The Influence of Verb-Based Implicit Causality Information and Second Language Proficiency on Chinese English Learners’ Pronoun Anaphoric Inference: Evidence from Eye Movements
Abstract
1. Introduction
1.1. Verb-Based IC Information and Pronoun Anaphoric Inference
1.2. Individual Differences and Pronoun Anaphoric Inference
2. Methods
2.1. Participants
2.2. Materials
2.3. Procedure
2.4. Data Analysis
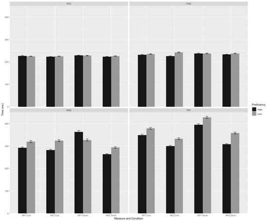
3. Results
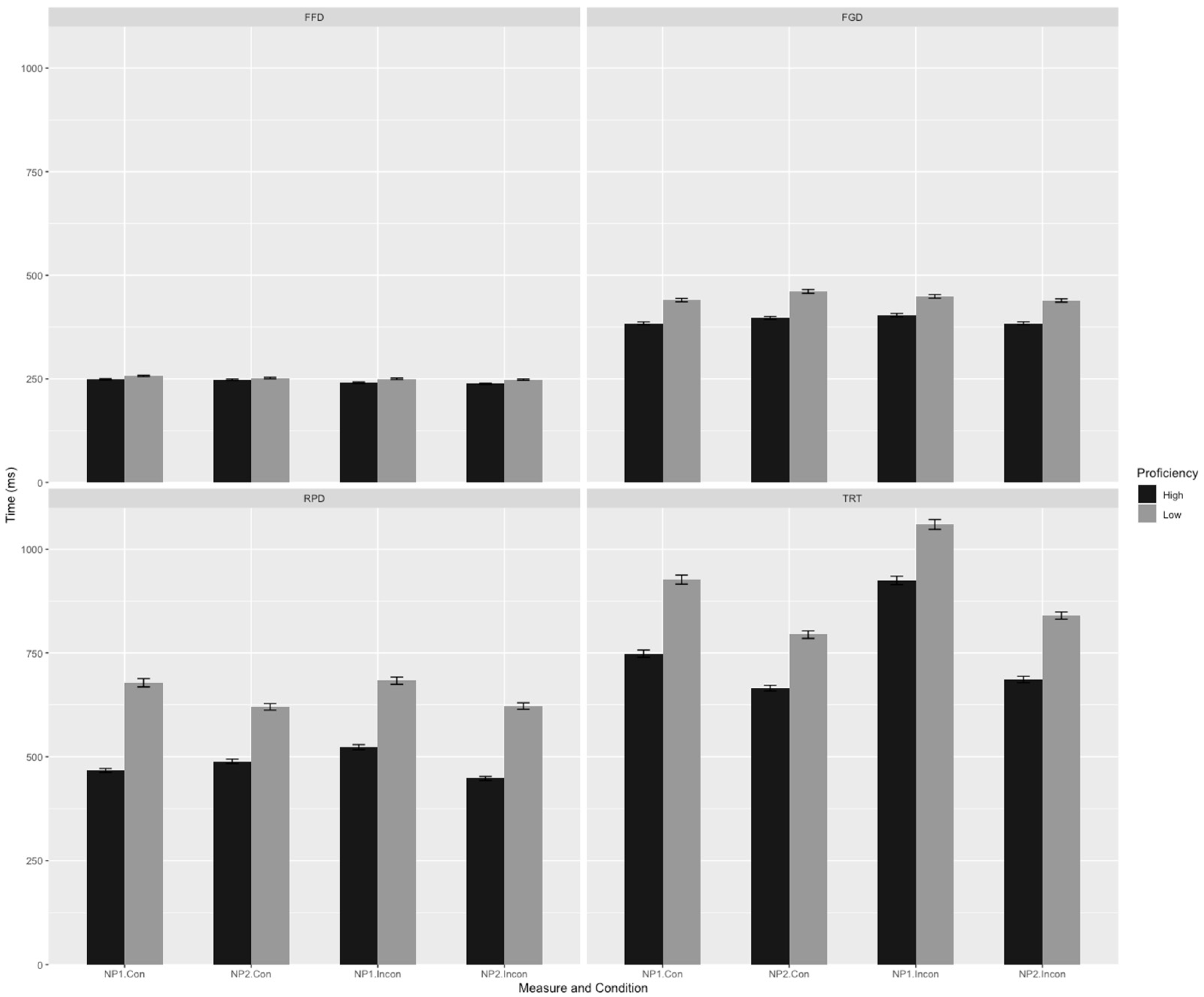
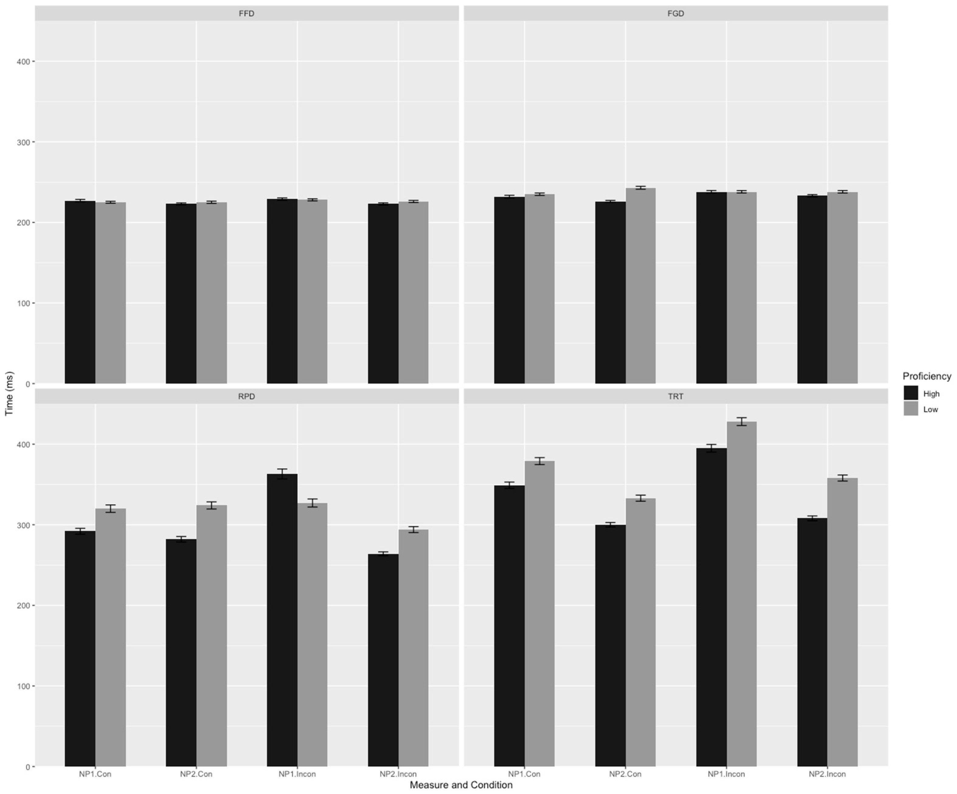
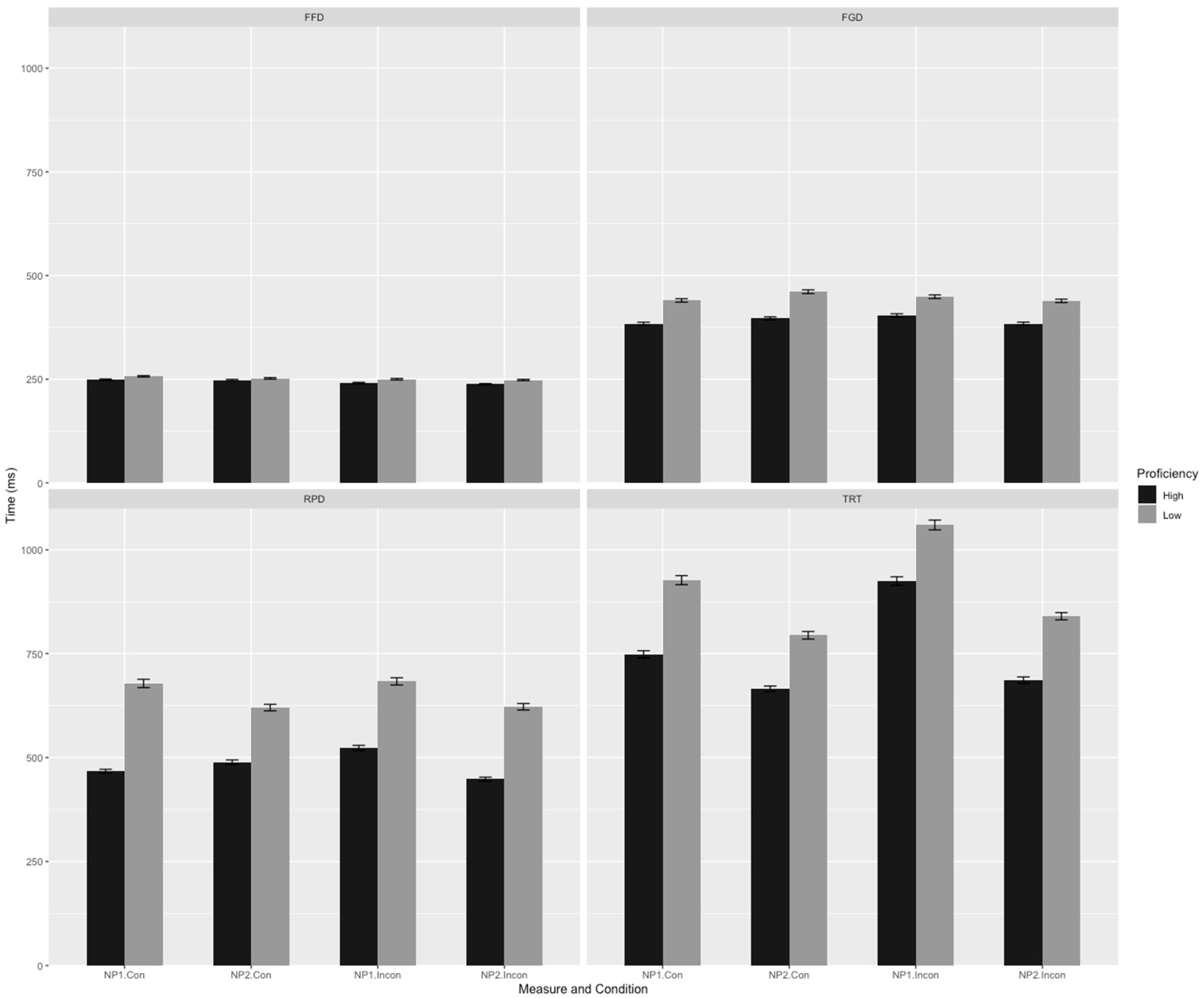
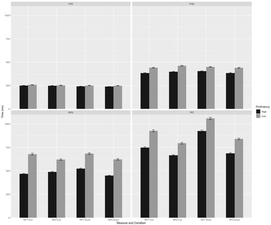
3.1. Critical Pronoun
3.2. Critical Region
4. Discussion
4.1. The Influence of Verb-Based IC Information
4.2. The Influence of L2 Proficiency
4.3. The Joint Influence of Verb-Based IC Information and L2 Proficiency
5. General Discussion
6. Conclusions
Author Contributions
Funding
Institutional Review Board Statement
Informed Consent Statement
Data Availability Statement
Acknowledgments
Conflicts of Interest
References
- Cheng, W.; Almor, A. A Bayesian approach to establishing coreference in second language discourse: Evidence from implicit causality and consequentiality verbs. Biling.-Lang. Cogn. 2019, 22, 456–475. [Google Scholar] [CrossRef]
- Levine, W.H.; Guzmán, A.E.; Klin, C.M. When anaphor resolution fails. J. Mem. Lang. 2000, 43, 594–617. [Google Scholar] [CrossRef]
- Kim, H.; Grüter, T. Predictive processing of implicit causality in a second language: A visual-world eye-tracking study. Stud. Second Lang. Acquis. 2021, 43, 133–154. [Google Scholar] [CrossRef]
- Rudolph, U.; Försterling, F. The psychological causality implicit in verbs: A review. Psychol. Bull. 1997, 121, 192–218. [Google Scholar] [CrossRef]
- Garvey, C.; Caramazza, A. Implicit causality in verbs. Linguist. Inq. 1974, 5, 459–464. Available online: https://www.jstor.org/stable/4177835 (accessed on 20 May 2023).
- Cozijn, R.; Commandeur, E.; Vonk, W.; Noordman, L.G. The time course of the use of implicit causality information in the processing of pronouns: A visual world paradigm study. J. Mem. Lang. 2011, 64, 381–403. [Google Scholar] [CrossRef]
- Featherstone, C.R.; Sturt, P. Because there was a cause for concern: An investigation into a word-specific prediction account of the implicit-causality effect. Q. J. Exp. Psychol. 2010, 63, 3–15. [Google Scholar] [CrossRef]
- Järvikivi, J.; Van Gompel, R.P.G.; Hyönä, J. The interplay of implicit causality, structural heuristics, and anaphor type in ambiguous pronoun resolution. J. Psycholinguist. Res. 2017, 46, 525–550. [Google Scholar] [CrossRef]
- Koornneef, A.; Dotlačil, J.; van den Broek, P.; Sanders, T. The influence of linguistic and cognitive factors on the time course of verb-based implicit causality. Q. J. Exp. Psychol. 2016, 69, 455–481. [Google Scholar] [CrossRef]
- Koornneef, A.; Van Berkum, J.J.A. On the use of verb-based implicit causality in sentence comprehension: Evidence from self-paced reading and eye tracking. J. Mem. Lang. 2006, 54, 445–465. [Google Scholar] [CrossRef]
- Lyu, S.; Wang, L. Implicit causality and pronoun resolution in intersubjective discourse relations. Front. Psychol. 2022, 13, 866103. [Google Scholar] [CrossRef]
- Stewart, A.J.; Pickering, M.J.; Sanford, A.J. The time course of the influence of implicit causality information: Focusing versus integration accounts. J. Mem. Lang. 2000, 42, 423–443. [Google Scholar] [CrossRef]
- Long, D.L.; De Ley, L. Implicit causality and discourse focus: The interaction of text and reader characteristics in pronoun resolution. J. Mem. Lang. 2000, 42, 545–570. [Google Scholar] [CrossRef]
- Van Berkum, J.J.A.; De Goede, D.; Van Alphen, P.M.; Mulder, E.R.; Kerstholt, J.H. How robust is the language architecture? The case of mood. Front. Psychol. 2013, 4, 38594. [Google Scholar] [CrossRef]
- Wang, T.; Gabriele, A. Individual differences modulate sensitivity to implicit causality bias in both native and nonnative processing. Stud. Second Lang. Acquis. 2023, 45, 853–881. [Google Scholar] [CrossRef]
- Kim, H.; Grüter, T. Cross-linguistic activation of implicit causality biases in Korean learners of English. Biling.-Lang. Cogn. 2019, 22, 441–455. [Google Scholar] [CrossRef]
- Grüter, T.; Rohde, H.; Schafer, A.J. The role of discourse-level expectations in non-native speakers’ referential choices. In Proceedings of the 38th Annual Boston University Conference on Language Development, Boston, MA, USA, 1–3 November 2013; Orman, W., Valleau, M.J., Eds.; Cascadilla Press: Somerville, MA, USA, 2014; Volume 1, pp. 179–191. [Google Scholar]
- Grüter, T.; Rohde, H.; Schafer, A.J. Coreference and discourse coherence in L2. Linguist. Approaches Biling. 2017, 7, 199–229. [Google Scholar] [CrossRef]
- Kehler, A.; Kertz, L.; Rohde, H.; Elman, J.L. Coherence and coreference revisited. J. Semant. 2008, 25, 1–44. [Google Scholar] [CrossRef]
- Au, T.K. A verb is worth a thousand words: The causes and consequences of interpersonal events implicit in language. J. Mem. Lang. 1986, 25, 104–122. [Google Scholar] [CrossRef]
- Bott, O.; Solstad, T. Discourse expectations: Explaining the implicit causality biases of verbs. Linguistics 2021, 59, 361–416. [Google Scholar] [CrossRef]
- Brown, R.; Fish, D. The psychological causality implicit in language. Cognition 1983, 14, 237–273. [Google Scholar] [CrossRef] [PubMed]
- Garnham, A.; Oakhill, J.; Cruttenden, H. The role of implicit causality and gender cue in the interpretation of pronouns. Lang. Cogn. Process. 1992, 7, 231–255. [Google Scholar] [CrossRef]
- Greene, S.B.; McKoon, G. Telling something we can’t know: Experimental approaches to verbs exhibiting implicit causality. Psychol. Sci. 1995, 6, 262–270. [Google Scholar] [CrossRef]
- Hartshorne, J.K. What is implicit causality? Lang. Cogn. Neurosci. 2014, 29, 804–824. [Google Scholar] [CrossRef]
- McKoon, G.; Greene, S.B.; Ratcliff, R. Discourse models, pronoun resolution, and the implicit causality of verbs. J. Exp. Psychol.-Learn. Mem. Cogn. 1993, 19, 1040–1052. [Google Scholar] [CrossRef]
- Solstad, T.; Bott, O. On the nature of implicit causality and consequentiality: The case of psychological verbs. Lang. Cogn. Neurosci. 2022, 37, 1311–1340. [Google Scholar] [CrossRef]
- Van Berkum, J.J.A.; Koornneef, A.W.; Ottena, M.; Nieuwland, M.S. Establishing reference in language comprehension: An electrophysiological perspective. Brain Res. 2007, 1146, 158–171. [Google Scholar] [CrossRef]
- Sun, Y.; Shu, H.; Zhou, X.; Zhen, X. The effect of implicit verb causality on pronoun processing. Psychol. Sci. 2001, 24, 39–41+70. [Google Scholar] [CrossRef]
- Ferstl, E.C.; Garnham, A.; Manouilidou, C. Implicit causality bias in English: A corpus of 300 verbs. Behav. Res. Methods 2011, 43, 124–135. [Google Scholar] [CrossRef]
- Pyykkönen, P.; Järvikivi, J. Activation and persistence or implicit causality information in spoken language comprehension. Exp. Psychol. 2010, 57, 5–16. [Google Scholar] [CrossRef]
- Zhang, X.; Bai, X.; Yan, G. The role and time course of verbs’ implicit causality in pronoun resolution. Psychol. Sci. 2006, 29, 1149–1152. [Google Scholar] [CrossRef]
- McDonald, J.L.; MacWhinney, B. The time course of anaphor resolution: Effects of implicit verb causality and gender. J. Mem. Lang. 1995, 34, 543–566. [Google Scholar] [CrossRef]
- Bai, X.; Zhang, X.; Yan, G. The eye movement research on the time course of verb’s implicit causality in pronoun resolution. Psychol. Explor. 2005, 95, 19–23. [Google Scholar] [CrossRef]
- Garnham, A.; Traxler, M.; Oakhill, J.; Gernsabacher, M.A. The locus of implicit causality effects in comprehension. J. Mem. Lang. 1996, 35, 517–543. [Google Scholar] [CrossRef] [PubMed]
- Cheng, W.; Almor, A. The effect of implicit causality and consequentiality on nonnative pronoun resolution. Appl. Psycholinguist. 2017, 38, 1–26. [Google Scholar] [CrossRef]
- Contemori, C.; Dussias, P.E. Prediction at the discourse level in L2 English speakers: An eye-tracking study. In Proceedings of the 42nd Annual Boston University Conference on Language Development, Boston, MA, USA, 3–5 November 2017; Bertolini, A.B., Kaplan, M.J., Eds.; Cascadilla Press: Somervill, MA, USA, 2018; pp. 159–171. [Google Scholar]
- Contemori, C.; Dussias, P.E. Prediction at the discourse level in Spanish-English bilinguals: An eye-tracking study. Front. Psychol. 2019, 10, 412363. [Google Scholar] [CrossRef]
- Liu, R.; Nicol, J. Online processing of anaphora by advanced English learners. In Selected Proceedings of the 2008 Second Language Research Forum, Honolulu, HI, USA, 17–19 October 2008; Prior, M.T., Watanabe, Y., Lee, S.-K., Eds.; Cascadilla Press: Somerville, MA, USA, 2010; pp. 150–165. [Google Scholar]
- Wu, M.; Wu, D. The effect of implicit causality of L2 verbs on the antecedent assignment of pronouns. For. Lang. China 2019, 16, 39–46. [Google Scholar] [CrossRef]
- Johnson, E.; Arnold, J.E. Individual differences in print exposure predict use of implicit causality in pronoun comprehension and referential prediction. Front. Psychol. 2021, 12, 672109. [Google Scholar] [CrossRef] [PubMed]
- Kaan, E. Predictive sentence processing in L2 and L1: What is different? Linguist. Approaches Biling. 2014, 4, 257–282. [Google Scholar] [CrossRef]
- Chambers, C.G.; Cooke, H. Lexical competition during second-language listening: Sentence context, but not proficiency, constrains interference from the native lexicon. J. Exp. Psychol.-Learn. Mem. Cogn. 2009, 35, 1029–1040. [Google Scholar] [CrossRef]
- Dussias, P.E.; Valdés Kroff, J.R.; Guzzardo Tamargo, R.E.; Gerfen, C. When gender and looking go hand in hand: Grammatical gender processing in L2 Spanish. Stud. Second Lang. Acquis. 2013, 35, 353–387. [Google Scholar] [CrossRef]
- Hopp, H. Grammatical gender in adult L2 acquisition: Relations between lexical and syntactic variability. Second Lang. Res. 2013, 29, 33–56. [Google Scholar] [CrossRef]
- Garnham, A.; Vorthmann, S.; Kaplanova, K. Implicit consequentiality bias in English: A corpus of 300+ verbs. Behav. Res. Methods 2021, 53, 1530–1550. [Google Scholar] [CrossRef]
- Koornneef, A.W.; Sanders, T.J.M. Establishing coherence relations in discourse: The influence of implicit causality and connectives on pronoun resolution. Lang. Cogn. Process. 2013, 28, 1169–1206. [Google Scholar] [CrossRef]
- Box, G.E.P.; Cox, D.R. An analysis of transformations. J. R. Stat. Soc. Ser. B-Stat. Methodol. 1964, 26, 211–243. [Google Scholar] [CrossRef]
- Bates, D.; Mächler, M.; Bolker, B.M.; Walker, S.C. Fitting linear mixed-effects models using lme4. J. Stat. Softw. 2015, 67, 1–48. [Google Scholar] [CrossRef]
- Lenth, R.V.; Bolker, B.; Buerkner, P.; Giné-Vázquez, I.; Herve, M.; Jung, M.; Love, J.; Miguez, F.; Riebl, H.; Singmann, H. Emmeans: Estimated Marginal Means, Aka Least-Squares Means (Version 1.8.9) [R Package]. 2023. Available online: https://CRAN.R-project.org/package=emmeans (accessed on 10 October 2023).
- Crawley, R.A.; Stevenson, R.J.; Kleinman, D. The use of heuristic strategies in the interpretation of pronouns. J. Psycholinguist. Res. 1990, 19, 245–264. [Google Scholar] [CrossRef]
- Gernsbacher, M.A.; Hargreaves, D.J. Accessing sentence participants: The advantage of first mention. J. Mem. Lang. 1988, 27, 699–717. [Google Scholar] [CrossRef]
- Gernsbacher, M.A.; Hargreaves, D.J.; Beeman, M. Building and accessing clausal representations—The advantage of first mention versus the advantage of clause recency. J. Mem. Lang. 1989, 28, 735–755. [Google Scholar] [CrossRef]
- Järvikivi, J.; Van Gompel, R.P.G.; Hyönä, J.; Bertram, R. Ambiguous pronoun resolution: Contrasting the first-mention and subject-preference accounts. Psychol. Sci. 2005, 16, 260–264. [Google Scholar] [CrossRef]
- Ehrlich, K.; Rayner, K. Pronoun assignment and semantic integration during reading: Eye movements and immediacy of processing. J. Verbal Learn. Verbal Behav. 1983, 22, 75–87. [Google Scholar] [CrossRef]
- Levy, R. Expectation-based syntactic comprehension. Cognition 2008, 106, 1126–1177. [Google Scholar] [CrossRef] [PubMed]


| NP1-Biased Verb | Bias | Familiarity | NP2-Biased Verb | Bias | Familiarity |
|---|---|---|---|---|---|
| lied to | 1.16 | 6.49 | appreciated | 1.95 | 6.10 |
| hurt | 1.19 | 4.92 | punished | 1.90 | 6.39 |
| called | 1.20 | 6.44 | admired | 1.89 | 6.08 |
| bothered | 1.23 | 5.23 | laughed at | 1.86 | 5.79 |
| pained | 1.25 | 5.26 | congratulated | 1.85 | 4.64 |
| troubled | 1.26 | 5.97 | employed | 1.83 | 6.00 |
| delighted | 1.30 | 5.50 | worried about | 1.81 | 6.34 |
| cheated | 1.31 | 6.24 | celebrated | 1.81 | 6.49 |
| telephoned | 1.31 | 5.92 | thanked | 1.80 | 6.42 |
| apologized to | 1.33 | 5.47 | disliked | 1.79 | 6.21 |
| exhausted | 1.33 | 6.10 | rewarded | 1.78 | 5.79 |
| attracted | 1.35 | 5.82 | praised | 1.76 | 5.62 |
| shocked | 1.35 | 6.32 | prized | 1.74 | 5.11 |
| annoyed | 1.36 | 6.13 | corrected | 1.74 | 5.95 |
| Estimate | S.E. | df | t | p | |
|---|---|---|---|---|---|
| First Fixation Durations | |||||
| (Intercept) | 5.361 | 0.022 | 212.700 | 242.309 | <0.001 *** |
| L2 Proficiency | 0.014 | 0.031 | 264.000 | 0.464 | 0.643 |
| Verb Bias | −0.004 | 0.024 | 264.100 | −0.181 | 0.857 |
| Congruency | 0.021 | 0.023 | 245.000 | 0.902 | 0.368 |
| L2 Proficiency × Verb Bias | −0.015 | 0.034 | 407.500 | −0.455 | 0.649 |
| L2 Proficiency × Congruency | −0.015 | 0.031 | 2472.000 | −0.493 | 0.622 |
| Verb Bias × Congruency | −0.016 | 0.033 | 400.000 | −0.504 | 0.615 |
| L2 Proficiency × Verb Bias × Congruency | 0.023 | 0.045 | 2512.000 | 0.506 | 0.613 |
| First Gaze Durations | |||||
| (Intercept) | 5.373 | 0.022 | 269.600 | 242.158 | <0.001 *** |
| L2 Proficiency | 0.031 | 0.032 | 448.100 | 0.973 | 0.331 |
| Verb Bias | −0.004 | 0.025 | 385.500 | −0.148 | 0.883 |
| Congruency | 0.036 | 0.024 | 227.300 | 1.490 | 0.138 |
| L2 Proficiency × Verb Bias | 0.021 | 0.035 | 2549.000 | 0.607 | 0.544 |
| L2 Proficiency × Congruency | −0.026 | 0.034 | 2553.000 | −0.775 | 0.439 |
| Verb Bias × Congruency | −0.013 | 0.035 | 351.500 | −0.370 | 0.712 |
| L2 Proficiency × Verb Bias × Congruency | −0.005 | 0.049 | 2543.000 | −0.096 | 0.924 |
| Regression Path Durations | |||||
| (Intercept) | 5.525 | 0.031 | 251.553 | 177.245 | <0.001 *** |
| L2 Proficiency | 0.077 | 0.044 | 634.491 | 1.745 | 0.081. |
| Verb Bias | −0.011 | 0.038 | 370.337 | −0.293 | 0.770 |
| Congruency | 0.141 | 0.037 | 228.487 | 3.756 | <0.001 *** |
| L2 Proficiency × Verb Bias | 0.022 | 0.054 | 2546.342 | 0.408 | 0.683 |
| L2 Proficiency × Congruency | −0.134 | 0.053 | 2548.014 | −2.528 | 0.012 * |
| Verb Bias × Congruency | −0.170 | 0.054 | 352.844 | −3.156 | 0.002 ** |
| L2 Proficiency × Verb Bias × Congruency | 0.105 | 0.076 | 2538.741 | 1.382 | 0.167 |
| Total Reading Times | |||||
| (Intercept) | 5.684 | 0.044 | 216.000 | 129.868 | <0.001 *** |
| L2 Proficiency | 0.087 | 0.056 | 233.300 | 1.553 | 0.122 |
| Verb Bias | −0.125 | 0.046 | 504.900 | −2.709 | 0.007 ** |
| Congruency | 0.110 | 0.044 | 535.400 | 2.494 | 0.013 * |
| L2 Proficiency × Verb Bias | −0.015 | 0.059 | 421.400 | −0.248 | 0.804 |
| L2 Proficiency × Congruency | −0.008 | 0.053 | 2462.000 | −0.146 | 0.884 |
| Verb Bias × Congruency | −0.097 | 0.061 | 945.300 | −1.596 | 0.111 |
| L2 Proficiency × Verb Bias × Congruency | 0.060 | 0.076 | 2499.000 | 0.796 | 0.426 |
| Estimate | S.E. | df | t | p | |
|---|---|---|---|---|---|
| First Fixation Durations | |||||
| (Intercept) | 5.449 | 0.022 | 241.865 | 250.378 | <0.001 *** |
| L2 Proficiency | 0.050 | 0.031 | 299.819 | 1.603 | 0.110 |
| Verb Bias | 0.013 | 0.021 | 365.675 | 0.655 | 0.513 |
| Congruency | −0.022 | 0.021 | 229.685 | −1.087 | 0.278 |
| L2 Proficiency × Verb Bias | −0.047 | 0.029 | 3716.756 | −1.614 | 0.107 |
| L2 Proficiency × Congruency | −0.024 | 0.029 | 3716.005 | −0.804 | 0.421 |
| Verb Bias × Congruency | −0.016 | 0.029 | 358.658 | −0.560 | 0.576 |
| L2 Proficiency × Verb Bias × Congruency | 0.055 | 0.041 | 3717.137 | 1.326 | 0.185 |
| First Gaze Durations | |||||
| (Intercept) | 5.849 | 0.031 | 195.800 | 188.955 | <0.001 *** |
| L2 Proficiency | 0.122 | 0.045 | 234.200 | 2.735 | 0.007 ** |
| Verb Bias | 0.020 | 0.029 | 334.100 | 0.691 | 0.490 |
| Congruency | 0.023 | 0.032 | 198.700 | 0.712 | 0.477 |
| L2 Proficiency × Verb Bias | 0.002 | 0.042 | 3626.000 | 0.039 | 0.969 |
| L2 Proficiency × Congruency | −0.020 | 0.046 | 394.500 | −0.440 | 0.660 |
| Verb Bias × Congruency | −0.058 | 0.042 | 325.800 | −1.404 | 0.161 |
| L2 Proficiency × Verb Bias × Congruency | 0.027 | 0.059 | 3626.000 | 0.459 | 0.646 |
| Regression Path Durations | |||||
| (Intercept) | 6.001 | 0.039 | 257.932 | 155.391 | <0.001 *** |
| L2 Proficiency | 0.312 | 0.054 | 280.293 | 5.775 | <0.001 *** |
| Verb Bias | 0.038 | 0.035 | 603.304 | 1.099 | 0.272 |
| Congruency | 0.096 | 0.036 | 333.059 | 2.672 | 0.008 ** |
| L2 Proficiency × Verb Bias | −0.105 | 0.047 | 3734.166 | −2.230 | 0.026 * |
| L2 Proficiency × Congruency | −0.066 | 0.047 | 3734.357 | −1.397 | 0.163 |
| Verb Bias × Congruency | −0.169 | 0.049 | 575.225 | −3.422 | <0.001 *** |
| L2 Proficiency × Verb Bias × Congruency | 0.150 | 0.067 | 3734.073 | 2.247 | 0.025 * |
| Total Reading Times | |||||
| (Intercept) | 6.447 | 0.048 | 238.669 | 133.084 | <0.001 *** |
| L2 Proficiency | 0.220 | 0.064 | 221.544 | 3.428 | <0.001 *** |
| Verb Bias | −0.114 | 0.037 | 1631.412 | −3.086 | 0.002 ** |
| Congruency | 0.233 | 0.039 | 868.982 | 5.952 | <0.001 *** |
| L2 Proficiency × Verb Bias | −0.060 | 0.047 | 3750.469 | −1.285 | 0.199 |
| L2 Proficiency × Congruency | −0.080 | 0.047 | 3750.450 | −1.715 | 0.086. |
| Verb Bias × Congruency | −0.219 | 0.052 | 1509.581 | −4.183 | <0.001 *** |
| L2 Proficiency × Verb Bias × Congruency | 0.143 | 0.066 | 3750.348 | 2.167 | 0.030 * |
Disclaimer/Publisher’s Note: The statements, opinions and data contained in all publications are solely those of the individual author(s) and contributor(s) and not of MDPI and/or the editor(s). MDPI and/or the editor(s) disclaim responsibility for any injury to people or property resulting from any ideas, methods, instructions or products referred to in the content. |
© 2024 by the authors. Licensee MDPI, Basel, Switzerland. This article is an open access article distributed under the terms and conditions of the Creative Commons Attribution (CC BY) license (https://creativecommons.org/licenses/by/4.0/).
Share and Cite
Liu, H.; Chen, S.; Liu, R.; Du, H. The Influence of Verb-Based Implicit Causality Information and Second Language Proficiency on Chinese English Learners’ Pronoun Anaphoric Inference: Evidence from Eye Movements. Behav. Sci. 2024, 14, 1034. https://doi.org/10.3390/bs14111034
Liu H, Chen S, Liu R, Du H. The Influence of Verb-Based Implicit Causality Information and Second Language Proficiency on Chinese English Learners’ Pronoun Anaphoric Inference: Evidence from Eye Movements. Behavioral Sciences. 2024; 14(11):1034. https://doi.org/10.3390/bs14111034
Chicago/Turabian StyleLiu, Huan, Shifa Chen, Ruiyong Liu, and Huinan Du. 2024. "The Influence of Verb-Based Implicit Causality Information and Second Language Proficiency on Chinese English Learners’ Pronoun Anaphoric Inference: Evidence from Eye Movements" Behavioral Sciences 14, no. 11: 1034. https://doi.org/10.3390/bs14111034
APA StyleLiu, H., Chen, S., Liu, R., & Du, H. (2024). The Influence of Verb-Based Implicit Causality Information and Second Language Proficiency on Chinese English Learners’ Pronoun Anaphoric Inference: Evidence from Eye Movements. Behavioral Sciences, 14(11), 1034. https://doi.org/10.3390/bs14111034

