Netherlands | 8–12 | (28/30) | 25 times, 30 min/time | cognitive, executive | stop task, Stroop |
| Inclusion of Literature (Author) | Random Sequence Generation | Allocation Concealment | Blinding of Participants and Personnel | Blinding of Outcome Assessment | Incomplete Outcome Data | Selective Reporting | Other Bias |
|---|---|---|---|---|---|---|---|
| Aida Bikic 2017 [34] | L | L | L | L | L | L | L |
| Aida Bikic 2018 [32] | U | U | L | L | L | L | L |
| HongQing Ji 2023 [37] | L | U | L | L | H | L | L |
| Jimoon Kim 2024 [40] | L | L | L | L | L | L | L |
| Kim CM Bul 2016 [33] | U | U | U | L | L | L | L |
| Köse Barkın 2023 [39] | L | L | L | L | L | L | L |
| Sebastiaan Dovis 2015 [41] | L | L | L | L | L | L | L |
| Seok Hee Oh 2022 [36] | U | U | L | L | L | L | H |
| Seongki Kim 2020 [38] | U | U | U | L | L | L | L |
| Valentin Benzing 2019 [35] | L | U | L | L | H | L | L |
Disclaimer/Publisher’s Note: The statements, opinions and data contained in all publications are solely those of the individual author(s) and contributor(s) and not of MDPI and/or the editor(s). MDPI and/or the editor(s) disclaim responsibility for any injury to people or property resulting from any ideas, methods, instructions or products referred to in the content. |
© 2024 by the authors. Licensee MDPI, Basel, Switzerland. This article is an open access article distributed under the terms and conditions of the Creative Commons Attribution (CC BY) license (https://creativecommons.org/licenses/by/4.0/).
Share and Cite
Zhang, W.; Li, H.; Sheng, Y. A Study of the Effects of Virtual Reality-Based Sports Games on Improving Executive and Cognitive Functions in Minors with ADHD—A Meta-Analysis of Randomized Controlled Trials. Behav. Sci. 2024, 14, 1141. https://doi.org/10.3390/bs14121141
Zhang W, Li H, Sheng Y. A Study of the Effects of Virtual Reality-Based Sports Games on Improving Executive and Cognitive Functions in Minors with ADHD—A Meta-Analysis of Randomized Controlled Trials. Behavioral Sciences. 2024; 14(12):1141. https://doi.org/10.3390/bs14121141
Chicago/Turabian StyleZhang, Weixiao, Haojie Li, and Yi Sheng. 2024. "A Study of the Effects of Virtual Reality-Based Sports Games on Improving Executive and Cognitive Functions in Minors with ADHD—A Meta-Analysis of Randomized Controlled Trials" Behavioral Sciences 14, no. 12: 1141. https://doi.org/10.3390/bs14121141
APA StyleZhang, W., Li, H., & Sheng, Y. (2024). A Study of the Effects of Virtual Reality-Based Sports Games on Improving Executive and Cognitive Functions in Minors with ADHD—A Meta-Analysis of Randomized Controlled Trials. Behavioral Sciences, 14(12), 1141. https://doi.org/10.3390/bs14121141

