Illegal and Exploitative Sand-Digging Activities Could Be Managed to Create Suitable Nesting Habitats for Blue-Tailed Bee-Eaters (Merops philippinus)
Abstract
Simple Summary
Abstract
1. Introduction
2. Materials and Methods
2.1. Study Site and Study Animals
2.2. Field Procedure
2.3. Statistical Analyses
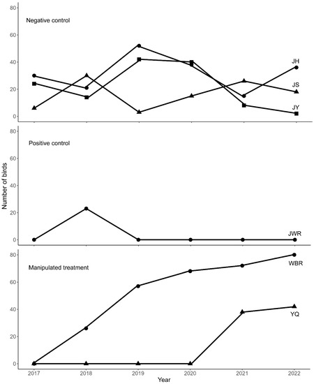
3. Results
4. Discussion
4.1. Sand Digging as an Unpredictable Threat
4.2. Prohibiting Sand Digging as Conventional Conservation
4.3. Manipulated Sand Digging as Conservation Replacement
4.4. Conservation Management and Education
4.5. Perspective and Suggestion
5. Conclusions
Author Contributions
Funding
Institutional Review Board Statement
Informed Consent Statement
Data Availability Statement
Acknowledgments
Conflicts of Interest
References
- Hooper, D.U.; Adair, E.C.; Cardinale, B.J.; Byrnes, J.E.K.; Hungate, B.A.; Matulich, K.L.; Gonzalez, A.; Duffy, J.E.; Gamfeldt, L.; O’Connor, M.I. Aglobal synthesis reveals biodiversity loss as amajor driver of ecosystem change. Nature 2012, 486, 105–108. [Google Scholar] [CrossRef] [PubMed]
- Berry, N.J.; Phillips, O.L.; Lewis, S.L.; Hill, J.K.; Edwards, D.P.; Tawatao, N.B. The high value of logged tropical forests: Lessons from northern Borneo. Biodiv. Conservat. 2010, 19, 985–997. [Google Scholar] [CrossRef]
- Benítez-López, A.; Alkemade, R.; Schipper, A.M.; Ingram, D.J.; Verweij, P.A.; Eikelboom, J.A.J.; Huijbregts, M.A.J. The impact of hunting on tropical mammal and bird populations. Science 2017, 356, 180–183. [Google Scholar] [CrossRef]
- Lara, C.; Pérez, B.; Castillo-Guevara, C.; Serrano-Meneses, M.A. Niche partitioning among three tree-climbing bird species in subtropical mountain forest sites with different human disturbance. Zool. Stud. 2015, 54, 28. [Google Scholar] [CrossRef]
- Steven, R.; Pickering, C.; Castley, J.G. A review of the impacts of nature based recreation on birds. J. Environ. Manage. 2011, 92, 2287–2294. [Google Scholar] [CrossRef] [PubMed]
- Martín, B.; Delgado, S.; de la Cruz, A.; Tirado, S.; Ferrer, M. Effects of human presence on the long-term trends of migrant and resident shorebirds: Evidence of local population declines. Animal Conservat. 2015, 18, 73–81. [Google Scholar] [CrossRef]
- Robertson, B.A.; Rehage, J.S.; Sih, A. Ecological novelty and the emergence of evolutionary traps. Trends Ecol. Evolut. 2013, 28, 552–560. [Google Scholar] [CrossRef]
- Schlaepfer, M.A.; Runge, M.C.; Sherman, P.W. Ecological and evolutionary traps. Trends Ecol. Evolut. 2002, 17, 474–480. [Google Scholar] [CrossRef]
- Peer, B.D.; Kus, B.E.; Whitfield, M.J.; Hall, L.S.; Rothstein, S.I. Management of the brown-headed cowbird: Implications for endangered species and agricultural damage mitigation. Human Wildlife Interact. 2020, 14, 461–475. [Google Scholar]
- Wilsey, C.B.; Lawler, J.J.; Cimprich, D.; Schumaker, N.H. Dependence of the endangered black-capped Vireo on sustained cowbird management. Conservat. Biol. 2014, 28, 561–571. [Google Scholar] [CrossRef]
- Kus, B.; Whitfield, M. Parasitism, productivity, and population growth: Response of Least Bell’s Vireos (Vireo bellii pusillus) and Southwestern Willow Flycatchers (Empidonax traillii extimus) to cowbird (Molothrus spp.) control. Ornithol. Monogr. 2005, 57, 16–27. [Google Scholar] [CrossRef]
- Heneberg, P.; Šimeček, K. Nesting of European bee-eaters (Merops apiaster) in Central Europe depends on the soil characteristics of nest sites. Biologia 2004, 59, 205–211. [Google Scholar]
- Casas-Crivillé, A.; Valera, F. The European bee-eater (Merops apiaster) as an ecosystem engineer in arid environments. J. Arid Environ. 2005, 60, 227–238. [Google Scholar] [CrossRef]
- Wang, Y.-P.; Siefferman, L.; Wang, Y.-J.; Ding, T.-S.; Chiou, C.-R.; Shieh, B.-S.; Hsu, F.-S.; Yuan, H.-W. Nest site restoration increases the breeding density of blue-tailed bee-eaters. Biol. Conservat. 2009, 142, 1748–1753. [Google Scholar] [CrossRef]
- Urbán, S.; Túri, K.; Vas, Z.; Fuisz, T.I. A successful habitat reconstruction effort, the short history of the European Bee-eater (Merops apiaster) colony at Albertirsa (Hungary). Ornis Hungarica 2013, 21, 47–51. [Google Scholar] [CrossRef]
- Yuan, H.-W.; Burt, D.B.; Wang, L.-P.; Chang, W.-L.; Wang, M.-K.; Chiou, C.-R.; Ding, T.-S. Colony site choice of blue-tailed bee-eaters: Influences of soil, vegetation, and water quality. J. Nat. History 2006, 40, 485–493. [Google Scholar] [CrossRef]
- MacKinnon, J.; Phillipps, K. Guide to the Birds of China; The Commercial Press: Shanghai, China, 2020. [Google Scholar]
- Zheng, G.M. A Checklist on the Classification and Distribution of the Birds of the World; Science Press: Beijing, China, 2002. [Google Scholar]
- Xi, Y.M.; Lu, B.Z.; Zhang, Y.M.; Fujihara, N. Restoration of the Crested Ibis, Nipponia nippon. J. Appl. Anim. Res. 2002, 22, 193–200. [Google Scholar] [CrossRef]
- Hansell, M. Bird Nests and Construction Behaviour; Cambridge Universtiy Press: Cambridage, UK, 2000. [Google Scholar]
- Kola-Olusanya, A. Free-choice environmental education: Understanding where children learn outside of school. Environ. Educat. Res. 2005, 11, 297–307. [Google Scholar] [CrossRef]
- James, J.K.; Williams, T.D. School-based experiential outdoor education: A neglected necessity. J. Exp. Educat. 2017, 40, 58–71. [Google Scholar] [CrossRef]
- Cheng, Y.; Wang, J.; He, X.; Ma, Z. Present status and development of the birdwatching in mainland China. J. East China Normal Unive. 2013, 25, 63–74. [Google Scholar]
- Kobori, H.; Dickinson, J.L.; Washitani, I.; Sakurai, R.; Amano, T.; Komatsu, N.; Kitamura, W.; Takagawa, S.; Koyama, K.; Ogawara, T.; et al. Citizen science: A new approach to advance ecology, education, and conservation. Ecol. Res. 2016, 31, 1–19. [Google Scholar] [CrossRef]
- Sekercioglu, C.H. Impacts of birdwatching on human and avian communities. Environ. Conservat. 2002, 29, 282–289. [Google Scholar] [CrossRef]
- Dresner, M.; Gill, M. Environmental education at summer nature camp. J. Environ. Educat. 1994, 25, 35–41. [Google Scholar] [CrossRef]
- Wilkinson, C.E. Public interest in individual study animals can bolster wildlife conservation. Nat. Ecol. Evolut. 2023; Online ahead of print. [Google Scholar]
- Verschuyla, J.; Riffellb, S.; Millerc, D.; Wigleyd, T.B. Biodiversity response to intensive biomass production from forest thinning in North American forests – A meta-analysis. Forest Ecology and Management 2011, 261, 221–232. [Google Scholar] [CrossRef]
- Burivalova, Z.; Sekercioglu, C.H.; Koh, L.P. Thresholds of logging intensity to maintain tropical forest biodiversity. Current Biology 2014, 24, 1893–1898. [Google Scholar] [CrossRef]




| Study Site | Area (ha) | Group | Description |
|---|---|---|---|
| Jinhui (JH) | 1.0 | Negative control | exploitation by sand digging in 2017–2022 without manipulation |
| Jinshawanyi (JY) | 1.5 | ||
| Jinshawansi (JS) | 2.0 | ||
| Jinshawan Wetland Reserve (JWR) | 4.0 | Positive control | no sand digging in 2017; exploitation by sand digging occurred in 2018 and was then strictly prohibited from 2019 to 2022 |
| Yongqing (YQ) | 1.8 | Manipulated treatment | no sand digging in 2017–2020; manipulated sand digging was performed in 2021 and 2022 |
| Wuyuanhe Bee-eater Reserve (WBR) | 1.2 | no sand digging in 2017; manipulated sand digging was performed in 2018–2022 |
| Posterior Mean of Estimates | Lower 95% CI | Upper 95% CI | P-MCMC | |
|---|---|---|---|---|
| Intercept | 16,989.98 | 2839.90 | 31,363.82 | 0.026 |
| Treatment | −13,481.94 | −21,825.19 | −6083.02 | 0.004 |
| Year | −8.41 | −15.54 | −1.41 | 0.026 |
| Treatment × Year | 6.68 | 3.02 | 10.82 | 0.004 |
| Estimate | S.E. | Z | P | |
|---|---|---|---|---|
| Intercept | 202.40 | 102.58 | 1.97 | 0.049 |
| Group | −342.03 | 63.87 | −5.36 | <0.001 |
| Year | −0.10 | 0.05 | −1.94 | 0.053 |
| Group × Year | 0.17 | 0.03 | 5.35 | <0.001 |
Disclaimer/Publisher’s Note: The statements, opinions and data contained in all publications are solely those of the individual author(s) and contributor(s) and not of MDPI and/or the editor(s). MDPI and/or the editor(s) disclaim responsibility for any injury to people or property resulting from any ideas, methods, instructions or products referred to in the content. |
© 2023 by the authors. Licensee MDPI, Basel, Switzerland. This article is an open access article distributed under the terms and conditions of the Creative Commons Attribution (CC BY) license (https://creativecommons.org/licenses/by/4.0/).
Share and Cite
Yang, C.; Lu, G.; Cai, T.; Yao, X.; Cai, Y. Illegal and Exploitative Sand-Digging Activities Could Be Managed to Create Suitable Nesting Habitats for Blue-Tailed Bee-Eaters (Merops philippinus). Animals 2023, 13, 1112. https://doi.org/10.3390/ani13061112
Yang C, Lu G, Cai T, Yao X, Cai Y. Illegal and Exploitative Sand-Digging Activities Could Be Managed to Create Suitable Nesting Habitats for Blue-Tailed Bee-Eaters (Merops philippinus). Animals. 2023; 13(6):1112. https://doi.org/10.3390/ani13061112
Chicago/Turabian StyleYang, Canchao, Gang Lu, Ting Cai, Xiaogang Yao, and Yan Cai. 2023. "Illegal and Exploitative Sand-Digging Activities Could Be Managed to Create Suitable Nesting Habitats for Blue-Tailed Bee-Eaters (Merops philippinus)" Animals 13, no. 6: 1112. https://doi.org/10.3390/ani13061112
APA StyleYang, C., Lu, G., Cai, T., Yao, X., & Cai, Y. (2023). Illegal and Exploitative Sand-Digging Activities Could Be Managed to Create Suitable Nesting Habitats for Blue-Tailed Bee-Eaters (Merops philippinus). Animals, 13(6), 1112. https://doi.org/10.3390/ani13061112

