Methionine Alters the Fecal Microbiota and Enhances the Antioxidant Capacity of Lactating Donkeys
Simple Summary
Abstract
1. Introduction
2. Materials and Methods
2.1. Ethical Approval of Animal Protocols
2.2. Experimental Procedure and Treatments
2.3. Sample Collection and Storage
2.4. 16S rRNA Gene Sequencing of the Fecal Microbiota
2.5. Serum Biochemical Indicators and Antioxidant Indicators
2.6. Bioinformatics Analysis
2.7. Statistics Analysis
3. Results
3.1. Effects of Met on Serum Biochemical Parameters
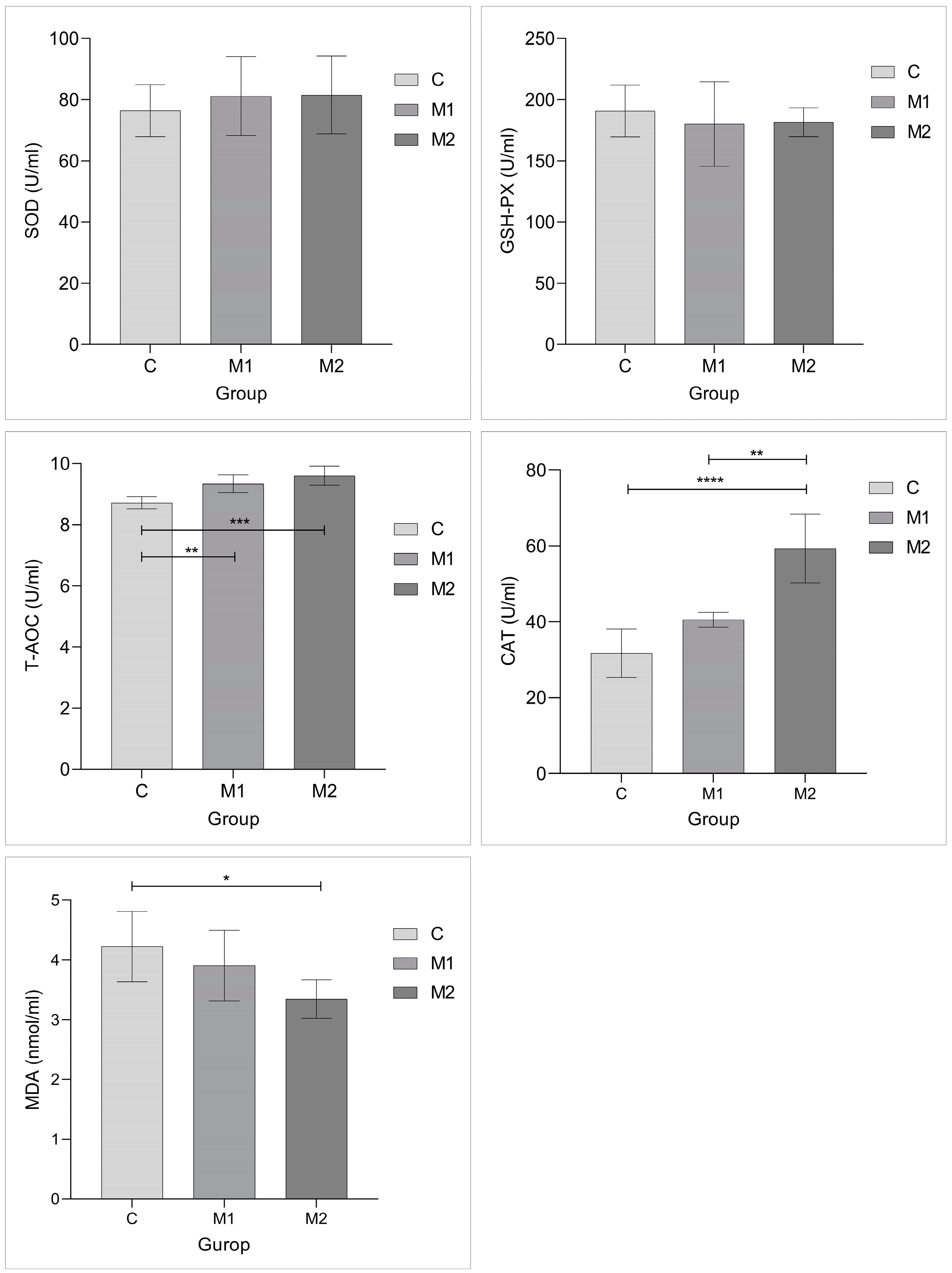
3.2. Serum Antioxidant Capacity
3.3. Fecal Microbiological Analysis
3.3.1. Microbiome Overview
3.3.2. Microbial Differential Analysis
3.4. Correlation Analysis Between the Fecal Microbiome and Blood Indicators
4. Discussion
4.1. Effects of Met Supplementation on Serum Parameters
4.2. Effects of Met Supplementation on Fecal Microorganisms
4.3. Intermodulation of Microbiological and Biochemical Indices in Donkeys
5. Conclusions
Author Contributions
Funding
Institutional Review Board Statement
Informed Consent Statement
Data Availability Statement
Conflicts of Interest
References
- Irene, A.; López, M.J.; María, J.J.; María, J.C.; Alfredo, C.; María, J.C.A.; María, J.C. Characterisation of Zamorano-Leonese Donkey Milk as an Alternative Sustainably Produced Protein Food. Front. Nutr. 2022, 9, 872409. [Google Scholar] [CrossRef]
- Mina, M.; Iolanda, A.; Domenico, T.; Riccardo, L.; Federica, S. Current Knowledge on Functionality and Potential Therapeutic Uses of Donkey Milk. Animals 2021, 11, 1382. [Google Scholar] [CrossRef] [PubMed]
- Marino, R.; Marzia, A.; Antonella, M.; Muscio, A.; Sevi, A. Nutritional properties and consumer evaluation of donkey bresaola and salami: Comparison with conventional products. Meat Sci. 2015, 101, 19–24. [Google Scholar] [CrossRef] [PubMed]
- Paolo, P.; Silvia, V.; Cavallucci, C.; Daniela, B. Quality of donkey meat and carcass characteristics. Meat Sci. 2008, 80, 1222–1224. [Google Scholar] [CrossRef]
- Joanna, B.; Szwajkowska, M.; Zygmunt, L.; Jolanta, K. Nutritional Value and Technological Suitability of Milk from Various Animal Species Used for Dairy Production. Compr. Rev. Food Sci. Food Saf. 2011, 10, 291–302. [Google Scholar] [CrossRef]
- Zhou, M.; Huang, F.; Du, X.; Wang, C.; Liu, G. Microbial Quality of Donkey Milk during Lactation Stages. Foods 2023, 12, 4272. [Google Scholar] [CrossRef] [PubMed]
- Zhou, M.; Huang, F.; Du, X.; Liu, G.; Wang, C. Analysis of the Differentially Expressed Proteins in Donkey Milk in Different Lactation Stages. Foods 2023, 12, 4466. [Google Scholar] [CrossRef] [PubMed]
- Kallis, S.; Maria, A.; Photis, P. Donkey milk as a supplement in infant formula: Benefits and technological challenges. Food Res. Int. 2018, 109, 416–425. [Google Scholar] [CrossRef]
- Malacarne, M.; Andrea, C.; Franceschi, P.; Salvatore, B.; Formaggioni, P.; Donata, M.; Summer, A. New Insights into Chemical and Mineral Composition of Donkey Milk throughout Nine Months of Lactation. Animals 2019, 9, 1161. [Google Scholar] [CrossRef]
- Tong, M.; Li, S.; Hui, F.; Meng, F.; Li, L.; Shi, B.; Zhao, Y.; Guo, X.; Guo, Y.; Yan, S. Effects of Dietary Selenium Yeast Supplementation on Lactation Performance, Antioxidant Status, and Immune Responses in Lactating Donkeys. Antioxidants 2024, 13, 275. [Google Scholar] [CrossRef]
- Cristina, C.; Joaquín, H.; Ana, B.; Marta, L.A.; Víctor, P.; Luís, J.B. Oxidative status during late pregnancy and early lactation in dairy cows. Vet. J. 2005, 169, 286–292. [Google Scholar] [CrossRef]
- Guo, J.; Ni, L.; Wang, D.-f.; Shi, B.; Yan, S. Effect of dietary organic selenium on milk selenium concentration and antioxidant and immune status in midlactation dairy cows. Livest. Sci. 2014, 170, 84–90. [Google Scholar] [CrossRef]
- Mohsen, D.M.; Hassan, K.; Rieke, J.; Sadjad, D.M.; Aghil, G.; Amir, M.V. Rumen-protected zinc–methionine dietary inclusion alters dairy cow performances, and oxidative and inflammatory status under long-term environmental heat stress. Front. Vet. Sci. 2022, 9, 935939. [Google Scholar] [CrossRef]
- He, F.; Wu, C.; Li, P.; Li, N.; Zhang, D.; Zhu, Q.; Ren, W.; Peng, Y. Functions and Signaling Pathways of Amino Acids in Intestinal Inflammation. BioMed Res. Int. 2018, 2018, 9171905. [Google Scholar] [CrossRef] [PubMed]
- Zhou, M.; Liu, G.; Liu, W.; Zhu, M.; Wang, C. Cloning, tissue distribution and functional characterization of the donkey (Equus asinus) oligopeptide transporter 2. J. Anim. Physiol. Anim. Nutr. 2021, 105, 1165–1172. [Google Scholar] [CrossRef] [PubMed]
- Ma, N.; Liang, Y.; Dennis, D.C.; Li, Y.; Ding, H.; Liu, F.; Fabiana, F.C.; Parys, C.; Cardoso, F.C.; Xiang, S.; et al. Methionine supplementation during a hydrogen peroxide challenge alters components of insulin signaling and antioxidant proteins in subcutaneous adipose explants from dairy cows. J. Dairy. Sci. 2022, 105, 856–865. [Google Scholar] [CrossRef] [PubMed]
- Zhou, Z.; Omar, B.; Mario, V.-R.; Erminio, T.; Michael, B.; Cardoso, F.C.; Luchini, D.; Juan, J.L. Rumen-protected methionine compared with rumen-protected choline improves immunometabolic status in dairy cows during the peripartal period. J. Dairy. Sci. 2016, 99, 8956–8969. [Google Scholar] [CrossRef]
- Mateus, Z.T.; Stangaferro, M.L.; Gennari, R.; Rafael, V.B.; Martín, M.P.; Wijma, R.; Sitko, E.M.; Granados, G.E.; Masello, M.; Amburgh, M.E.V.; et al. Effects of feeding rumen-protected methionine pre- and postpartum in multiparous Holstein cows: Lactation performance and plasma amino acid concentrations. J. Dairy. Sci. 2021, 104, 7583–7603. [Google Scholar] [CrossRef]
- Huang, F.; Du, X.; Ma, Z.; Liu, G.; Wang, C.; Zhou, M. Effects of Methionine on Milk Performance and Milk Constituents of Lactating Donkeys. Animals 2024, 14, 3027. [Google Scholar] [CrossRef]
- Zhannur, N.; Yao, X.; Liu, M.; Nomin, B.; Tong, J.-Z.; Chang, J.; Wen, Y.; Li, L.; Wang, Y.; Chen, D.; et al. Compositional and Functional Comparisons of the Microbiota in the Colostrum and Mature Milk of Dairy Goats. Animals 2020, 10, 1955. [Google Scholar] [CrossRef]
- Zhang, C.; Hou, T.; Wang, J.; Yu, Q.; Zhang, Y.; Sun, Y. Clostridium butyricum alleviates LPS-induced acute immune stress in goats by regulating bacterial communities and blood metabolites. Front. Immunol. 2023, 14, 1099186. [Google Scholar] [CrossRef] [PubMed]
- Zhu, Y.; Chen, S.; Yi, Z.; Holyoak, G.R.; Wang, T.; Ding, Z.; Li, J. Nasopharyngeal Microbiomes in Donkeys Shedding Streptococcus equi Subspecies equi in Comparison to Healthy Donkeys. Front. Vet. Sci. 2021, 8, 645627. [Google Scholar] [CrossRef]
- Yue, Y.; Yan, S.; Li, L.; Tong, M.; Shi, B.; Zhao, Y.; Guo, X.; Guo, Y. Comparative analysis of haematological, biochemical and nutritional parameters of Dezhou donkey with healthy and weak foals (Equus asinus). Ital. J. Anim. Sci. 2022, 21, 1140–1150. [Google Scholar] [CrossRef]
- Forse, R.A.; Harry, M.S. Serum Albumin and Nutritional Status. J. Parenter. Enter. Nutr. 1980, 4, 450–454. [Google Scholar] [CrossRef] [PubMed]
- Jeike, B.; Feltkamp, T.E.W. Lactate dehydrogenase (LDH)-IgG3 immunoglobulin complexes in human serum. Clin. Chim. Acta 1975, 64, 101–116. [Google Scholar] [CrossRef]
- Liu, Y.; Azad, M.A.K.; Zhu, Q.; Yu, Z.; Kong, X. Dietary bile acid supplementation alters plasma biochemical and hormone indicators, intestinal digestive capacity, and microbiota of piglets with normal birth weight and intrauterine growth retardation. Front. Microbiol. 2022, 13, 1053128. [Google Scholar] [CrossRef] [PubMed]
- Luo, G.; Kefyalew, G.; Zhou, C.; Tan, Z.; Yang, W.; Niu, Y.D.; Tao, R.; Liu, Y. The ileal microbiome and mucosal immune profiles in response to dietary supplementation of ultra-grinded Astragalus membranaceus in weaned goats. Front. Microbiol. 2023, 14, 1309520. [Google Scholar] [CrossRef] [PubMed]
- Zhuang, C.; Liu, G.; Herman, W.B.; Man, Z.; Xu, S.; Sadeeq, R.; Liu, Y.; John, P.K.; Jian, G.; Han, B. Selenomethionine Suppressed TLR4/NF-κB Pathway by Activating Selenoprotein S to Alleviate ESBL Escherichia coli-Induced Inflammation in Bovine Mammary Epithelial Cells and Macrophages. Front. Microbiol. 2020, 11, 1461. [Google Scholar] [CrossRef]
- Li, X.; Liao, A.-M.; Dong, Y.; Hou, Y.; Pan, L.; Li, C.; Zheng, S.; Yuan, Y.; Zhang, J.; Huang, J. In vitro dynamic digestion and anti-fatigue effects of wheat embryo albumin. Food Funct. 2022, 13, 2559–2569. [Google Scholar] [CrossRef] [PubMed]
- Sun, F.; Cao, Y.; Cai, C.; Li, S.; Yu, C.; Yao, J. Regulation of Nutritional Metabolism in Transition Dairy Cows: Energy Homeostasis and Health in Response to Post-Ruminal Choline and Methionine. PLoS ONE 2016, 11, e0160659. [Google Scholar] [CrossRef] [PubMed]
- Su, Y.; Su, J.; Li, F.; Tian, X.; Liu, Z.; Ding, G.; Bai, J.; Li, Z.; Ma, Z.; Maikel, P.P. Yak Gut Microbiota: A Systematic Review and Meta-Analysis. Front. Vet. Sci. 2022, 9, 889594. [Google Scholar] [CrossRef] [PubMed]
- Guo, Y.; Fan, Z.; Li, M.; Xie, H.; Peng, L.; Yang, C. Effects of Sodium Nitrate and Coated Methionine on Lactation Performance, Rumen Fermentation Characteristics, Amino Acid Metabolism, and Microbial Communities in Lactating Buffaloes. Microorganisms 2023, 11, 675. [Google Scholar] [CrossRef]
- Wu, Z.; Duc, N.N.; Theo, Y.C.L.; Zhuang, H.; Shilva, S.; Lutgarde, R.; Samir, K.K.; Lee, P.-H. Synergistic association between cytochrome bd-encoded Proteiniphilum and reactive oxygen species (ROS)-scavenging methanogens in microaerobic-anaerobic digestion of lignocellulosic biomass. Water Res. 2021, 190, 116721. [Google Scholar] [CrossRef] [PubMed]
- Ma, N.; Liu, M.; Song, M.; Li, S.; Lin, X.; Jiao, H.; Wang, X.; Zhao, J.; Sun, S.; Li, H. The Application of Copper Waterline on Laying Performance and Gut Health of Aged Laying Hens. J. Poult. Sci. 2022, 59, 223–232. [Google Scholar] [CrossRef] [PubMed]
- Xu, Q.; Li, Y.; Wang, D.; Zheng, N.; Wang, J.; Zhao, S. Effect of dietary biochanin A on lactation performance, antioxidant capacity, rumen fermentation and rumen microbiome of dairy goat. Front. Microbiol. 2023, 14, 1101849. [Google Scholar] [CrossRef]
- Ma, C.; Md, A.K.A.; Tang, W.; Zhu, Q.; Wang, W.; Gao, Q.; Kong, X. Maternal probiotics supplementation improves immune and antioxidant function in suckling piglets via modifying gut microbiota. J. Appl. Microbiol. 2022, 133, 515–528. [Google Scholar] [CrossRef] [PubMed]
- Zhu, C.; Yang, J.; Nie, X.; Wu, Q.; Wang, L.; Jiang, Z. Influences of Dietary Vitamin E, Selenium-Enriched Yeast, and Soy Isoflavone Supplementation on Growth Performance, Antioxidant Capacity, Carcass Traits, Meat Quality and Gut Microbiota in Finishing Pigs. Antioxidants 2022, 11, 1510. [Google Scholar] [CrossRef]
- Francesco, M.; Vania, P.; Aldo, P.; Samantha, S.; Matteo, D.A.; Luciana, R.; Mario, B.; Alice, S.; Morelli, L.; Maria, C.L. A mixture of quebracho and chestnut tannins drives butyrate-producing bacteria populations shift in the gut microbiota of weaned piglets. PLoS ONE 2021, 16, e0250874. [Google Scholar] [CrossRef]
- Kong, L.; Wang, Z.; Xiao, C.; Zhu, Q.; Song, Z. Glycerol monolaurate attenuated immunological stress and intestinal mucosal injury by regulating the gut microbiota and activating AMPK/Nrf2 signaling pathway in lipopolysaccharide-challenged broilers. Anim. Nutr. 2022, 10, 347–359. [Google Scholar] [CrossRef] [PubMed]
- Wang, W.; Wang, Y.; Guo, T.; Gao, C.; Yang, Y.; Yang, L.; Cui, Z.; Mao, J.; Liu, N.; An, X.; et al. Blend of Cinnamaldehyde, Eugenol, and Capsicum Oleoresin Improved Rumen Health of Lambs Fed High-Concentrate Diet as Revealed by Fermentation Characteristics, Epithelial Gene Expression, and Bacterial Community. Animals 2023, 13, 1663. [Google Scholar] [CrossRef] [PubMed]
- Guo, Y.; Yin, G.; Hui, F.; Guo, X.; Shi, B.; Zhao, Y.; Yan, S. Effects of dietary energy level on antioxidant capability, immune function and rectal microbiota in late gestation donkeys. Front. Microbiol. 2024, 15, 1308171. [Google Scholar] [CrossRef] [PubMed]
- Liu, M.; Zhou, J.; Li, Y.; Ding, Y.; Lian, J.; Dong, Q.; Qu, Q.; Lv, W.; Guo, S. Effects of dietary polyherbal mixtures on growth performance, antioxidant capacity, immune function and jejunal health of yellow-feathered broilers. Poult. Sci. 2023, 102, 102714. [Google Scholar] [CrossRef] [PubMed]
- He, Z.; Li, Y.; Xiong, T.; Nie, X.; Zhang, H.; Zhu, C. Effect of dietary resveratrol supplementation on growth performance, antioxidant capacity, intestinal immunity and gut microbiota in yellow-feathered broilers challenged with lipopolysaccharide. Front. Microbiol. 2022, 13, 977087. [Google Scholar] [CrossRef]
- Zhang, Z.D.; Wang, C.; Du, H.S.; Liu, Q.; Guo, G.; Huo, W.J.; Zhang, J.; Zhang, Y.L.; Pei, C.X.; Zhang, S.L. Effects of sodium selenite and coated sodium selenite on lactation performance, total tract nutrient digestion and rumen fermentation in Holstein dairy cows. Animal 2020, 14, 2091–2099. [Google Scholar] [CrossRef]
- Zhang, S.; Kang, T.; Antonino, M.; Zhang, Z.; Zhang, Z.; Liu, W.; Wu, H. Pseudostellaria heterophylla improves intestinal microecology through modulating gut microbiota and metabolites in mice. J. Sci. Food Agric. 2024, 104, 6174–6185. [Google Scholar] [CrossRef] [PubMed]
- Zeng, Y.; Jiang, L.; Zhou, B.; Liu, Y.; Wang, L.; Hu, Z.; Wang, C.; Tang, Z. Effect of High Efficiency Digestion and Utilization of Organic Iron Made by Saccharomyces cerevisiae on Antioxidation and Caecum Microflora in Weaned Piglets. Animals 2023, 13, 498. [Google Scholar] [CrossRef] [PubMed]
: 0.05 < p < 0.10 between groups.
: 0.05 < p < 0.10 between groups.




| Materials, % | |
|---|---|
| Sorghum | 40.60 |
| Soybean meal | 27.00 |
| Wheat bran | 21.00 |
| Stone flour | 6.30 |
| Calcium hydrogen phosphate | 1.60 |
| Salt | 0.70 |
| Sodium bicarbonate | 0.50 |
| Vitamin complex | 0.10 |
| Mineral complex | 1.00 |
| Choline chloride | 0.30 |
| Lysine | 0.90 |
| Chemical Composition, % | |
| Dry matter | 87.80 |
| Crude protein | 18.20 |
| Crude fiber | 3.73 |
| Crude ash | 12.02 |
| Crude fat | 2.79 |
| Calcium | 0.74 |
| Total phosphorus | 0.74 |
| Non-phytate phosphorus | 0.43 |
| Na | 0.76 |
| Lysine | 1.38 |
| Classification | Groups | Differential Microorganism | LogFC | p-Value | Up/Down |
|---|---|---|---|---|---|
| Phylum | M1 vs. C | Myxococcota | 1.45 | 0.0063 | up |
| M1 vs. C | Methanocorpusculum | 1.53 | 0.0361 | up | |
| Genus | Ruminococcus | 1.48 | 0.0231 | up | |
| [Eubacterium]_ruminantium_group | −2.37 | 0.0006 | down | ||
| M2 vs. C | Sediminispirochaeta | 2.69 | 0.0000 | up | |
| Ruminococcus | 2.23 | 0.0000 | up | ||
| Endomicrobium | 1.57 | 0.0047 | up | ||
| Desulfurispora | 1.38 | 0.0106 | up | ||
| Defluviitaleaceae_UCG−011 | 1.21 | 0.0409 | up | ||
| Peptococcus | 1.16 | 0.0009 | up | ||
| Anaeroplasma | 1.13 | 0.0011 | up | ||
| unidentified_Chloroplast | −1.58 | 0.0026 | down | ||
| M2 vs. M1 | Porphyromonas | 1.66 | 0.0313 | up | |
| unidentified_[Eubacterium]_coprostanoligenes_group | 1.13 | 0.0375 | down |
Disclaimer/Publisher’s Note: The statements, opinions and data contained in all publications are solely those of the individual author(s) and contributor(s) and not of MDPI and/or the editor(s). MDPI and/or the editor(s) disclaim responsibility for any injury to people or property resulting from any ideas, methods, instructions or products referred to in the content. |
© 2025 by the authors. Licensee MDPI, Basel, Switzerland. This article is an open access article distributed under the terms and conditions of the Creative Commons Attribution (CC BY) license (https://creativecommons.org/licenses/by/4.0/).
Share and Cite
Huang, F.; Ma, Z.; Du, X.; Wang, C.; Liu, G.; Zhou, M. Methionine Alters the Fecal Microbiota and Enhances the Antioxidant Capacity of Lactating Donkeys. Animals 2025, 15, 648. https://doi.org/10.3390/ani15050648
Huang F, Ma Z, Du X, Wang C, Liu G, Zhou M. Methionine Alters the Fecal Microbiota and Enhances the Antioxidant Capacity of Lactating Donkeys. Animals. 2025; 15(5):648. https://doi.org/10.3390/ani15050648
Chicago/Turabian StyleHuang, Fei, Zongjie Ma, Xinyi Du, Changfa Wang, Guiqin Liu, and Miaomiao Zhou. 2025. "Methionine Alters the Fecal Microbiota and Enhances the Antioxidant Capacity of Lactating Donkeys" Animals 15, no. 5: 648. https://doi.org/10.3390/ani15050648
APA StyleHuang, F., Ma, Z., Du, X., Wang, C., Liu, G., & Zhou, M. (2025). Methionine Alters the Fecal Microbiota and Enhances the Antioxidant Capacity of Lactating Donkeys. Animals, 15(5), 648. https://doi.org/10.3390/ani15050648

