Enteric Methane Emissions Prediction in Dairy Cattle and Effects of Monensin on Methane Emissions: A Meta-Analysis
Abstract
Simple Summary
Abstract
1. Introduction
2. Materials and Methods
2.1. Model Database Construction
Monensin Database
2.2. Data Extraction and Calculations
2.3. Statistical Analyses
2.3.1. Effects of Monensin on CH4 Emissions
2.3.2. Model Variable Selection and Model Development
2.3.3. Proposed Models’ Evaluation and Cross-Validation
3. Results
3.1. Database Description
3.2. Effects of Monensin on CH4 Emissions
3.3. Methane Production (g/d) and CH4 Yield (g/kg DMI) Models
3.3.1. Methane Production Equations
| Model Performance b | ||||||
|---|---|---|---|---|---|---|
| Extant Models | Equations a | RMSPE, % | RSR | MB, % | SB, % | CCC |
| Combined (COM) | ||||||
| Yan et al. [88] | 3.23 (0.523) + 0.055 (0.0018) × IE | 14.5 | 0.40 | 17.08 | 6.05 | 0.91 |
| Mills et al. [20] | 5.93 (1.60) + 0.92 (0.08) × DMI | 17.6 | 0.48 | 35.92 | 13.88 | 0.86 |
| IPCC [19] Tier 2 | (0.065 × IE)/0.05565 | 14.2 | 0.39 | 13.66 | 1.93 | 0.92 |
| Ellis et al. [18] | 3.23 (1.12) + 0.809 (0.0862) × DMI | 20.6 | 0.56 | 40.14 | 23.09 | 0.80 |
| Hristov et al. [92] | 2.54 (4.89) + 19.14 (0.43) × DMI | 14.4 | 0.39 | 22.60 | 2.36 | 0.91 |
| Nielsen et al. [91] c | 1.23 × DMI − 1.45 × EE + 0.171 × dNDF | 12.2 | 0.34 | 4.37 | 7.60 | 0.94 |
| Ramin and Huhtanen [72] | 20 (12.1) + 35.8 (2.87) × DMI − 0.50 (0.132) × DMI2 | 18.1 | 0.49 | 6.87 | 29.14 | 0.83 |
| Moraes et al. [90] | −0.163 + 0.051 × IE + 0.038 × NDF | 17.6 | 0.48 | 40.09 | 13.24 | 0.86 |
| Storlien et al. [89] | 6.80 + 1.09 × DMI − 0.15 × EE | 30.0 | 0.82 | 82.05 | 0.33 | 0.71 |
| Charmley et al. [17] | 38.0 (29.03) + 19.22 (1.40) × DMI | 13.2 | 0.36 | 8.10 | 2.49 | 0.93 |
| Patra [87] | 1.29 (0.906) + 0.878 (0.125) × DMI | 22.6 | 0.62 | 57.44 | 12.00 | 0.78 |
| Patra [87] | 71.47 (22.14) × (1 − exp (−0.0156 (0.0051) × DMI) | 22.0 | 0.60 | 52.96 | 13.19 | 0.79 |
| Niu et al. [16] | 33.2 (13.54) + 13.6 (0.33) × DMI + 2.43 (0.245) × NDF | 16.9 | 0.46 | 0.00 | 56.84 | 0.84 |
| IPCC [86] Eq. 1 | (0.057 × IE)/0.05565 | 15.0 | 0.41 | 25.12 | 2.71 | 0.91 |
| IPCC [86] Eq. 2 | (0.060 × IE)/0.05565 | 13.1 | 0.36 | 4.14 | 0.38 | 0.93 |
| Lactating (LAC) | ||||||
| Yan et al. [88] | 3.23 (0.523) + 0.055 (0.0018) × IE | 13.6 | 0.58 | 10.90 | 8.43 | 0.83 |
| Mills et al. [20] | 5.93 (1.60) + 0.92 (0.08) × DMI | 15.2 | 0.58 | 23.98 | 14.21 | 0.78 |
| IPCC [19] Tier 2 | (0.065 × IE)/0.05565 | 13.8 | 0.52 | 16.72 | 0.07 | 0.84 |
| Ellis et al. [18] | 3.23 (1.12) + 0.809 (0.0862) × DMI | 20.5 | 0.78 | 51.40 | 14.62 | 0.63 |
| Hristov et al. [92] | 2.54 (4.89) + 19.14 (0.43) × DMI | 14.0 | 0.53 | 22.48 | 4.51 | 0.83 |
| Nielsen et al. [91] c | 1.23 × DMI − 1.45 × EE + 0.171 × dNDF | 9.7 | 0.43 | 0.31 | 4.22 | 0.89 |
| Ramin and Huhtanen [72] | 20 (12.1) + 35.8 (2.87) × DMI − 0.50 (0.132) × DMI2 | 17.7 | 0.63 | 14.32 | 41.54 | 0.64 |
| Moraes et al. [90] | −0.163 + 0.051 × IE + 0.038 × NDF | 17.3 | 0.66 | 44.76 | 11.26 | 0.73 |
| Storlien et al. [89] | 6.80 + 1.09 × DMI − 0.15 × EE | 26.9 | 1.02 | 78.91 | 1.14 | 0.56 |
| Charmley et al. [17] | 38.0 (29.03) + 19.22 (1.40) × DMI | 12.6 | 0.48 | 5.16 | 5.23 | 0.86 |
| Patra [87] | 1.29 (0.906) + 0.878 (0.125) × DMI | 22.3 | 0.85 | 62.7 | 8.58 | 0.61 |
| Patra [87] | 71.47 (22.14) × (1 − exp{−0.0156 (0.0051) × DMI | 21.7 | 0.82 | 57.48 | 13.00 | 0.61 |
| Niu et al. [16] | 33.2 (13.54) + 13.6 (0.33) × DMI + 2.43 (0.245) × NDF | 14.3 | 0.54 | 7.64 | 45.57 | 0.77 |
| IPCC [86] Eq. 1 | (0.057 × IE)/0.05565 | 14.6 | 0.55 | 24.14 | 5.04 | 0.81 |
| IPCC [86] Eq. 2 | (0.060 × IE)/0.05565 | 12.7 | 0.48 | 3.20 | 3.10 | 0.86 |
3.3.2. Methane Yield (g/kg DMI) Equations
4. Discussion
4.1. Effects of Monensin on Methane Emissions
4.2. Key Predictors of Methane Production and Yield
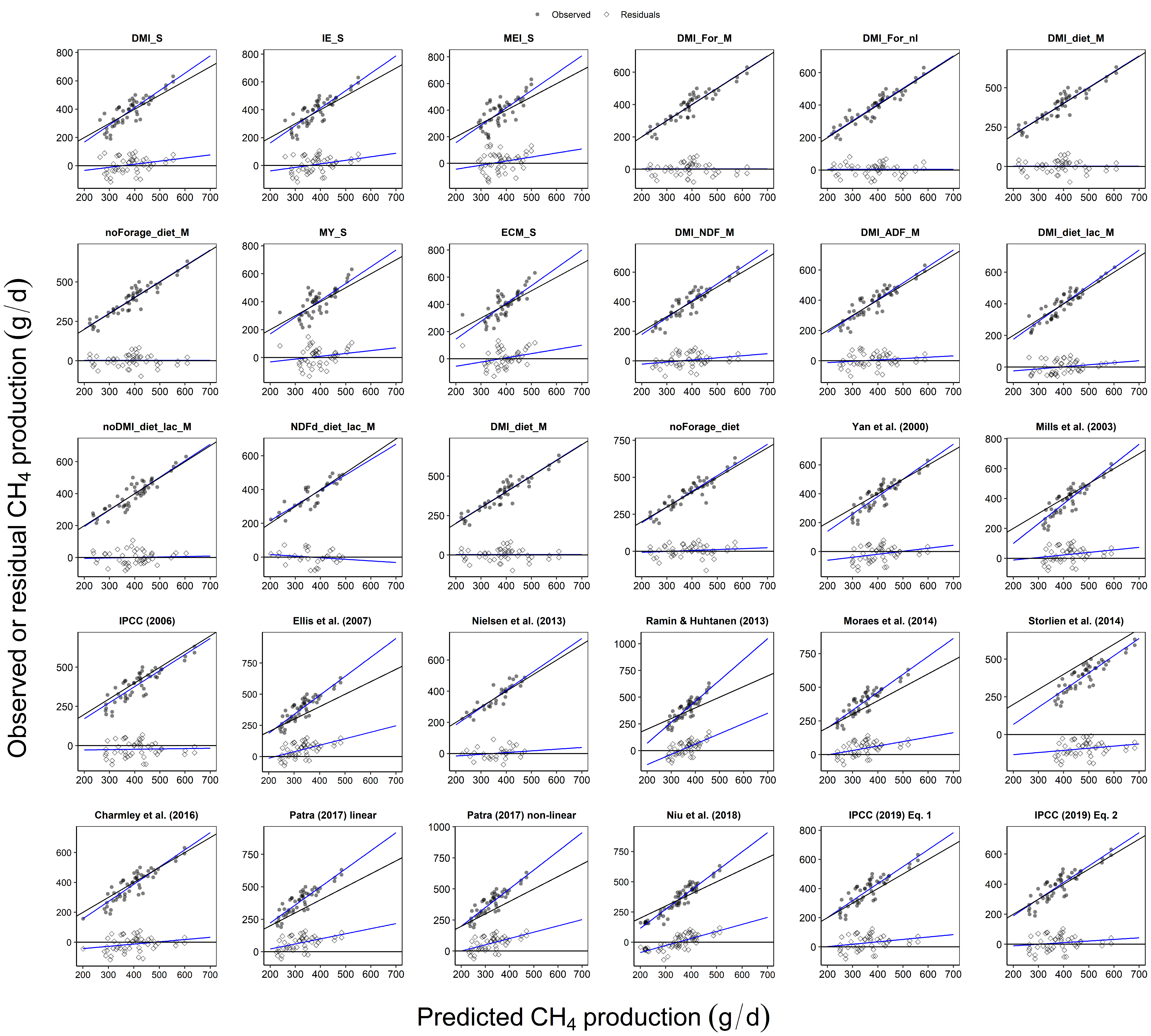
4.3. Newly Developed and Extant Model Performance for Methane Production (g/d)
4.4. Methane Yield (g/kg DMI) Model Performance
5. Conclusions
Supplementary Materials
Author Contributions
Funding
Institutional Review Board Statement
Informed Consent Statements
Data Availability Statement
Conflicts of Interest
References
- Myhre, G.; Shindell, D.; Bréon, F.-M.; Collins, W.; Fuglestvedt, J.; Huang, J.; Koch, D.; Lamarque, J.-F.; Lee, D.; Mendoza, B.; et al. Anthropogenic and natural radiative forcing. In Climate Change 2013: The Physical Science Basis. Contribution of Working Group I to the Fifth Assessment Report of the Intergovernmental Panel on Climate Change; Stocker, T.F., Qin, D., Plattner, G.-K., Tignor, M.M., Allen, S.K., Boschung, J., Nauels, A., Xia, Y., Bex, V., Midgley, P.M., Eds.; Cambridge University Press: Cambridge, UK; New York, NY, USA, 2013. [Google Scholar]
- United Nations Economic Commission for Europe (UNECE). Best Practice Guidance for Effective Management of Coal Mine Methane at National Level: Monitoring, Reporting, Verification and Mitigation; Ece Energy Series No. 71; United Nations: Geneva, Switzerland, 2021; Available online: https://unece.org/info/publications/pub/363202 (accessed on 19 December 2022).
- Johnson, K.A.; Johnson, D.E. Methane emissions from cattle. J. Anim. Sci. 1995, 73, 2483–2492. [Google Scholar] [CrossRef]
- Russell, J.B.; Strobel, H.J. Effect of ionophores on ruminal fermentation. Appl. Environ. Microbiol. 1989, 55, 1–6. [Google Scholar] [CrossRef]
- Opio, C.; Gerber, P.; Mottet, A.; Falcucci, A.; Tempio, G.; MacLeod, M.; Vellinga, T.; Henderson, B.; Steinfeld, H. Greenhouse Gas Emissions from Ruminant Supply Chains—A Global Life Cycle Assessment; Food and Agriculture Organization of the United Nations: Rome, Italy, 2013; p. 191. [Google Scholar]
- European Commission. Launch by United States, the European Union, and Partners of the Global Methane Pledge to Keep 1.5C within Reach; European Commission: Brussels, Belgium, 2021; Available online: https://ec.europa.eu/commission/presscorner/detail/en/statement_21_5766 (accessed on 19 December 2022).
- Moraes, L.E.; Fadel, J.G.; Castillo, A.R.; Casper, D.P.; Tricarico, J.M.; Kebreab, E. Modeling the trade-off between diet costs and methane emissions: A goal programming approach. J. Dairy Sci. 2015, 98, 5557–5571. [Google Scholar] [CrossRef]
- Perna, F., Jr.; Vásquez, D.C.Z.; Gardinal, R.; Meyer, P.M.; Berndt, A.; Friguetto, R.T.S.; de Abreu Demarchi, J.J.A.; Rodrigues, P.H.M. Short-term use of monensin and tannins as feed additives on digestibility and methanogenesis in cattle. Rev. Bras. Zootec. 2020, 49, e20190098. [Google Scholar] [CrossRef]
- Benchaar, C. Feeding oregano oil and its main component carvacrol does not affect ruminal fermentation, nutrient utilization, methane emissions, milk production, or milk fatty acid composition of dairy cows. J. Dairy Sci. 2020, 103, 1516–1527. [Google Scholar] [CrossRef]
- Kolling, G.J.; Stivanin, S.C.B.; Gabbi, A.M.; Machado, F.S.; Ferreira, A.L.; Campos, M.M.; Tomich, T.R.; Cunha, C.S.; Dill, S.W.; Pereira, L.G.R.; et al. Performance and methane emissions in dairy cows fed oregano and green tea extracts as feed additives. J. Dairy Sci. 2018, 101, 4221–4234. [Google Scholar] [CrossRef]
- Williams, S.R.O.; Hannah, M.C.; Eckard, R.J.; Wales, W.J.; Moate, P.J. Supplementing the diet of dairy cows with fat or tannin reduces methane yield, and additively when fed in combination. Animal 2020, 14, s464–s472. [Google Scholar] [CrossRef]
- Melgar, A.; Welter, K.C.; Nedelkov, K.; Martins, C.M.M.R.; Harper, M.T.; Oh, J.; Räisänen, S.E.; Chen, X.; Cueva, S.F.; Duval, S.; et al. Dose-response effect of 3-nitrooxypropanol on enteric methane emissions in dairy cows. J. Dairy Sci. 2020, 103, 6145–6156. [Google Scholar] [CrossRef]
- Knapp, J.R.; Laur, G.L.; Vadas, P.A.; Weiss, W.P.; Tricarico, J.M. Invited review: Enteric methane in dairy cattle production: Quantifying the opportunities and impact of reducing emissions. J. Dairy Sci. 2014, 97, 3231–3261. [Google Scholar] [CrossRef]
- Min, B.R.; Lee, S.; Jung, H.; Miller, D.N.; Chen, R. Enteric methane emissions and animal performance in dairy and beef cattle production: Strategies, opportunities, and impact of reducing emissions. Animals 2022, 12, 948. [Google Scholar] [CrossRef]
- Congio, G.F.S.; Bannink, A.; Mayorga, O.L.; Rodrigues, J.P.P.; Bougouin, A.; Kebreab, E.; Silva, R.R.; Maurício, R.M.; da Silva, S.C.; Oliveira, P.P.A.; et al. Prediction of enteric methane production and yield in dairy cattle using a Latin America and Caribbean database. Sci. Total Environ. 2022, 825, 153982. [Google Scholar] [CrossRef]
- Niu, M.; Kebreab, E.; Hristov, A.N.; Oh, J.; Arndt, C.; Bannink, A.; Bayat, A.R.; Brito, A.F.; Boland, T.; Casper, D.; et al. Prediction of enteric methane production, yield, and intensity in dairy cattle using an intercontinental database. Glob. Chang. Biol. 2018, 24, 3368–3389. [Google Scholar] [CrossRef]
- Charmley, E.; Williams, S.R.O.; Moate, P.J.; Hegarty, R.S.; Herd, R.M.; Oddy, V.H.; Reyenga, P.; Staunton, K.M.; Anderson, A.; Hannah, M.C. A universal equation to predict methane production of forage-fed cattle in Australia. Anim. Prod. Sci. 2016, 56, 169–180. [Google Scholar] [CrossRef]
- Ellis, J.L.; Kebreab, E.; Odongo, N.E.; McBride, B.W.; Okine, E.K.; France, J. Prediction of methane production from dairy and beef cattle. J. Dairy Sci. 2007, 90, 3456–3466. [Google Scholar] [CrossRef]
- IPCC. 2006 IPCC Guidelines for National Greenhouse Gas Inventories; Intergovernmental Panel on Climate Change: Kanagawa, Japan, 2006. [Google Scholar]
- Mills, J.A.N.; Kebreab, E.; Yates, C.M.; Crompton, L.A.; Cammell, S.B.; Dhanoa, M.S.; Agnew, R.E.; France, J. Alternative approaches to predicting methane emissions from dairy cows. J. Anim. Sci. 2003, 81, 3141–3150. [Google Scholar] [CrossRef]
- van Lingen, H.J.; Niu, M.; Kebreab, E.; Valadares Filho, S.C.; Rooke, J.A.; Duthie, C.-A.; Schwarm, A.; Kreuzer, M.; Hynd, P.I.; Caetano, M.; et al. Prediction of enteric methane production, yield and intensity of beef cattle using an intercontinental database. Agric. Ecosyst. Environ. 2019, 283, 106575. [Google Scholar] [CrossRef]
- Appuhamy, J.A.D.R.N.; France, J.; Kebreab, E. Models for predicting enteric methane emissions from dairy cows in North America, Europe, and Australia and New Zealand. Glob. Chang. Biol. 2016, 22, 3039–3056. [Google Scholar] [CrossRef]
- Ellis, J.L.; Dijkstra, J.; Bannink, A.; Kebreab, E.; Archibeque, S.; Benchaar, C.; Beauchemin, K.A.; Nkrumah, J.D.; France, J. Improving the prediction of methane production and representation of rumen fermentation for finishing beef cattle within a mechanistic model. Can. J. Anim. Sci. 2014, 94, 509–524. [Google Scholar] [CrossRef]
- Ellis, J.L.; Dijkstra, J.; Bannink, A.; Kebreab, E.; Hook, S.E.; Archibeque, S.; France, J. Quantifying the effect of monensin dose on the rumen volatile fatty acid profile in high-grain-fed beef cattle. J. Anim. Sci. 2012, 90, 2717–2726. [Google Scholar] [CrossRef]
- Appuhamy, J.A.D.R.N.; Strathe, A.B.; Jayasundara, S.; Wagner-Riddle, C.; Dijkstra, J.; France, J.; Kebreab, E. Anti-methanogenic effects of monensin in dairy and beef cattle: A meta-analysis. J. Dairy Sci. 2013, 96, 5161–5173. [Google Scholar] [CrossRef]
- Duffield, T.F.; Rabiee, A.R.; Lean, I.J. A Meta-analysis of the impact of monensin in lactating dairy cattle. Part 2. production effects. J. Dairy Sci. 2008, 91, 1347–1360. [Google Scholar] [CrossRef]
- Beauchemin, K.A.; McGinn, S.M.; Grainger, C. Reducing methane emissions from dairy cows. WCDS Adv. Dairy Technol. 2008, 20, 79–93. [Google Scholar]
- Van Vugt, S.J.; Waghorn, G.C.; Clark, D.A.; Woodward, S.L. Impact of monensin on methane production and performance of cows fed forage diets. In Proceedings of the New Zealand Society of Animal Production; New Zealand Society of Animal Production: Christchurch, New Zealand, 2005. [Google Scholar]
- O’kelly, J.C.; Spiers, W.G. Effect of monensin on methane and heat production of steers fed lucerne hay either ad-libitum or at the rate of 250/g hour. Aust. J. Agric. Res. 1992, 43, 1789–1793. [Google Scholar] [CrossRef]
- Odongo, N.E.; Bagg, R.; Vessie, G.; Dick, P.; Or-Rashid, M.M.; Hook, S.E.; Gray, J.T.; Kebreab, E.; France, J.; McBride, B.W. Long-term effects of feeding monensin on methane production in lactating dairy cows. J. Dairy Sci. 2007, 90, 1781–1788. [Google Scholar] [CrossRef]
- Benchaar, C. Diet supplementation with cinnamon oil, cinnamaldehyde, or monensin does not reduce enteric methane production of dairy cows. Animal 2016, 10, 418–425. [Google Scholar] [CrossRef]
- Meale, S.J.; Chaves, A.V.; McAllister, T.A.; Iwaasa, A.D.; Yang, W.Z.; Benchaar, C. Including essential oils in lactating dairy cow diets: Effects on methane emissions1. Anim. Prod. Sci. 2014, 54, 1215–1218. [Google Scholar] [CrossRef]
- Grainger, C.; Williams, R.; Eckard, R.J.; Hannah, M.C. A high dose of monensin does not reduce methane emissions of dairy cows offered pasture supplemented with grain. J. Dairy Sci. 2010, 93, 5300–5308. [Google Scholar] [CrossRef]
- Grainger, C.; Auldist, M.J.; Clarke, T.; Beauchemin, K.A.; McGinn, S.M.; Hannah, M.C.; Eckard, R.J.; Lowe, L.B. Use of monensin controlled-release capsules to reduce methane emissions and improve milk production of dairy cows offered pasture supplemented with grain. J. Dairy Sci. 2008, 91, 1159–1165. [Google Scholar] [CrossRef]
- NASEM. Nutrient Requirements of Dairy Cattle: Eighth Revised Edition; The National Academies Press: Washington, DC, USA, 2021; p. 502. [Google Scholar] [CrossRef]
- Guan, H.; Wittenberg, K.M.; Ominski, K.H.; Krause, D.O. Efficacy of ionophores in cattle diets for mitigation of enteric methane. J. Anim. Sci. 2006, 84, 1896–1906. [Google Scholar] [CrossRef]
- Sauer, F.D.; Fellner, V.; Kinsman, R.; Kramer, J.K.; Jackson, H.A.; Lee, A.J.; Chen, S. Methane output and lactation response in Holstein cattle with monensin or unsaturated fat added to the diet. J. Anim. Sci. 1998, 76, 906–914. [Google Scholar] [CrossRef]
- Rumpler, W.V.; Johnson, D.E.; Bates, D.B. The effect of high dietary cation concentration on methanogenesis by steers fed diets with and without ionophores. J. Anim. Sci. 1986, 62, 1737–1741. [Google Scholar] [CrossRef]
- Vyas, D.; Alemu, A.W.; McGinn, S.M.; Duval, S.M.; Kindermann, M.; Beauchemin, K.A. The combined effects of supplementing monensin and 3-nitrooxypropanol on methane emissions, growth rate, and feed conversion efficiency in beef cattle fed high-forage and high-grain diets. J. Anim. Sci. 2018, 96, 2923–2938. [Google Scholar] [CrossRef] [PubMed]
- Mbanzamihigo, L.; van Nevel, C.J.; Demeyer, D.I. Lasting effects of monensin on rumen and caecal fermentation in sheep fed a high grain diet. Anim. Feed Sci. Technol. 1996, 62, 215–228. [Google Scholar] [CrossRef]
- Davies, A.; Nwaonu, H.N.; Stanier, G.; Boyle, F.T. Properties of a novel series of inhibitors of rumen methanogenesis; in vitro and in vivo experiments including growth trials on 2,4-bis (trichloromethyl)-benzo (1,3)dioxin-6-carboxylic acid. Br. J. Nutr. 1982, 47, 565–576. [Google Scholar] [CrossRef]
- De, D.; Singh, G.P. Effect of different level of monensin supplemented with cold process urea molasses mineral block on in vitro rumen fermentation at different days of adaptation with monensin. Asian-Australas. J. Anim. Sci. 2005, 18, 320–325. [Google Scholar] [CrossRef]
- Rico, D.E.; Holloway, A.W.; Harvatine, K.J. Effect of monensin on recovery from diet-induced milk fat depression. J. Dairy Sci. 2014, 97, 2376–2386. [Google Scholar] [CrossRef]
- Hemphill, C.N.; Wickersham, T.A.; Sawyer, J.E.; Brown-Brandl, T.M.; Freetly, H.C.; Hales, K.E. Effects of feeding monensin to bred heifers fed in a drylot on nutrient and energy balance. J. Anim. Sci. 2018, 96, 1171–1180. [Google Scholar] [CrossRef]
- Caetano, M.; Wilkes, M.J.; Pitchford, W.S.; Lee, S.J.; Hynd, P.I. Efficacy of methane-reducing supplements in beef cattle rations. Anim. Prod. Sci. 2016, 56, 276–281. [Google Scholar] [CrossRef]
- Mwenya, B.; Sar, C.; Santoso, B.; Kobayashi, T.; Morikawa, R.; Takaura, K.; Umetsu, K.; Kogawa, S.; Kimura, K.; Mizukoshi, H.; et al. Comparing the effects of beta 1-4 galactooligosaccharides and l-cysteine to monensin on energy and nitrogen utilization in steers fed a very high concentrate diet. Anim. Feed Sci. Technol. 2005, 118, 19–30. [Google Scholar] [CrossRef]
- McGinn, S.M.; Beauchemin, K.A.; Coates, T.; Colombatto, D. Methane emissions from beef cattle: Effects of monensin, sunflower oil, enzymes, yeast, and fumaric acid. J. Anim. Sci. 2004, 82, 3346–3356. [Google Scholar] [CrossRef]
- Wedegaertner, T.C.; Johnson, D.E. Monensin effects on digestibility, methanogenesis and heat increment of a cracked corn-silage diet fed to steers. J. Anim. Sci. 1983, 57, 168–177. [Google Scholar] [CrossRef]
- Thornton, J.H.; Owens, F.N. Monensin supplementation and in vivo methane production by steers. J. Anim. Sci. 1981, 52, 628–634. [Google Scholar] [CrossRef]
- Melchior, E.A.; Hales, K.E.; Lindholm-Perry, A.K.; Freetly, H.C.; Wells, J.E.; Hemphill, C.N.; Wickersham, T.A.; Sawyer, J.E.; Myer, P.R. The effects of feeding monensin on rumen microbial communities and methanogenesis in bred heifers fed in a drylot. Livest. Sci. 2018, 212, 131–136. [Google Scholar] [CrossRef]
- Da Fonseca, M.P.; Da Costa Cruz Borges, A.L.; De Araujo Carvalho, P.H.; Reis e Silva, R.; Gonçãlves, L.C.; Borges, I.; Lage, H.F.; Ferreira, A.L.; Saliba, E.O.S.; Jayme, D.G.; et al. Energy partitioning in cattle fed diets based on tropical forage with the inclusion of antibiotic additives. PLoS ONE 2019, 14, e0211565. [Google Scholar] [CrossRef]
- Fonseca, M.P.D.; Borges, A.L.; Silva, R.R.e.; Lage, H.F.; Ferreira, A.L.; Lopes, F.C.F.; Pancoti, C.G.; Rodrigues, J.A.S. Intake, apparent digestibility, and methane emission in bulls receiving a feed supplement of monensin, virginiamycin, or a combination. Anim. Prod. Sci. 2016, 56, 1041–1045. [Google Scholar] [CrossRef]
- Place, S.E.; Pan, Y.; Zhao, Y.; Mitloehner, F.M. Short-term dose effects of feeding monensin on methane emissions from lactating Holstein dairy cattle. In Energy and Protein Metabolism and Nutrition in Sustainable Animal Production, Proceedings of the 4th International Symposium on Energy and Protein Metabolism and Nutrition Sacramento, California, USA, 9–12 September 2013; Oltjen, J.W., Kebreab, E., Lapierre, H., Eds.; Wageningen Academic Publishers: Wageningen, The Netherlands, 2013; pp. 493–494. [Google Scholar] [CrossRef]
- Hamilton, S.W.; DePeters, E.J.; McGarvey, J.A.; Lathrop, J.; Mitloehner, F.M. Greenhouse gas, animal performance, and bacterial population structure responses to dietary monensin fed to dairy cows. J. Environ. Qual. 2010, 39, 106–114. [Google Scholar] [CrossRef]
- Waghorn, G.C.; Clark, H.; Taufa, V.; Cavanagh, A. Monensin controlled-release capsules for methane mitigation in pasture-fed dairy cows. Aust. J. Exp. Agric. 2008, 48, 65–68. [Google Scholar] [CrossRef]
- Kokoska, S.; Zwillinger, D. CRC Standard Probability and Statistics Tables and Formulae; CRC Press: Boca Raton, FL, USA, 2000. [Google Scholar]
- Higgs, R.J.; Chase, L.E.; Ross, D.A.; Van Amburgh, M.E. Updating the Cornell Net Carbohydrate and Protein System feed library and analyzing model sensitivity to feed inputs. J. Dairy Sci. 2015, 98, 6340–6360. [Google Scholar] [CrossRef]
- Tyrrell, H.F.; Moe, P.W. Net energy value for lactation of a high and low concentrate ration containing corn silage. J. Dairy Sci. 1972, 55, 1106–1112. [Google Scholar] [CrossRef]
- Moe, P.W.; Tyrell, H.F.; Hooven, N.W. Energy balance measurements with corn meal and ground oats for lactating cows. J. Dairy Sci. 1973, 56, 1149–1153. [Google Scholar] [CrossRef]
- Moe, P.W.; Tyell, H.F.; Hooven, N.W. Physical form and energy value of corn grain. J. Dairy Sci. 1973, 56, 1298–1304. [Google Scholar] [CrossRef]
- Moe, P.W.; Tyrrell, H.F. Effects of feed intake and physical form on energy value of corn in Timothy hay diets for lactating cows. J. Dairy Sci. 1977, 60, 752–758. [Google Scholar] [CrossRef]
- Moe, P.W.; Tyrrell, H.F. Effect of endosperm type on incremental energy value of corn grain for dairy cows. J. Dairy Sci. 1979, 62, 447–454. [Google Scholar] [CrossRef]
- Waldo, D.R.; Tyrrell, H.F.; Capuco, A.V.; Rexroad, C.E. Components of growth in Holstein heifers fed either alfalfa or corn silage diets to produce two daily gains. J. Dairy Sci. 1997, 80, 1674–1684. [Google Scholar] [CrossRef]
- Hindrichsen, I.K.; Wettstein, H.R.; Machmüller, A.; Kreuzer, M. Methane emission, nutrient degradation and nitrogen turnover in dairy cows and their slurry at different milk production scenarios with and without concentrate supplementation. Agric. Ecosyst. Environ. 2006, 113, 150–161. [Google Scholar] [CrossRef]
- Moate, P.J.; Williams, S.R.O.; Grainger, C.; Hannah, M.C.; Ponnampalam, E.N.; Eckard, R.J. Influence of cold-pressed canola, brewers grains and hominy meal as dietary supplements suitable for reducing enteric methane emissions from lactating dairy cows. Anim. Feed Sci. Technol. 2011, 166–167, 254–264. [Google Scholar] [CrossRef]
- Patel, M.; Wredle, E.; Börjesson, G.; Danielsson, R.; Iwaasa, A.D.; Spörndly, E.; Bertilsson, J. Enteric methane emissions from dairy cows fed different proportions of highly digestible grass silage. Acta Agric. Scand. Sect. A—Anim. Sci. 2011, 61, 128–136. [Google Scholar] [CrossRef]
- Hassanat, F.; Gervais, R.; Julien, C.; Massé, D.I.; Lettat, A.; Chouinard, P.Y.; Petit, H.V.; Benchaar, C. Replacing alfalfa silage with corn silage in dairy cow diets: Effects on enteric methane production, ruminal fermentation, digestion, N balance, and milk production. J. Dairy Sci. 2013, 96, 4553–4567. [Google Scholar] [CrossRef]
- Hatew, B.; Podesta, S.C.; Van Laar, H.; Pellikaan, W.F.; Ellis, J.L.; Dijkstra, J.; Bannink, A. Effects of dietary starch content and rate of fermentation on methane production in lactating dairy cows. J. Dairy Sci. 2015, 98, 486–499. [Google Scholar] [CrossRef]
- van Gastelen, S.; Antunes-Fernandes, E.C.; Hettinga, K.A.; Klop, G.; Alferink, S.J.J.; Hendriks, W.H.; Dijkstra, J. Enteric methane production, rumen volatile fatty acid concentrations, and milk fatty acid composition in lactating Holstein-Friesian cows fed grass silage- or corn silage-based diets. J. Dairy Sci. 2015, 98, 1915–1927. [Google Scholar] [CrossRef]
- Tyrrell, H.F.; Reid, J.T. Prediction of the energy value of cow’s milk. J. Dairy Sci. 1965, 48, 1215–1223. [Google Scholar] [CrossRef] [PubMed]
- Van Soest, P.J. Nutritional Ecology of the Ruminant, 2nd ed.; Cornell University Press: Ithaca, NY, USA, 1994. [Google Scholar] [CrossRef]
- Ramin, M.; Huhtanen, P. Development of equations for predicting methane emissions from ruminants. J. Dairy Sci. 2013, 96, 2476–2493. [Google Scholar] [CrossRef] [PubMed]
- Van Soest, P.J.; Fadel, J.; Sniffen, C.J. Discount Factors for Energy and Protein in Ruminant Feeds. In Proceedings of the Cornell Nutrition Conference, Syracuse, NY, USA, 19–21 October 2021; Cornell University Press: Ithaca, NY, USA, 1979. [Google Scholar]
- Weiss, W.P. Predicting Energy Values of Feeds. J. Dairy Sci. 1993, 76, 1802–1811. [Google Scholar] [CrossRef]
- RStudio Team. RStudio: Integrated Development Environment for R, 2022.7.1.554; RStudio, PBC: Boston, MA, USA, 2022. [Google Scholar]
- Bates, D.; Mächler, M.; Bolker, B.; Walker, S. Fitting linear mixed-effects models using lme4. J. Stat. Softw. 2015, 67, 1–48. [Google Scholar] [CrossRef]
- St-Pierre, N.R. Invited Review: Integrating quantitative findings from multiple studies using mixed model methodology. J. Dairy Sci. 2001, 84, 741–755. [Google Scholar] [CrossRef]
- Hammond, K.J.; Humphries, D.J.; Crompton, L.A.; Green, C.; Reynolds, C.K. Methane emissions from cattle: Estimates from short-term measurements using a GreenFeed system compared with measurements obtained using respiration chambers or sulphur hexafluoride tracer. Anim. Feed Sci. Technol. 2015, 203, 41–52. [Google Scholar] [CrossRef]
- Barton, K. MuMIn: Multi-Model Inference, R Package Version 1.46.0; RStudio: Boston, MA, USA, 2022. Available online: https://CRAN.R-project.org/package=MuMIn (accessed on 19 December 2022).
- Pham, H. A new criterion for model selection. Mathematics 2019, 7, 1215. [Google Scholar] [CrossRef]
- Brewer, M.J.; Butler, A.; Cooksley, S.L. The relative performance of AIC, AICC and BIC in the presence of unobserved heterogeneity. Methods Ecol. Evol. 2016, 7, 679–692. [Google Scholar] [CrossRef]
- Bell, M.; Eckard, R.; Moate, P.J.; Yan, T. Modelling the effect of diet composition on enteric methane emissions across sheep, beef cattle and dairy cows. Animals 2016, 6, 54. [Google Scholar] [CrossRef]
- St-Pierre, N.R. Reassessment of biases in predicted nitrogen flows to the duodenum by NRC 2001. J. Dairy Sci. 2003, 86, 344–350. [Google Scholar] [CrossRef]
- St-Pierre, N.R. Meta-analyses of experimental data in the animal sciences. Rev. Bras. Zootec. 2007, 36, 343–358. [Google Scholar] [CrossRef]
- Ribeiro, R.S.; Rodrigues, J.P.P.; Maurício, R.M.; Borges, A.L.C.C.; Reis e Silva, R.; Berchielli, T.T.; Valadares Filho, S.C.; Machado, F.S.; Campos, M.M.; Ferreira, A.L.; et al. Predicting enteric methane production from cattle in the tropics. Animal 2020, 14, s438–s452. [Google Scholar] [CrossRef] [PubMed]
- IPCC. Chapter 10: Emissions from livestock and manure management. In 2019 Refinement to the 2006 IPCC Guidelines for National Greenhouse Gas Inventories; Intergovernmental Panel on Climate Change: Kanagawa, Japan, 2019; Volume 4. [Google Scholar]
- Patra, A.K. Prediction of enteric methane emission from cattle using linear and non-linear statistical models in tropical production systems. Mitig. Adapt. Strateg. Glob. Chang. 2017, 22, 629–650. [Google Scholar] [CrossRef]
- Yan, T.; Agnew, R.E.; Gordon, F.J.; Porter, M.G. Prediction of methane energy output in dairy and beef cattle offered grass silage-based diets. Livest. Prod. Sci. 2000, 64, 253–263. [Google Scholar] [CrossRef]
- Storlien, T.M.; Volden, H.; Almøy, T.; Beauchemin, K.A.; McAllister, T.A.; Harstad, O.M. Prediction of enteric methane production from dairy cows. Acta Agric. Scand. Sect. A—Anim. Sci. 2014, 64, 98–109. [Google Scholar] [CrossRef]
- Moraes, L.E.; Strathe, A.B.; Fadel, J.G.; Casper, D.P.; Kebreab, E. Prediction of enteric methane emissions from cattle. Glob. Chang. Biol. 2014, 20, 2140–2148. [Google Scholar] [CrossRef] [PubMed]
- Nielsen, N.I.; Volden, H.; Åkerlind, M.; Brask, M.; Hellwing, A.L.F.; Storlien, T.; Bertilsson, J. A prediction equation for enteric methane emission from dairy cows for use in NorFor. Acta Agric. Scand. Sect. A—Anim. Sci. 2013, 63, 126–130. [Google Scholar] [CrossRef]
- Hristov, A.; Oh, J.; Lee, C.; Meinen, R.; Montes, F.; Ott, T.; Firkins, J.; Rotz, A.; Dell, C.; Adesogan, A. Mitigation of Greenhouse Gas Emissions in Livestock Production: A Review of Technical Options for Non-CO2 Emissions; FAO: Roma, Italy, 2013. [Google Scholar]
- Stevenson, M.; Nunes, T.; Heuer, C.; Marshall, J.; Sanchez, J.; Thornton, R.; Reiczigel, J.; Robison-Cox, J.; Sebastiani, P.; Solymos, P.; et al. epiR: Tools for the Analysis of Epidemiological Data; R Package Version 2.0.52; RStudio: Boston, MA, USA, 2022; Available online: https://CRAN.R-project.org/package=epiR (accessed on 19 December 2022).
- Bibby, J.; Toutenburg, H. Prediction and Improved Estimation in Linear Models; Wiley: Hoboken, NJ, USA, 1977. [Google Scholar]
- Moriasi, N.D.; Arnold, J.G.; Van Liew, M.W.; Bingner, R.L.; Harmel, R.D.; Veith, T.L. Model Evaluation Guidelines for Systematic Quantification of Accuracy in Watershed Simulations. Trans. ASABE 2007, 50, 885–900. [Google Scholar] [CrossRef]
- Moe, P.W.; Tyrrell, H.F. Methane production in dairy cows. J. Dairy Sci. 1979, 62, 1583–1586. [Google Scholar] [CrossRef]
- Krabel, B.J.; Foust, L.B.; Fuller, G.B.; Foss, A.J.; Garner, L.H.; Hunter, R.P. Investigation of monensin Type A medicated article dissolution profiles in biorelevant media. J. Vet. Pharmacol. Ther. 2021, 44, 619–627. [Google Scholar] [CrossRef]
- Dineen, M.; McCarthy, B.; Dillon, P.; LaPierre, P.A.; Fessenden, S.; Matthews, C.; Galvin, N.; Van Amburgh, M.E. Rumen metabolism, omasal flow of nutrients, and microbial dynamics in lactating dairy cows fed fresh perennial ryegrass (Lolium perenne L.) not supplemented or supplemented with rolled barley grain. J. Dairy Sci. 2020, 103, 11332–11348. [Google Scholar] [CrossRef] [PubMed]
- Beauchemin, K.; Mo, K.; O’Mara, F.; McAllister, T. Nutritional management for enteric methane abatement: A review. Aust. J. Exp. Agric. 2008, 48, 21–27. [Google Scholar] [CrossRef]
- Velarde-Guillén, J.; Pellerin, D.; Benchaar, C.; Wattiaux, M.A.; Charbonneau, É. Development of an equation to estimate the enteric methane emissions from Holstein dairy cows in Canada. Can. J. Anim. Sci. 2019, 99, 792–803. [Google Scholar] [CrossRef]
- Rufino-Moya, P.J.; Blanco, M.; Bertolín, J.R.; Joy, M. Effect of the method of preservation on the chemical composition and in vitro fermentation characteristics in two legumes rich in condensed tannins. Anim. Feed Sci. Technol. 2019, 251, 12–20. [Google Scholar] [CrossRef]
- Gislon, G.; Colombini, S.; Borreani, G.; Crovetto, G.M.; Sandrucci, A.; Galassi, G.; Tabacco, E.; Rapetti, L. Milk production, methane emissions, nitrogen, and energy balance of cows fed diets based on different forage systems. J. Dairy Sci. 2020, 103, 8048–8061. [Google Scholar] [CrossRef]
- Van Soest, P.J. Development of a comprehensive system of feed analyses and its application to forages. J. Anim. Sci. 1967, 26, 119–128. [Google Scholar] [CrossRef]
- Lovett, D.; Lovell, S.; Stack, L.; Callan, J.; Finlay, M.; Conolly, J.; O’Mara, F.P. Effect of forage/concentrate ratio and dietary coconut oil level on methane output and performance of finishing beef heifers. Livest. Prod. Sci. 2003, 84, 135–146. [Google Scholar] [CrossRef]
- Benchaar, C.; Pomar, C.; Chiquette, J. Evaluation of dietary strategies to reduce methane production in ruminants: A modelling approach. Can. J. Anim. Sci. 2001, 81, 563–574. [Google Scholar] [CrossRef]
- Hammond, K.J.; Jones, A.K.; Humphries, D.J.; Crompton, L.A.; Reynolds, C.K. Effects of diet forage source and neutral detergent fiber content on milk production of dairy cattle and methane emissions determined using GreenFeed and respiration chamber techniques. J. Dairy Sci. 2016, 99, 7904–7917. [Google Scholar] [CrossRef]
- Ma, S.; Wang, H.; Li, J.; Fu, Y.; Zhu, W. Methane production performances of different compositions in lignocellulosic biomass through anaerobic digestion. Energy 2019, 189, 116190. [Google Scholar] [CrossRef]
- Drehmel, O.R.; Brown-Brandl, T.M.; Judy, J.V.; Fernando, S.C.; Miller, P.S.; Hales, K.E.; Kononoff, P.J. The influence of fat and hemicellulose on methane production and energy utilization in lactating Jersey cattle. J. Dairy Sci. 2018, 101, 7892–7906. [Google Scholar] [CrossRef] [PubMed]
- Grabber, J.H.; Ralph, J.; Hatfield, R.D. Ferulate cross-links limit the enzymatic degradation of synthetically lignified primary walls of maize. J. Agric. Food Chem. 1998, 46, 2609–2614. [Google Scholar] [CrossRef]
- Raffrenato, E.; Fievisohn, R.; Cotanch, K.W.; Grant, R.J.; Chase, L.E.; Van Amburgh, M.E. Effect of lignin linkages with other plant cell wall components on in vitro and in vivo neutral detergent fiber digestibility and rate of digestion of grass forages. J. Dairy Sci. 2017, 100, 8119–8131. [Google Scholar] [CrossRef] [PubMed]
- Mertens, D.R. Creating a system for meeting the fiber requirements of dairy cows. J. Dairy Sci. 1997, 80, 1463–1481. [Google Scholar] [CrossRef]
- Giger-Reverdin, S.; Morand-Fehr, P.; Tran, G. Literature survey of the influence of dietary fat composition on methane production in dairy cattle. Livest. Prod. Sci. 2003, 82, 73–79. [Google Scholar] [CrossRef]
- Colombini, S.; Graziosi, A.R.; Galassi, G.; Gislon, G.; Crovetto, G.M.; Enriquez-Hidalgo, D.; Rapetti, L. Evaluation of Intergovernmental Panel on Climate Change (IPCC) equations to predict enteric methane emission from lactating cows fed Mediterranean diets. JDS Commun. 2023, 4. (in press). [CrossRef]
- Congio, G.F.S.; Bannink, A.; Mayorga, O.L.; Rodrigues, J.P.P.; Bougouin, A.; Kebreab, E.; Carvalho, P.C.F.; Abdalla, A.L.; Monteiro, A.L.G.; Ku-Vera, J.C.; et al. Prediction of enteric methane production and yield in sheep using a Latin America and Caribbean database. Livest. Sci. 2022, 264, 105036. [Google Scholar] [CrossRef]


| Author | CH4 Collection Technique | N | CH4, (g/d) Mean (SD) | CH4/DMI, (g/kg) Mean (SD) | DMI (kg) Mean (SD) |
|---|---|---|---|---|---|
| [58] | Chamber | 2 | 275.5 (74.77) | 19.8 (3.40) | 13.8 (1.41) |
| [59] | Chamber | 2 | 194.4 (6.92) | 14.4 (1.17) | 13.6 (0.62) |
| [60] | Chamber | 4 | 248.1 (27.37) | 17.9 (1.99) | 13.9 (0.63) |
| [61] | Chamber | 7 | 223.2 (82.35) | 20.7 (2.05) | 11.2 (5.15) |
| [62] | Chamber | 6 | 249.7 (100.31) | 19.2 (2.88) | 13.5 (6.37) |
| [63] | Chamber | 4 | 165.6 (11.67) | 24.2 (2.72) | 6.9 (0.42) |
| [64] | Chamber | 4 | 386.8 (51.85) | 23.0 (2.31) | 17.1 (3.72) |
| [30] | Hood | 2 | 443.7 (21.21) | 22.9 (0.57) | 19.4 (0.42) |
| [65] | Chamber | 4 | 471.8 (21.82) | 23.7 (1.19) | 19.7 (0.67) |
| [66] | SF6 | 3 | 301.0 (19.52) | 19.8 (1.08) | 15.5 (0.35) |
| [67] | Chamber | 3 | 452.3 (26.73) | 19.8 (1.63) | 22.5 (0.70) |
| [53] | Hood | 4 | 583.8 (37.71) | 20.6 (0.77) | 28.3 (1.01) |
| [32] | SF6 | 2 | 354.9 (39.95) | 17.5 (2.33) | 20.3 (0.57) |
| [68] | Chamber | 4 | 415.3 (19.19) | 21.9 (0.44) | 19.0 (0.49) |
| [69] | Chamber | 4 | 402.8 (12.34) | 24.0 (1.37) | 16.8 (0.54) |
| [31] | SF6 | 2 | 486.0 (14.14) | 21.9 (0.85) | 22.1 (0.42) |
| [9] | SF6 | 2 | 475.0 (18.38) | 20.6 (0.42) | 23.6 (0.35) |
| [8] | SF6 | 2 | 328.4 (64.35) | 18.8 (2.74) | 17.5 (0.80) |
| Combined Database (n = 61) | Lactating Database (n = 48) | |||||||
|---|---|---|---|---|---|---|---|---|
| Input Variable a | Mean | SD b | Min b | Max b | Mean | SD b | Min b | Max b |
| Animal variables | ||||||||
| DMI, kg/d | 16.7 | 5.83 | 6.3 | 29.2 | 18.9 | 4.16 | 12.8 | 29.2 |
| IE, MJ/d | 312.8 | 107.83 | 113.7 | 546.0 | 353.3 | 75.94 | 243.3 | 546.0 |
| MEI, MJ/d | 117.5 | 67.35 | 48.6 | 313.8 | 200.5 | 49.41 | 129.3 | 313.8 |
| Dietary nutrient content (% of DM), unless stated otherwise | ||||||||
| CP | 15.7 | 3.18 | 5.1 | 22.5 | 16.2 | 2.41 | 6.7 | 20.2 |
| NDF | 35.3 | 8.01 | 24.7 | 69.6 | 34.7 | 6.9 | 24.7 | 56.4 |
| ADF | 21.5 | 5.59 | 13.7 | 42.9 | 21.2 | 4.67 | 13.7 | 35.2 |
| Lignin, %NDF | 11.6 | 4.05 | 3.3 | 18.5 | 11.2 | 4.18 | 3.3 | 18.5 |
| Lignin | 3.9 | 1.42 | 1.4 | 9.2 | 3.7 | 1.18 | 1.4 | 5.8 |
| EE | 3.4 | 1.06 | 1.8 | 7.0 | 3.4 | 1.12 | 1.8 | 7.0 |
| Ash | 6.7 | 1.51 | 4.1 | 11.5 | 6.7 | 1.40 | 4.1 | 9.9 |
| Hemicellulose | 13.8 | 4.23 | 5.5 | 26.7 | 13.4 | 4.1 | 5.5 | 24.4 |
| Cellulose | 17.6 | 5.2 | 10.3 | 33.7 | 17.6 | 4.67 | 10.3 | 30.1 |
| H:C ratio | 0.83 | 0.26 | 0.18 | 1.47 | 0.80 | 0.25 | 0.18 | 1.47 |
| NFC c | 39.0 | 8.73 | 18.2 | 52.9 | 39.0 | 8.11 | 19.3 | 52.9 |
| Forage, % | 57.1 | 17.66 | 40.0 | 100.0 | 57.3 | 15.99 | 40.0 | 100.0 |
| Performance variables | ||||||||
| MY, kg/d | - | - | - | - | 25.6 | 8.47 | 10.0 | 46.3 |
| MFY, g/d | - | - | - | - | 1003.9 | 294.98 | 490.0 | 1780.0 |
| MPY, g/d | - | - | - | - | 845.4 | 244.54 | 370 | 1430.0 |
| ECM, kg/dd | - | - | - | - | 26.6 | 7.35 | 12.4 | 44.8 |
| Nutrient digestibility, % | ||||||||
| NDFd | 48.5 | 18.15 | 12.1 | 76.9 | 47.7 | 19.84 | 12.1 | 76.9 |
| CH4 emissions | ||||||||
| CH4, g/d | 346.4 | 127.13 | 147.4 | 631.2 | 389.7 | 102.68 | 189.5 | 632.2 |
| CH4/DMI, g/kg | 20.8 | 2.86 | 13.5 | 27.0 | 20.7 | 2.64 | 15.2 | 25.9 |
| CH4/MY, g/kg | - | - | - | - | 16.1 | 2.83 | 11.4 | 23.3 |
| CH4/ECM, g/kg | - | - | - | - | 15.0 | 1.97 | 11.3 | 19.3 |
| Ym (CH4/IE), % | 6.2 | 0.84 | 4.0 | 7.8 | 6.0 | 0.83 | 4.00 | 7.6 |
| Model Performance d | |||||||
|---|---|---|---|---|---|---|---|
| Categories a | Prediction Equation b | n c | RMSPE, % | RSR | MB, % | SB, % | CCC |
| Combined (COM) | |||||||
| 65.57 (50.53) + 16.77 (0.99) × DMI | 61 | 14.7 | 0.40 | 0.07 | 17.57 | 0.90 |
| 66.96 (21.07) + 0.890 (0.054) × IE | 61 | 15.1 | 0.41 | 0.05 | 18.61 | 0.89 |
| 65.82 (24.91) + 1.55 (0.11) × MEI | 61 | 17.8 | 0.49 | 0.99 | 2.44 | 0.86 |
| 9.00 (28.39) + 17.62 (0.99) × DMI + 0.73 (0.31) × forage | 61 | 12.8 | 0.35 | 0.40 | 14.44 | 0.93 |
| −73.74 (27.95) + 17.08 (0.88) × DMI + 2.64 (0.47) × forage − 0.06 (0.01) × forage2 (centered) | 61 | 10.7 | 0.29 | 1.92 | 1.75 | 0.95 |
| 45.84 (31.20) + 0.85 (0.29) × forage + 17.84 (0.93) × DMI − 4.26 (1.55) × Lig.%NDF | 61 | 11.5 | 0.31 | 0.89 | 6.40 | 0.94 |
| 169.25 (37.16) + 17.04 (0.94) × DMI − 5.88 (1.73) × Lig.%NDF − 52.19 (19.93) × H:C ratio | 61 | 10.9 | 0.30 | 1.04 | 5.12 | 0.95 |
| Lactating cows (LAC) | |||||||
| 37.67 (42.54) + 18.38 (2.16) × DMI | 48 | 14.1 | 0.53 | 1.69 | 8.22 | 0.81 |
| 39.88 (44.03) + 0.98 (0.12) × IE | 48 | 14.5 | 0.55 | 1.57 | 9.64 | 0.79 |
| 128.81 (44.77) + 1.26 (0.21) × MEI | 48 | 18.3 | 0.69 | 2.13 | 6.09 | 0.63 |
| −129.56 (42.51) + 22.63 (1.73) × DMI + 1.56 (0.33) × forage | 48 | 9.5 | 0.36 | 0.18 | 0.00 | 0.93 |
| −128.95 (37.06) + 19.78 (1.84) × DMI + 2.73 (0.49) × forage − 0.05 (0.02) × forage2 (centered) | 48 | 9.1 | 0.34 | 1.64 | 0.00 | 0.94 |
| −90.73 (56.97) + 1.44 (0.35) × forage + 22.16 (1.77) × DMI − 2.07 (2.00) × Lig.%NDF | 48 | 9.3 | 0.35 | 0.43 | 0.00 | 0.93 |
| 149.04 (53.40) + 18.61 (1.86) × DMI − 5.55 (2.12) × Lig.%NDF − 65.50 (24.37) × H:C ratio | 48 | 10.0 | 0.38 | 1.27 | 1.96 | 0.92 |
| 201.58 (33.18) + 7.51 (1.16) × MY | 46 | 16.0 | 0.66 | 1.47 | 3.63 | 0.68 |
| 186.96 (32.43) + 7.86 (1.11) × ECM | 46 | 15.7 | 0.65 | 0.59 | 0.59 | 0.68 |
| −93.23 (58.93) + 20.63 (2.02) × DMI + 2.60 (1.05) × NDF | 48 | 11.1 | 0.42 | 1.13 | 7.04 | 0.89 |
| −62.91 (51.62) + 20.51(2.01) × DMI + 2.91 (1.29) × ADF | 48 | 11.2 | 0.42 | 0.90 | 3.01 | 0.89 |
| 34.52 (36.51) + 16.64 (3.84) × DMI + 0.225 (0.050) × MFY − 0.214 (0.079) × MPY | 46 | 9.8 | 0.40 | 0.08 | 6.64 | 0.90 |
| 62.74 (40.32) + 0.162 (0.052) × MFY − 15.52 (6.02) × EE + 4.71 (2.17) × MY + 5.95 (1.68) × cellulose | 46 | 10.1 | 0.42 | 0.00 | 0.37 | 0.90 |
| −60.54 (50.81) + 20.13 (2.74) × DMI + 1.35 (0.44) × NDFd | 30 | 11.2 | 0.49 | 0.00 | 3.29 | 0.87 |
| Model Performance d | |||||||
|---|---|---|---|---|---|---|---|
| Categories a | Prediction Equation b | n c | RMSPE, % | RSR | MB, % | SB, % | CCC |
| Combined (COM) | |||||||
| (1) NDF_S | 16.99 (1.41) + 0.11 (0.037) X NDF | 60 | 11.5 | 0.83 | 0.00 | 0.80 | 0.49 |
| (2) ADF_S | 18.49 (1.24) + 0.10 (0.052) × ADF | 60 | 12.1 | 0.88 | 0.11 | 3.06 | 0.30 |
| (3) Forage_S | 16.21 (1.31) + 0.08 (0.021) × forage | 60 | 11.4 | 0.82 | 0.23 | 0.38 | 0.46 |
| (4) diet_M | 21.13 (0.84) + 0.09 (0.02) × forage − 0.35 (0.100) × CP | 60 | 12.6 | 0.92 | 0.10 | 5.58 | 0.41 |
| Niu et al. [16] Eq.1 | 13.8 (0.63) + 0.185 (0.0133) × NDF | 60 | 11.5 | 0.83 | 6.21 | 4.58 | 0.43 |
| Niu et al. [16] Eq. 2 | 15.4 (0.76) − 0.354 (0.0756) × EE + 0.173 (0.0145) × NDF | 60 | 11.9 | 0.86 | 6.26 | 1.83 | 0.39 |
| Lactating cows (LAC) | |||||||
| (5) NDF_S | 12.24 (1.88) + 0.24 (0.05) × NDF | 48 | 11.7 | 0.86 | 0.88 | 1.79 | 0.36 |
| (6) ADF_S | 14.37 (1.47) + 0.29 (0.07) × ADF | 48 | 11.8 | 0.87 | 0.62 | 2.08 | 0.33 |
| (7) Forage_S | 14.75 (1.00) + 0.10 (0.02) × forage | 48 | 9.9 | 0.73 | 0.39 | 1.28 | 0.61 |
| (8) diet_M | 19.87 (2.38) + 0.08 (0.02) × forage − 0.11 (0.04) × NFC | 48 | 10.4 | 0.76 | 0.42 | 0.01 | 0.58 |
| (9) diet_lac_M | 15.05 (1.52) + 0.08(0.02) × forage + 0.0086 (0.0024) × MFY − 0.0089 (0.0030) × MPY | 46 | 7.4 | 0.61 | 0.01 | 0.00 | 0.77 |
| Niu et al. [16] Eq. 1 | 13.8 (0.63) + 0.185 (0.0133) × NDF | 48 | 11.1 | 0.82 | 1.90 | 3.01 | 0.44 |
| Niu et al. [16] Eq. 2 | 15.4 (0.76) − 0.354 (0.0756) × EE + 0.173 (0.0145) × NDF | 48 | 11.7 | 0.86 | 1.95 | 0.33 | 0.39 |
| Niu et al. [16] Eq. 3 | 21.1 (0.77) + 0.105 (0.0081) × ECM + 1.30 (0.077) × MFP − 0.952 (0.1667) × MPP | 46 | 11.4 | 0.93 | 3.86 | 0.07 | 0.25 |
Disclaimer/Publisher’s Note: The statements, opinions and data contained in all publications are solely those of the individual author(s) and contributor(s) and not of MDPI and/or the editor(s). MDPI and/or the editor(s) disclaim responsibility for any injury to people or property resulting from any ideas, methods, instructions or products referred to in the content. |
© 2023 by the authors. Licensee MDPI, Basel, Switzerland. This article is an open access article distributed under the terms and conditions of the Creative Commons Attribution (CC BY) license (https://creativecommons.org/licenses/by/4.0/).
Share and Cite
Marumo, J.L.; LaPierre, P.A.; Van Amburgh, M.E. Enteric Methane Emissions Prediction in Dairy Cattle and Effects of Monensin on Methane Emissions: A Meta-Analysis. Animals 2023, 13, 1392. https://doi.org/10.3390/ani13081392
Marumo JL, LaPierre PA, Van Amburgh ME. Enteric Methane Emissions Prediction in Dairy Cattle and Effects of Monensin on Methane Emissions: A Meta-Analysis. Animals. 2023; 13(8):1392. https://doi.org/10.3390/ani13081392
Chicago/Turabian StyleMarumo, Joyce L., P. Andrew LaPierre, and Michael E. Van Amburgh. 2023. "Enteric Methane Emissions Prediction in Dairy Cattle and Effects of Monensin on Methane Emissions: A Meta-Analysis" Animals 13, no. 8: 1392. https://doi.org/10.3390/ani13081392
APA StyleMarumo, J. L., LaPierre, P. A., & Van Amburgh, M. E. (2023). Enteric Methane Emissions Prediction in Dairy Cattle and Effects of Monensin on Methane Emissions: A Meta-Analysis. Animals, 13(8), 1392. https://doi.org/10.3390/ani13081392

