Assessment of Stress Caused by Environmental Changes for Improving the Welfare of Laboratory Beagle Dogs
Abstract
Simple Summary
Abstract
1. Introduction
2. Materials and Methods
2.1. Animals
2.2. Housing Environment
2.3. Observation of Clinical Signs and Body Weight with Body Condition Score Measurement
2.4. Cortisol Concentration in Serum Measurement and Blood Tests
2.5. Feed Consumption Measurement
2.6. Steps per Hour Measurement
2.7. Statistical Analyses
3. Results
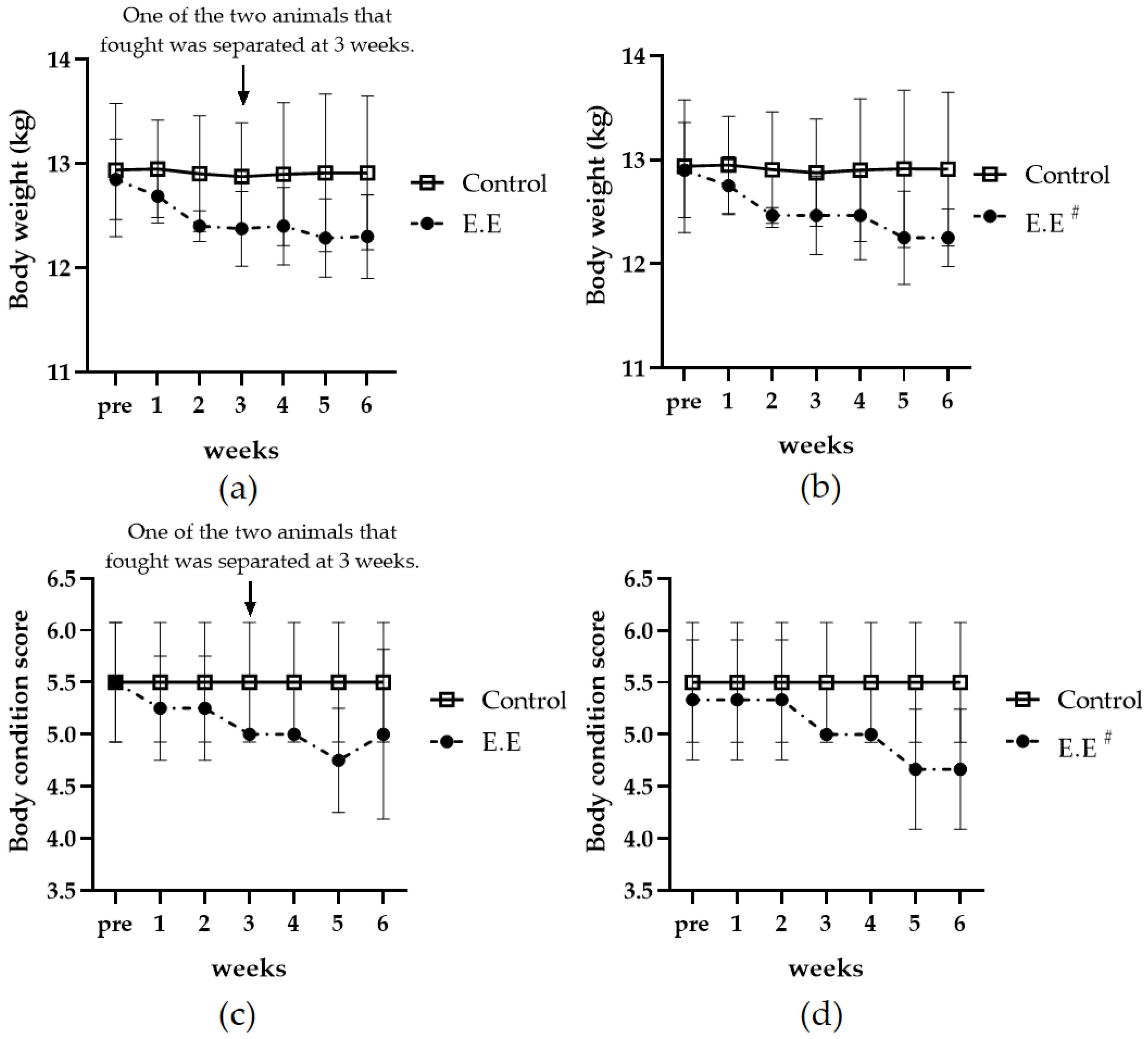
3.1. Clinical Signs and Body Weights with Body Condition Scores
3.2. Steps per Hour Measurement
3.3. Feed Consumption
3.4. Cortisol Concentration in Serum
3.5. Alkaline Phosphatase Activity
4. Discussion
5. Conclusions
Supplementary Materials
Author Contributions
Funding
Institutional Review Board Statement
Informed Consent Statement
Data Availability Statement
Conflicts of Interest
References
- Lazarus, R.S. Psychological stress in the workplace. In Occupational Stress; CRC Press: Boca Raton, FL, USA, 2020; pp. 3–14. [Google Scholar]
- Möstl, E.; Palme, R. Hormones as indicators of stress. Domest. Anim. Endocrinol. 2002, 23, 67–74. [Google Scholar] [CrossRef] [PubMed]
- Lundberg, U. Stress hormones in health and illness: The roles of work and gender. Psychoneuroendocrinology 2005, 30, 1017–1021. [Google Scholar] [CrossRef] [PubMed]
- Le Fevre, M.; Matheny, J.; Kolt, G.S. Eustress, distress, and interpretation in occupational stress. J. Manag. Psychol. 2003, 18, 726–744. [Google Scholar] [CrossRef]
- Wheaton, B.; Montazer, S. Stressors, stress, and distress. In A Handbook for the Study of Mental Health: Social Contexts, Theories, and Systems; Cambridge University Press: Cambridge, UK, 2010; Volume 2, pp. 171–199. [Google Scholar]
- Morgan, K.N.; Tromborg, C.T. Sources of stress in captivity. Appl. Anim. Behav. Sci. 2007, 102, 262–302. [Google Scholar] [CrossRef]
- Rygula, R.; Abumaria, N.; Flügge, G.; Fuchs, E.; Rüther, E.; Havemann-Reinecke, U. Anhedonia and motivational deficits in rats: Impact of chronic social stress. Behav. Brain Res. 2005, 162, 127–134. [Google Scholar] [CrossRef]
- Wickins-Dražilová, D. Zoo animal welfare. J. Agric. Environ. Ethics 2006, 19, 27–36. [Google Scholar] [CrossRef]
- Turner, P.; Berry, J.; MacDonald, S. Animal shelters and animal welfare: Raising the bar. Can. Vet. J. 2012, 53, 893. [Google Scholar]
- Lee, K.H.; Lee, D.W.; Kang, B.C. The ‘R’principles in laboratory animal experiments. Lab. Anim. Res. 2020, 36, 1–3. [Google Scholar] [CrossRef]
- Smith, B. The Dingo Debate: Origins, Behaviour and Conservation; Csiro Publishing: Victoria, Australia, 2015. [Google Scholar]
- Biswas, S.; Wan, K.H. Review of rodent hypertensive glaucoma models. Acta Ophthalmol. 2019, 97, e331–e340. [Google Scholar] [CrossRef]
- Islam, M.S.; Wilson, R.D. Experimentally induced rodent models of type 2 diabetes. Anim. Model. Diabetes Res. 2012, 933, 161–174. [Google Scholar]
- Ginsberg, M.D. The validity of rodent brain-ischemia models is self-evident. Arch. Neurol. 1996, 53, 1065–1067. [Google Scholar] [CrossRef]
- Cai, L.; Xu, H.; Cui, Z. Factors limiting the translatability of rodent model–based intranasal vaccine research to humans. AAPS PharmSciTech 2022, 23, 191. [Google Scholar] [CrossRef] [PubMed]
- Fuller, K.N.; Thyfault, J.P. Barriers in translating preclinical rodent exercise metabolism findings to human health. J. Appl. Physiol. 2021, 130, 182–192. [Google Scholar] [CrossRef]
- Renner, S.; Dobenecker, B.; Blutke, A.; Zoels, S.; Wanke, R.; Ritzmann, M.; Wolf, E. Comparative aspects of rodent and nonrodent animal models for mechanistic and translational diabetes research. Theriogenology 2016, 86, 406–421. [Google Scholar] [CrossRef]
- Son, Y.-W.; Choi, H.-N.; Che, J.-H.; Kang, B.-C.; Yun, J.-W. Advances in selecting appropriate non-rodent species for regulatory toxicology research: Policy, ethical, and experimental considerations. Regul. Toxicol. Pharmacol. 2020, 116, 104757. [Google Scholar] [CrossRef]
- Hein, W.R.; Griebel, P.J. A road less travelled: Large animal models in immunological research. Nat. Rev. Immunol. 2003, 3, 79–84. [Google Scholar] [CrossRef] [PubMed]
- Box, R.J.; Spielmann, H. Use of the dog as non-rodent test species in the safety testing schedule associated with the registration of crop and plant protection products (pesticides): Present status. Arch. Toxicol. 2005, 79, 615–626. [Google Scholar] [CrossRef]
- Protopopova, A. Effects of sheltering on physiology, immune function, behavior, and the welfare of dogs. Physiol. Behav. 2016, 159, 95–103. [Google Scholar] [CrossRef]
- Hennessy, M.B. Using hypothalamic–pituitary–adrenal measures for assessing and reducing the stress of dogs in shelters: A review. Appl. Anim. Behav. Sci. 2013, 149, 1–12. [Google Scholar] [CrossRef]
- Coppola, C.L.; Grandin, T.; Enns, R.M. Human interaction and cortisol: Can human contact reduce stress for shelter dogs? Physiol. Behav. 2006, 87, 537–541. [Google Scholar] [CrossRef] [PubMed]
- Hennessy, M.B.; Willen, R.M.; Schiml, P.A. Psychological stress, its reduction, and long-term consequences: What studies with laboratory animals might teach us about life in the dog shelter. Animals 2020, 10, 2061. [Google Scholar] [CrossRef]
- Carlstead, K.; Shepherdson, D. Alleviating stress in zoo animals with environmental enrichment. In The Biology of Animal Stress: Basic Principles and Implications for Animal Welfare; Cabi Publishing: Wallingford, UK, 2000; pp. 337–354. [Google Scholar]
- Sampaio, R.A.G.; Martins, Y.N.d.F.; Barbosa, F.M.S.; Franco, C.I.Q.; Kobayashi, M.D.; Talieri, I.C. Behavioral assessment of shelter dogs submitted to different methods of environmental enrichment. Ciência Rural 2019, 49, 1–7. [Google Scholar] [CrossRef]
- Wells, D. The influence of toys on the behaviour and welfare of kennelled dogs. Animal Welfare 2004, 13, 367–373. [Google Scholar] [CrossRef]
- Wells, D.L. Sensory stimulation as environmental enrichment for captive animals: A review. Appl. Anim. Behav. Sci. 2009, 118, 1–11. [Google Scholar] [CrossRef]
- Wells, D.L. A review of environmental enrichment for kennelled dogs, Canis familiaris. Appl. Anim. Behav. Sci. 2004, 85, 307–317. [Google Scholar] [CrossRef]
- Taylor, K.; Mills, D. The effect of the kennel environment on canine welfare: A critical review of experimental studies. Anim. Welf. 2007, 16, 435–447. [Google Scholar] [CrossRef]
- Council, N.R. Guide for the Care and Use of Laboratory Animals; The National Academies Press: Washington, DC, USA, 2010. [Google Scholar]
- Chourbaji, S.; Brandwein, C.; Vogt, M.A.; Dormann, C.; Gass, P. Evaluation of effects of previous exposure to an acute stressor before testing for depression-like behaviours in mice. Stress 2008, 11, 170–175. [Google Scholar] [CrossRef] [PubMed]
- Cox, D.A.; Gottschalk, M.G.; Stelzhammer, V.; Wesseling, H.; Cooper, J.D.; Bahn, S. Evaluation of molecular brain changes associated with environmental stress in rodent models compared to human major depressive disorder: A proteomic systems approach. World J. Biol. Psychiatry 2018, 19, S63–S74. [Google Scholar] [CrossRef]
- Stults-Kolehmainen, M.A.; Sinha, R. The effects of stress on physical activity and exercise. Sport. Med. 2014, 44, 81–121. [Google Scholar] [CrossRef]
- Mikkelsen, K.; Stojanovska, L.; Polenakovic, M.; Bosevski, M.; Apostolopoulos, V. Exercise and mental health. Maturitas 2017, 106, 48–56. [Google Scholar] [CrossRef]
- Liao, Z.; Li, D.; Chen, Y.; Li, Y.; Huang, R.; Zhu, K.; Chen, H.; Yuan, Z.; Zheng, X.; Zhao, H. Early moderate exercise benefits myocardial infarction healing via improvement of inflammation and ventricular remodelling in rats. J. Cell. Mol. Med. 2019, 23, 8328–8342. [Google Scholar] [CrossRef]
- Baumann, F.T.; Zopf, E.M.; Nykamp, E.; Kraut, L.; Schüle, K.; Elter, T.; Fauser, A.A.; Bloch, W. Physical activity for patients undergoing an allogeneic hematopoietic stem cell transplantation: Benefits of a moderate exercise intervention. Eur. J. Haematol. 2011, 87, 148–156. [Google Scholar] [CrossRef]
- Chun, J.L.; Bang, H.T.; Ji, S.Y.; Jeong, J.Y.; Kim, M.; Kim, B.; Lee, S.D.; Lee, Y.K.; Reddy, K.E.; Kim, K.H. A simple method to evaluate body condition score to maintain the optimal body weight in dogs. J. Anim. Sci. Technol. 2019, 61, 366. [Google Scholar] [CrossRef]
- Ochi, T.; Nishiura, I.; Tatsumi, M.; Hirano, Y.; Yahagi, K.; Sakurai, Y.; Sudo, Y.; Koyama, H.; Hagita, Y.; Fujimoto, Y. Effects of transport stress on serum alkaline phosphatase activity in beagle dogs. Exp. Anim. 2013, 62, 329–332. [Google Scholar] [CrossRef]
- Fantidis, P. The role of the stress-related anti-inflammatory hormones ACTH and cortisol in atherosclerosis. Curr. Vasc. Pharmacol. 2010, 8, 517–525. [Google Scholar] [CrossRef] [PubMed]
- Lewis, G. Musculoskeletal development of the puppy. Anim. Ther. Mag. 2019, 15, 41–44. [Google Scholar]
- Romero, L.M.; Reed, J.M. Collecting baseline corticosterone samples in the field: Is under 3 min good enough? Comp. Biochem. Physiol. Part A Mol. Integr. Physiol. 2005, 140, 73–79. [Google Scholar] [CrossRef]
- McEwen, B.S.; Gianaros, P.J. Central role of the brain in stress and adaptation: Links to socioeconomic status, health, and disease. Ann. N. Y. Acad. Sci. 2010, 1186, 190–222. [Google Scholar] [CrossRef] [PubMed]
- McEwen, B.S. Central effects of stress hormones in health and disease: Understanding the protective and damaging effects of stress and stress mediators. Eur. J. Pharmacol. 2008, 583, 174–185. [Google Scholar] [CrossRef] [PubMed]
- Gangloff, E.J.; Greenberg, N. Biology of Stress. In Health and Welfare of Captive Reptiles; Springer: Berlin/Heidelberg, Germany, 2023; pp. 93–142. [Google Scholar]
- Hunt, R.L.; Whiteside, H.; Prankel, S. Effects of environmental enrichment on dog behaviour: Pilot study. Animals 2022, 12, 141. [Google Scholar] [CrossRef]
- Albanese, V.; Kuan, M.; Accorsi, P.A.; Berardi, R.; Marliani, G. Evaluation of an enrichment programme for a colony of long-tailed macaques (Macaca fascicularis) in a rescue centre. Primates 2021, 62, 585–593. [Google Scholar] [CrossRef]
- Dallman, M.F.; Pecoraro, N.; Akana, S.F.; La Fleur, S.E.; Gomez, F.; Houshyar, H.; Bell, M.; Bhatnagar, S.; Laugero, K.D.; Manalo, S. Chronic stress and obesity: A new view of “comfort food”. Proc. Natl. Acad. Sci. USA 2003, 100, 11696–11701. [Google Scholar] [CrossRef] [PubMed]
- Oliver, G.; Wardle, J.; Gibson, E.L. Stress and food choice: A laboratory study. Psychosom. Med. 2000, 62, 853–865. [Google Scholar] [CrossRef] [PubMed]
- Dallman, M.F. Stress-induced obesity and the emotional nervous system. Trends Endocrinol. Metab. 2010, 21, 159–165. [Google Scholar] [CrossRef]
- Li, Z.; Liu, Z.; Wang, Y.N.; Kang, Y.J.; Wang, J.F.; Shi, H.N.; Huang, J.Q.; Jiang, L. Effects of heat stress on serum cortisol, alkaline phosphatase activity and heat shock protein 40 and 90β mRNA expression in rainbow trout Oncorhynchus mykiss. Biologia 2016, 71, 109–115. [Google Scholar] [CrossRef]
- Jeong, J.Y.; Lee, D.H.; Kang, S.S. Effects of chronic restraint stress on body weight, food intake, and hypothalamic gene expressions in mice. Endocrinol. Metab. 2013, 28, 288–296. [Google Scholar] [CrossRef] [PubMed]
- Rasooli, A.; Jalali, M.T.; Nouri, M.; Mohammadian, B.; Barati, F. Effects of chronic heat stress on testicular structures, serum testosterone and cortisol concentrations in developing lambs. Anim. Reprod. Sci. 2010, 117, 55–59. [Google Scholar] [CrossRef] [PubMed]
- Fan, Z.; Bian, Z.; Huang, H.; Liu, T.; Ren, R.; Chen, X.; Zhang, X.; Wang, Y.; Deng, B.; Zhang, L. Dietary Strategies for Relieving Stress in Pet Dogs and Cats. Antioxidants 2023, 12, 545. [Google Scholar] [CrossRef]
- Polgár, Z.; Blackwell, E.J.; Rooney, N.J. Assessing the welfare of kennelled dogs—A review of animal-based measures. Appl. Anim. Behav. Sci. 2019, 213, 1–13. [Google Scholar] [CrossRef] [PubMed]
- Corbee, R.J. Obesity in show dogs. J. Anim. Physiol. Anim. Nutr. 2013, 97, 904–910. [Google Scholar] [CrossRef]
- Zeltzman, P.; Johnson, R.A. Walk a Hound, Lose a Pound: How You & Your Dog Can Lose Weight, Stay Fit, and Have Fun; Purdue University Press: West Lafayette, IN, USA, 2011. [Google Scholar]
- Niese, J.R.; Mepham, T.; Nielen, M.; Monninkhof, E.M.; Kroese, F.M.; De Ridder, D.T.; Corbee, R.J. Evaluating the potential benefit of a combined weight loss program in dogs and their owners. Front. Vet. Sci. 2021, 8, 378. [Google Scholar] [CrossRef] [PubMed]
- Veitch, J.; Christian, H.; Carver, A.; Salmon, J. Physical activity benefits from taking your dog to the park. Landsc. Urban Plan. 2019, 185, 173–179. [Google Scholar] [CrossRef]
- Hoffman, C.L.; Ladha, C.; Wilcox, S. An actigraphy-based comparison of shelter dog and owned dog activity patterns. J. Vet. Behav. 2019, 34, 30–36. [Google Scholar] [CrossRef]
- Jones, S.; Dowling-Guyer, S.; Patronek, G.J.; Marder, A.R.; Segurson D’Arpino, S.; McCobb, E. Use of accelerometers to measure stress levels in shelter dogs. J. Appl. Anim. Welf. Sci. 2014, 17, 18–28. [Google Scholar] [CrossRef] [PubMed]
- Denham, H.D.; Bradshaw, J.W.; Rooney, N.J. Repetitive behaviour in kennelled domestic dog: Stereotypical or not? Physiol. Behav. 2014, 128, 288–294. [Google Scholar] [CrossRef] [PubMed]
- Nagasawa, M.; Shibata, Y.; Yonezawa, A.; Morita, T.; Kanai, M.; Mogi, K.; Kikusui, T. The behavioral and endocrinological development of stress response in dogs. Dev. Psychobiol. 2014, 56, 726–733. [Google Scholar] [CrossRef] [PubMed]
- Marx, A.; Lenkei, R.; Fraga, P.P.; Wallis, L.; Kubinyi, E.; Faragó, T. Age-dependent changes in dogs’(Canis familiaris) separation-related behaviours in a longitudinal study. Appl. Anim. Behav. Sci. 2021, 242, 105422. [Google Scholar] [CrossRef]
- Schoon, A.; Berntsen, T.G. Evaluating the effect of early neurological stimulation on the development and training of mine detection dogs. J. Vet. Behav. 2011, 6, 150–157. [Google Scholar] [CrossRef]
- Shaw, J.; Martin, D. Canine and Feline Behavior for Veterinary Technicians and Nurses; John Wiley & Sons: New York, NY, USA, 2014. [Google Scholar]
- Schimmer, B.P.; Funder, J.W. ACTH, adrenal steroids, and pharmacology of the adrenal cortex. In Goodman and Gilman’s The Pharmacological Basis of Therapeutics, 12th ed.; McGraw-Hill: New York, NY, USA, 2011; pp. 1209–1235. [Google Scholar]
- Creel, S.; Dantzer, B.; Goymann, W.; Rubenstein, D.R. The ecology of stress: Effects of the social environment. Funct. Ecol. 2013, 27, 66–80. [Google Scholar] [CrossRef]
- Van Dalfsen, J.H.; Markus, C.R. The influence of sleep on human hypothalamic–pituitary–adrenal (HPA) axis reactivity: A systematic review. Sleep Med. Rev. 2018, 39, 187–194. [Google Scholar] [CrossRef]
- Leistner, C.; Menke, A. Hypothalamic–pituitary–adrenal axis and stress. Handb. Clin. Neurol. 2020, 175, 55–64. [Google Scholar] [PubMed]
- Singh, M. Stress response and anaesthesia altering the peri and post-operative management. Indian J. Anaesth. 2003, 47, 427–434. [Google Scholar]
- Clay, L.; Paterson, M.B.; Bennett, P.; Perry, G.; Phillips, C.C. Do behaviour assessments in a shelter predict the behaviour of dogs post-adoption? Animals 2020, 10, 1225. [Google Scholar] [CrossRef]
- Holland, K.E.; Owczarczak-Garstecka, S.C.; Anderson, K.L.; Casey, R.A.; Christley, R.M.; Harris, L.; McMillan, K.M.; Mead, R.; Murray, J.K.; Samet, L. “More attention than usual”: A thematic analysis of dog ownership experiences in the UK during the first COVID-19 lockdown. Animals 2021, 11, 240. [Google Scholar] [CrossRef]
- Lind, A.-K.; Hydbring-Sandberg, E.; Forkman, B.; Keeling, L.J. Assessing stress in dogs during a visit to the veterinary clinic: Correlations between dog behavior in standardized tests and assessments by veterinary staff and owners. J. Vet. Behav. 2017, 17, 24–31. [Google Scholar] [CrossRef]
- Lenis Sanin, Y.; Zuluaga Cabrera, A.M.; Tarazona Morales, A.M. Adaptive responses to thermal stress in mammals. Rev. De Med. Vet. 2016, 31, 121–135. [Google Scholar]
- Nejad, J.G.; Lohakare, J.; Son, J.; Kwon, E.; West, J.; Sung, K. Wool cortisol is a better indicator of stress than blood cortisol in ewes exposed to heat stress and water restriction. Animal 2014, 8, 128–132. [Google Scholar] [CrossRef] [PubMed]
- Bradshaw, J.W. The evolutionary basis for the feeding behavior of domestic dogs (Canis familiaris) and cats (Felis catus). J. Nutr. 2006, 136, 1927S–1931S. [Google Scholar] [CrossRef]
- Zimmerman, K.L.; Panciera, D.L.; Panciera, R.J.; Oliver, J.W.; Hoffmann, W.E.; Binder, E.M.; Randall, D.C.; Kinnarney, J.H. Hyperphosphatasemia and concurrent adrenal gland dysfunction in apparently healthy Scottish Terriers. J. Am. Vet. Med. Assoc. 2010, 237, 178–186. [Google Scholar] [CrossRef] [PubMed]
- Kleiman, D.G.; Thompson, K.V.; Baer, C.K. Wild Mammals in Captivity: Principles and Techniques for Zoo Management; University of Chicago Press: Chicago, IL, USA, 2010. [Google Scholar]






Disclaimer/Publisher’s Note: The statements, opinions and data contained in all publications are solely those of the individual author(s) and contributor(s) and not of MDPI and/or the editor(s). MDPI and/or the editor(s) disclaim responsibility for any injury to people or property resulting from any ideas, methods, instructions or products referred to in the content. |
© 2023 by the authors. Licensee MDPI, Basel, Switzerland. This article is an open access article distributed under the terms and conditions of the Creative Commons Attribution (CC BY) license (https://creativecommons.org/licenses/by/4.0/).
Share and Cite
Lee, G.-H.; Jo, W.; Kang, T.-K.; Oh, T.; Kim, K. Assessment of Stress Caused by Environmental Changes for Improving the Welfare of Laboratory Beagle Dogs. Animals 2023, 13, 1095. https://doi.org/10.3390/ani13061095
Lee G-H, Jo W, Kang T-K, Oh T, Kim K. Assessment of Stress Caused by Environmental Changes for Improving the Welfare of Laboratory Beagle Dogs. Animals. 2023; 13(6):1095. https://doi.org/10.3390/ani13061095
Chicago/Turabian StyleLee, Gwang-Hoon, Woori Jo, Tae-Ku Kang, Taeho Oh, and KilSoo Kim. 2023. "Assessment of Stress Caused by Environmental Changes for Improving the Welfare of Laboratory Beagle Dogs" Animals 13, no. 6: 1095. https://doi.org/10.3390/ani13061095
APA StyleLee, G.-H., Jo, W., Kang, T.-K., Oh, T., & Kim, K. (2023). Assessment of Stress Caused by Environmental Changes for Improving the Welfare of Laboratory Beagle Dogs. Animals, 13(6), 1095. https://doi.org/10.3390/ani13061095

