Giardia duodenalis Colonization Slightly Affects Gut Microbiota and Hematological Parameters in Clinically Healthy Dogs
Abstract
Simple Summary
Abstract
1. Introduction
2. Materials and Methods
2.1. Sample Description
2.2. Giardia and Cryptosporidium spp. Detection and Quantification
2.3. Microbial Community Analyses
2.3.1. DNA Extraction
2.3.2. 16S rRNA Sequencing
2.3.3. Reads Preprocessing and OTU Table Construction
2.4. Hematological and Biochemical Analysis
2.5. Statistical Analyses
2.5.1. Analysis of 16S rRNA Gene
2.5.2. Hematological and BIOCHEMICAL Analyses
3. Results
3.1. Sample Description
3.2. Giardia Detection and Quantification
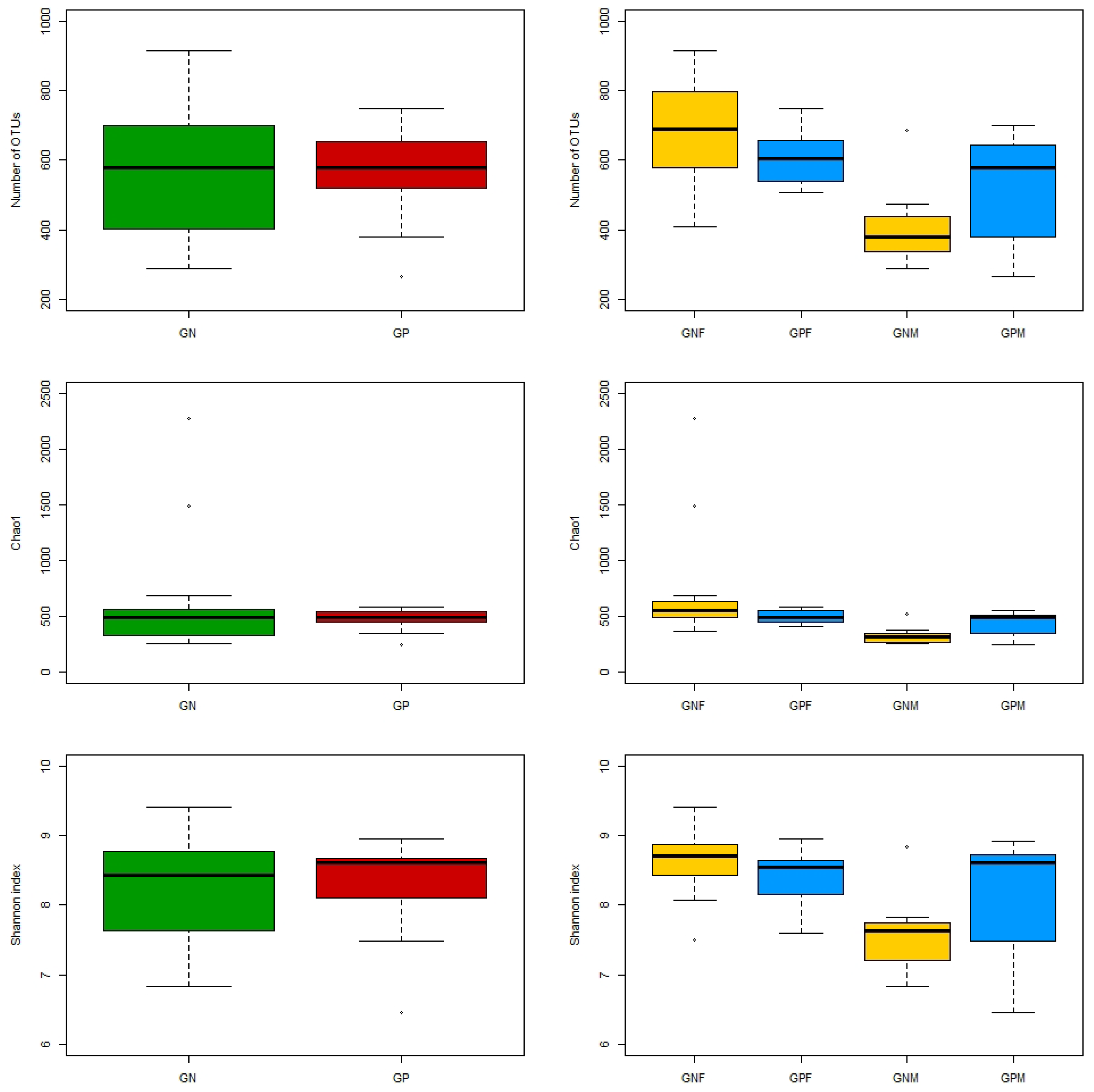
3.3. Effect of Giardia Infection on Gut Microbial Community Ecology
3.4. Hematological and Biochemical Analysis
4. Discussion
5. Conclusions
Supplementary Materials
Author Contributions
Funding
Institutional Review Board Statement
Data Availability Statement
Acknowledgments
Conflicts of Interest
References
- Palmer, C.S.; Traub, R.J.; Robertson, I.D.; Devlin, G.; Rees, R.; Thompson, R.A. Determining the zoonotic significance of Giardia and Cryptosporidium in Australian dogs and cats. Vet. Parasitol. 2008, 154, 142–147. [Google Scholar] [CrossRef] [PubMed]
- Epe, C.; Rehkter, G.; Schnieder, T.; Lorentzen, L.; Kreienbrock, L. Giardia in symptomatic dogs and cats in Europe—Results of a European study. Vet. Parasitol. 2010, 173, 32–38. [Google Scholar] [CrossRef] [PubMed]
- Halliez, M.C.M.; Buret, A.G. Extra-intestinal and long term consequences of Giardia duodenalis infections. World J. Gastro-enterol. 2013, 19, 8974–8985. [Google Scholar] [CrossRef] [PubMed]
- Capelli, G.; di Regalbono, A.F.; Iorio, R.; Pietrobelli, M.; Paoletti, B.; Giangaspero, A. Giardia species and other intestinal parasites in dogs in north-east and central Italy. Vet. Rec. 2006, 159, 422–424. [Google Scholar] [CrossRef]
- Paoletti, B.; Iorio, R.; Capelli, G.; Sparagano, O.A.E.; Giangaspero, A. Epidemiological Scenario of Giardiosis in Dogs from Central Italy. Ann. N. Y. Acad. Sci. 2008, 1149, 371–374. [Google Scholar] [CrossRef]
- Tysnes, K.R.; Skancke, E.; Robertson, L.J. Subclinical Giardia in dogs: A veterinary conundrum relevant to human infection. Trends Parasitol. 2014, 30, 520–527. [Google Scholar] [CrossRef]
- Cotton, J.A.; Beatty, J.K.; Buret, A.G. Host parasite interactions and pathophysiology in Giardia infections. Int. J. Parasitol. 2011, 41, 925–933. [Google Scholar] [CrossRef]
- Bartelt, L.A.; Roche, J.; Kolling, G.; Bolick, D.; Noronha, F.; Naylor, C.; Hoffman, P.; Warren, C.; Singer, S.; Guerrant, R. Persistent G. lamblia impairs growth in a murine malnutrition model. J. Clin. Investig. 2013, 123, 2672–2684. [Google Scholar] [CrossRef]
- Chen, T.-L.; Chen, S.; Wu, H.-W.; Lee, T.-C.; Lu, Y.-Z.; Wu, L.-L.; Ni, Y.-H.; Sun, C.-H.; Yu, W.-H.; Buret, A.G.; et al. Persistent gut barrier damage and commensal bacterial influx following eradication of Giardia infection in mice. Gut Pathog. 2013, 5, 26. [Google Scholar] [CrossRef]
- Singer, S.M.; Nash, T.E. The Role of Normal Flora in Giardia lamblia Infections in Mice. J. Infect. Dis. 2000, 181, 1510–1512. [Google Scholar] [CrossRef]
- Klindworth, A.; Pruesse, E.; Schweer, T.; Peplies, J.; Quast, C.; Horn, M.; Glöckner, F.O. Evaluation of General 16S Ribosomal RNA Gene PCR Primers for Classical and Next-Generation Sequencing-Based Diversity Studies. Nucleic Acids Res. 2013, 41, e1. [Google Scholar] [CrossRef] [PubMed]
- Andrews, S. FastQC: A Quality Control Tool for High Throughput Sequence Data. Babraham Bioinformatics; Babraham Institute: Cambridge, UK, 2010; Available online: http://www.bioinformatics.babraham.ac.uk/projects/fastqc/ (accessed on 9 June 2021).
- Bolyen, E.; Rideout, J.R.; Dillon, M.R.; Bokulich, N.A.; Abnet, C.C.; Al-Ghalith, G.A.; Alexander, H.; Alm, E.J.; Arumugam, M.; Asnicar, F.; et al. Reproducible, interactive, scalable and extensible microbiome data science us-ing QIIME 2. Nat. Biotechnol. 2019, 37, 852–857. [Google Scholar] [CrossRef] [PubMed]
- Callahan, B.J.; Mcmurdie, P.J.; Rosen, M.J.; Han, A.W.; Johnson, A.J.A.; Holmes, S.P. DADA2: High-resolution sample inference from Illumina amplicon data. Nat. Methods 2016, 13, 581–583. [Google Scholar] [CrossRef]
- DeSantis, T.Z.; Hugenholtz, P.; Larsen, N.; Rojas, M.; Brodie, E.L.; Keller, K.; Huber, T.; Dalevi, D.; Hu, P.; Andersen, G.L. Greengenes, 406 a chimera-checked 16S rRNA gene database and workbench compatible with ARB. Appl. Environ. Microbiol. 2006, 72, 5069–5072. [Google Scholar] [CrossRef] [PubMed]
- R Core Team (2020)—European Environment Agency. Available online: https://www.eea.europa.eu/data-and410maps/indicators/oxygen-consuming-substances-in-rivers/r-development-core-team-2006 (accessed on 23 June 2021).
- Pang, Z.; Chong, J.; Zhou, G.; de Lima Morais, D.A.; Chang, L.; Barrette, M.; Gauthier, C.; Jacques, P.-É.; Li, S.; Xia, J. MetaboAnalyst 5.0: Narrowing the gap between raw spectra and functional insights. Nucleic Acids Res. 2021, 49, W388–W396. [Google Scholar] [CrossRef] [PubMed]
- Benjamini, Y.; Hochberg, Y. Controlling the False Discovery Rate: A Practical and Powerful Approach to Multiple Testing. J. R. Stat. Soc. Ser. B Methodol. 1995, 57, 289–300. [Google Scholar] [CrossRef]
- Estaki, M.; Jiang, L.; Bokulich, N.A.; McDonald, D.; González, A.; Kosciolek, T.; Martino, C.; Zhu, Q.; Birmingham, A.; Vázquez-Baeza, Y.; et al. QIIME 2 Enables Comprehensive End-to-End Analysis of Diverse Microbiome Data and Comparative Studies with Publicly Available Data. Curr. Protoc. Bioinform. 2020, 70, e100. [Google Scholar] [CrossRef] [PubMed]
- Li, W. Volcano plots in analyzing differential expressions with mrna microarrays. J. Bioinform. Comput. Biol. 2012, 10, 1231003. [Google Scholar] [CrossRef]
- Brereton, R.G.; Lloyd, G.R. Partial least squares discriminant analysis: Taking the magic away. J. Chemom. 2014, 28, 213–225. [Google Scholar] [CrossRef]
- Šlapeta, J.; Dowd, S.; Alanazi, A.D.; Westman, M.E.; Brown, G.K. Differences in the faecal microbiome of non-diarrhoeic clinically healthy dogs and cats associated with Giardia duodenalis infection: Impact of hookworms and coccidia. Int. J. Parasitol. 2015, 45, 585–594. [Google Scholar] [CrossRef]
- Lee, N.N.; A Bidot, W.; Ericsson, A.C.; Franklin, C.L. Effects of Giardia lamblia Colonization and Fenbendazole Treatment on Canine Fecal Microbiota. J. Am. Assoc. Lab. Anim. Sci. 2020, 59, 423–429. [Google Scholar] [CrossRef] [PubMed]
- Berry, A.S.F.; Johnson, K.; Martins, R.; Sullivan, M.C.; Amorim, C.F.; Putre, A.; Scott, A.; Wang, S.; Lindsay, B.; Baldassano, R.N.; et al. Natural Infection with Giardia Is Associated with Altered Community Structure of the Human and Canine Gut Microbiome. Msphere 2020, 5, e00670-20. [Google Scholar] [CrossRef]
- Fujishiro, M.A.; Lidbury, J.A.; Pilla, R.; Steiner, J.M.; Lappin, M.R.; Suchodolski, J.S. Evaluation of the effects of anthelmintic administration on the fecal microbiome of healthy dogs with and without subclinical Giardia spp. and Cryptosporidium canis infections. PLoS ONE 2020, 15, e0228145. [Google Scholar] [CrossRef] [PubMed]
- Ballweber, L.R.; Xiao, L.; Bowman, D.D.; Kahn, G.; Cama, V.A. Giardiasis in dogs and cats: Update on epidemiology and public health signif-icance. Trends Parasitol. 2010, 26, 180–189. [Google Scholar] [CrossRef] [PubMed]
- Mundim, M.J.S.; Rosa, L.A.G.; Hortêncio, S.M.; Faria, E.; Rodrigues, R.; Cury, M. Prevalence of Giardia duodenalis and Cryptosporidium spp. in dogs from different living conditions in Uberlândia, Brazil. Vet. Parasitol. 2007, 144, 356–359. [Google Scholar] [CrossRef]
- Huber, F.; Bomfim, T.C.B.; Gomes, R. Comparison between natural infection by Cryptosporidium sp., Giardia sp. in dogs in two living situations in the West Zone of the municipality of Rio de Janeiro. Vet. Parasitol. 2005, 130, 69–72. [Google Scholar] [CrossRef]
- Uiterwijk, M.; Nijsse, R.; Kooyman, F.N.J.; Wagenaar, J.A.; Mughini-Gras, L.; Ploeger, H.W. Host factors associated with Giardia duodenalis infection in dogs across multiple diagnostic tests. Parasites Vectors 2019, 12, 556. [Google Scholar] [CrossRef]
- Claerebout, E.; Casaert, S.; Dalemans, A.-C.; De Wilde, N.; Levecke, B.; Vercruysse, J.; Geurden, T. Giardia and other intestinal parasites in different dog populations in Northern Belgium. Vet. Parasitol. 2009, 161, 41–46. [Google Scholar] [CrossRef]
- Bouzid, M.; Halai, K.; Jeffreys, D.; Hunter, P.R. The prevalence of Giardia infection in dogs and cats, a systematic review and meta-analysis of prevalence studies from stool samples. Vet. Parasitol. 2015, 207, 181–202. [Google Scholar] [CrossRef]
- Mircean, V.; Györke, A.; Cozma, V. Prevalence and risk factors of Giardia duodenalis in dogs from Romania. Vet. Parasitol. 2012, 184, 325–329. [Google Scholar] [CrossRef]
- Dhanabal, J.; Selvadoss, P.P.; Muthuswamy, K. Comparative Study of the Prevalence of Intestinal Parasites in Low Socioeconomic Areas from South Chennai, India. J. Parasitol. Res. 2014, 2014, 630968. [Google Scholar] [CrossRef] [PubMed]
- Partida-Rodríguez, O.; Serrano-Vázquez, A.; Nieves-Ramírez, M.E.; Moran, P.; Rojas-Velázquez, L.; Portillo, T.; González, E.; Hernandez, E.G.; Finlay, B.B.; Ximenez, C. Human Intestinal Microbiota: Interaction Between Parasites and the Host Immune Response. Arch. Med. Res. 2017, 48, 690–700. [Google Scholar] [CrossRef] [PubMed]
- Fekete, E.; Allain, T.; Siddiq, A.; Sosnowski, O.; Buret, A.G. Giardia spp. and the Gut Microbiota: Dangerous Liaisons. Front. Microbiol. 2021, 11, 618106. [Google Scholar] [CrossRef] [PubMed]
- Barash, N.R.; Maloney, J.G.; Singer, S.M.; Dawson, S.C. Giardia Alters Commensal Microbial Diversity throughout the Murine Gut. Infect. Immun. 2017, 85, e00948-16. [Google Scholar] [CrossRef] [PubMed]
- Chen, W.; Liu, F.; Ling, Z.; Tong, X.; Xiang, C. Human Intestinal Lumen and Mucosa-Associated Microbiota in Patients with Colorectal Cancer. PLoS ONE 2012, 7, e39743. [Google Scholar] [CrossRef]
- Zhu, Q.; Jin, Z.; Wu, W.; Gao, R.; Guo, B.; Gao, Z.; Yang, Y.; Qin, H. Analysis of the Intestinal Lumen Microbiota in an Animal Model of Colorectal Cancer. PLoS ONE 2014, 9, e90849. [Google Scholar] [CrossRef]
- Zschaler, J.; Schlorke, D.; Arnhold, J. Differences in Innate Immune Response between Man and Mouse. Crit. Rev. Immunol. 2014, 34, 433–454. [Google Scholar] [CrossRef]
- Nguyen, T.L.A.; Vieira-Silva, S.; Liston, A.; Raes, J. How informative is the mouse for human gut microbiota research? Dis. Model. Mech. 2015, 8, 1–16. [Google Scholar] [CrossRef]
- Erysipelotrichaceae—An Overview|ScienceDirect Topics. Available online: https://www.sciencedirect.com/topics/biochemistry-genetics-and-molecular483biology/erysipelotrichaceae (accessed on 9 June 2021).
- Martínez, I.; Perdicaro, D.J.; Brown, A.W.; Hammons, S.; Carden, T.J.; Carr, T.P.; Eskridge, K.M.; Walter, J. Diet-Induced Alterations of Host Cholesterol Metabolism Are Likely To Affect the Gut Microbiota Composition in Hamsters. Appl. Environ. Microbiol. 2013, 79, 516–524. [Google Scholar] [CrossRef]
- Wu, J.; Liu, M.; Zhou, M.; Wu, L.; Yang, H.; Huang, L.; Chen, C. Isolation and genomic characterization of five novel strains of Erysipelotrichaceae from commercial pigs. BMC Microbiol. 2021, 21, 125. [Google Scholar] [CrossRef]
- Kaakoush, N.O. Insights into the Role of Erysipelotrichaceae in the Human Host. Front. Cell. Infect. Microbiol. 2015, 5, 84. [Google Scholar] [CrossRef] [PubMed]
- Kong, Y.; Olejar, K.J.; On, S.L.W.; Helikani, V. The potential of Lactobacillus spp. for modulating oxidative stress in the gas-trointestinal tract. Antioxidants 2020, 9, 610. [Google Scholar] [CrossRef] [PubMed]
- Shukla, G.; Devi, P.; Sehgal, R. Effect of Lactobacillus casei as a Probiotic on Modulation of Giardiasis. Dig. Dis. Sci. 2008, 53, 2671–2679. [Google Scholar] [CrossRef]
- Yichoy, M.; Duarte, T.T.; DE Chatterjee, A.; Mendez, T.L.; Aguilera, K.Y.; Roy, D.; Roychowdhury, S.; Aley, S.B.; DAS, S. Lipid metabolism in Giardia: A post497 genomic perspective. Parasitology 2021, 138, 267–278. [Google Scholar] [CrossRef] [PubMed]
- Riba, A.; Hassani, K.; Walker, A.; van Best, N.; von Zeschwitz, D.; Anslinger, T.; Sillner, N.; Rosenhain, S.; Eibach, D.; Maiga-Ascofaré, O.; et al. Disturbed gut microbiota and bile homeostasis in Giardia-infected mice contributes to metabolic dysregulation and growth impairment. Sci. Transl. Med. 2020, 12, eaay7019. [Google Scholar] [CrossRef] [PubMed]
- Lagunas-Rangel, F.A.; Yee, J.; Bermúdez-Cruz, R.M. An update on cell division of Giardia duodenalis trophozoites. Microbiol. Res. 2021, 250, 126807. [Google Scholar] [CrossRef]
- Halliday, C.E.W.; Inge, P.M.G.; Farthing, M.J.G. Characterization of bile salt uptake by Giardia lamblia. Int. J. Parasitol. 1995, 25, 1089–1097. [Google Scholar] [CrossRef]
- Farthing, M.J.G. Pathogenesis of giardiasis. Trans. R. Soc. Trop. Med. Hyg. 1993, 87, 17–21. [Google Scholar] [CrossRef]
- Heilmann, R.M.; Steiner, J.M. Clinical utility of currently available biomarkers in inflammatory enteropathies of dogs. J. Vet. Intern. Med. 2018, 32, 1495–1508. [Google Scholar] [CrossRef]





| Groups | GP | GN | GPF | GPM | GNF | GNM |
|---|---|---|---|---|---|---|
| N.OTUs | 2112 | 4863 | 754 | 652 | 3462 | 640 |
| ID | Phylum | Class | Order | Group |
|---|---|---|---|---|
| GN vs. GP | ||||
| 158 | Bacteroidetes | Bacteroidia | Bacteroidales | GP |
| 443 | Bacteroidetes | Bacteroidia | Bacteroidales | GP |
| GNF vs. GPF | ||||
| 147 | Firmicutes | Erysipelotrichi | Erysipelotrichales | GPF |
| 463 | Bacteroidetes | Bacteroidia | Bacteroidales | GPF |
| GNM vs. GPM | ||||
| 56 | Firmicutes | Clostridia | Clostridiales | GNM |
| GNF vs. GNM | ||||
| 45 | Proteobacteria | Betaproteobacteria | Burkholderiales | GNF |
| 52 | Proteobacteria | Betaproteobacteria | Burkholderiales | GNF |
| 56 | Firmicutes | Clostridia | Clostridiales | GNM |
| GPF vs. GPM | ||||
| 885 | Firmicutes | Clostridia | Clostridiales | GPM |
| 124 | Firmicutes | Erysipelotrichi | Erysipelotrichales | GPM |
| 201 | Firmicutes | Clostridia | Clostridiales | GPM |
| 238 | Firmicutes | Clostridia | Clostridiales | GPM |
| 105 | Firmicutes | Bacilli | Lactobacillales | GPM |
| 613 | Firmicutes | Erysipelotrichi | Erysipelotrichales | GPF |
Disclaimer/Publisher’s Note: The statements, opinions and data contained in all publications are solely those of the individual author(s) and contributor(s) and not of MDPI and/or the editor(s). MDPI and/or the editor(s) disclaim responsibility for any injury to people or property resulting from any ideas, methods, instructions or products referred to in the content. |
© 2023 by the authors. Licensee MDPI, Basel, Switzerland. This article is an open access article distributed under the terms and conditions of the Creative Commons Attribution (CC BY) license (https://creativecommons.org/licenses/by/4.0/).
Share and Cite
Peruzzo, A.; Vascellari, M.; Massaro, A.; Mancin, M.; Stefani, A.; Orsini, M.; Danesi, P.; Petrin, S.; Carminato, A.; Santoro, M.M.; et al. Giardia duodenalis Colonization Slightly Affects Gut Microbiota and Hematological Parameters in Clinically Healthy Dogs. Animals 2023, 13, 958. https://doi.org/10.3390/ani13060958
Peruzzo A, Vascellari M, Massaro A, Mancin M, Stefani A, Orsini M, Danesi P, Petrin S, Carminato A, Santoro MM, et al. Giardia duodenalis Colonization Slightly Affects Gut Microbiota and Hematological Parameters in Clinically Healthy Dogs. Animals. 2023; 13(6):958. https://doi.org/10.3390/ani13060958
Chicago/Turabian StylePeruzzo, Arianna, Marta Vascellari, Andrea Massaro, Marzia Mancin, Annalisa Stefani, Massimiliano Orsini, Patrizia Danesi, Sara Petrin, Antonio Carminato, Michele Matteo Santoro, and et al. 2023. "Giardia duodenalis Colonization Slightly Affects Gut Microbiota and Hematological Parameters in Clinically Healthy Dogs" Animals 13, no. 6: 958. https://doi.org/10.3390/ani13060958
APA StylePeruzzo, A., Vascellari, M., Massaro, A., Mancin, M., Stefani, A., Orsini, M., Danesi, P., Petrin, S., Carminato, A., Santoro, M. M., Speranza, R., Losasso, C., & Capelli, G. (2023). Giardia duodenalis Colonization Slightly Affects Gut Microbiota and Hematological Parameters in Clinically Healthy Dogs. Animals, 13(6), 958. https://doi.org/10.3390/ani13060958

