A Soxhlet Extract of Gongronema latifolium Retains Moderate Blood Glucose Lowering Effect and Produces Structural Recovery in the Pancreas of STZ-Induced Diabetic Rats
Abstract
:1. Introduction
2. Materials and Methods
2.1. Plant Material
2.2. Preparation of Extract
2.3. Experimental Animals
2.4. Induction of Diabetes
2.5. Experimental Design
2.5.1. Oral Glucose Tolerance Test (OGTT) in Non-Diabetic Rats
2.5.2. Acute Treatment in STZ-Induced Diabetic Rats
2.5.3. Sub-Chronic (14 Days) Treatment (Twice-Daily) in STZ-Induced Diabetic Rats
2.5.4. Serum Biochemical Parameters
2.5.5. Histopathological Studies
2.6. Glucose Uptake by Isolated Rat Abdominal Muscle
2.7. Glucose Absorption via Isolated Rat Jejunum
2.8. Gas Chromatography-Mass Spectrometry (GC-MS)
2.9. Statistical Analysis
3. Results
3.1. Oral Glucose Tolerance Test (OGTT) in Normal Rats
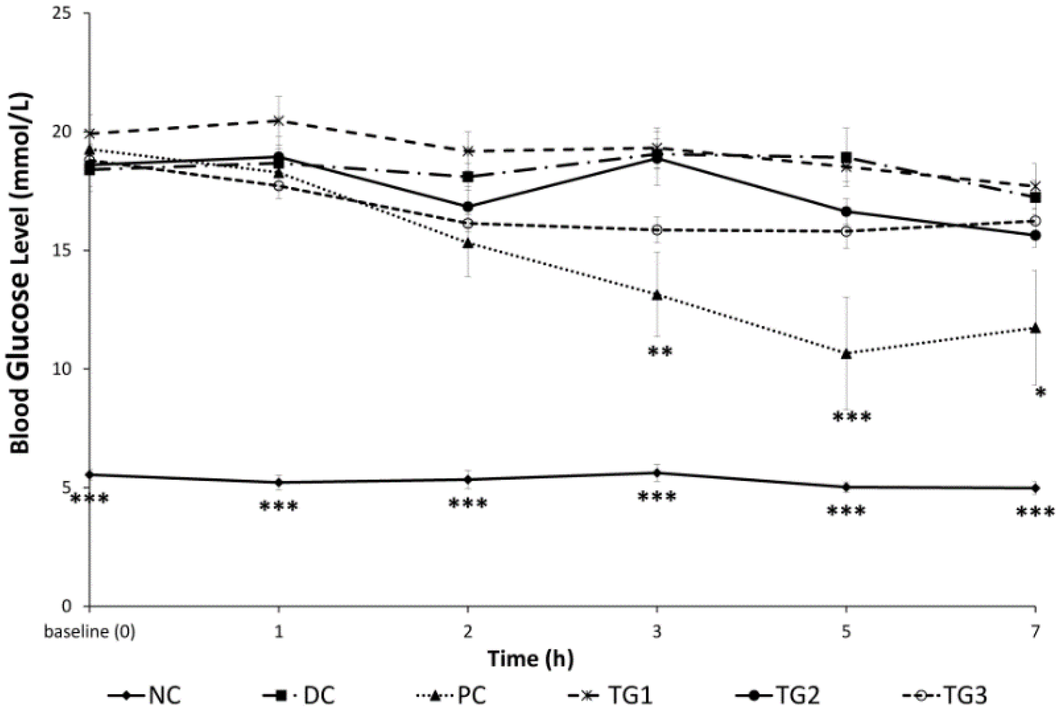
3.2. Acute (7-h) Treatment in STZ-Induced Diabetic Rats
3.3. Sub-Chronic (14 Days) Treatment in STZ-Induced Diabetic Rats
3.3.1. Gongronema latifolium Subchronic (14 Days) Treatment Effects on Body Weight and Food Intake (kcal/g b.w./day)
3.3.2. Gongronema latifolium Subchronic (14 Days) Treatment Effects on Serum Biochemical Parameters
3.3.3. Serum Insulin Measurement
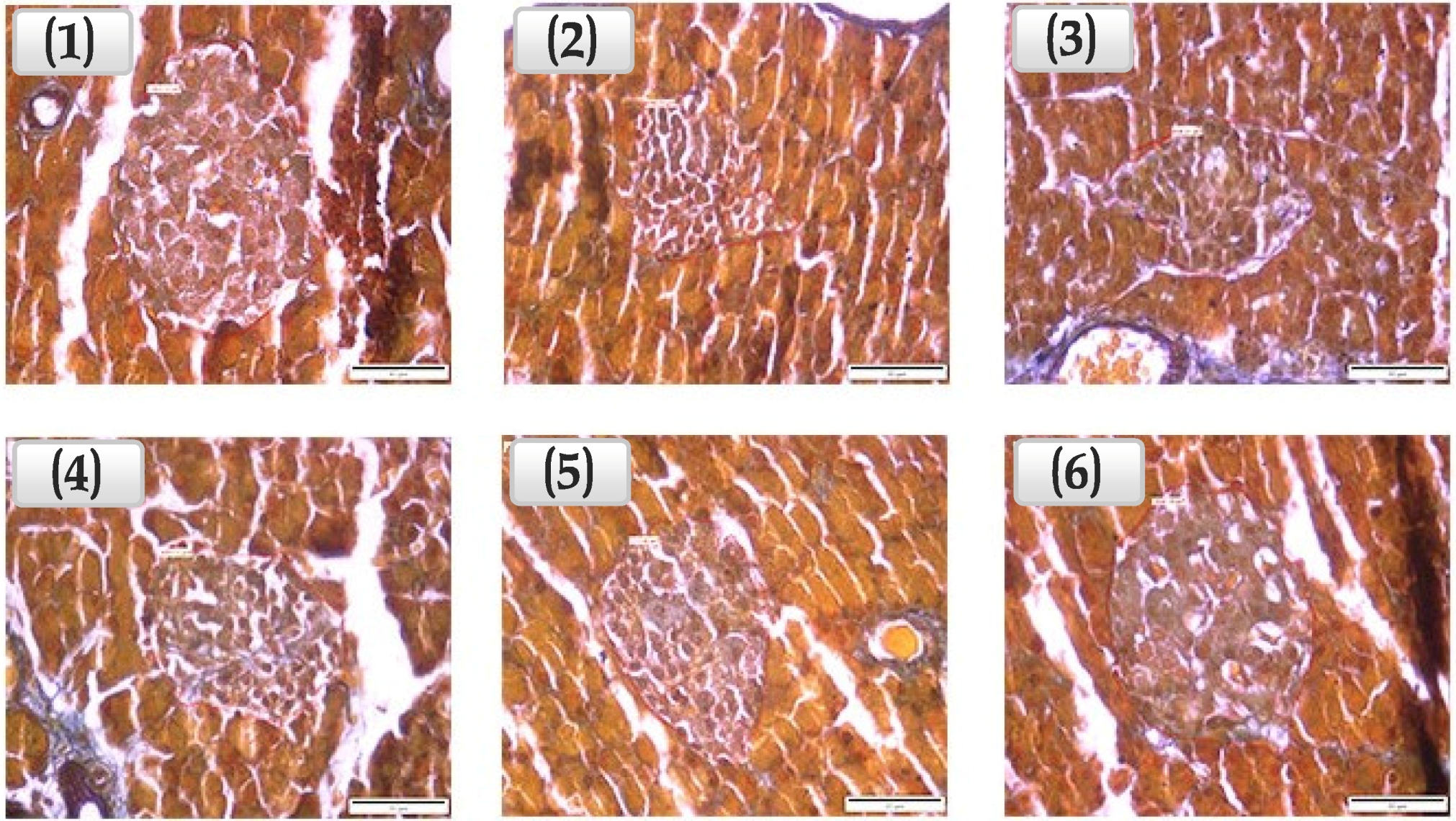
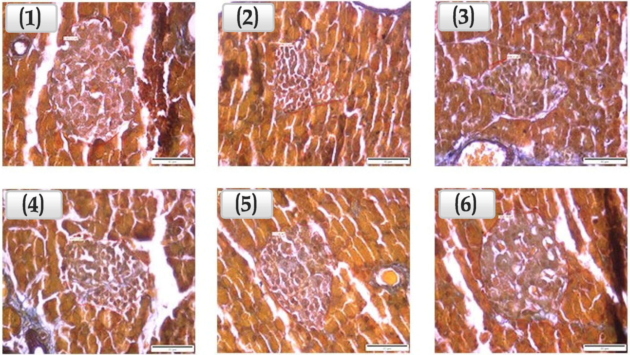
3.3.4. Assessment of the Area of Pancreatic β-cell-Containing Langerhans Islets
3.4. Effect of G. latifolium Extract on Muscle Glucose Uptake and Jejunum Glucose Absorption
3.5. GC-MS Analysis of GLES
4. Discussion
5. Conclusions
Acknowledgments
Author Contributions
Conflicts of Interest
Abbreviations
| GL | Gongronema latifolium |
| GLES | Gongronema latifolium ethanolic Soxhlet extract |
| DM | Diabetes mellitus |
| STZ | Streptozotocin |
| FBG | Fasting blood glucose |
| BGLs | Blood glucose levels |
| b.w | Body weight |
| SD | Sprague-Dawley |
| GC-MS | Gas chromatography-mass spectrometry |
| NC | Normal control |
| DC | Diabetic control |
| PC | Positive control |
| TG | Treatment group |
| WHO | World Health Organization |
| OGTT | Oral glucose tolerance test |
| LDL | Low-density lipoproteins |
| HDL | High-density lipoproteins |
| TC | Total cholesterol |
| LD50 | Median lethal dose |
References
- Hammouda, Y.; Amer, M.S. Antidiabetic effect of tecomine and tecostanine. J. Pharm. Sci. 1966, 55, 1452–1454. [Google Scholar] [CrossRef]
- Rang, H.P.; Dale, M.M. The Endocrine System Pharmacology, 2nd ed.; Longman Group Ltd.: London, UK, 1999. [Google Scholar]
- Malviya, N.; Jain, S.; Malviya, S. Antidiabetic potential of medicinal plants. Acta Pol. Pharm. 2010, 67, 113–118. [Google Scholar] [PubMed]
- Bnouham, M.; Ziyyat, A.; Mekhfi, H.; Tahri, A.; Legssyer, A. Medicinal plants with potential antidiabetic activity—A review of ten years of herbal medicine research (1990–2000). Int. J. Diabetes Metab. 2006, 14, 1. [Google Scholar]
- Van de Venter, M.; Roux, S.; Bungu, L.C.; Louw, J.; Crouch, N.R.; Grace, O.M.; Maharaj, V.; Pillay, P.; Sewnarian, P.; Bhagwandin, N.; et al. Antidiabetic screening and scoring of 11 plants traditionally used in south africa. J. Ethnopharmacol. 2008, 119, 81–86. [Google Scholar] [CrossRef] [PubMed]
- Bingtao, L.; Gilbert, M.G.; Stevens, W.D. Asclepiadaceae. In Flora of China; Missouri Botanical Garden Press: St. Louis, MI, USA, 1995; Volume 16. [Google Scholar]
- Akpaso, M.I.; Atangwho, I.J.; Akpantah, A.; Fischer, V.A.; Igiri, A.O.; Ebong, P.E. Effect of combined leaf extracts of vernonia amygdalina (bitter leaf) and gongronema latifolium (utazi) on the pancreatic β-cells of streptozotocin-induced diabetic rats. Bri. J. Med. Med. Res. 2011, 1, 24–34. [Google Scholar] [CrossRef]
- Ekong, M.B.; Peter, M.D.; Peter, A.I.; Eluwa, M.A.; Umoh, I.U.; Igiri, A.O.; Ekanem, T.B. Cerebellar neurohistology and behavioural effects of gongronema latifolium and rauwolfia vomitoria in mice. Metab. Brain Dis. 2014, 29, 521–527. [Google Scholar] [CrossRef] [PubMed]
- Ugochukwu, N.H.; Babady, N.E.; Cobourne, M.K.; Gasset, S.R. The effect of gongronema latifolium extracts on serum lipid profile and oxidative stress in hepatocytes of diabetic rats. J. Biosci. 2003, 28, 1–5. [Google Scholar] [CrossRef] [PubMed]
- Ogundipe, O.; Moody, J.; Akinyemi, T.; Raman, A. Hypoglycemic potentials of methanolic extracts of selected plant foods in alloxanized mice. Plant Foods Hum. Nutr. 2003, 58, 1–7. [Google Scholar] [CrossRef]
- Okafor, J. Identification, Utilization, and Conservation of Medicinal Plants in Southeastern Nigeria; Biodiversity Support Program: Washington, WA, USA, 1999. [Google Scholar]
- Ugochukwu, N.H.; Cobourne, M.K. Modification of renal oxidative stress and lipid peroxidation in streptozotocin-induced diabetic rats treated with extracts from gongronema latifolium leaves. Clin. Chim. Acta 2003, 336, 73–81. [Google Scholar] [CrossRef]
- Nnodim, J.; Emejulu, A.; Ihim, A.; Udujih, H. Influence of gongronema latifolium on some biochemical parameters in alloxan induced diabetes. Int. J. Anal. Pharm. Biomed. Sci. 2012, 1, 13–17. [Google Scholar]
- Ejike, C.E.; Awazie, S.O.; Nwangozi, P.A.; Godwin, C.D. Synergistic postprandial blood glucose modulatory properties of vernonia amygdalina (del.), gongronema latifolium (benth.) and occimum gratissimum (linn.) aqueous decoctions. J. Ethnopharmacol. 2013, 149, 111–116. [Google Scholar] [CrossRef] [PubMed]
- Akah, P.A.; Uzodinma, S.U.; Okolo, C.E. Antidiabetic activity of aqueous and methanol extract and fractions of gongronema latifolium (asclepidaceae) leaves in alloxan diabetic rats. J. Appl. Pharm. Sci. 2011, 1, 99. [Google Scholar]
- Owu, D.U.; Nwokocha, C.R.; Obembe, A.O.; Essien, A.D.; Ikpi, D.E.; Osim, E.E. Effect of gongronema latifolium ethanol leaf extract on gastric acid secretion and cytoprotection in streptozotocin-induced diabetic rats. West Indian Med. J. 2012, 61, 853–860. [Google Scholar] [CrossRef] [PubMed][Green Version]
- Ebong, P.E.; Effiong, G.S.; Atangwho, I.J.; Eyong, E.U. Synergistic antilipidemic and antihepatotoxic action of gongronema latifolium and nauclea latifolia in streptozotocin diabetic rat models. World Heart J. 2011, 3, 279. [Google Scholar]
- Azu, O.O.; Edagha, I.A.; Peter, A.I.; Umoh, I.; Abia, U. Extracts of gongronema latifolium and vernonia amygdalina improve glycaemia and histomorphology of testes of diabetic wistar rats. Afr. J. Pharm. Pharmacol. 2014, 8, 1093–1102. [Google Scholar]
- Jain, R.; Venkatasubramanian, P. Proposed correlation of modern processing principles for ayurvedic herbal drug manufacturing: A systematic review. Anc. Sci. Life 2014, 34, 8. [Google Scholar] [PubMed]
- Liu, W.J.H. Traditional Herbal Medicine Research Methods: Identification, Analysis, Bioassay, and Pharmaceutical and Clinical Studies; John Wiley & Sons: New York, NY, USA, 2011. [Google Scholar]
- Shen, J.; Shao, X. A comparison of accelerated solvent extraction, soxhlet extraction, and ultrasonic-assisted extraction for analysis of terpenoids and sterols in tobacco. Anal. Bioanal. Chem. 2005, 383, 1003–1008. [Google Scholar] [CrossRef] [PubMed]
- Adebajo, A.C.; Ayoola, M.D.; Odediran, S.A.; Aladesanmi, A.J.; Schmidt, T.J.; Verspohl, E.J. P 29: Insulinotropic constituents and evaluation of ethnomedical claim of gongronema latifolium root and stem. Diabetes Metab. 2012, 38, S115. [Google Scholar] [CrossRef]
- Ugochukwu, N.H.; Babady, N.E. Antihyperglycemic effect of aqueous and ethanolic extracts of gongronema latifolium leaves on glucose and glycogen metabolism in livers of normal and streptozotocin-induced diabetic rats. Life Sci. 2003, 73, 1925–1938. [Google Scholar] [CrossRef]
- Fasakin, C.F.; Udenigwe, C.C.; Aluko, R.E. Antioxidant properties of chlorophyll-enriched and chlorophyll-depleted polyphenolic fractions from leaves of vernonia amygdalina and gongronema latifolium. Food. Res. Int. 2011, 44, 2435–2441. [Google Scholar] [CrossRef]
- Gomori, G. A rapid one-step trichrome stain. Am. J. Clin. Pathol. 1950, 20, 661. [Google Scholar] [PubMed]
- Gray, A.M.; Flatt, P.R. Pancreatic and extra-pancreatic effects of the traditional anti-diabetic plant, medicago sativa (lucerne). Br. J. Nutr. 1997, 78, 325–334. [Google Scholar] [CrossRef] [PubMed]
- Hassan, Z.; Yam, M.F.; Ahmad, M.; Yusof, A.P.M. Antidiabetic properties and mechanism of action of gynura procumbens water extract in streptozotocin-induced diabetic rats. Molecules 2010, 15, 9008–9023. [Google Scholar] [CrossRef] [PubMed]
- Widyawati, T.; Yusoff, N.A.; Asmawi, M.Z.; Ahmad, M. Antihyperglycemic effect of methanol extract of syzygium polyanthum (wight.) leaf in streptozotocin-induced diabetic rats. Nutrients 2015, 7, 7764–7780. [Google Scholar] [CrossRef] [PubMed]
- Wilson, T.H.; Wiseman, G. The use of sacs of everted small intestine for the study of the transference of substances from the mucosal to the serosal surface. J. Physiol. 1954, 123, 116–125. [Google Scholar] [CrossRef] [PubMed]
- Yusoff, N.A.; Ahmad, M.; Al-Hindi, B.; Widyawati, T.; Yam, M.F.; Mahmud, R.; Razak, K.N.A.; Asmawi, M.Z. Aqueous extract of nypa fruticans wurmb. Vinegar alleviates postprandial hyperglycemia in normoglycemic rats. Nutrients 2015, 7, 7012–7026. [Google Scholar] [CrossRef] [PubMed]
- Shirwaikar, A.; Rajendran, K.; Punitha, I. Antidiabetic activity of alcoholic stem extract of coscinium fenestratum in streptozotocin-nicotinamide induced type 2 diabetic rats. J. Ethnopharmacol. 2005, 97, 369–374. [Google Scholar] [CrossRef] [PubMed]
- Agbo, C.U.; Baiyeri, K.P.; Obi, I.U. Indigenous knowledge and utilization of gongronema latifolia benth.: A case study of women in university of nigeria, nsukka. BioResearch 2006, 3, 66–69. [Google Scholar] [CrossRef]
- Gamaniel, K.; Akah, P. Analysis of the gastrointestinal relaxing effect of the stem extract of gongronema latifolium. Phytomedicine 1996, 2, 293–296. [Google Scholar] [CrossRef]
- Effiong, G.S.; Udoh, I.E.; Mbagwu, H.O.C.; Ekpe, I.P.; Asuquo, E.N.; Atangwho, I.J.; Ebong, P.E. Acute and chronic toxicity studies of the ethanol leaf extract of gongronema latifolium. Int. Res. J. Biochem. Bioinforma. 2012, 2, 155–161. [Google Scholar]
- Rao, U.M.; Subramanian, S. Biochemical evaluation of antihyperglycemic and antioxidative effects of morinda citrifolia fruit extract studied in streptozotocin-induced diabetic rats. Med. Chem. Res. 2009, 18, 433–446. [Google Scholar]
- Bello, I.; Bakkouri, A.S.; Tabana, Y.M.; Al-Hindi, B.; Al-Mansoub, M.A.; Mahmud, R.; Asmawi, M.Z. Acute and sub-acute toxicity evaluation of the methanolic extract of alstonia scholaris stem bark. Med. Sci. 2016, 4, 4. [Google Scholar] [CrossRef]
- Pouwer, F.; Hermanns, N. Insulin therapy and quality of life. A review. Diabetes Metab. Res. Rev. 2009, 25, S4–S10. [Google Scholar] [CrossRef] [PubMed]
- Adeneye, A.A.; Agbaje, E.O. Pharmacological evaluation of oral hypoglycemic and antidiabetic effects of fresh leaves ethanol extract of morinda lucida benth. In normal and alloxan-induced diabetic rats. Afr. J. Biomed. Res. 2008, 11. [Google Scholar] [CrossRef]
- Krentz, A.J.; Bailey, C.J. Oral antidiabetic agents. Drugs 2005, 65, 385–411. [Google Scholar] [CrossRef] [PubMed]
- Zhao, K.; Ao, Y.; Harper, R.; Go, V.; Yang, H. Food-intake dysregulation in type 2 diabetic goto-kakizaki rats: Hypothesized role of dysfunctional brainstem thyrotropin-releasing hormone and impaired vagal output. Neuroscience 2013, 247, 43–54. [Google Scholar] [CrossRef] [PubMed][Green Version]
- Bierman, E.L. Atherogenesis in diabetes. Arterioscler. Thromb. Vasc. Biol. 1992, 12, 647–656. [Google Scholar] [CrossRef]
- Sachdewa, A.; Khemani, L. Effect of hibiscus rosa sinensis linn. Ethanol flower extract on blood glucose and lipid profile in streptozotocin induced diabetes in rats. J. Ethnopharmacol. 2003, 89, 61–66. [Google Scholar] [CrossRef]
- Martirosyan, D.M.; Miroshnichenko, L.A.; Kulakova, S.N.; Pogojeva, A.V.; Zoloedov, V.I. Amaranth oil application for coronary heart disease and hypertension. Lipids Health Dis. 2007, 6, 1. [Google Scholar] [CrossRef] [PubMed][Green Version]
- Brai, B.I.C.; Odetola, A.A.; Agomo, P.U. Hypoglycemic and hypocholesterolemic potential of persea americana leaf extracts. J. Med. Food 2007, 10, 356–360. [Google Scholar] [CrossRef] [PubMed]
- Wulffelé, M.G.; Kooy, A.; Zeeuw, D.; Stehouwer, C.D.; Gansevoort, R.T. The effect of metformin on blood pressure, plasma cholesterol and triglycerides in type 2 diabetes mellitus: A systematic review. J. Intern. Med. 2004, 256, 1–14. [Google Scholar] [CrossRef] [PubMed]
- Ogbu, S.O.; Agwu, K.K.; Asuzu, I.U. Gongronema latifolium delays gastric emptying of semi-solid meals in diabetic dogs. Afr. J. Tradit Complement. Altern. Med. 2013, 10, 325–331. [Google Scholar] [CrossRef] [PubMed][Green Version]
- Jo, J.; Choi, M.Y.; Koh, D.-S. Size distribution of mouse langerhans islets. Biophys. J. 2007, 93, 2655–2666. [Google Scholar] [CrossRef] [PubMed]
- Brissova, M.; Fowler, M.J.; Nicholson, W.E.; Chu, A.; Hirshberg, B.; Harlan, D.M.; Powers, A.C. Assessment of human pancreatic islet architecture and composition by laser scanning confocal microscopy. J. Histochem. Cytochem. 2005, 53, 1087–1097. [Google Scholar] [CrossRef] [PubMed]
- Nagappa, A.; Thakurdesai, P.; Rao, N.V.; Singh, J. Antidiabetic activity of terminalia catappa linn fruits. J. Ethnopharmacol. 2003, 88, 45–50. [Google Scholar] [CrossRef]
- Omar, H.M.; Rosenblum, J.K.; Sanders, R.A.; Watkins, J.B. Streptozotocin may provide protection against subsequent oxidative stress of endotoxin or streptozotocin in rats. J. Biochem. Mol. Toxicol. 1998, 12, 143–149. [Google Scholar] [CrossRef]
- Ugochukwu, N.H.; Babady, N.E. Antioxidant effects of gongronema latifolium in hepatocytes of rat models of non-insulin dependent diabetes mellitus. Fitoterapia 2002, 73, 612–618. [Google Scholar] [CrossRef]
- Edet, E.; Akpanabiatu, M.; Eno, A.; Umoh, I.; Itam, E. Effect of gongronema latifolium crude leaf extract on some cardiac enzymes of alloxan-induced diabetic rats. Afr. J. Biochem. Res. 2009, 3, 366–369. [Google Scholar]
- Tewtrakul, S.; Tansakul, P.; Daengrot, C.; Ponglimanont, C.; Karalai, C. Anti-inflammatory principles from heritiera littoralis bark. Phytomedicine 2010, 17, 851–855. [Google Scholar] [CrossRef] [PubMed]
- Alexander-Lindo, R.L.; Morrison, E.Y.; Nair, M.G. Hypoglycaemic effect of stigmast-4-en-3-one and its corresponding alcohol from the bark of anacardium occidentale (cashew). Phytother. Res. 2004, 18, 403–407. [Google Scholar] [CrossRef] [PubMed]
- Kamisah, Y.; Othman, F.; Qodriyah, H.M.S.; Jaarin, K. Parkia speciosa hassk.: A potential phytomedicine. Evid. Based Complement. Alterna. Med. 2013, 2013. [Google Scholar] [CrossRef] [PubMed]
- Atangwho, I.J.; Egbung, G.E.; Ahmad, M.; Yam, M.F.; Asmawi, M.Z. Antioxidant versus anti-diabetic properties of leaves from vernonia amygdalina del. Growing in Malaysia. Food Chem. 2013, 141, 3428–3434. [Google Scholar] [CrossRef] [PubMed]







| Group | Treatment |
|---|---|
| TG1 | 500 mg/kg b.w. of GLES |
| TG2 | 1000 mg/kg b.w. of GLES |
| TG3 | 2000 mg/kg b.w. of GLES |
| Diabetic Control (DC) | 10 mL/kg b.w. of distilled water |
| Positive Control (PC) | 500 mg/kg b.w. of metformin |
| Non-Diabetic Control (NC) | 10 mL/kg b.w. of distilled water |
| Group | Treatment |
|---|---|
| TG1 | 250 mg/kg b.w. of GLES |
| TG2 | 500 mg/kg b.w. of GLES |
| TG3 | 1000 mg/kg b.w. of GLES |
| Diabetic Control (DC) | 10 mL/kg b.w. of distilled water |
| Positive Control (PC) | 500 mg/kg b.w. of metformin |
| Non-Diabetic Control (NC) | 10 mL/kg b.w. of distilled water |
| Control | Insulin (1 IU/mL) | GL (1 mg/mL) | Insulin + GL |
|---|---|---|---|
| 285.2 ± 10.81 | 328.52 ± 9.43 | 319.87 ± 29.41 | 392.54 ± 34.16 |
| Control | Phlorizin (1 mg/mL) | Acarbose (1 mg/mL) | GL (1 mg/mL) |
|---|---|---|---|
| 52.62 ± 13.66 | 22.32 ± 9.94 | 21.78 ± 6.87 | 50.58 ± 11.52 |
| No. | RT (min) | Name of the Compound | Molecular Formula | Peak Area % | Quality |
|---|---|---|---|---|---|
| 1 | 3.15 | Triethyl borate | C6H15BO3 | 0.51 | 95 |
| 2 | 11.62 | Methyl Palmitate | C17H34O2 | 11.28 | 98 |
| 3 | 11.87 | Trichloroacetic acid, hexadecyl ester | C18H33Cl3O2 | 0.41 | 87 |
| 4 | 11.95 | Ethyl Palmitate | C18H36O2 | 2.46 | 95 |
| 5 | 12.00 | Palmitic acid | C16H32O2 | 2.52 | 94 |
| 12.03 | 3.86 | 95 | |||
| 12.10 | 5.71 | 95 | |||
| 6 | 12.43 | Methyl Oleate | C19H36O2 | 5.32 | 99 |
| 7 | 12.46 | Linolenyl alcohol | C18H32O | 3.40 | 97 |
| 8 | 12.52 | Methyl stearate | C19H38O2 | 2.53 | 99 |
| 9 | 13.01 | Phytol | C20H40O | 20.53 | 91 |
| 10 | 13.42 | Methyl Arachidate | C21H42O2 | 1.53 | 97 |
| 11 | 14.30 | Octadecanoic acid, 10-methyl-, methyl ester,(R) | C20H40O2 | 0.69 | 94 |
| (or) Methyl Behenate | C23H46O2 | ||||
| 12 | 16.66 | Nonacosane | C29H60 | 5.48 | 98 |
| 13 | 18.82 | Eicosane | C20H42 | 7.01 | 95 |
| (or) Hentriacontane | C31H64 | ||||
| 14 | 24.3 | D:C-Friedoolean-8-en-3-one | C30H48O | 12.35 | 87 |
| 15 | 26.41 | Stigmast-4-en-3-one (Sitostenone) | C29H48O | 6.64 | 98 |
© 2016 by the authors; licensee MDPI, Basel, Switzerland. This article is an open access article distributed under the terms and conditions of the Creative Commons Attribution (CC-BY) license (http://creativecommons.org/licenses/by/4.0/).
Share and Cite
Al-Hindi, B.; Yusoff, N.A.; Atangwho, I.J.; Ahmad, M.; Asmawi, M.Z.; Yam, M.F. A Soxhlet Extract of Gongronema latifolium Retains Moderate Blood Glucose Lowering Effect and Produces Structural Recovery in the Pancreas of STZ-Induced Diabetic Rats. Med. Sci. 2016, 4, 9. https://doi.org/10.3390/medsci4020009
Al-Hindi B, Yusoff NA, Atangwho IJ, Ahmad M, Asmawi MZ, Yam MF. A Soxhlet Extract of Gongronema latifolium Retains Moderate Blood Glucose Lowering Effect and Produces Structural Recovery in the Pancreas of STZ-Induced Diabetic Rats. Medical Sciences. 2016; 4(2):9. https://doi.org/10.3390/medsci4020009
Chicago/Turabian StyleAl-Hindi, Bassel, Nor A. Yusoff, Item J. Atangwho, Mariam Ahmad, Mohd Z. Asmawi, and Mun F. Yam. 2016. "A Soxhlet Extract of Gongronema latifolium Retains Moderate Blood Glucose Lowering Effect and Produces Structural Recovery in the Pancreas of STZ-Induced Diabetic Rats" Medical Sciences 4, no. 2: 9. https://doi.org/10.3390/medsci4020009
APA StyleAl-Hindi, B., Yusoff, N. A., Atangwho, I. J., Ahmad, M., Asmawi, M. Z., & Yam, M. F. (2016). A Soxhlet Extract of Gongronema latifolium Retains Moderate Blood Glucose Lowering Effect and Produces Structural Recovery in the Pancreas of STZ-Induced Diabetic Rats. Medical Sciences, 4(2), 9. https://doi.org/10.3390/medsci4020009

