Ecological Niche Characteristics of the Diets of Three Sympatric Rodents in the Meili Snow Mountain, Yunnan
Abstract
Simple Summary
Abstract
1. Introduction
2. Materials and Methods
2.1. Study Area
2.2. Collection of Samples
2.3. Sampling of Gut Contents, DNA Extraction and Sequencing
2.4. Sequence Processing and Data Statistical Analysis
2.5. Characteristics of Trophic Niche
3. Results
3.1. Food Composition of Studied Species
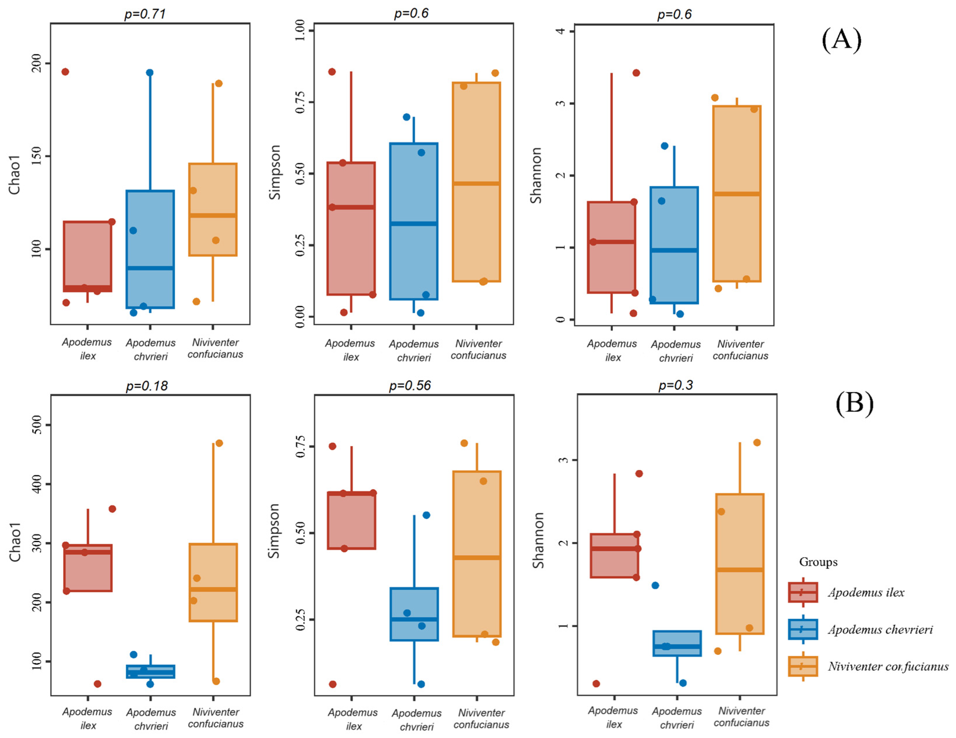
3.2. Interspecific Comparison of Food Composition Diversity
3.3. Difference Analysis of Food between the Three Species
3.4. Trophic Niche Breadth and Overlap Index
4. Discussion
4.1. Dietary Differences among the Three Species
4.2. Trophic Niche Characteristics of the Three Species
5. Conclusions
Author Contributions
Funding
Institutional Review Board Statement
Informed Consent Statement
Data Availability Statement
Conflicts of Interest
References
- Svensson, E.I.; Gómez-Llano, M.A.; Torres, A.R.; Bensch, H.M. Frequency Dependence and Ecological Drift Shape Coexistence of Species with Similar Niches. Am. Nat. 2018, 191, 691–703. [Google Scholar] [CrossRef]
- Benson, K.R. Ecological niches: Linking classical and contemporary approaches. Hist. Philos. Life Sci. 2005, 27, 304–305. [Google Scholar]
- Huisman, J.; Weissing, F.J. Biodiversity of plankton by species oscillations and chaos. Nature 1999, 402, 407–410. [Google Scholar] [CrossRef]
- Sommer, U. Ecology—Competition and coexistence. Nature 1999, 402, 366–367. [Google Scholar] [CrossRef]
- Grinnell, J. The Niche-Relationships of the California Thrasher. The Auk 1917, 34, 427–433. [Google Scholar] [CrossRef]
- Udvardy, M.D.F. Notes on the Ecological Concepts of Habitat, Biotope and Niche. Ecology 1959, 40, 725–728. [Google Scholar] [CrossRef]
- Brown, J.H.; Lieberman, G.A. Resource Utilization and Coexistence of Seed-Eating Desert Rodents in Sand Dune Habitats. Ecology 1973, 54, 788–797. [Google Scholar] [CrossRef]
- Xian, D.Y. The role of competition in coexistence among species. For. Inventory Plan. 2008, 33, 6. (In Chinese) [Google Scholar]
- Rutrough, A.; Widick, I.V.; Bean, W.T. Reconstruction of the historical range alters niche estimates in an endangered rodent. Ecography 2019, 42, 1742–1751. [Google Scholar] [CrossRef]
- Yang, C.W.; Ma, J.Z.; Jin, H.L.; Liu, Z. Research on autumn time niche of five rodents in forests ecosystem. Chin. J. Zool. 2008, 43, 64–69. (In Chinese) [Google Scholar]
- Cooke, S.B.; Crowley, B.E. Deciphering the isotopic niches of now-extinct Hispaniolan rodents. J. Vertebr. Paleontol. 2018, 38, 16. [Google Scholar] [CrossRef]
- Marshal, J.P.; Bleich, V.C.; Andrew, N.G. Evidence for interspecific competition between feral ass Equus asinus and mountain sheep Ovis canadensis in a desert environment. Wildlife Biol. 2008, 14, 228–236. [Google Scholar] [CrossRef]
- Duffy, J.E.; Cardinale, B.J.; France, K.E.; McIntyre, P.B.; Thebault, E.; Loreau, M. The functional role of biodiversity in ecosystems: Incorporating trophic complexity. Ecol. Lett. 2007, 10, 522–538. [Google Scholar] [CrossRef] [PubMed]
- Sheppard, S.K.; Harwood, J.D. Advances in molecular ecology: Tracking trophic links through predator-prey food-webs. Funct. Ecol. 2005, 19, 751–762. [Google Scholar] [CrossRef]
- Yin, B.F.; Huai, H.Y.; Zhang, Y.L.; Zhou, L.; Wei, W.H. Trophic niches of Pantholops hodgsoni, Procapra picticaudata and Equus kiang in Kekexili region. J. Appl. Ecol. 2007, 18, 766–770. (In Chinese) [Google Scholar]
- Zhong, L.Q. Feeding and Nutrition Strategy and Feeding Habitat Evaluation of Red Deer and Sika Deer Distributed in the Same Domain. Ph.D. Thesis, Northeast Forestry University, Harbin, China, 2020; p. 30. (In Chinese). [Google Scholar]
- Zhang, Y.Y.; Dong, J.Y.; Sun, X.; Zhang, X.M. A Review of Bibliometric Analysis of Feeding Habits on DNA-Based Molecular Dietary Research. Fish. Sci. 2022, 41, 160–172. [Google Scholar] [CrossRef]
- Zhang, H.H. Evalution on the Studying Methods of Carnivore Food Habits. J. Northeast For. Univ. 1999, 27, 53. (In Chinese) [Google Scholar]
- Li, X.Y.; Yang, S.J.; Yang, Y. Review and Evalution on Major Methods for Primate Diet Study. For. Inventory Plann. 2007, 32, 5. (In Chinese) [Google Scholar]
- Yin, H.B.; Jun, Y.G.; Wang, G.L. Studying Methods of Carnivore Food Habie. J. Anhui Univ. Nat. Sci. 2008, 32, 5. (In Chinese) [Google Scholar]
- Egeter, B.; Bishop, P.J.; Robertson, B.C. Detecting frogs as prey in the diets of introduced mammals: A comparison between morphological and DNA-based diet analyses. Mol. Ecol. Resour. 2015, 15, 306–316. [Google Scholar] [CrossRef]
- Sonsthagen, S.A.; Jay, C.V.; Cornman, R.S.; Fischbach, A.S.; Grebmeier, J.M.; Talbot, S.L. DNAmetabarcoding of feces to infer summer diet of Pacific walruses. Mar. Mamm. Sci. 2020, 36, 1196–1211. [Google Scholar] [CrossRef]
- Dai, W.T.; Li, A.Q.; Chang, Y.; Liu, T.; Zhang, L.; Li, J.; Leng, H.X.; Li, Z.L.; Jin, L.R.; Sun, K.P.; et al. Diet composition, niche overlap and partitioning of five sympatric rhinolophid bats in Southwestern China during summer. Front. Ecol. Evol. 2023, 11, 12. [Google Scholar] [CrossRef]
- Peng, B.Q.; Tao, L.; Li, J.; Fan, R.H.; Chen, S.D.; Fu, C.K.; Wang, Q.; Tang, K.Y. DNA metabarcoding dietary analysis of six sympatric small mammals at the Laojunshan National Nature Reserve, Sichuan Province. Biodiversity Sci. 2023, 31, 22474. (In Chinese) [Google Scholar] [CrossRef]
- Quéméré, E.; Hibert, F.; Miquel, C.; Lhuillier, E.; Rasolondraibe, E.; Champeau, J.; Rabarivola, C.; Nusbaumer, L.; Chatelain, C.; Gautier, L.; et al. A DNA Metabarcoding Study of a Primate Dietary Diversity and Plasticity across Its Entire Fragmented Range. PLoS ONE 2013, 8, e58971. [Google Scholar] [CrossRef] [PubMed]
- Gebremedhin, B.; Flagstad, O.; Bekele, A.; Chala, D.; Bakkestuen, V.; Boessenkool, S.; Popp, M.; Gussarova, G.; Schroder-Nielsen, A.; Nemomissa, S.; et al. DNA Metabarcoding Reveals Diet Overlap between the Endangered Walia Ibex and Domestic Goats—Implications for Conservation. PLoS ONE 2016, 11, e0159133. [Google Scholar] [CrossRef]
- Lopes, C.M.; De Barba, M.; Boyer, F.; Mercier, C.; Galiano, D.; Kubiak, B.B.; Maestri, R.; da Silva, P.J.S.; Gielly, L.; Coissac, E.; et al. Ecological specialization and niche overlap of subterranean rodents inferred from DNA metabarcoding diet analysis. Mol. Ecol. 2020, 29, 3144–3154. [Google Scholar] [CrossRef]
- Abrams, J.F.; Hörig, L.A.; Brozovic, R.; Axtner, J.; Crampton-Platt, A.; Mohamed, A.; Wong, S.T.; Sollmann, R.; Yu, D.W.; Wilting, A. Shifting up a gear with iDNA: From mammal detection events to standardised surveys. J. Appl. Ecol. 2019, 56, 1637–1648. [Google Scholar] [CrossRef]
- Ji, Y.Q.; Baker, C.C.M.; Popescu, V.D.; Wang, J.X.; Wu, C.Y.; Wang, Z.Y.; Li, Y.H.; Wang, L.; Hua, C.L.; Yang, Z.X.; et al. Measuring protected-area effectiveness using vertebrate distributions from leech iDNA. Nat. Commun. 2022, 13, 17. [Google Scholar] [CrossRef]
- Cohen, Y.; Bar-David, S.; Nielsen, M.; Bohmann, K.; Korine, C. An appetite for pests: Synanthropic insectivorous bats exploit cotton pest irruptions and consume various deleterious arthropods. Mol. Ecol. 2020, 29, 1185–1198. [Google Scholar] [CrossRef]
- Garfinkel, M.B.; Minor, E.S.; Whelan, C.J. Birds suppress pests in corn but release them in soybean crops within a mixed prairie/agriculture system. Condor 2020, 122, 12. [Google Scholar] [CrossRef]
- Smith, A.T.; Foggin, J.M. The plateau pika (Ochotona curzoniae) is a keystone species for biodiversity on the Tibetan plateau. Anim. Conserv. 1999, 2, 235–240. [Google Scholar] [CrossRef]
- Zhang, Y.M.; Zhang, Z.B.; Liu, J.K. Burrowing rodents as ecosystem engineers: The ecology and management of plateau zokors Myospalax fontanieri in alpine meadow ecosystems on the Tibetan Plateau. Mammal Rev. 2003, 33, 284–294. [Google Scholar] [CrossRef]
- Miao, W.F.; Liu, S.Y.; Zhu, Y.; Duan, S.M.; Han, F.Z. Spatio-temporal differentiation and altitude dependence of temperature and precipitation in Meili Snow Mountains. Adv. Clim. Chang. Res. 2022, 18, 328–342. (In Chinese) [Google Scholar] [CrossRef]
- Ou, X.K.; Zhang, Z.M.; Wang, C.Y.; Wu, Y.C. Vegetation Research in Meili Snow Mountain; Science Press: Beijing, China, 2006. (In Chinese) [Google Scholar]
- Yang, Z.G. Biodiversity and Conservation of Meili Snow Mountain, a Scenic Spot in Deqin of Yunnan. For. Inventory Plann. 2008, 33, 14–18. (In Chinese) [Google Scholar]
- Yang, P.F. Biodiversity Monitoring of Meili Snow Mountain National Park. For. Inventory Plann. 2012, 37, 108–111. (In Chinese) [Google Scholar] [CrossRef]
- Sun, R.Y.; Li, B.; Zhu, G.Y.; Shang, Y.C. General Ecology; Higher Education Press: Beijing, China, 1993. (In Chinese) [Google Scholar]
- Song, W.Y.; Li, X.Y.; Chen, Z.Z.; Li, Q.; Onditi, K.O.; He, S.W.; Jiang, X.L. Isolated alpine habitats reveal disparate ecological drivers of taxonomic and functional beta-diversity of small mammal assemblages. Zool. Res. 2020, 41, 670–683. [Google Scholar] [CrossRef]
- He, K.; Li, Y.J.; Brandley, M.C.; Lin, L.K.; Wang, Y.X.; Zhang, Y.P.; Jiang, X.L. A multi-locus phylogeny of Nectogalini shrews and influences of the paleoclimate on speciation and evolution. Mol. Phylogenet. Evol. 2010, 56, 734–746. [Google Scholar] [CrossRef] [PubMed]
- Hofreiter, M.; Poinar, H.N.; Spaulding, W.G.; Bauer, K.; Martin, P.S.; Possnert, G.; Pääbo, S. A molecular analysis of ground sloth diet through the last glaciation. Mol. Ecol. 2000, 9, 1975–1984. [Google Scholar] [CrossRef] [PubMed]
- Burgar, J.M.; Murray, D.C.; Craig, M.D.; Haile, J.; Houston, J.; Stokes, V.; Bunce, M. Who’s for dinner? High-throughput sequencing reveals bat dietary differentiation in a biodiversity hotspot where prey taxonomy is largely undescribed. Mol. Ecol. 2014, 23, 3605–3617. [Google Scholar] [CrossRef]
- Clare, E.L.; Symondson, W.O.C.; Broders, H.; Fabianek, F.; Fraser, E.E.; MacKenzie, A.; Boughen, A.; Hamilton, R.; Willis, C.K.R.; Martinez-Nuñez, F.; et al. The diet of Myotis lucifugus across Canada: Assessing foraging quality and diet variability. Mol. Ecol. 2014, 23, 3618–3632. [Google Scholar] [CrossRef] [PubMed]
- Edgar, R.C. Search and clustering orders of magnitude faster than BLAST. Bioinformatics 2010, 26, 2460–2461. [Google Scholar] [CrossRef]
- Rognes, T.; Flouri, T.; Nichols, B.; Quince, C.; Mahé, F. VSEARCH: A versatile open source tool for metagenomics. PeerJ 2016, 4, e2584. [Google Scholar] [CrossRef]
- Berry, T.E.; Osterrieder, S.K.; Murray, D.C.; Coghlan, M.L.; Richardson, A.J.; Grealy, A.K.; Stat, M.; Bejder, L.; Bunce, M. DNA metabarcoding for diet analysis and biodiversity: A case study using the endangered Australian sea lion (Neophoca cinerea). Ecol. Evol. 2017, 7, 5435–5453. [Google Scholar] [CrossRef]
- Carrión, V.J.; Perez-Jaramillo, J.; Cordovez, V.; Tracanna, V.; De Hollander, M.; Ruiz-Buck, D.; Mendes, L.W.; van Ijcken, W.F.; Gomez-Exposito, R.; Elsayed, S.S. Pathogen-induced activation of disease-suppressive functions in the endophytic root microbiome. Science 2019, 366, 606–612. [Google Scholar] [CrossRef] [PubMed]
- Villanueva, R.A.M.; Chen, Z.J. ggplot2: Elegant Graphics for Data Analysis, 2nd edition. Meas.-Interdiscip. Res. Perspect. 2019, 17, 160–167. [Google Scholar] [CrossRef]
- Magurran, A.E. Measuring Biological Diversity; Blackwell Publishing: London, UK, 2003. [Google Scholar]
- Chao, A.; Chiu, C.H. Nonparametric Estimation and Comparison of Species Richness; John Wiley & Sons, Ltd.: Chichester, UK, 2016; pp. 1–11. [Google Scholar] [CrossRef]
- Tuomisto, H. A diversity of beta diversities: Straightening up a concept gone awry. Part 2. Quantifying beta diversity and related phenomena. Ecography 2010, 33, 23–45. [Google Scholar] [CrossRef]
- Clarke, K.R.; Warwick, R.M. A further biodiversity index applicable to species lists: Variation in taxonomic distinctness. Mar. Ecol. Prog. Ser. 2001, 216, 265–278. [Google Scholar] [CrossRef]
- Segata, N.; Izard, J.; Waldron, L.; Gevers, D.; Miropolsky, L.; Garrett, W.S.; Huttenhower, C. Metagenomic biomarker discovery and explanation. Genome Biol. 2011, 12, R60. [Google Scholar] [CrossRef]
- Richard, L. Evolution in Changing Environments; Princeton University Press: Princeton, NJ, USA, 1968. [Google Scholar]
- Pianka, E.R. The structure of lizard communities. Annu. Rev. Ecol. Syst. 1973, 4, 53–77. [Google Scholar] [CrossRef]
- Krebs, C.J. Ecological Methodology; Addison-Wesley Educational Publishers: Menlo Park, CA, USA, 1999. [Google Scholar]
- Razeng, E.; Watson, D.M. Nutritional composition of the preferred prey of insectivorous birds: Popularity reflects quality. J. Avian Biol. 2015, 46, 89–96. [Google Scholar] [CrossRef]
- Wei, F. Taxonomy and Distribution of Mammals in China; Science Press: Beijing, China, 2022. (In Chinese) [Google Scholar]
- Liu, Q.; Chen, P.; He, K.; Kilpatrick, C.W.; Liu, S.Y.; Yu, F.H.; Jiang, X.L. Phylogeographic study of Apodemus ilex (Rodentia: Muridae) in southwest China. PLoS ONE 2012, 7, e31453. [Google Scholar] [CrossRef] [PubMed]
- Zhang, F.G.; Zhang, Z.C.; Jiang, Z.Y.; Mo, S.D.E. Biological studies on the Apodemus chevrieri. Chin. J. Vector. Biol. Control 1995, 6, 448–450. (In Chinese) [Google Scholar]
- Zhang, D.; Wang, Z.K.; Jiang, W.X.; Zhu, W.L. Characteristics of the Molars of Apodemus chevrieri from Hengduan Mountain Region. Sichuan J. Zool. 2015, 34, 656–662. (In Chinese) [Google Scholar] [CrossRef]
- Wang, S.B. Apodemus Chevieri Preliminary Studies on Biological Characteristics and Protective Measures. Pratacult. Anim. Husb. 2015, 2, 49–51. (In Chinese) [Google Scholar] [CrossRef]
- Chen, W.W.; Zhong, J.; Liu, S.X.; Xiong, G.M.; Chen, F.Q.; Xie, Z.Q.; Jiang, G.H.; Zhou, Y.B. Variations in food habit and viscera organ morphology of four rodents in Shennongjia, central China. Acta Ecol. Sin. 2014, 34, 3620–3628. (In Chinese) [Google Scholar] [CrossRef][Green Version]
- Mu, H.Q.; Cao, S.S.; Gu, X.D.; Zhang, M.C.; Hu, J.C.; Zhang, Z.J. Diet composition of Apodemus draco and Niviventer confucianus in Fengtongzhai Nature Reserve, China and its effects on their intestinal lengths. Acta Theriol. Sin. 2012, 32, 42–47. (In Chinese) [Google Scholar] [CrossRef]
- Wilson, D.E.; Thomas, E.; Lacher, T.E.J.; Mittermeier, R.A. Handbook of the Mammals of the World: Vol. 6. Rodents I.; Lynx Edicions: Barcelona, Spain, 2016. [Google Scholar]
- Sullins, D.S.; Haukos, D.A.; Craine, J.M.; Lautenbach, J.M.; Robinson, S.G.; Lautenbach, J.D.; Kraft, J.D.; Plumb, R.T.; Reitz, J.H.; Sandercock, B.K.; et al. Identifying the diet of a declining prairie grouse using DNA metabarcoding. Auk 2018, 135, 583–608. [Google Scholar] [CrossRef]
- Reuter, D.M.; Hopkins, S.S.B.; Price, S.A. What is a mammalian omnivore? Insights into terrestrial mammalian diet diversity, body mass and evolution. Proc. R. Soc. B Biol. Sci. 2023, 290, 20221062. [Google Scholar] [CrossRef]
- Machado, F.F.; Jardim, L.; Dinnage, R.; Brito, D.; Cardillo, M. Diet disparity and diversity predict extinction risk in primates. Anim. Conserv. 2022, 26, 331–339. [Google Scholar] [CrossRef]
- Tomé, C.P.; Elliott Smith, E.A.; Lyons, S.K.; Newsome, S.D.; Smith, F.A. Changes in the diet and body size of a small herbivorous mammal (hispid cotton rat, Sigmodon hispidus) following the late Pleistocene megafauna extinction. Ecography 2020, 43, 604–619. [Google Scholar] [CrossRef]
- Manlick, P.J.; Maldonado, K.; Newsome, S.D. Competition shapes individual foraging and survival in a desert rodent ensemble. J. Anim. Ecol. 2021, 90, 2806–2818. [Google Scholar] [CrossRef] [PubMed]
- Crozier, W. Observations on the food and feeding of the angler-fish, Lophim piscatorius L., in the northern Irish Sea. J. Fish Biol. 1985, 27, 655–665. [Google Scholar] [CrossRef]
- Chakravarty, R.; Radchuk, V.; Managave, S.; Voigt, C.C. Increasing species richness along elevational gradients is associated with niche packing in bat assemblages. J. Anim. Ecol. 2023, 92, 863–874. [Google Scholar] [CrossRef] [PubMed]
- Lu, Q.; Cheng, C.; Xiao, L.; Li, J.; Li, X.; Zhao, X.; Lu, Z.; Zhao, J.; Yao, M. Food webs reveal coexistence mechanisms and community organization in carnivores. Curr. Biol. 2023, 33, 647–659.e645. [Google Scholar] [CrossRef]
- McCormack, S.A.; Melbourne-Thomas, J.; Trebilco, R.; Blanchard, J.L.; Raymond, B.; Constable, A. Decades of dietary data demonstrate regional food web structures in the Southern Ocean. Ecol. Evol. 2021, 11, 227–241. [Google Scholar] [CrossRef]





| Animal-Derived Food | Plant-Derived Food | |||
|---|---|---|---|---|
| Order Level | Genus Level | Order Level | Genus Level | |
| Apodemus ilex | 4.8608 | 7.6388 | 5.0680 | 7.1344 |
| Apodemus chevrieri | 3.8784 | 5.9160 | 3.3481 | 3.3981 |
| Niviventer confucianus | 5.1911 | 7.5649 | 3.8118 | 4.8972 |
| Animal-Derived Food | Plant-Derived Food | |||
|---|---|---|---|---|
| Apodemus chevrieri | Apodemus chevrieri | Apodemus chevrieri | Apodemus chevrieri | |
| Apodemus chevrieri | 0.2429 | 0.3418 | ||
| Niviventer confucianus | 0.4648 | 0.0973 | 0.1249 | 0.0762 |
Disclaimer/Publisher’s Note: The statements, opinions and data contained in all publications are solely those of the individual author(s) and contributor(s) and not of MDPI and/or the editor(s). MDPI and/or the editor(s) disclaim responsibility for any injury to people or property resulting from any ideas, methods, instructions or products referred to in the content. |
© 2024 by the authors. Licensee MDPI, Basel, Switzerland. This article is an open access article distributed under the terms and conditions of the Creative Commons Attribution (CC BY) license (https://creativecommons.org/licenses/by/4.0/).
Share and Cite
Qin, F.; Xie, M.; Ding, J.; Li, Y.; Song, W. Ecological Niche Characteristics of the Diets of Three Sympatric Rodents in the Meili Snow Mountain, Yunnan. Animals 2024, 14, 2392. https://doi.org/10.3390/ani14162392
Qin F, Xie M, Ding J, Li Y, Song W. Ecological Niche Characteristics of the Diets of Three Sympatric Rodents in the Meili Snow Mountain, Yunnan. Animals. 2024; 14(16):2392. https://doi.org/10.3390/ani14162392
Chicago/Turabian StyleQin, Feng, Mengru Xie, Jichao Ding, Yongyuan Li, and Wenyu Song. 2024. "Ecological Niche Characteristics of the Diets of Three Sympatric Rodents in the Meili Snow Mountain, Yunnan" Animals 14, no. 16: 2392. https://doi.org/10.3390/ani14162392
APA StyleQin, F., Xie, M., Ding, J., Li, Y., & Song, W. (2024). Ecological Niche Characteristics of the Diets of Three Sympatric Rodents in the Meili Snow Mountain, Yunnan. Animals, 14(16), 2392. https://doi.org/10.3390/ani14162392

