Unveiling the Potential Ways to Apply Citrus Oil to Control Causative Agents of Pullorum Disease and Fowl Typhoid in Floor Materials
Abstract
Simple Summary
Abstract
1. Introduction
2. Materials and Methods
2.1. Bacterial Strains and Culture Conditions
2.2. CO and Working Solution Preparation
2.3. Determination of Minimum Inhibitory and Bactericidal Concentration of CO against S. Gallinarum and S. Pullorum
2.4. Growth Inhibition Assay of Poultry Bacterial Pathogens, Gut Microbiome, and Probiotic Strains
2.5. Determine the Growth of S. Pullorum and S. Gallinarum in Simulated Floor Material, Wooden Chips Treated with CO
2.6. The Effect of CO on the Gene Expression of S. Gallinarum and S. Pullorum Virulence Genes in Culture Condition and on Wooden Chip
2.7. Statistical Analysis
3. Results
3.1. MICs and MBCs of CO to Inhibit S. Pullorum and S. Gallinarum
3.2. Inhibitory Effects of CO on Poultry Bacterial Pathogens, Gut Microbiome, and Probiotic Strains in Broth Media
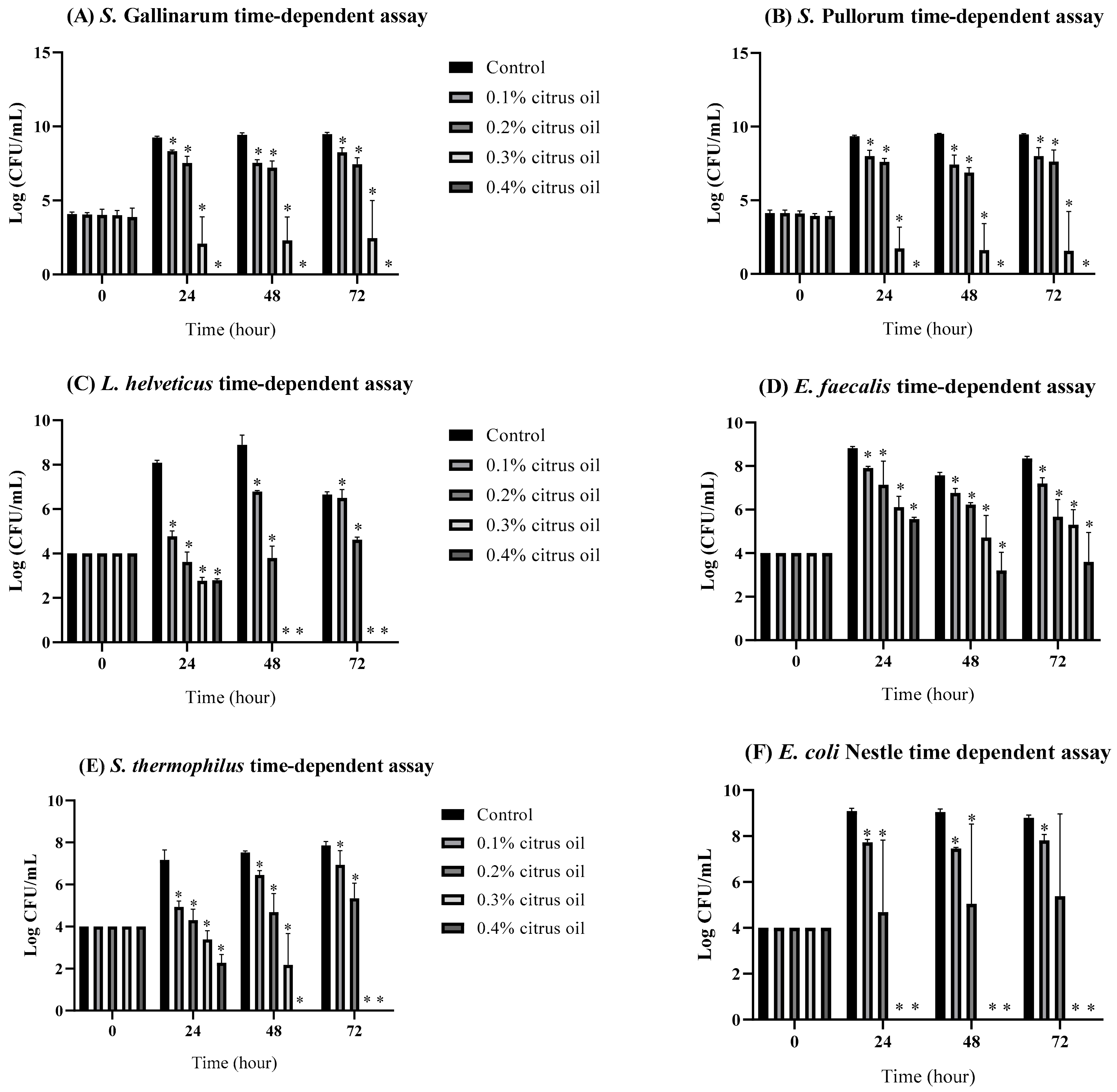
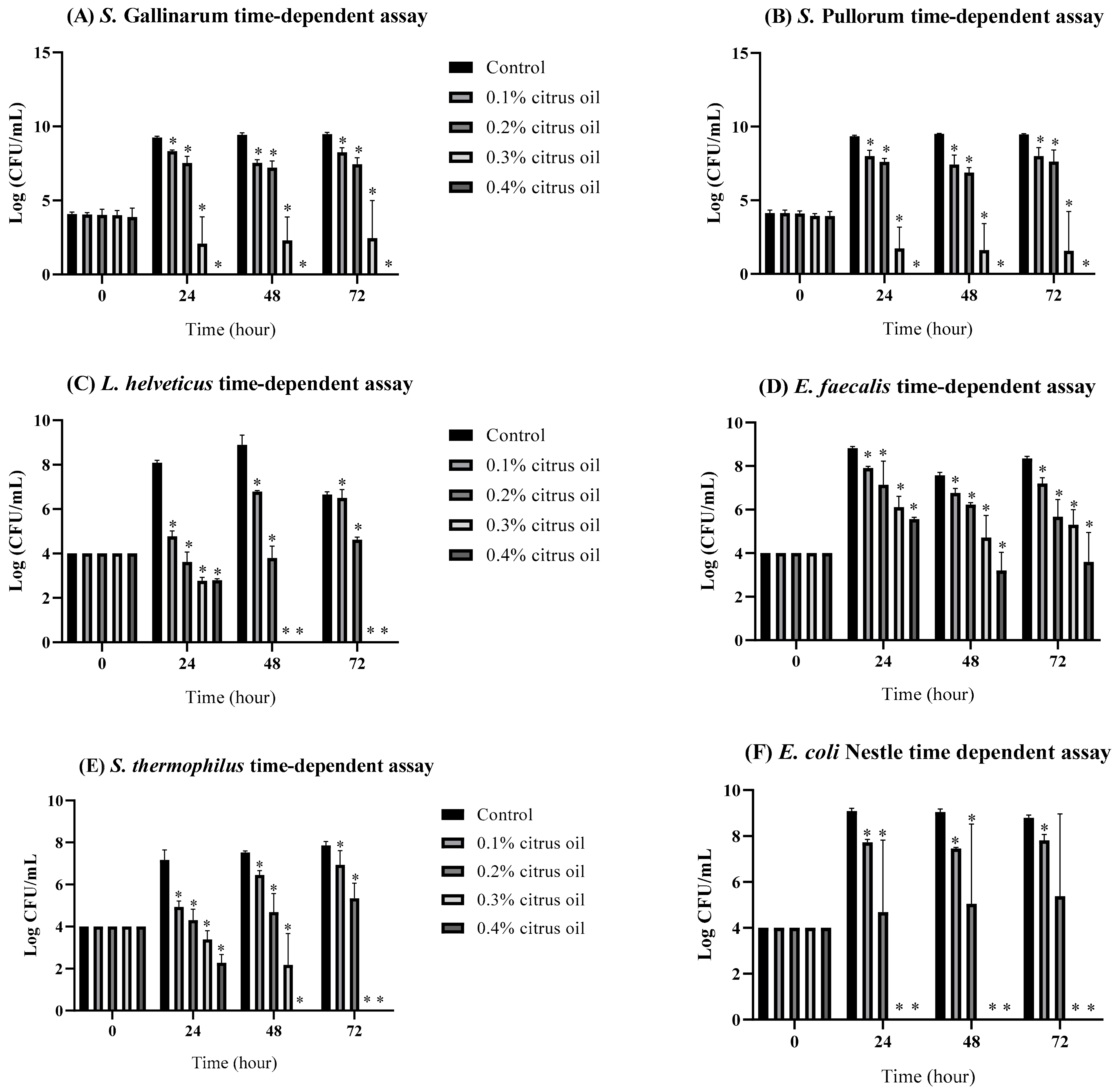
3.3. Time-Dependent Inhibitory Effects of CO on S. Pullorum and S. Gallinarum Growth in Environmental Simulations
3.4. Effect of CO on Expression of S. Gallinarum and S. Pullorum Virulence Genes
4. Discussion
5. Conclusions
Author Contributions
Funding
Institutional Review Board Statement
Informed Consent Statement
Data Availability Statement
Acknowledgments
Conflicts of Interest
References
- Castro, F.L.S.; Chai, L.; Arango, J.; Owens, C.M.; Smith, P.A.; Reichelt, S.; DuBois, C.; Menconi, A. Poultry industry paradigms: Connecting the dots. J. Appl. Poult. Res. 2023, 32, 100310. [Google Scholar] [CrossRef]
- Grzybowska-Brzezińska, M.; Banach, J.K.; Grzywińska-Rąpca, M. Shaping Poultry Meat Quality Attributes in the Context of Consumer Expectations and Preferences-A Case Study of Poland. Foods 2023, 12, 2694. [Google Scholar] [CrossRef] [PubMed]
- Mahanty, S.; Doron, A.; Hamilton, R. A policy and research agenda for Asia’s poultry industry. Asia Pac. Policy Stud. 2023, 10, 63–72. [Google Scholar] [CrossRef]
- USDA (United States Department of Agriculture). Animal Raising Claims Labeling Guidelines. 2021. Available online: https://www.fsis.usda.gov/sites/default/files/media_file/2021-09/Animal-Raising-Claims-labeling-and-Non-GMO-slides-2021-09-01.pdf (accessed on 9 December 2023).
- Kirchhelle, C. Pyrrhic Progress: The History of Antibiotics in Anglo-American Food Production; Rutgers University Press: New Brunswick, NJ, USA, 2020. Available online: https://www.ncbi.nlm.nih.gov/pubmed/32101389 (accessed on 6 November 2023).
- WHO (World Health Organization). Antibiotic Resistance. 2020. Available online: https://www.who.int/news-room/fact-sheets/detail/antibiotic-resistance#:~:text=Antibiotic%20resistance%20is%20accelerated%20by,poor%20infection%20prevention%20and%20control (accessed on 29 November 2023).
- Ma, F.; Xu, S.; Tang, Z.; Li, Z.; Zhang, L. Use of antimicrobials in food animals and impact of transmission of antimicrobial resistance on humans. Biosaf. Health 2021, 3, 32–38. [Google Scholar] [CrossRef]
- Tang, K.L.; Caffrey, N.P.; Nóbrega, D.B.; Cork, S.C.; Ronksley, P.E.; Barkema, H.W.; Polachek, A.J.; Ganshorn, H.; Sharma, N.; Kellner, J.D.; et al. Restricting the use of antibiotics in food-producing animals and its associations with antibiotic resistance in food-producing animals and human beings: A systematic review and meta-analysis. Lancet Planet. Health 2017, 1, 316–327, Erratum in Lancet Planet. Health 2017, 1, 359. [Google Scholar] [CrossRef]
- Le, T. Antibiotic-Free Poultry Production: All You Need to Know. Alltech Blog. 2021. Available online: https://www.alltech.com/blog/antibiotic-free-poultry-production-all-you-need-know#:~:text=What%20are%20common%20challenges%20of,a%20decrease%20in%20growth%20performance (accessed on 6 November 2023).
- Kairmi, S.H.; Taha-Abdelaziz, K.; Yitbarek, A.; Sargolzaei, M.; Spahany, H.; Astill, J.; Shojadoost, B.; Alizadeh, M.; Kulkarni, R.R.; Parkinson, J.; et al. Effects of therapeutic levels of dietary antibiotics on the cecal microbiome composition of broiler chickens. Poult. Sci. 2022, 101, 101864. [Google Scholar] [CrossRef]
- Revolledo, L. Vaccines and vaccination against fowl typhoid and pullorum disease: An overview and approaches in developing countries. J. Appl. Poult. Res. 2018, 27, 279–291. [Google Scholar] [CrossRef]
- Kipper, D.; Mascitti, A.K.; De Carli, S.; Carneiro, A.M.; Streck, A.F.; Fonseca, A.S.K.; Ikuta, N.; Lunge, V.R. Emergence, Dissemination and Antimicrobial Resistance of the Main Poultry-Associated Salmonella Serovars in Brazil. Vet. Sci. 2022, 9, 405. [Google Scholar] [CrossRef]
- Xiong, D.; Song, L.; Pan, Z.; Jiao, X. Identification and Discrimination of Salmonella enterica Serovar Gallinarum Biovars Pullorum and Gallinarum Based on a One-Step Multiplex PCR Assay. Front. Microbiol. 2018, 9, 1718. [Google Scholar] [CrossRef]
- Li, C.; Xu, Z.; Chen, W.; Zhou, C.; Wang, C.; Wang, M.; Liang, J.; Wei, P. The Use of Star Anise-Cinnamon Essential Oil as an Alternative Antibiotic in Prevention of Salmonella Infections in Yellow Chickens. Antibiotics 2022, 11, 1579. [Google Scholar] [CrossRef]
- CFSPH (The Center for Food Security and Public Health). Fowl Typhoid and Pullorum Disease. 2019. Available online: https://www.cfsph.iastate.edu/Factsheets/pdfs/fowl_typhoid.pdf (accessed on 13 December 2022).
- Yeakel, S.D. Pullorum Disease in Poultry. In Merck Manual (Veterinary Manual); 2019; Available online: https://www.merckvetmanual.com/poultry/salmonelloses/pullorum-disease-in-poultry?gclid=Cj0KCQiAj4ecBhD3ARIsAM4Q_jGK343rYs0z7G7nymH9XZWn46_2jWoIXR8SyOiKKFZwkxLje2GmjYAaAs-cEALw_wcBandgclsrc=aw.ds (accessed on 11 December 2022).
- Shivaprasad, H.L. Fowl typhoid and pullorum disease. Rev. Sci. Tech. 2000, 19, 405–424. [Google Scholar] [CrossRef] [PubMed]
- Ye, L.; Zhang, J.; Xiao, W.; Liu, S. Efficacy and mechanism of actions of natural antimicrobial drugs. Pharmacol. Ther. 2020, 216, 107671. [Google Scholar] [CrossRef] [PubMed]
- Fan, X.; Ngo, H.; Wu, C. Natural and Bio-based Antimicrobials: A Review. In Natural and Bio-Based Antimicrobials for Food Applications. ACS Symp. Ser. 2018, 1287, 1–24. [Google Scholar] [CrossRef]
- O’Bryan, C.A.; Crandall, P.G.; Chalova, V.I.; Ricke, S.C. Orange Essential Oils Antimicrobial Activities against Salmonella spp. J. Food Sci. 2008, 73, M264–M267. [Google Scholar] [CrossRef] [PubMed]
- Muthaiyan, A.; Martin, E.M.; Natesan, S.; Crandall, P.G.; Wilkinson, B.J.; Ricke, S.C. Antimicrobial effect and mode of action of terpeneless cold-pressed Valencia orange essential oil on methicillin-resistant Streptococcus aureus. J. Appl. Microbiol. 2012, 112, 1020–1033. [Google Scholar] [CrossRef]
- Milillo, S.R.; O’Bryan, C.A.; Shannon, E.M.; Johnson, M.G.; Crandall, P.G.; Ricke, S.C. Enhanced inhibition of Listeria monocytogenes by a combination of cold-pressed terpeneless Valencia orange oil and antibiotics. Foodborne Pathog. Dis. 2012, 9, 331–336. [Google Scholar] [CrossRef]
- Nannapaneni, R.; Muthaiyan, A.; Crandall, P.G.; Johnson, M.G.; O’Bryan, C.A.; Chalova, V.I.; Callaway, T.R.; Carroll, J.A.; Arthington, J.D.; Nisbet, D.J.; et al. Antimicrobial activity of commercial citrus-based natural extracts against Escherichia coli O157:H7 isolates and mutant strains. Foodborne Pathog. Dis. 2008, 5, 695–699. [Google Scholar] [CrossRef]
- Dabbah, R.; Edwards, V.M.; Moats, W.A. Antimicrobial action of some citrus fruit oils on selected food-borne bacteria. Appl. Microbiol. 1970, 19, 27–31. [Google Scholar] [CrossRef]
- Federman, C.; Ma, C.; Biswas, D. Major components of orange oil inhibit Streptococcus aureus growth and biofilm formation and alter its virulence factors. J. Med. Microbiol. 2016, 65, 688–695. [Google Scholar] [CrossRef][Green Version]
- Geraci, A.; Di Stefano, V.; Di Martino, E.; Schillaci, D.; Schicchi, R. Essential oil components of orange peels and antimicrobial activity. Nat. Prod. Res. 2017, 31, 653–659. [Google Scholar] [CrossRef]
- Xiong, H.-B.; Zhou, X.-H.; Xiang, W.-L.; Huang, M.; Lin, Z.-X.; Tang, J.; Cai, T.; Zhang, Q. Integrated transcriptome reveals that d-limonene inhibits Candida tropicalis by disrupting metabolism. LWT 2023, 176, 114535. [Google Scholar] [CrossRef]
- Han, Y.; Chen, W.; Sun, Z. Antimicrobial activity and mechanism of limonene against Streptococcus aureus. J. Food Saf. 2021, 41, e12918. [Google Scholar] [CrossRef]
- Guo, F.; Chen, Q.; Liang, Q.; Zhang, M.; Chen, W.; Chen, H.; Yun, Y.; Zhong, Q.; Chen, W. Antimicrobial Activity and Proposed Action Mechanism of Linalool Against Pseudomonas fluorescens. Front. Microbiol. 2021, 12, 562094. [Google Scholar] [CrossRef] [PubMed]
- Chalova, V.I.; Crandall, P.G.; Ricke, S.C. Microbial inhibitory and radical scavenging activities of cold-pressed terpeneless Valencia orange (Citrus sinensis) oil in different dispersing agents. J. Sci. Food Agric. 2010, 90, 870–876. [Google Scholar] [CrossRef] [PubMed]
- Birhanu, B.T.; Lee, E.B.; Lee, S.J.; Park, S.C. Targeting Salmonella Typhimurium Invasion and Intracellular Survival Using Pyrogallol. Front. Microbiol. 2021, 12, 631426. [Google Scholar] [CrossRef] [PubMed]
- Alvarado-Martinez, Z.; Bravo, P.; Kennedy, N.F.; Krishna, M.; Hussain, S.; Young, A.C.; Biswas, D. Antimicrobial and antivirulence impacts of phenolics on Salmonella enterica serovar Typhimurium. Antibiotics 2020, 9, 668. [Google Scholar] [CrossRef]
- Zhang, D.; Zhuang, L.; Wang, C.; Zhang, P.; Zhang, T.; Shao, H.; Han, X.; Gong, J. Virulence gene distribution of Salmonella Pullorum isolates recovered from chickens in China (1953–2015). Avian Dis. 2018, 62, 431–436. [Google Scholar] [CrossRef]
- Skyberg, J.A.; Logue, C.M.; Nolan, L.K. Virulence genotyping of Salmonella spp. with multiplex PCR. Avian Dis. 2006, 50, 77–81. [Google Scholar] [CrossRef]
- Inoue, Y.; Shiraishi, A.; Hada, T.; Hirose, K.; Hamashima, H.; Shimada, J. The antibacterial effects of terpene alcohols on Streptococcus aureus and their mode of action. FEMS Microbiol. Lett. 2004, 237, 325–331. [Google Scholar]
- Chen, Y.; Ni, J.; Li, H. Avian Leukosis Virus Subgroup J Infection Influencing Composition of Gut Microbiota within Chicken. Huizhou University, Southern Medical University. 2020. Available online: https://assets.researchsquare.com/files/rs-16010/v2/335be006-a5a1-4148-9191-d8575c2da516.pdf?c=1631841451 (accessed on 14 November 2023).
- Kuntz, R.L.; Hartel, P.G.; Rodgers, K.; Segars, W.I. Presence of Enterococcus faecalis in broiler litter and wild bird feces for bacterial source tracking. Water Res. 2004, 38, 3551–3557. [Google Scholar] [CrossRef]
- Priyodip, P.; Balaji, S. An in vitro chicken gut model for the assessment of phytase producing bacteria. 3 Biotech 2019, 9, 294. [Google Scholar] [CrossRef] [PubMed]
- Wu, S.; Zhang, Q.; Cong, G.; Xiao, Y.; Shen, Y.; Zhang, S.; Zhao, W.; Shi, S. Probiotic Escherichia coli Nissle 1917 protect chicks from damage caused by Salmonella enterica serovar Enteritidis colonization. Anim. Nutr. 2023, 14, 450–460. [Google Scholar] [CrossRef] [PubMed]
- Ochman, H.; Soncini, F.C.; Solomon, F.; Groisman, E.A. Identification of a pathogenicity island required for Salmonella survival in host cells. Proc. Natl. Acad. Sci. USA 1996, 93, 7800–7804. [Google Scholar] [CrossRef] [PubMed]
- Litrup, E.; Torpdahl, M.; Malorny, B.; Huehn, S.; Christensen, H.; Nielsen, E.M. Association between phylogeny, virulence potential, and serovars of Salmonella enterica. Infect. Genet. Evol. 2010, 10, 1132–1139. [Google Scholar] [CrossRef] [PubMed]
- Kim, J.; Lee, Y. Molecular characterization of antimicrobial resistant non-typhoidal Salmonella from poultry industries in Korea. Ir. Vet. J. 2017, 70, 20. [Google Scholar] [CrossRef] [PubMed]
- Lou, L.; Zhang, P.; Piao, R.; Wang, Y. Salmonella Pathogenicity Island 1 (SPI-1) and Its Complex Regulatory Network. Front. Cell. Infect. Microbiol. 2019, 9, 270. [Google Scholar] [CrossRef] [PubMed]
- Galán, J.E.; Ginocchio, C.; Costeas, P. Molecular and functional characterization of the Salmonella invasion gene invA: Homology of invA to members of a new protein family. J. Bacteriol. 1992, 174, 4338–4349. [Google Scholar] [CrossRef]
- Shanmugasamy, M.; Velayutham, T.; Rajeswar, J. Inv A gene-specific PCR for detection of Salmonella from broilers. Vet. World 2011, 4, 562–564. [Google Scholar] [CrossRef]
- Mohammed, B.T. Identification and bioinformatic analysis of invA gene of Salmonella in free-range chicken. Braz. J. Biol. 2024, 84, e263363. [Google Scholar] [CrossRef]
- Webber, B.; Borges, K.A.; Furian, T.Q.; Rizzo, N.N.; Tondo, E.C.; Santos, L.R.; Rodrigues, L.B.; Nascimento, V.P.d. Detection of virulence genes in Salmonella Heidelberg isolated from chicken carcasses. Rev. Do Inst. Med. Trop. São Paulo 2019, 61, e36. [Google Scholar] [CrossRef]
- Miki, T.; Okada, N.; Shimada, Y.; Danbara, H. Characterization of Salmonella pathogenicity island 1 type III secretion-dependent haemolytic activity in Salmonella enterica serovar Typhimurium. Microb. Pathog. 2004, 37, 65–72. [Google Scholar] [CrossRef] [PubMed]
- Galan, J.E.; Wolf-Watz, H. Protein delivery into eukaryotic cells by type III secretion machines. Nature 2006, 444, 567–573. [Google Scholar] [CrossRef] [PubMed]
- Myeni, S.K.; Wang, L.; Zhou, D. SipB-SipC complex is essential for translocon formation. PLoS ONE 2013, 8, e60499. [Google Scholar] [CrossRef] [PubMed]
- Beshiru, A.; Igbinosa, I.H.; Igbinosa, E.O. Prevalence of Antimicrobial Resistance and Virulence Gene Elements of Salmonella Serovars From Ready-to-Eat (RTE) Shrimps. Front. Microbiol. 2019, 10, 1613. [Google Scholar] [CrossRef]
- Diacovich, L.; Dumont, A.; Lafitte, D.; Soprano, E.; Guilhon, A.-A.; Bignon, C.; Méresse, S. Interaction between the sifA virulence factor and its host target SKIP is essential for Salmonella pathogenesis. J. Biol. Chem. 2009, 284, 33151–33160. [Google Scholar] [CrossRef]
- Patel, S.; Wall, D.M.; Castillo, A.; McCormick, B.A. Caspase-3 cleavage of Salmonella type III secreted effector protein sifA is required for localization of functional domains and bacterial dissemination. Gut Microbes 2019, 10, 172–187. [Google Scholar] [CrossRef]
- Zhao, W.; Moest, T.; Zhao, Y. The Salmonella effector protein sifA plays a dual role in virulence. Sci. Rep. 2015, 5, 12979. [Google Scholar] [CrossRef]




| Primer | Primer Sequences (5′-3′) | Product Sizes (bp) | References |
|---|---|---|---|
| spiA-F | CCAGGGGTCGTTAGTGTATTGCGTGAGATG | 550 | [33,34] |
| spiA-R | CGCGTAACAAAGAACCCGTAGTGATGGATT | ||
| invA-F | CTGGCGGTGGGTTTTGTTGTCTTCTCTATT | 1070 | [33,34] |
| invA-R | AGTTTCTCCCCCTCTTCATGCGTTACC | ||
| spaN-F | AAAAGCCGTGGAATCCGTTAGTGAAGT | 504 | [33,34] |
| spaN-R | CAGCGCTGGGGATTACCGTTTTG | ||
| sitC-F | CAGTATATGCTCAACGCGATGTGGGTCTCC | 768 | [33,34] |
| sitC-R | CGGGGCGAAAATAAAGGCTGTGATGAAC | ||
| sifA-F | TTTGCCGAACGCGCCCCCACACG | 449 | [33,34] |
| sifA-R | GTTGCCTTTTCTTGCGCTTTCCACCCATCT | ||
| sipB-F | GGACGCCGCCCGGGAAAAACTCTC | 875 | [33,34] |
| sipB-R | ACACTCCCGTCGCCGCCTTCACAA |
| Isolates | MIC | MBC |
|---|---|---|
| S. Gallinarum (CAT 375) | 0.2% | 0.2% |
| S. Pullorum (ATCC 13036) | 0.4% | 0.4% |
| S. Gallinarum (isolate from organic retail chicken sample) | 0.4% | 0.4% |
| S. Pullorum (isolate from farm sample) | 0.4% | 0.4% |
Disclaimer/Publisher’s Note: The statements, opinions and data contained in all publications are solely those of the individual author(s) and contributor(s) and not of MDPI and/or the editor(s). MDPI and/or the editor(s) disclaim responsibility for any injury to people or property resulting from any ideas, methods, instructions or products referred to in the content. |
© 2023 by the authors. Licensee MDPI, Basel, Switzerland. This article is an open access article distributed under the terms and conditions of the Creative Commons Attribution (CC BY) license (https://creativecommons.org/licenses/by/4.0/).
Share and Cite
Julianingsih, D.; Tung, C.-W.; Thapa, K.; Biswas, D. Unveiling the Potential Ways to Apply Citrus Oil to Control Causative Agents of Pullorum Disease and Fowl Typhoid in Floor Materials. Animals 2024, 14, 23. https://doi.org/10.3390/ani14010023
Julianingsih D, Tung C-W, Thapa K, Biswas D. Unveiling the Potential Ways to Apply Citrus Oil to Control Causative Agents of Pullorum Disease and Fowl Typhoid in Floor Materials. Animals. 2024; 14(1):23. https://doi.org/10.3390/ani14010023
Chicago/Turabian StyleJulianingsih, Dita, Chuan-Wei Tung, Kanchan Thapa, and Debabrata Biswas. 2024. "Unveiling the Potential Ways to Apply Citrus Oil to Control Causative Agents of Pullorum Disease and Fowl Typhoid in Floor Materials" Animals 14, no. 1: 23. https://doi.org/10.3390/ani14010023
APA StyleJulianingsih, D., Tung, C.-W., Thapa, K., & Biswas, D. (2024). Unveiling the Potential Ways to Apply Citrus Oil to Control Causative Agents of Pullorum Disease and Fowl Typhoid in Floor Materials. Animals, 14(1), 23. https://doi.org/10.3390/ani14010023

