Effects of Substituting Fishmeal with Soy Protein Concentrate Supplemented with Essential Amino Acids in the Olive Flounder (Paralichthys olivaceus) Diet on the Expression of Genes Related to Growth, Stress, Immunity, and Digestive Enzyme
Simple Summary
Abstract
1. Introduction
2. Materials and Methods
2.1. Experimental Conditions
2.2. Experimental Diet Preparation
2.3. Determination of Biological Indices
2.4. Biochemical Composition of the Experimental Diets and the Fish
2.5. Quantitative Real-Time Polymerase Chain Reaction (PCR)
2.6. Statistical Analysis
3. Results
3.1. AA and FA Profiles of the Experimental Diets
3.2. Survival and Growth Performance
3.3. Feed Availability and Biological Indices
3.4. Proximate Composition of Dorsal Muscle
3.5. Expression Analysis of Growth, Immune, and Stress-Related Genes
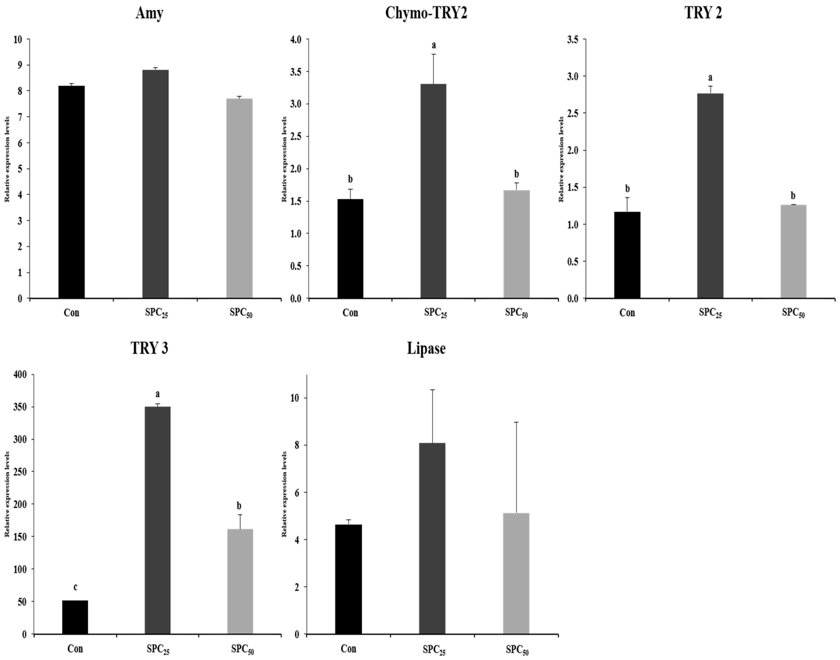
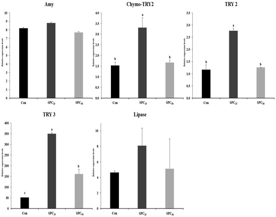
3.6. Expression Analysis of Digestive Enzyme Genes in the Stomach and Middle Intestine
4. Discussion
5. Conclusions
Author Contributions
Funding
Institutional Review Board Statement
Informed Consent Statement
Data Availability Statement
Acknowledgments
Conflicts of Interest
References
- Min, B.H.; Lee, J.H.; Noh, J.K.; Kim, H.C.; Park, C.J.; Choi, S.J.; Myeong, J.I. Hatching rate of eggs, and growth of larvae and juveniles from selected olive flounder, Paralichthys olivaceus. Korean Soc. Dev. Biol. 2009, 14, 239–247. [Google Scholar]
 - KOSIS. Korean Statistical Information Service, Republic of Korea. 2023. Available online: https://kostat.go.kr/board.es?mid=a10301010000&bid=225&act=view&list_no=430057 (accessed on 22 March 2024).
 - Hur, S.; Lee, J.; Lee, S.; Jeong, S.; Kim, K. Effects of worm-based extruded pellets on growth performance of olive flounder Paralichthys olivaceus in commercial aquafarms. Korean J. Fish. Aquat. Sci. 2022, 55, 533–540. [Google Scholar] [CrossRef]
 - Lee, Y.M.; Lee, J.H.; Noh, J.K.; Kim, H.C.; Park, C.J.; Park, J.W.; Noh, G.E.; Kim, K.K. Temporal expression analyses of pancreatic and gastric digestive enzymes during early development of the olive flounder (Paralichthys olivaceus). Aquac. Res. 2017, 48, 979–989. [Google Scholar] [CrossRef]
 - Kim, J.; Baek, S.I.; Cho, S.H.; Kim, T.H. Evaluating the efficacy of partially substituting fishmeal with unfermented tuna by-product meal in diets on the growth, feed utilization, chemical composition and non-specific immune responses of olive flounder (Paralichthys olivaceus). Aquac. Rep. 2022, 24, 101150. [Google Scholar] [CrossRef]
 - Olsen, R.L.; Hasan, M.R. A limited supply of fishmeal: Impact on future increases in global aquaculture production. Trends Food Sci. Technol. 2012, 27, 120–128. [Google Scholar] [CrossRef]
 - Jeong, H.S.; Park, J.S.; Kim, H.S.; Lee, D.G.; Hwang, J.A. Comparison of dietary protein levels on growth performance of far eastern catfish Silurus asotus and water quality in biofloc technology and flow-through systems. Korean J. Fish. Aquat. Sci. 2022, 55, 541–548. [Google Scholar]
 - Médale, F.; Boujard, T.; Vallée, F.; Blanc, D.; Mambrini, M.; Roem, A.; Kaushik, S.J. Voluntary feed intake, nitrogen and phosphorus losses in rainbow trout (Oncorhynchus mykiss) fed increasing dietary levels of soy protein concentrate. Aquat. Living Resour. 1998, 11, 239–246. [Google Scholar] [CrossRef]
 - Peisker, M. Manufacturing of soy protein concentrate for animal nutrition. In Feed Manufacturing in the Mediterranean Region. Improving Safety: From Feed to Food; Brufau, J., Ed.; Ciheam: Zaragoza, Spain, 2001; pp. 103–107. Available online: http://om.ciheam.org/article.php?IDPDF=1600017 (accessed on 15 October 2021).
 - Freitas, L.E.L.; Nunes, A.J.P.; do Carmo Sá, M.V. Growth and feeding responses of the mutton snapper, Lutjanus analis (Cuvier 1828), fed on diets with soy protein concentrate in replacement of anchovy fishmeal. Aquac. Res. 2011, 42, 866–877. [Google Scholar] [CrossRef]
 - Chen, Z.; Ibrahim, U.B.; Yu, A.; Wang, L.; Wang, Y. Dried porcine soluble benefits to increase fishmeal replacement with soy protein concentrate in large yellow croaker Larimichthys crocea diet. J. World Aquac. Soc. 2023, 54, 1162–1178. [Google Scholar] [CrossRef]
 - Colburn, H.R.; Walker, A.B.; Breton, T.; Stilwell, J.M.; Sidor, I.F.; Gannam, A.L.; Berlinsky, D.L. Partial replacement of fishmeal with soybean meal and soy protein concentrate in diets of Atlantic Cod. N. Am. J. Aquac. 2012, 74, 330–337. [Google Scholar] [CrossRef]
 - Deng, J.; Mai, K.; Ai, Q.; Zhang, W.; Wang, X.; Xu, W.; Liufu, Z. Effects of replacing fishmeal with soy protein concentrate on feed intake and growth of juvenile Japanese flounder, Paralichthys olivaceus. Aquaculture 2006, 258, 503–513. [Google Scholar] [CrossRef]
 - Lim, C.H.; Lee, C.S.; Webster, C.D. Alternative Protein Sources in Aquaculture Diets; The Haworth Press: New York, NY, USA, 2019; 571p. [Google Scholar]
 - Kim, M.G.; Lee, C.; Shin, J.; Lee, B.J.; Kim, K.W.; Lee, K.J. Effects of fishmeal replacement in extruded pellet diet on growth, feed utilization and digestibility in olive flounder Paralichthys olivaceus. Korean J. Fish. Aquat. Sci. 2019, 52, 149–158. [Google Scholar] [CrossRef]
 - Kim, M.G.; Shin, J.; Lee, C.; Lee, B.J.; Hur, S.W.; Lim, S.G.; Lee, K.J. Evaluation of a mixture of plant protein source as a partial fishmeal replacement in diets for juvenile olive flounder Paralichthys olivaceus. Korean J. Fish. Aquat. Sci. 2019, 52, 374–381. [Google Scholar] [CrossRef]
 - Lim, H.; Kim, M.G.; Shin, J.; Shin, J.; Hur, S.W.; Lee, B.J.; Lee, K.J. Evaluation of three plant proteins for fishmeal replacement in diet for growing olive flounder Paralichthys olivaceus. Korean J. Fish. Aquat. Sci. 2020, 53, 464–470. [Google Scholar] [CrossRef]
 - Takagi, S.; Shimeno, S.; Hosokawa, H.; Ukawa, M. Effect of lysine and methionine supplementation to a soy protein concentrate diet for red sea bream Pagrus major. Fish. Sci. 2001, 67, 1088–1096. [Google Scholar] [CrossRef]
 - Kokou, F.; Rigos, G.; Kentouri, M.; Alexis, M. Effects of DL-methionine-supplemented dietary soy protein concentrate on growth performance and intestinal enzyme activity of gilthead sea bream (Sparus aurata L.). Aquac. Int. 2016, 24, 257–271. [Google Scholar] [CrossRef]
 - Moon, J.; Oh, D.H.; Park, S.; Seo, J.; Kim, D.; Moon, S.; Park, H.S.; Lim, S.; Lee, B.; Hur, S.; et al. Expression of insulin-like growth factor genes in olive flounder, Paralichthys olivaceus, fed a diet with partial replacement of dietary fishmeal. J. World Aquac. Soc. 2019, 54, 131–142. [Google Scholar] [CrossRef]
 - Jang, W.J.; Hasan, M.T.; Lee, B.; Hur, S.W.; Lee, S.; Kim, K.W.; Lee, E.; Kong, I. Effect of dietary differences on changes of intestinal microbiota and immune-related gene expression in juvenile olive flounder (Paralichthys olivaceus). Aquaculture 2020, 527, 735442. [Google Scholar] [CrossRef]
 - Kim, K.W.; Wang, X.J.; Bai, S.C. Optimum dietary protein level for maximum growth of juvenile olive flounder Paralichthys olivaceus (Temminck et Schlegel). Aquac. Res. 2002, 33, 673–679. [Google Scholar] [CrossRef]
 - Lee, S.; Cho, S.H.; Kim, K. Effects of dietary protein and energy levels on growth and body composition of juvenile flounder Paralichthys olivaceus. J. World Aquac. Soc. 2000, 31, 306–315. [Google Scholar] [CrossRef]
 - Garling, D.L.; Wilson, R.P. Optimum dietary protein to energy ratios for channel catfish fingerlings, Ictalurus punctatus. J. Nutr. 1976, 106, 1368–1375. [Google Scholar] [CrossRef] [PubMed]
 - AOAC. Association of Official Analytical Chemists, 15th ed.; AOAC: Arlington, VA, USA, 1990. [Google Scholar]
 - Jeong, S.M.; Kim, N.L.; Hur, S.W.; Lee, S.H.; Bae, J.H.; Kim, K.W. Effect of dietary inclusion of black soldier fly larvae Hermetia illucens meal on growth performance of starry flounder Platichthys stellatus and feed value. Korean J. Fish. Aquat. Sci. 2023, 56, 373–379. [Google Scholar] [CrossRef]
 - Duncan, D.B. Multiple range and multiple F tests. Biometrics 1955, 11, 1–42. [Google Scholar] [CrossRef]
 - Alam, M.S.; Teshima, S.; Koshio, S.; Ishikawa, M. Arginine requirement of juvenile Japanese flounder Paralichthys olivaceus estimated by growth and biochemical parameters. Aquaculture 2002, 205, 127–140. [Google Scholar] [CrossRef]
 - Forster, I.; Ogata, H.Y. Lysine requirement of juvenile japanese flounder Paralichthys olivaceus and juvenile red sea bream Pagrus major. Aquaculture 1998, 161, 131–142. [Google Scholar] [CrossRef]
 - Alam, M.S.; Teshima, S.; Ishikawa, M.; Koshio, S. Methionine requirement of juvenile Japanese flounder Paralichthys olivaceus. J. World Aquacult. Soc. 2000, 31, 618–626. [Google Scholar] [CrossRef]
 - Kim, K.; Lee, S. Requirement of dietary n-3 highly unsaturated fatty acids for juvenile flounder (Paralichthys olivaceus). Aquaculture 2004, 229, 315–323. [Google Scholar] [CrossRef]
 - Nandakumar, S.; Ambasankar, K.; Ali, S.S.R.; Syamadayal, J.; Vasagam, K. Replacement of fishmeal with corn gluten meal in feeds for Asian seabass (Lates calcarifer). Aquac. Int. 2017, 25, 1495–1505. [Google Scholar] [CrossRef]
 - Kikuchi, K. Partial replacement of fishmeal with corn gluten meal in diets for Japanese flounder Paralichtys olivaceus. J. World Aquac. Soc. 1999, 30, 357–363. [Google Scholar] [CrossRef]
 - Goff, J.B.; Gatlin, D.M., III. Evaluation of different sulfur amino acid compounds in the diet of red drum, Sciaenops ocellatus, and sparing value of cystine for methionine. Aquaculture 2004, 241, 465–477. [Google Scholar] [CrossRef]
 - Farhat; Khan, M.A. Total sulfur amino acid requirement and cysteine replacement value for fingerling stinging catfish, Heteropneustes fossilis (Bloch). Aquaculture 2014, 426, 270–281. [Google Scholar] [CrossRef]
 - An, W.; Dong, X.; Tan, B.; Yang, Q.; Chi, S.; Zhang, S.; Liu, H.; Yang, Y. Effects of dietary n-3 highly unsaturated fatty acids on growth, non-specific immunity, expression of some immune-related genes and resistance to Vibrio harveyi in hybrid grouper (♀ Epinephelus fuscoguttatus × ♂ Epinephelus lanceolatu). Fish. Shellfish Immunol. 2020, 96, 86–96. [Google Scholar] [CrossRef]
 - Volpato, J.A.; Ribeiro, L.B.; Torezan, G.B.; da Silva, I.C.; de Oliveira Martins, I.; Genova, J.L.; de Oliveira, N.T.E.; Carvalho, S.T.; de Oliveira Carvalho, P.L.; Vasconcellos, R.S. Characterization of the variations in the industrial processing and nutritional variables of poultry by-product meal. Poult. Sci. 2022, 101, 101926. [Google Scholar] [CrossRef]
 - Baek, S.I.; Jeong, H.S.; Cho, S.H. Replacement effect of fishmeal by plant protein sources in olive flounder (Paralichthys olivaceus) feeds with an addition of jack mackerel meal on growth, feed availability, and biochemical composition. Aquac. Nutr. 2023, 2023, 7965258. [Google Scholar] [CrossRef] [PubMed]
 - Li, R.; Cho, S.H. Substitution impact of tuna by-product meal for fishmeal in the diets of rockfish (Sebastes schlegeli) on growth and feed availability. Animals 2023, 13, 3586. [Google Scholar] [CrossRef] [PubMed]
 - Ji, H.; Li, J.; Liu, P. Regulation of growth performance and lipid metabolism by dietary n-3 highly unsaturated fatty acids in juvenile grass carp, Ctenopharyngodon idellus. Comp. Biochem. Physiol. B Biochem. Mol. Biol. 2011, 159, 49–56. [Google Scholar] [CrossRef] [PubMed]
 - Choi, J.; Aminikhoei, Z.; Kim, K.; Lee, S. Growth and fatty acid composition of juvenile olive flounder Paralichthys olivaceus fed diets containing different levels and ratios of eicosapentaenoic acid and docosahexaenoic acid. Fish Aquat. Sci. 2014, 17, 95–103. [Google Scholar] [CrossRef][Green Version]
 - Park, S.J.; Seo, B.S.; Park, H.S.; Lee, B.J.; Hur, S.W.; Nam, T.J.; Lee, K.J.; Lee, S.H.; Choi, Y.H. Effect of fishmeal content in the diet on the growth and sexual maturation of olive flounder (Paralichthys olivaceus) at a typical fish farm. Animals 2021, 11, 2055. [Google Scholar] [CrossRef]
 - Li, P.Y.; Wang, J.Y.; Song, Z.D.; Zhang, L.M.; Zhang, H.; Li, X.X.; Pan, Q. Evaluation of soy protein concentrate as a substitute for fishmeal in diets for juvenile starry flounder (Platichthys stellatus). Aquaculture 2015, 448, 578–585. [Google Scholar] [CrossRef]
 - Sim, Y.J.; Cho, S.H.; Kim, K.; Jeong, S. Effect of substituting fishmeal with various by-product meals of swine-origin in diet on olive flounder (Paralichthys olivaceus). Aquac. Rep. 2023, 33, 101844. [Google Scholar] [CrossRef]
 - Niu, K.; Khosravi, S.; Kothari, D.; Lee, W.; Lim, J.; Lee, B.; Kim, K.; Lim, S.; Lee, S.; Kim, S. Effects of dietary multi-strain probiotics supplementation in a low fishmeal diet on growth performance, nutrient utilization, proximate composition, immune parameters, and gut microbiota of juvenile olive flounder (Paralichthys olivaceus). Fish Shellfish. Immunol. 2019, 93, 258–268. [Google Scholar] [CrossRef] [PubMed]
 - Seo, B.; Park, S.; Hwang, S.; Lee, Y.; Lee, S.; Hur, S.; Lee, K.; Nam, T.; Song, J.; Kim, J.; et al. Effects of decreasing fishmeal as main source of protein on growth, digestive physiology, and gut microbiota of olive flounder (Paralichthys olivaceus). Animals 2022, 12, 2043. [Google Scholar] [CrossRef]
 - Fernandez-Palacios, H.; Izquierdo, M.S.; Robaina, L.; Valencia, A.; Salhi, M.; Vergara, J.M. Effect of n-3 HUFA level in broodstock diets on egg quality of gilthead sea bream (Sparus aurata L.). Aquaculture 1995, 132, 325–327. [Google Scholar] [CrossRef]
 - Furuita, H.; Tanaka, H.; Yamamoto, T.; Suzuki, N.; Takeuchi, T. Effects of high levels of n-3 HUFA in broodstock diet on egg quality and egg fatty acid composition of Japanese flounder, Paralichthys olivaceus. Aquaculture 2002, 210, 323–333. [Google Scholar] [CrossRef]
 - Bae, K.; Kim, K.; Lee, S. Evaluation of rice distillers dried grain as a partial replacement for fishmeal in the practical diet of the juvenile olive flounder Paralichthys olivaceus. Fish. Aquat. Sci. 2015, 18, 151–158. [Google Scholar] [CrossRef]
 - Fuentes, E.N.; Björnsson, B.T.; Valdés, J.A.; Einarsdottir, I.E.; Lorca, B.; Alvarez, M.; Molina, A. IGF-I/PI3K/Akt and IGF-I/MAPK/ERK pathways in vivo in skeletal muscle are regulated by nutrition and contribute to somatic growth in the fine flounder. Am. J. Physiol. Regul. Integr. Comp. Physiol. 2011, 300, R1532–R1542. [Google Scholar] [CrossRef]
 - Gill, N.; Higgs, D.A.; Skura, B.J.; Rowshandeli, M.; Dosanjh, B.S.; Mann, J.; Gannam, A.L. Nutritive value of partially dehulled and extruded sunflower meal for post-smolt Atlantic salmon (Salmo salar L.) in sea water. Aquac. Res. 2006, 37, 1348–1359. [Google Scholar] [CrossRef]
 - Park, S.; Moon, J.; Seo, J.; Nam, T.; Lee, K.; Lim, S.; Kim, K.; Lee, B.; Hur, S.; Choi, Y. Effect of fishmeal replacement on insulin-like growth factor-I expression in the liver and muscle and implications for the growth of olive flounder Paralichthys olivaceus. Korean J. Fish. Aquat. Sci. 2019, 52, 141–148. [Google Scholar] [CrossRef]
 - Kim, J.; Jung, S. cDNA microarray analysis of viral hemorrhagic septicemia infected olive flounder, Paralichthys olivaceus: Immune gene expression at different water temperature. J. Fish Pathol. 2014, 27, 1–9. [Google Scholar] [CrossRef][Green Version]
 - Kim, K.; Kim, H.C.; Park, C.; Park, J.; Lee, Y.M.; Kim, W. Interleukin-8 (IL-8) expression in the olive flounder (Paralichthys olivaceus) against viral hemorrhagic septicemia virus (VHSV) challenge. Dev. Reprod. 2019, 23, 231–238. [Google Scholar] [CrossRef]
 - Cheng, C.; Guo, Z.; Luo, S.; Wang, A. Effects of high temperature on biochemical parameters, oxidative stress, DNA damage and apoptosis of pufferfish (Takifugu obscurus). Ecotoxicol. Environ. Saf. 2018, 150, 190–198. [Google Scholar] [CrossRef] [PubMed]
 - Kumari, R.; Deshmukh, R.S.; Das, S. Caspase-10 inhibits ATP-citrate lyase-mediated metabolic and epigenetic reprogramming to suppress tumorigenesis. Nat. Commun. 2019, 10, 4255. [Google Scholar] [CrossRef] [PubMed]
 - Jia, R.; Liu, B.; Feng, W.; Han, C.; Huang, B.; Lei, J. Stress and immune responses in skin of turbot (scophthalmus maximus) under different stocking densities. Fish Shellfish. Immunol. 2016, 55, 131–139. [Google Scholar] [CrossRef]
 - Singh, M.K.; Shinm, Y.; Ju, S.; Han, S.; Choe, W.; Yoon, K.; Kim, S.S.; Kang, I. Heat shock respose and heat shock proteins: Current understanding and future opportunities in human diseases. Int. J. Mol. Sci. 2024, 25, 4209. [Google Scholar] [CrossRef]
 - Currie, S.; Moyes, C.D.; Tufts, B.L. The effects of heat shock and acclimation temperature on Hsp70 and Hsp30 mRNA expression in rainbow trout: In vivo and in vitro comparisons. J. Fish Biol. 2000, 56, 398–408. [Google Scholar] [CrossRef]
 - Jin, M.; Lu, Y.; Yuan, Y.; Li, Y.; Qiu, H.; Sun, P.; Ma, H.; Ding, L.; Zhou, Q. Regulation of growth, antioxidant capacity, fatty acid profiles, hematological characteristics and expression of lipid related genes by different dietary n-3 highly unsaturated fatty acids in juvenile black seabream (Acanthopagrus schlegelii). Aquaculture 2017, 471, 55–65. [Google Scholar] [CrossRef]
 - Gwak, W.; Park, D.W. Developmental changes in digestive enzymes activity of black rockfish Sebastes inermis. J. Aquac. 2006, 19, 125–132. [Google Scholar]
 - Hu, Y.; Yang, G.; Li, Z.; Hu, Y.; Zhong, L.; Zhou, Q.; Peng, M. Effect of dietary taurine supplementation on growth, digestive enzyme, immunity and resistant to dry stress of rice field eel (Monopterus albus) fed low fishmeal diets. Aquac. Res. 2018, 49, 2108–2118. [Google Scholar] [CrossRef]
 



| Experimental Diet | |||
|---|---|---|---|
| Con | SPC25 | SPC50 | |
| Ingredient (%, DM) | |||
| Low-temperature fishmeal (LT FM) a | 60.0 | 45.0 | 30.0 | 
| Soy protein concentrate (SPC) b | 9.0 | 18.0 | |
| Wheat gluten | 9.5 | 14.25 | 19.0 | 
| Wheat flour | 15.5 | 15.5 | 15.5 | 
| Starch | 5.6 | 3.93 | 2.26 | 
| Fish oil | 4.9 | 6.25 | 7.6 | 
| Mono-calcium phosphate (MCP) c | 1.05 | 2.1 | |
| Vitamin C | 0.5 | 0.5 | 0.5 | 
| Mineral premix d | 2.0 | 2.0 | 2.0 | 
| Vitamin premix e | 1.0 | 1.0 | 1.0 | 
| Betaine | 0.5 | 0.5 | 0.5 | 
| Choline | 0.5 | 0.5 | 0.5 | 
| Lysine (99%) f | 0.375 | 0.75 | |
| Methionine (99%) g | 0.145 | 0.29 | |
| Nutrients (%, DM) | |||
| Dry matter | 96.3 | 96.8 | 96.3 | 
| Crude protein | 53.9 | 53.1 | 52.8 | 
| Crude lipid | 9.3 | 9.5 | 10.6 | 
| Ash | 13.3 | 12.7 | 10.8 | 
| Carbohydrate h | 23.5 | 24.7 | 25.8 | 
| Gross energy (GE) (kcal/g) i | 4.800 | 4.845 | 4.992 | 
| Target | Sequence (5′-3′) | Gen Bank | 
|---|---|---|
| IGF | F.P = 5′-CGGCGCCTGGAGATGTACTG-3′ | AF016922.2 | 
| R.P = 5′-TGTCCTACGCTCTGTGCCCT-3′ | ||
| GFB-3 | F.P = 5′-CTCAAGACCTGGAACCTCTCACTAT-3′ | KF723424.1 | 
| R.P = 5′-CTCAGCTACACTTGCAAGACTTGAC-3′ | ||
| IL-8 | F.P = 5′-GTTGTTGCTGTGATGGTGCT-3′ | AB809047.1 | 
| R.P = 5′-GCCGGTATCTTTCAGAGTGG-3′ | ||
| Caspase | F.P = 5′-GCACATGGACATCCTGAGTG-3′ | AB247499.1 | 
| R.P = 5′-AGGCTGCTCATTTCACTGCT-3′ | ||
| HSP70 | F.P = 5′-TCCTCATGGGTGACACTTCG-3′ | AB010871.1 | 
| R.P = 5′-TTGTCCTTGGTCATGGCTCT-3′ | ||
| SOD | F.P = 5′-GGGAATGTCACTGCTGGAAAA-3′ | EF681883.1 | 
| R.P = 5′-CCAATAACTCCACAGGCCAGAC-3′ | ||
| GPX | F.P = 5′-GAAGGTGGATGTGAATGGGAAG-3′ | EU095498.1 | 
| R.P = 5′-TCTGCCTCGATATCAATGGTAAGG-3′ | ||
| PRX | F.P = 5′-TCTCCTACAGCAAACAGCAC-3′ | DQ009987.1 | 
| R.P = 5′-CCAGGAAGTGACACCATCAA-3′ | ||
| TRX | F.P = 5′-TGGACAGAGGCGAGGCTACT-3′ | XM020095833.1 | 
| R.P = 5′-ACCCAAAGACCAAACCACACAC-3′ | ||
| Amy | F.P = 5′-CACTCTTCATGTGGAAGCTGGTTC-3′ | KJ908179 | 
| R.P = 5′-CCATAGTTCTCAATGTTGCCACTGC-3′ | ||
| Chymo-TRY2 | F.P = 5′-ACTACACCGGCTTCCACTTC-3′ | AB029754 | 
| R.P = 5′-GAACACCTTGCCAACCTTCATG-3′ | ||
| TRY2 | F.P = 5′-ATCGTCGGAGGGTATGAGTG-3′ | AB029751 | 
| R.P = 5′-CATCCAGAGACTGTGCACATG-3′ | ||
| TRY3 | F.P = 5′-TATGAGTGCACGCCCTACTC-3′ | AB029752 | 
| R.P = 5′-GTTCTCACAGTCCCTCTCAGAC-3′ | ||
| Lipase | F.P = 5′-ATGGGAGAAGAAAATATCTTATTTTTGA-3′ | HQ850701 | 
| R.P = 5′-TACCGTCCAGCCATGTATCAC-3′ | 
| Ingredients | Requirement | Experimental Diet | ||||
|---|---|---|---|---|---|---|
| FM | SPC | Con | SPC25 | SPC50 | ||
| Essential amino acids (EAA) (g/kg) | ||||||
| Arginine | 36.6 | 45.5 | 20.4–21.0 1 | 29.4 | 27.2 | 26.3 | 
| Histidine | 13.4 | 16.4 | 9.6 | 11.5 | 12.1 | |
| Isoleucine | 28.9 | 31.1 | 22.3 | 21.6 | 21.0 | |
| Leucine | 47.4 | 50.3 | 39.4 | 37.5 | 36.3 | |
| Lysine | 50.7 | 41.3 | 1.50–21.0 2 | 36.3 | 33.6 | 32.4 | 
| Methionine | 17.7 | 6.7 | 14.4–14.9 3 | 13.7 | 12.3 | 11.7 | 
| Phenylalanine | 25.3 | 32.1 | 22.6 | 22.8 | 23.2 | |
| Threonine | 25.8 | 24.9 | 21.7 | 19.2 | 17.7 | |
| Valine | 33.8 | 31.9 | 26.7 | 24.5 | 23.5 | |
| ∑EAA 4 | 279.6 | 280.2 | 221.7 | 210.2 | 204.2 | |
| Non-essential amino acids (NEAA) (g/kg) | ||||||
| Alanine | 40.1 | 27.1 | 31.7 | 26.6 | 23.0 | |
| Aspartic acid | 59.0 | 72.6 | 44.8 | 40.8 | 38.5 | |
| Cysteine | 3.5 | 5.9 | 0.6 3 | 6.1 | 3.0 | 2.8 | 
| Glutamic acid | 89.6 | 127.8 | 97.6 | 111.4 | 119.3 | |
| Glycine | 42.9 | 27.6 | 33.5 | 28.2 | 24.4 | |
| Proline | 21.8 | 33.1 | 30.9 | 35.5 | 39.3 | |
| Serine | 22.6 | 31.7 | 22.6 | 22.1 | 21.9 | |
| Tyrosine | 17.7 | 19.3 | 15.6 | 14.8 | 14.6 | |
| ∑NEAA 5 | 331.5 | 384.5 | 282.8 | 282.4 | 283.8 | |
| Ingredient | Requirement | Experimental Diet | ||||
|---|---|---|---|---|---|---|
| FM | SPC | Con | SPC25 | SPC50 | ||
| C14:0 | 59.3 | 34.8 | 31.9 | 26.2 | ||
| C16:0 | 241.9 | 205.1 | 202.9 | 187.1 | ||
| C18:0 | 49.1 | 197.7 | 222.6 | 247.6 | ||
| C20:0 | 15.3 | |||||
| C22:0 | 19.4 | |||||
| ∑SFA 1 | 384.9 | 437.6 | 457.4 | 460.9 | ||
| C17:1n-7 | 48.6 | 46.5 | 42.9 | |||
| C18:1n-9 | 28.5 | 28.0 | 27.0 | |||
| C24:1n-9 | 15.2 | |||||
| ∑MUFA 2 | 15.2 | 77.1 | 74.5 | 69.9 | ||
| C18:2n-6 | 118.6 | 178.3 | 210.3 | 260.4 | ||
| C18:3n-6 | 29.3 | 31.3 | 35.2 | |||
| C20:2n-6 | 37.9 | |||||
| C20:3n-6 | 18.1 | |||||
| C20:4n-6 | 44.2 | |||||
| C20:5n-3 | 120.6 | |||||
| C22:2n-6 | 0.9 | 68.4 | 65.0 | 49.7 | ||
| C22:6n-3 | 169.5 | 117.8 | 108.3 | 77.8 | ||
| ∑n-3 HUFA 3 | 491.8 | 8.16–10.20 4 | 117.8 | 108.3 | 77.8 | |
| Unknown | 139.7 | 73.4 | 53.2 | 46.1 | ||
| Experimental Diet | Initial Weight (g/Fish)  | Final Weight (g/Fish)  | Survival (%) | Weight Gain (g/Fish) | SGR (%/Day) | 
|---|---|---|---|---|---|
| Con | 721.4 ± 6.95 | 1112.5 ± 28.80 | 96.3 ± 1.79 | 390.8 ± 24.95 | 0.31 ± 0.016 | 
| SPC25 | 729.4 ± 5.63 | 1170.3 ± 90.10 | 94.7 ± 4.09 | 442.3 ± 86.24 | 0.34 ± 0.048 | 
| SPC50 | 732.5 ± 3.61 | 1131.9 ± 24.47 | 96.3 ± 2.49 | 400.6 ± 24.29 | 0.31 ± 0.015 | 
| p-value | p = 0.9 | p = 0.9 | p = 0.05 | p = 0.9 | p = 0.05 | 
| Experimental Diet | DFI (%/Day) | FE | PER | PR (%) | CF (g/cm3) | VSI (%) | HSI (%) | 
|---|---|---|---|---|---|---|---|
| Con | 0.48 ± 0.018 | 0.63 ± 0.024 | 1.16 ± 0.045 | 37.36 ± 1.510 | 1.04 ± 0.247 | 3.99 ± 0.574 | 1.47 ± 0.282 | 
| SPC25 | 0.46 ± 0.004 | 0.70 ± 0.074 | 1.32 ± 0.139 | 42.62 ± 3.703 | 1.16 ± 0.283 | 3.59 ± 0.263 | 1.57 ± 0.344 | 
| SPC50 | 0.44 ± 0.009 | 0.69 ± 0.021 | 1.30 ± 0.039 | 42.90 ± 1.256 | 1.04 ± 0.083 | 3.45 ± 0.356 | 1.44 ± 0.150 | 
| p-value | p = 0.05 | p = 0.05 | p = 0.5 | p = 0.9 | p = 0.6 | p = 0.8 | p = 0.9 | 
| Experimental Diet | Moisture | Crude Protein | Crude Lipid | Ash | 
|---|---|---|---|---|
| Con | 72.87 ± 0.020 | 22.44 ± 0.240 | 2.37 ± 0.400 b | 1.57 ± 0.005 a | 
| SPC25 | 72.69 ± 0.330 | 22.26 ± 0.500 | 2.61 ± 0.025 b | 1.55 ± 0.025 a | 
| SPC50 | 71.95 ± 0.085 | 21.91 ± 0.045 | 4.44 ± 0.145 a | 1.50 ± 0.005 b | 
| p-value | p = 0.1 | p = 0.4 | p = 0.04 | p = 0.05 | 
Disclaimer/Publisher’s Note: The statements, opinions and data contained in all publications are solely those of the individual author(s) and contributor(s) and not of MDPI and/or the editor(s). MDPI and/or the editor(s) disclaim responsibility for any injury to people or property resulting from any ideas, methods, instructions or products referred to in the content.  | 
© 2024 by the authors. Licensee MDPI, Basel, Switzerland. This article is an open access article distributed under the terms and conditions of the Creative Commons Attribution (CC BY) license (https://creativecommons.org/licenses/by/4.0/).
Share and Cite
Lee, S.H.; Park, J.-W.; Jeong, M.; Lee, D.; Kim, J.; Kim, H.-C. Effects of Substituting Fishmeal with Soy Protein Concentrate Supplemented with Essential Amino Acids in the Olive Flounder (Paralichthys olivaceus) Diet on the Expression of Genes Related to Growth, Stress, Immunity, and Digestive Enzyme. Animals 2024, 14, 3039. https://doi.org/10.3390/ani14203039
Lee SH, Park J-W, Jeong M, Lee D, Kim J, Kim H-C. Effects of Substituting Fishmeal with Soy Protein Concentrate Supplemented with Essential Amino Acids in the Olive Flounder (Paralichthys olivaceus) Diet on the Expression of Genes Related to Growth, Stress, Immunity, and Digestive Enzyme. Animals. 2024; 14(20):3039. https://doi.org/10.3390/ani14203039
Chicago/Turabian StyleLee, Sang Hyun, Jong-Won Park, Minhwan Jeong, Dain Lee, Julan Kim, and Hyun-Chul Kim. 2024. "Effects of Substituting Fishmeal with Soy Protein Concentrate Supplemented with Essential Amino Acids in the Olive Flounder (Paralichthys olivaceus) Diet on the Expression of Genes Related to Growth, Stress, Immunity, and Digestive Enzyme" Animals 14, no. 20: 3039. https://doi.org/10.3390/ani14203039
APA StyleLee, S. H., Park, J.-W., Jeong, M., Lee, D., Kim, J., & Kim, H.-C. (2024). Effects of Substituting Fishmeal with Soy Protein Concentrate Supplemented with Essential Amino Acids in the Olive Flounder (Paralichthys olivaceus) Diet on the Expression of Genes Related to Growth, Stress, Immunity, and Digestive Enzyme. Animals, 14(20), 3039. https://doi.org/10.3390/ani14203039
        
