The Impact of Acute Ammonia Nitrogen Stress on Serum Biochemical Indicators and Spleen Gene Expression in Juvenile Yellowfin Tuna (Thunnus albacares)
Simple Summary
Abstract
1. Introduction
2. Materials and Methods
2.1. Experimental Fish and Design
2.2. Institutional Review Board Statement
2.3. Determination of Serum Biochemical Parameters
2.4. Spleen RNA Extraction and Reverse Transcription
2.5. Gene Expression Analysis
2.6. Statistical Analysis
3. Results
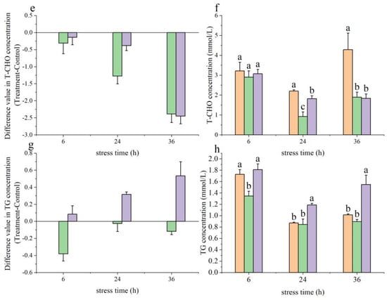
3.1. The Effects on Serum Lipid Metabolism Biochemical Indicators
3.2. The Effects on Serum Immunobiochemical Indicators
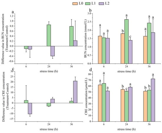
3.3. The Effects on Serum Metabolic Indicators
3.4. The Effects on Spleen Antioxidant Gene Expression
3.5. The Effects on Spleen Immune Gene Expression
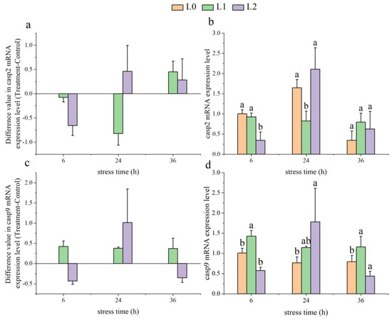
3.6. The Effects on Spleen Apoptosis Factor Expression
3.7. Summary Tables of Serum Biochemical Indicators and Spleen Gene Expression
4. Discussion
4.1. Effects on Serum Biochemical Indicators
4.1.1. Effects on Serum Lipid Metabolism
4.1.2. Effects on Serum Immunobiochemical Indicators
4.1.3. Effects on Serum Metabolic Biochemical Indicators
4.2. Effects on Related Spleen Gene Expression
4.2.1. Effects on Spleen Antioxidant Gene Expression
4.2.2. Effects on Related Spleen Immune Gene Expression
4.2.3. Effects on Spleen Apoptosis Factor Expression
5. Conclusions
Author Contributions
Funding
Institutional Review Board Statement
Informed Consent Statement
Data Availability Statement
Conflicts of Interest
References
- Chang, Z.-W.; Chiang, P.-C.; Cheng, W.; Chang, C.-C. Impact of ammonia exposure on coagulation in white shrimp, Litopenaeus vannamei. Ecotoxicol. Environ. Saf. 2015, 118, 98–102. [Google Scholar] [CrossRef] [PubMed]
- Randall, D.J.; Tsui, T.K.N. Ammonia toxicity in fish. Mar. Pollut. Bull. 2002, 45, 17–23. [Google Scholar] [CrossRef] [PubMed]
- Eddy, F.B. Ammonia in estuaries and effects on fish. J. Fish Biol. 2005, 67, 1495–1513. [Google Scholar] [CrossRef]
- Sun, Y.; Fu, Z.; Ma, Z. The Effects of Acute Ammonia Nitrogen Stress on Antioxidant Ability, Phosphatases, and Related Gene Expression in the Kidney of Juvenile Yellowfin Tuna (Thunnus albacares). J. Mar. Sci. Eng. 2024, 12, 1009. [Google Scholar] [CrossRef]
- Yan, X.; Chen, Y.; Dong, X.; Tan, B.; Liu, H.; Zhang, S.; Chi, S.; Yang, Q.; Liu, H.; Yang, Y. Ammonia toxicity induces oxidative stress, inflammatory response and apoptosis in hybrid grouper (♀ Epinephelus fuscoguttatus × ♂ E. lanceolatu). Front. Mar. Sci. 2021, 8, 667432. [Google Scholar] [CrossRef]
- Liu, Y.; Hu, J.; Zhou, S.; Yang, R.; Qin, J.; Ma, Z.; Yang, Q. Effect of Acute Ammonia Stress on Antioxidant Enzymes and Digestive Enzymes in Barramundi Lates calcarifer Larvae. Isr. J. Aquac. Bamidgeh 2018, 70, 20930. [Google Scholar] [CrossRef]
- Mo, J.; Lu, Y.; Xing, T.; Xu, D.; Zhang, K.; Zhang, S.; Wang, Y.; Yan, G.; Lan, G.; Liang, J. Blood metabolic and physiological profiles of Bama miniature pigs at different growth stages. Porc. Health Manag. 2022, 8, 35. [Google Scholar] [CrossRef]
- Gao, J.; Yang, D.; Sun, Z.; Niu, J.; Bao, Y.; Liu, S.; Tan, Z.; Hao, L.; Cheng, Y.; Liu, S. Changes in Blood Metabolic Profiles Reveal the Dietary Deficiencies of Specific Nutrients and Physiological Status of Grazing Yaks during the Cold Season in Qinghai Province of China. Metabolites 2022, 12, 738. [Google Scholar] [CrossRef]
- Peiling, W. Value of Total Cholestrol/Triiglyceride in Predicting Postoperative Recurrence of Endometriosis. Henan Med. Res. 2024, 33, 1231–1235. [Google Scholar]
- Bonacina, F.; Pirillo, A.; Catapano, A.L.; Norata, G.D. HDL in immune-inflammatory responses: Implications beyond cardiovascular diseases. Cells 2021, 10, 1061. [Google Scholar] [CrossRef]
- Lin, X.H.; Zheng, C.Q.; Jiang, N.; Li, Y.T.; Wang, Q.; Hu, L.Y.; Ding, Q.L. Effect of Statins as Feed Additives on Low Density Lipoprotein in Eggs. Pharm. Biotechnol. 2018, 25, 214–217. [Google Scholar] [CrossRef]
- Yuan, H.W.; Yang, Y.N.; Chen, H.F.; Ji, R.J.; Lin, Y.J.; Guo, R.Y.; Peng, G.P.; Liang, H.; Luo, B. Rise in Low-Density Lipoprotein Cholesterol during Hospitalization is Related with Poor Outcome at Discharge in Patients with Acute Ischemic Stroke. Cerebrovasc. Dis. 2020, 49, 88–96. [Google Scholar] [CrossRef] [PubMed]
- Goldstein, J.L.; Brown, M.S. A century of cholesterol and coronaries: From plaques to genes to statins. Cell 2015, 161, 161–172. [Google Scholar] [CrossRef] [PubMed]
- Zhang, J.; Zuo, Z.; Zhang, X.; Li, X.; Li, W.; Sun, J. Effects of Bacillus subtilis on nonspecific immune enzyme activity, blood biochemical indexes and related gene expression of Cynoglossus semilaevis under ammonia nitrogen stress. J. Fish. China 2022, 46, 857–869. [Google Scholar]
- Xu, C. Analysis of the value of serum complement C3 and complement C4 assays in the assessment of autoimmune hepatitis. Doctor 2023, 8, 116–118. [Google Scholar]
- Yin, F.; Peng, S.; Sun, P.; Shi, Z. Effects of low salinity on antioxidant enzymes activities in kidney and muscle of juvenile silver pomfret Pampus argenteus. Acta Ecol. Sin. 2011, 31, 55–60. [Google Scholar] [CrossRef]
- Salazar, J.H. Overview of urea and creatinine. Lab. Med. 2014, 45, e19–e20. [Google Scholar] [CrossRef]
- Liu, F.; Wang, F.; Li, C.; Ma, Y.; Zhu, R.; Huang, Q. Effects of jujube extracts on serum biochemical indexes and immune-related gene expression in the head kidney of rainbow trout (Oncorhynchus mykiss). Freshw. Fish. 2020, 50, 15–21. [Google Scholar] [CrossRef]
- Wang, S.; Zhao, R.; Cao, X.; Li, X.; Jiang, Z. Effects of clove oil on blood biochemical indexes in juvenile Japanese pufferfish (Takifugu rubripes). J. Zhejiang Agric. Sci. 2024, 65, 449–453. [Google Scholar] [CrossRef]
- Huang, J.; Zhi, L.; Chen, G.; Zhang, J.; Guo, Z.; Hong, Y. Acute hypoxia stress on blood biochemical indexes of large-sized juvenile cobia (Rachycentron canadum). Haiyang Xuebao 2019, 41, 76–84. [Google Scholar]
- Scandalios, J. Oxidative stress: Molecular perception and transduction of signals triggering antioxidant gene defenses. Braz. J. Med. Biol. Res. 2005, 38, 995–1014. [Google Scholar] [CrossRef] [PubMed]
- Wu, L.; Dong, B.; Chen, Q.; Wang, Y.; Han, D.; Zhu, X.; Liu, H.; Zhang, Z.; Yang, Y.; Xie, S. Effects of curcumin on oxidative stress and ferroptosis in acute ammonia stress-induced liver injury in gibel carp (Carassius gibelio). Int. J. Mol. Sci. 2023, 24, 6441. [Google Scholar] [CrossRef] [PubMed]
- Cao, J.; Mei, J.; Xie, J. Combined effects of hypoxia and ammonia-N exposure on the immune response, oxidative stress, tissue injury and apoptosis of hybrid grouper (Epinephelus fuscoguttatus♀× E. lanceolatus♂). Environ. Sci. Pollut. Res. 2024, 31, 845–856. [Google Scholar] [CrossRef] [PubMed]
- Sapan, H.B.; Paturusi, I.; Jusuf, I.; Patellongi, I.; Massi, M.N.; Pusponegoro, A.D.; Arief, S.K.; Labeda, I.; Islam, A.A.; Rendy, L. Pattern of cytokine (IL-6 and IL-10) level as inflammation and anti-inflammation mediator of multiple organ dysfunction syndrome (MODS) in polytrauma. Int. J. Burn. Trauma 2016, 6, 37. [Google Scholar]
- Horiuchi, T.; Mitoma, H.; Harashima, S.-i.; Tsukamoto, H.; Shimoda, T. Transmembrane TNF-α: Structure, function and interaction with anti-TNF agents. Rheumatology 2010, 49, 1215–1228. [Google Scholar] [CrossRef]
- Pooja, S.; Francis, A.; Bid, H.K.; Kumar, S.; Rajender, S.; Ramalingam, K.; Thangaraj, K.; Konwar, R. Role of ethnic variations in TNF-α and TNF-β polymorphisms and risk of breast cancer in India. Breast Cancer Res. Treat. 2011, 126, 739–747. [Google Scholar] [CrossRef]
- Jawa, R.S.; Anillo, S.; Huntoon, K.; Baumann, H.; Kulaylat, M. Interleukin-6 in surgery, trauma, and critical care part II: Clinical implications. J. Intensive Care Med. 2011, 26, 73–87. [Google Scholar] [CrossRef]
- Wu, J.; Wen, G.; Xu, Y.; Hu, X.; Li, Z.; Cao, Y.; Yu, W.; Chen, G. Effects of Ammonia and nitrite stress on immune and metabolic responses of Japanese sea bass, Lateolabrax Japonicus. Isr. J. Aquac. Bamidgeh 2020, 72, 1–22. [Google Scholar] [CrossRef]
- Gao, X.-Q.; Fei, F.; Huang, B.; Meng, X.S.; Zhang, T.; Zhao, K.-F.; Chen, H.-B.; Xing, R.; Liu, B.-L. Alterations in hematological and biochemical parameters, oxidative stress, and immune response in Takifugu rubripes under acute ammonia exposure. Comp. Biochem. Physiol. Part C Toxicol. Pharmacol. 2021, 243, 108978. [Google Scholar] [CrossRef]
- Baptiste-Okoh, N.; Barsotti, A.M.; Prives, C. Caspase 2 is both required for p53-mediated apoptosis and downregulated by p53 in a p21-dependent manner. Cell Cycle 2008, 7, 1133–1138. [Google Scholar] [CrossRef]
- Fava, L.L.; Bock, F.J.; Geley, S.; Villunger, A. Caspase-2 at a glance. J. Cell Sci. 2012, 125, 5911–5915. [Google Scholar] [CrossRef] [PubMed]
- Mao, M.-G.; Jiang, J.-L.; Jiang, Z.-Q.; Liu, R.-T.; Zhang, Q.-Y.; Gui, J.-F. Molecular characterization of caspase members and expression response to Nervous Necrosis Virus outbreak in Pacific cod. Fish Shellfish Immunol. 2018, 74, 559–566. [Google Scholar] [CrossRef] [PubMed]
- Zhang, X.; Liu, Z.; Li, C.; Zhang, Y.; Wang, L.; Wei, J.; Qin, Q. Characterization of orange-spotted grouper (Epinephelus coioides) ASC and caspase-1 involved in extracellular ATP-mediated immune signaling in fish. Fish Shellfish Immunol. 2020, 97, 58–71. [Google Scholar] [CrossRef]
- López-Castejón, G.; Sepulcre, M.P.; Mulero, I.; Pelegrín, P.; Meseguer, J.; Mulero, V. Molecular and functional characterization of gilthead seabream Sparus aurata caspase-1: The first identification of an inflammatory caspase in fish. Mol. Immunol. 2008, 45, 49–57. [Google Scholar] [CrossRef]
- Wright, S.R.; Righton, D.; Naulaerts, J.; Schallert, R.J.; Griffiths, C.A.; Chapple, T.; Madigan, D.; Laptikhovsky, V.; Bendall, V.; Hobbs, R. Yellowfin tuna behavioural ecology and catchability in the South Atlantic: The right place at the right time (and depth). Front. Mar. Sci. 2021, 8, 664593. [Google Scholar] [CrossRef]
- Keim, S.A.; Branum, A.M. Dietary intake of polyunsaturated fatty acids and fish among US children 12–60 months of age. Matern. Child Nutr. 2015, 11, 987–998. [Google Scholar] [CrossRef]
- Vannice, G.; Rasmussen, H. Position of the academy of nutrition and dietetics: Dietary fatty acids for healthy adults. J. Acad. Nutr. Diet. 2014, 114, 136–153. [Google Scholar] [CrossRef] [PubMed]
- Calder, P.C. Polyunsaturated Fatty Acids, Inflammation, and Inflammatory Diseases. In the Psychoneuroimmunology of Chronic Disease: Exploring the Links Between Inflammation, Stress, And Illness; Kendall-Tackett, K., Ed.; American Psychological Association: Washington, DC, USA, 2010; pp. 77–109. [Google Scholar] [CrossRef]
- Pecoraro, C.; Zudaire, I.; Bodin, N.; Murua, H.; Taconet, P.; Díaz-Jaimes, P.; Cariani, A.; Tinti, F.; Chassot, E. Putting all the pieces together: Integrating current knowledge of the biology, ecology, fisheries status, stock structure and management of yellowfin tuna (Thunnus albacares). Rev. Fish Biol. Fish. 2017, 27, 811–841. [Google Scholar] [CrossRef]
- Abdullah, A.; Naibaho, I.; Kartikayani, D.; Nurilmala, M.; Yusfiandayani, R.; Sondita, M. Fish quality and nutritional assessment of yellowfin tuna (Thunnus albacares) during low temperature storage. In Proceedings of IOP Conference Series: Earth and Environmental Science; IOP Publishing: Bristol, UK, 2020; p. 012074. [Google Scholar]
- Biswajit, K.B.; Amal, B.; Nadya, M.; Vernon, P.S.; Sawada, Y.; Takii, K. Study on the effect of broodstock diet of yellowfin tuna, Thunnus albacares on spawning performance and nutrients transition to eggs and larvae. Bull. Aquac. Res. Inst. Kindai Univ. 2020, 20, 1–16. [Google Scholar]
- Hashemi, S.; Doustdar, M.; Gholampour, A.; Khanehzaei, M. Length-based fishery status of yellowfin tuna (Thunnus albacares Bonnaterre, 1788) in the northern waters of the Oman Sea. Iran. J. Fish. Sci. 2020, 19, 2790–2803. [Google Scholar]
- Zhang, N.; Yang, R.; Fu, Z.; Yu, G.; Ma, Z. Mechanisms of Digestive Enzyme Response to Acute Salinity Stress in Juvenile Yellowfin Tuna (Thunnus albacares). Animals 2023, 13, 3454. [Google Scholar] [CrossRef]
- Kır, M.; Sunar, M.C.; Gök, M.G. Acute ammonia toxicity and the interactive effects of ammonia and salinity on the standard metabolism of European sea bass (Dicentrarchus labrax). Aquaculture 2019, 511, 734273. [Google Scholar] [CrossRef]
- Barbieri, E.; Doi, S.A. Acute toxicity of ammonia on juvenile cobia (Rachycentron canadum, Linnaeus, 1766) according to the salinity. Aquac. Int. 2012, 20, 373–382. [Google Scholar] [CrossRef]
- Zhonglin, T.; Jiajia, Z.; Guoqin, Z.; Jun, Q.; Pao, X.; Gangchun, X.; Peipei, W.; Hui, Q. Effects of ammonia nitrogen on acute toxicity and physiologica changes for introduction of Micropterus salmoides F1 juvenile. Freshw. Fish. 2023, 53, 97–103. [Google Scholar] [CrossRef]
- Wenya, F. Comparison of Histological Andtranscriptome Studies of the Gillsbetween Juvenile and Adultyellowfin Tuna (Thunnusalbacares) from the South ChinaSea. 2023. Available online: https://link.cnki.net/doi/10.27073/d.cnki.ghadu.2023.000091doi:10.27073/d.cnki.ghadu.2023.000091 (accessed on 1 May 2023).
- Arjona, F.J.; Vargas-Chacoff, L.; Ruiz-Jarabo, I.; Gonçalves, O.; Páscoa, I.; del Río, M.P.M.; Mancera, J.M. Tertiary stress responses in Senegalese sole (Solea senegalensis Kaup, 1858) to osmotic challenge: Implications for osmoregulation, energy metabolism and growth. Aquaculture 2009, 287, 419–426. [Google Scholar] [CrossRef]
- Hoseini, S.M.; Tort, L.; Abolhasani, M.H.; Rajabiesterabadi, H. Physiological, ionoregulatory, metabolic and immune responses of Persian sturgeon, Acipenser persicus (Borodin, 1897) to stress. Aquac. Res. 2015, 47, 3729–3739. [Google Scholar] [CrossRef]
- Zhang, L.; Wang, Y.; Zhuang, P.; Liu, J.; Zhao, F.; Feng, G.; Liu, J. The influences of illumination on growth, haematological and biochemical indices of juvenile Chinese sturgeon Acipenser sinensis. Mar. Fish. 2010, 32, 141–147. [Google Scholar] [CrossRef]
- Li, H.; Liu, W.; Li, X.; Wang, J.; Liu, B.; Xie, J. Effects of dietary choline-chloride, betaine and lysophospholipids on the growth performance, fat metabolism and blood indices of crucian carp(Carassais auratus gibelio). J. Fish. China 2010, 34, 292–299. [Google Scholar] [CrossRef]
- Jia, R.; Liu, B.-L.; Han, C.; Huang, B.; Lei, J.-L. Effects of ammonia exposure on stress and immune response in juvenile turbot (Scophthalmus maximus). Aquac. Res. 2016, 48, 3149–3162. [Google Scholar] [CrossRef]
- Cesta, M.F. Normal structure, function, and histology of the spleen. Toxicol. Pathol. 2006, 34, 455–465. [Google Scholar] [CrossRef]
- Meijin, Y. Study on the Mechanism of PyroptosisInduced by Environmental Pollutant4-octylphenol in Common Carp 2023. Available online: https://link.cnki.net/doi/10.27010/d.cnki.gdbnu.2023.000124 (accessed on 1 June 2023). [CrossRef]
- Carneiro, W.F.; Castro, T.F.D.; Reichel, T.; de Castro Uzeda, P.L.; Martínez-Palacios, C.A.; Murgas, L.D.S. Diets containing Arthrospira platensis increase growth, modulate lipid metabolism, and reduce oxidative stress in pacu (Piaractus mesopotamicus) exposed to ammonia. Aquaculture 2022, 547, 737402. [Google Scholar] [CrossRef]
- Liu, M.-J.; Guo, H.-Y.; Liu, B.; Zhu, K.-C.; Guo, L.; Liu, B.-S.; Zhang, N.; Yang, J.-W.; Jiang, S.-G.; Zhang, D.-C. Gill oxidative damage caused by acute ammonia stress was reduced through the HIF-1α/NF-κb signaling pathway in golden pompano (Trachinotus ovatus). Ecotoxicol. Environ. Saf. 2021, 222, 112504. [Google Scholar] [CrossRef] [PubMed]
- Susin, S.A.; Zamzami, N.; Castedo, M.; Daugas, E.; Wang, H.-G.; Geley, S.; Fassy, F.; Reed, J.C.; Kroemer, G. The central executioner of apoptosis: Multiple connections between protease activation and mitochondria in Fas/APO-1/CD95-and ceramide-induced apoptosis. J. Exp. Med. 1997, 186, 25–37. [Google Scholar] [CrossRef] [PubMed]
- Sun, Z.; Tan, X.; Liu, Q.; Ye, H.; Zou, C.; Xu, M.; Zhang, Y.; Ye, C. Physiological, immune responses and liver lipid metabolism of orange-spotted grouper (Epinephelus coioides) under cold stress. Aquaculture 2019, 498, 545–555. [Google Scholar] [CrossRef]
- Cheng, C.-H.; Ye, C.-X.; Guo, Z.-X.; Wang, A.-L. Immune and physiological responses of pufferfish (Takifugu obscurus) under cold stress. Fish Shellfish Immunol. 2017, 64, 137–145. [Google Scholar] [CrossRef]








| Gene | Full Name of the Gene | Primer Sequences | Amolification Size | |
|---|---|---|---|---|
| SOD2 | F | superoxide dismutase 2 | CGGGACTTTGGTTCCTTCCA | 128 | 
| SOD2 | R | GCACAAGCAGCGATACGAAG | ||
| CAT | F | catalase | CAGGCAACAACACCCCCA | 122 | 
| CAT | R | CCAGAAGTCCCACACCAT | ||
| GPX1b | F | glutathione peroxidase 1b | GACCACCAGGGATTACAC | 150 | 
| GPX1b | R | GGACGGACATACTTCAGA | ||
| IL-6r | F | interleukin 6 receptor | TTGTCAGTCATTTTGGCT | 132 | 
| IL-6r | R | CTCTGGAGATGTTGGGGT | ||
| IL-10 | F | interleukin 10 | CAGCAAGATACCAACAAG | 190 | 
| IL-10 | R | CGACAAGAGAACCAGGAC | ||
| TNF-α | F | tumor necrosis factor a | ACAGCCAGGCATCTTTCC | 116 | 
| TNF-α | R | GGCGTCACCGTTCCCATA | ||
| TNF-β | F | tumor necrosis factor b | GGGACCCTCCTCATCATC | 194 | 
| TNF-β | R | CTTCGCAAAACCCTTCTA | ||
| casp2 | F | caspase 2 | CAACACTCCTGTGCTCCC | 166 | 
| casp2 | R | ATCCACCTCACCTCCCTT | ||
| casp9 | F | caspase 9 | GGTGCCGTGTATGGTGTG | 116 | 
| casp9 | R | GCCTGGATGAAGAAGAGT | ||
| β-actin | F | β-actin | CGCCCTCGTTGTTGAC | 170 | 
| β-actin | R | CCCTTTTGCTCTGTGCC | ||
| Enzyme Activity | L1 | L2 | 
|---|---|---|
| LDL-C | ↓↓ | ↑↓ | 
| HDL-C | ↑↓ | ↑↓ | 
| T-CHO | ↓↓ | ↓↓ | 
| TG | ↑↓ | ↑↑ | 
| C3 | ↑↓ | ↑↑ | 
| C4 | -↓ | ↑↓ | 
| AKP | ↓- | ↑↑ | 
| ACP | ↑↓ | ↑↓ | 
| BUN | ↑- | ↓↑ | 
| CRE | ↓↑ | ↑↑ | 
| Gene | L1 | L2 | 
|---|---|---|
| SOD2 | ↓↓ | ↓↑ | 
| CAT | ↓↑ | ↓↑ | 
| GPX1b | ↑↓ | ↑↑ | 
| IL-10 | ↑↓ | ↑↓ | 
| IL-6r | ↑↑ | ↑↓ | 
| TNF-α | ↑↓ | ↑↑ | 
| TNF-β | -↓ | ↑↓ | 
| casp2 | ↓↑ | ↑↓ | 
| casp9 | -- | ↑↓ | 
| Disclaimer/Publisher’s Note: The statements, opinions and data contained in all publications are solely those of the individual author(s) and contributor(s) and not of MDPI and/or the editor(s). MDPI and/or the editor(s) disclaim responsibility for any injury to people or property resulting from any ideas, methods, instructions or products referred to in the content. | 
© 2024 by the authors. Licensee MDPI, Basel, Switzerland. This article is an open access article distributed under the terms and conditions of the Creative Commons Attribution (CC BY) license (https://creativecommons.org/licenses/by/4.0/).
Share and Cite
Sun, Y.; Fu, Z.; Ma, Z. The Impact of Acute Ammonia Nitrogen Stress on Serum Biochemical Indicators and Spleen Gene Expression in Juvenile Yellowfin Tuna (Thunnus albacares). Animals 2024, 14, 3090. https://doi.org/10.3390/ani14213090
Sun Y, Fu Z, Ma Z. The Impact of Acute Ammonia Nitrogen Stress on Serum Biochemical Indicators and Spleen Gene Expression in Juvenile Yellowfin Tuna (Thunnus albacares). Animals. 2024; 14(21):3090. https://doi.org/10.3390/ani14213090
Chicago/Turabian StyleSun, Yongyue, Zhengyi Fu, and Zhenhua Ma. 2024. "The Impact of Acute Ammonia Nitrogen Stress on Serum Biochemical Indicators and Spleen Gene Expression in Juvenile Yellowfin Tuna (Thunnus albacares)" Animals 14, no. 21: 3090. https://doi.org/10.3390/ani14213090
APA StyleSun, Y., Fu, Z., & Ma, Z. (2024). The Impact of Acute Ammonia Nitrogen Stress on Serum Biochemical Indicators and Spleen Gene Expression in Juvenile Yellowfin Tuna (Thunnus albacares). Animals, 14(21), 3090. https://doi.org/10.3390/ani14213090
 
        



 
       