Nutritional Value of Microalgae and Cyanobacteria Produced with Batch and Continuous Cultivation: Potential Use as Feed Material in Poultry Nutrition
Abstract
:Simple Summary
Abstract
1. Introduction
2. Materials and Methods
2.1. Algae Cultivation and Medium
2.2. Experimental Procedure
2.3. Analytical Methods
2.4. Determination of Fatty Acids and Amino Acids
2.5. Determination of Color Characteristics
2.6. Determination of Growth Kinetic Parameters
2.7. Estimating Energy Used
2.8. Statistical Analyses
3. Results and Discussions
4. Conclusions
Author Contributions
Funding
Institutional Review Board Statement
Informed Consent Statement
Data Availability Statement
Acknowledgments
Conflicts of Interest
References
- Thapa, P. Application of Micro Algae in Poultry Nutrition; a Review. J. Agric. Nat. Resour. 2020, 3, 241–256. [Google Scholar] [CrossRef]
- Coudert, E.; Baéza, E.; Berri, C. Use of Algae in Poultry Production: A Review. World's Poult. Sci. J. 2020, 76, 767–786. [Google Scholar] [CrossRef]
- Schiavone, A.; Chiarini, R.; Marzoni, M.; Castillo, A.; Tassone, S.; Romboli, I. Breast Meat Traits of Muscovy Ducks Fed on a Microalga (Crypthecodinium cohnii) Meal Supplemented Diet. Br. Poult. Sci. 2007, 48, 573–579. [Google Scholar] [CrossRef]
- Uguz, S.; Anderson, G.; Yang, X.; Simsek, E.; Osabutey, A. Cultivation of Scenedesmus Dimorphus with Air Contaminants from a Pig Confinement Building. J. Environ. Manag. 2022, 314, 115129. [Google Scholar] [CrossRef] [PubMed]
- Safafar, H.; Van Wagenen, J.; Møller, P.; Jacobsen, C. Carotenoids, Phenolic Compounds and Tocopherols Contribute to the Antioxidative Properties of Some Microalgae Species Grown on Industrial Wastewater. Mar. Drugs 2015, 13, 7339–7356. [Google Scholar] [CrossRef] [PubMed]
- Ścieszka, S.; Klewicka, E. Algae in Food: A General Review. Crit. Rev. Food Sci. Nutr. 2018, 59, 3538–3547. [Google Scholar] [CrossRef]
- Ljubic, A.; Jacobsen, C.; Holdt, S.L.; Jakobsen, J. Microalgae Nannochloropsis Oceanica as a Future New Natural Source of Vitamin D3. Food Chem. 2020, 320, 126627. [Google Scholar] [CrossRef] [PubMed]
- Saadaoui, I.; Rasheed, R.; Aguilar, A.; Cherif, M.; Al Jabri, H.; Sayadi, S.; Manning, S.R. Microalgal-Based Feed: Promising Alternative Feedstocks for Livestock and Poultry Production. J. Anim. Sci. Biotechnol. 2021, 12, 76. [Google Scholar] [CrossRef]
- Sousa, I.; Gouveia, L.; Batista, A.P.; Raymundo, A.; Bandarra, N.M. Microalgae in Novel Food Products. In Food Chemistry Research Developments; Nova Science Publishers: Hauppauge, NY, USA, 2008; pp. 75–112. [Google Scholar]
- Kotrbáček, V.; Doubek, J.; Doucha, J. The Chlorococcalean Alga Chlorella in Animal Nutrition: A Review. J. Appl. Phycol. 2015, 27, 2173–2180. [Google Scholar] [CrossRef]
- Raja, R.H.S. Dietary Components and Immune Function. In Dietary Components and Immune Function; Watson, R.R., Zibadi, S., Preedy, V.R., Eds.; Springer: London, UK, 2010; pp. 515–527. ISBN 9781607610618. [Google Scholar]
- Madeira, M.S.; Cardoso, C.; Lopes, P.A.; Coelho, D.; Afonso, C.; Bandarra, N.M.; Prates, J.A.M. Microalgae as Feed Ingredients for Livestock Production and Meat Quality: A Review. Livest. Sci. 2017, 205, 111–121. [Google Scholar] [CrossRef]
- Navarro, F.; Forján, E.; Vázquez, M.; Montero, Z.; Bermejo, E.; Castaño, M.Á.; Toimil, A.; Chagüaceda, E.; García-Sevillano, M.Á.; Sánchez, M.; et al. Microalgae as a Safe Food Source for Animals: Nutritional Characteristics of the Acidophilic Microalga Coccomyxa Onubensis. Food Nutr. Res. 2016, 60, 30472. [Google Scholar] [CrossRef] [PubMed]
- Dewi, Y.L.; Yuniza, A.; Sayuti, K.; Nuraini; Mahata, M.E. Fermentation of Sargassum Binderi Seaweed for Lowering Alginate Content of Feed in Laying Hens. J. World’s Poult. Res. 2019, 9, 147–153. [Google Scholar] [CrossRef]
- Verschuere, L.; Rombaut, G.; Sorgeloos, P.; Verstraete, W. Probiotic Bacteria as Biological Control Agents in Aquaculture. Microbiol. Mol. Biol. Rev. 2000, 64, 655–671. [Google Scholar] [CrossRef]
- Camacho, F.; Macedo, A.; Malcata, F. Potential Industrial Applications and Commercialization of Microalgae in the Functional Food and Feed Industries: A Short Review. Mar. Drugs 2019, 17, 312. [Google Scholar] [CrossRef]
- Tibbetts, S.M. The Potential for ‘Next-Generation’, Microalgae-Based Feed Ingredients for Salmonid Aquaculture in Context of the Blue Revolution. In Microalgal Biotechnology; IntechOpen: London, UK, 2018. [Google Scholar] [CrossRef]
- Becker, W. Microalgae in Human and Animal Nutrition. In Handbook of Microalgal Culture; Blackwell Publishing Ltd.: Hoboken, NJ, USA, 2007; pp. 312–351. [Google Scholar]
- Dineshbabu, G.; Goswami, G.; Kumar, R.; Sinha, A.; Das, D. Microalgae–Nutritious, Sustainable Aqua- and Animal Feed Source. J. Funct. Foods 2019, 62, 103545. [Google Scholar] [CrossRef]
- Novoveská, L.; Ross, M.E.; Stanley, M.S.; Pradelles, R.; Wasiolek, V.; Sassi, J.F. Microalgal Carotenoids: A Review of Production, Current Markets, Regulations, and Future Direction. Mar. Drugs 2019, 17, 640. [Google Scholar] [CrossRef]
- Chen, J.; Wang, Y.; Benemann, J.R.; Zhang, X.; Hu, H.; Qin, S. Microalgal Industry in China: Challenges and Prospects. J. Appl. Phycol. 2016, 28, 715–725. [Google Scholar] [CrossRef]
- Vu, M.T.T.; Douëtte, C.; Rayner, T.A.; Thoisen, C.; Nielsen, S.L.; Hansen, B.W. Optimization of Photosynthesis, Growth, and Biochemical Composition of the Microalga Rhodomonas Salina—An Established Diet for Live Feed Copepods in Aquaculture. J. Appl. Phycol. 2016, 28, 1485–1500. [Google Scholar] [CrossRef]
- Osabutey, A.; Haleem, N.; Uguz, S.; Min, K.; Albert, K.; Anderson, G.; Yang, X. Growth of Scenedesmus Dimorphus in Swine Wastewater with versus without Solid–Liquid Separation Pretreatment. Bioresour. Technol. 2023, 369, 128434. [Google Scholar] [CrossRef]
- Kang, J.; Wang, T.; Xin, H.; Wen, Z. A Laboratory Study of Microalgae-Based Ammonia Gas Mitigation with Potential Application for Improving Air Quality in Animal Production Operations. J. Air Waste Manag. Assoc. 2014, 64, 330–339. [Google Scholar] [CrossRef]
- Oxley, D.; Currie, G.C.; Bacic, A. Analysis of Carbohydrate from Glycoproteins. In Purifying Proteins for Proteomics: Purifying Proteins for Proteomics: A Laboratory Manual; Simpson, R.J., Ed.; Cold Spring Harbor Laboratory Press: New York, NY, USA, 2004. [Google Scholar]
- Nateghpour, B.; Kavoosi, G.; Mirakhorli, N. Amino Acid Profile of the Peel of Three Citrus Species and Its Effect on the Combination of Amino Acids and Fatty Acids Chlorella Vulgaris. J. Food Compos. Anal. 2021, 98, 103808. [Google Scholar] [CrossRef]
- Bilgin, Ö.; Çarli, U.; Erdogan, S.; Maviş, M.E.; Gürsu, G.G.; Yilmaz, M. Determination of Amino Acids Composition in Different Tissues of Whiting, Merlangus merlangus euxinus (Nordmann, 1840) from the Black Sea, Turkey. Alınteri Zirai Bilim. Derg. 2019, 34, 142–147. [Google Scholar] [CrossRef]
- Ho, S.H.; Chen, C.Y.; Lee, D.J.; Chang, J.S. Perspectives on Microalgal CO2-Emission Mitigation Systems—A Review. Biotechnol. Adv. 2011, 29, 189–198. [Google Scholar] [CrossRef]
- Hempel, N.; Petrick, I.; Behrendt, F. Biomass Productivity and Productivity of Fatty Acids and Amino Acids of Microalgae Strains as Key Characteristics of Suitability for Biodiesel Production. J. Appl. Phycol. 2012, 24, 1407–1418. [Google Scholar] [CrossRef]
- John, D.M.; Whitton, B.A.; Brook, A.J. The Freshwater Algal Flora of the British Isles: An Identification Guide to Freshwater and Terrestrial Algae. John, D.M., Whitton, B.A., Brook, A.J., Eds.; Cambridge University Press: Cambridge, UK, 2002; 702p, ISBN 0-521-77051-3. [Google Scholar] [CrossRef]
- Becker, W. Microalgae in Human and Animal Nutrition. In Handbook of Microalgal Culture Biotechnology and Applied Phycology; Richmond, A., Ed.; Blackwell Publishing Ltd.: Hoboken, NJ, USA, 2004; pp. 312–351. [Google Scholar]
- Rimber, I.I. Why Is Seaweed so Important? Sam Ratulangi University: Manado, Indonesia, 2007. [Google Scholar]
- Furbeyre, H.; Van Milgen, J.; Mener, T.; Gloaguen, M.; Labussière, E. Effects of Dietary Supplementation with Freshwater Microalgae on Growth Performance, Nutrient Digestibility and Gut Health in Weaned Piglets. Animal 2017, 11, 183–192. [Google Scholar] [CrossRef] [PubMed]
- Bonos, E.; Kasapidou, E.; Kargopoulos, A.; Karampampas, A.; Christaki, E.; Florou-Paneri, P.; Nikolakakis, I. Spirulina as a Functional Ingredient in Broiler Chicken Diets. S. Afr. J. Anim. Sci. 2016, 46, 94. [Google Scholar] [CrossRef]
- Becker, E.W. Microalgae for Human and Animal Nutrition. In Handbook of Microalgal Culture: Applied Phycology and Biotechnology: Second Edition; John Wiley & Sons, Ltd.: Hoboken, NJ, USA, 2013; pp. 461–503. ISBN 9781118567166. [Google Scholar]
- Lum, K.K.; Kim, J.; Lei, X.G. Dual Potential of Microalgae as a Sustainable Biofuel Feedstock and Animal Feed. J. Anim. Sci. Biotechnol. 2013, 4, 53. [Google Scholar] [CrossRef]
- Muys, M.; Sui, Y.; Schwaiger, B.; Lesueur, C.; Vandenheuvel, D.; Vermeir, P.; Vlaeminck, S.E. High Variability in Nutritional Value and Safety of Commercially Available Chlorella and Spirulina Biomass Indicates the Need for Smart Production Strategies. Bioresour. Technol. 2019, 275, 247–257. [Google Scholar] [CrossRef]
- Spolaore, P.; Joannis-Cassan, C.; Duran, E.; Isambert, A. Commercial Applications of Microalgae. J. Biosci. Bioeng. 2006, 101, 87–96. [Google Scholar] [CrossRef]
- Mobin, S.; Alam, F. Some Promising Microalgal Species for Commercial Applications: A Review. Energy Procedia 2017, 110, 510–517. [Google Scholar] [CrossRef]
- Eilam, Y.; Khattib, H.; Pintel, N.; Avni, D. Microalgae—Sustainable Source for Alternative Proteins and Functional Ingredients Promoting Gut and Liver Health. Glob. Chall. 2023, 7, 2200177. [Google Scholar] [CrossRef] [PubMed]
- Christaki, E.; Florou-Paneri, P.; Bonos, E. Microalgae: A Novel Ingredient in Nutrition. Int. J. Food Sci. Nutr. 2011, 62, 794–799. [Google Scholar] [CrossRef] [PubMed]
- De Morais, M.G.; Vaz, B.D.S.; De Morais, E.G.; Costa, J.A.V. Biologically Active Metabolites Synthesized by Microalgae. Biomed Res. Int. 2015, 2015, 835761. [Google Scholar] [CrossRef]
- Rodolfi, L.; Zittelli, G.C.; Bassi, N.; Padovani, G.; Biondi, N.; Bonini, G.; Tredici, M.R. Microalgae for Oil: Strain Selection, Induction of Lipid Synthesis and Outdoor Mass Cultivation in a Low-Cost Photobioreactor. Biotechnol. Bioeng. 2009, 102, 100–112. [Google Scholar] [CrossRef] [PubMed]
- Perečinec, M.G.; Babić, S.; Čižmek, L.; Selmani, A.; Popović, N.T.; Sikirić, M.D.; Strunjak-Perović, I.; Čož-Rakovac, R. Selenite as a Lipid Inductor in Marine Microalga Dunaliella Tertiolecta: Comparison of One-Stage and Two-Stage Cultivation Strategies. Appl. Biochem. Biotechnol. 2022, 194, 930–949. [Google Scholar] [CrossRef]
- Yaakob, M.A.; Mohamed, R.M.S.R.; Al-Gheethi, A.; Ravishankar, G.A.; Ambati, R.R. Influence of Nitrogen and Phosphorus on Microalgal Growth, Biomass, Lipid, and Fatty Acid Production: An Overview. Cells 2021, 10, 393. [Google Scholar] [CrossRef]
- Kilham, S.S.; Kreeger, D.A.; Goulden, C.E.; Lynn, S.G. Effects of Nutrient Limitation on Biochemical Constituents of Ankistrodesmus Falcatus. Freshw. Biol. 1997, 38, 591–596. [Google Scholar] [CrossRef]
- Juneja, A.; Ceballos, R.M.; Murthy, G.S. Effects of Environmental Factors and Nutrient Availability on the Biochemical Composition of Algae for Biofuels Production: A Review. Energies 2013, 6, 4607–4638. [Google Scholar] [CrossRef]
- Gordillo, F.J.L.; Goutx, M.; Figueroa, F.L.; Niell, F.X. Effects of Light Intensity, CO2 and Nitrogen Supply on Lipid Class Composition of Dunaliella Viridis. J. Appl. Phycol. 1998, 10, 135–144. [Google Scholar] [CrossRef]
- Cassani, L.; Lourenço-Lopes, C.; Barral-Martinez, M.; Chamorro, F.; Garcia-Perez, P.; Simal-Gandara, J.; Prieto, M.A. Thermochemical Characterization of Eight Seaweed Species and Evaluation of Their Potential Use as an Alternative for Biofuel Production and Source of Bioactive Compounds. Int. J. Mol. Sci. 2022, 23, 2355. [Google Scholar] [CrossRef] [PubMed]
- Brown, M.R. Nutritional Value and Uses of Microalgae in Aquaculture. Aquaculture 2002, 10, 59–78. [Google Scholar] [CrossRef]
- Pratoomyot, J.; Srivilas, P.; Noiraksar, T. Fatty Acids Composition of 10 Microalgal Species. Songklanakarin J. Sci. Technol. 2005, 27, 1179–1187. [Google Scholar]
- De Caterina, R. N–3 Fatty Acids in Cardiovascular Disease. N. Engl. J. Med. 2011, 364, 2439–2450. [Google Scholar] [CrossRef]
- Bird, J.K.; Calder, P.C.; Eggersdorfer, M. The Role of N-3 Long Chain Polyunsaturated Fatty Acids in Cardiovascular Disease Prevention, and Interactions with Statins. Nutrients 2018, 10, 775. [Google Scholar] [CrossRef]
- Simopoulos, A.P. The Importance of the Ratio of Omega-6/Omega-3 Essential Fatty Acids. Biomed. Pharmacother. 2002, 56, 365–379. [Google Scholar] [CrossRef]
- Appolinário, P.P.; Derogis, P.B.M.C.; Yamaguti, T.H.; Miyamoto, S. Metabolismo, Oxidação e Implicações Biológicas Do Ácido Docosahexaenoico Em Doenças Neurodegenerativas. Quim. Nova 2011, 34, 1409–1416. [Google Scholar] [CrossRef]
- Keegan, J.D.; Currie, D.; Knox, A.; Moran, C.A. Redressing the Balance: Including DHA-Rich Aurantiochytrium Limacinum in Broiler Diets Increases Tissue Omega-3 Fatty Acid Content and Lowers the n-6:N-3 Ratio. Br. Poult. Sci. 2019, 60, 414–422. [Google Scholar] [CrossRef]
- Wu, Y.B.; Li, L.; Wen, Z.G.; Yan, H.J.; Yang, P.L.; Tang, J.; Xie, M.; Hou, S.S. Dual Functions of Eicosapentaenoic Acid-Rich Microalgae: Enrichment of Yolk with n-3 Polyunsaturated Fatty Acids and Partial Replacement for Soybean Meal in Diet of Laying Hens. Poult. Sci. 2019, 98, 350–357. [Google Scholar] [CrossRef]
- Petrolli, T.G.; Petrolli, O.J.; Pereira, A.S.C.; Zotti, C.A.; Romani, J.; Villani, R.; Leite, F.; Zanandréa, F.M. Effects of the Dietary Supplementation with a Microalga Extract on Broiler Performance and Fatty-Acid Meat Profile. Rev. Bras. Cienc. Avic./Braz. J. Poult. Sci. 2019, 21. [Google Scholar] [CrossRef]
- Burja, A.M.; Banaigs, B.; Abou-Mansour, E.; Grant Burgess, J.; Wright, P.C. Marine Cyanobacteria—A Prolific Source of Natural Products. Tetrahedron 2001, 57, 9347–9377. [Google Scholar] [CrossRef]
- Jacob-Lopes, E.; Maroneze, M.M.; Deprá, M.C.; Sartori, R.B.; Dias, R.R.; Zepka, L.Q. Bioactive Food Compounds from Microalgae: An Innovative Framework on Industrial Biorefineries. Curr. Opin. Food Sci. 2019, 25, 1–7. [Google Scholar] [CrossRef]
- Ahsan, M.; Habib, B.; Parvin, M.; Huntington, T.C.; Hasan, M.R. A Review on Culture, Production and Use of Spirulina as Food for Humans and Feeds for Domestic Animals; FAO: Rome, Italy, 2008. [Google Scholar]
- Wang, Y.; Tibbetts, S.M.; McGinn, P.J. Microalgae as Sources of High-Quality Protein for Human Food and Protein Supplements. Foods 2021, 10, 3002. [Google Scholar] [CrossRef] [PubMed]
- Baiao, N.C.; Mendez, J.; Mateos, J.; García, M.; Mateos, G.G. Pigmenting Efficacy of Several Oxycarotenoids on Egg Yolk. J. Appl. Poult. Res. 1999, 8, 472–479. [Google Scholar] [CrossRef]
- Omri, B.; Amraoui, M.; Tarek, A.; Lucarini, M.; Durazzo, A.; Cicero, N.; Santini, A.; Kamoun, M. Arthrospira platensis (Spirulina) Supplementation on Laying Hens’ Performance: Eggs Physical, Chemical, and Sensorial Qualities. Foods 2019, 8, 386. [Google Scholar] [CrossRef]
- Toyomizu, M.; Sato, K.; Taroda, H.; Kato, T.; Akiba, Y. Effects of Dietary Spirulina on Meat Colour in Muscle of Broiler Chickens. Br. Poult. Sci. 2010, 42, 197–202. [Google Scholar] [CrossRef] [PubMed]
- Altmann, B.A.; Neumann, C.; Velten, S.; Liebert, F.; Mörlein, D. Meat Quality Derived from High Inclusion of a Micro-Alga or Insect Meal as an Alternative Protein Source in Poultry Diets: A Pilot Study. Foods 2018, 7, 34. [Google Scholar] [CrossRef]
- Acién, F.G.; Fernández, J.M.; Magán, J.J.; Molina, E. Production Cost of a Real Microalgae Production Plant and Strategies to Reduce It. Biotechnol. Adv. 2012, 30, 1344–1353. [Google Scholar] [CrossRef]




| Condition Items | Treatment PBRs (Batch and Continuous Culture) | Inoculum PBRs (Batch Culture) |
|---|---|---|
| Photobioreactor | The flat-plate reactor, 10 L | The flat-plate reactor, 10 L |
| Temperature (°C) | 24 ± 2 | 24 ± 2 |
| pH | 7.0 ± 0.2 | 7.0 ± 0.2 |
| Medium | Bold Basal Medium | Bold Basal Medium |
| CO2 supply | 1200 ppm | Air |
| Light intensity | 180–200 µmol m−2 s−1 | 60–80 µmol m−2 s−1 |
| Cultivation period | 7 days | 7 days |
| Algae/ Cultivation Mode | Scendesmus sp. | Ankistodesmus sp. | Synechococcaceae | SEM | p-Value | |||
|---|---|---|---|---|---|---|---|---|
| Batch | Continuous | Batch | Continuous | Batch | Continuous | |||
| Dry biomass concentration (g L−1) | 0.97 ± 0.04 a | 0.57 ± 0.22 c | 0.76 ± 0.03 b | 0.58 ± 0.02 bc | 0.3 ± 0.1 d | 0.25 ± 0.06 d | 0.03 | 0.0001 * |
| Dry biomass productivity (mg L−1 d−1) | 230.7 ± 10.6 a | 180.9 ± 22.4 ab | 164.2 ± 7.1 ab | 114.2 ± 5.5 bc | 119.0 ± 35.9 bc | 71.4 ± 28.6 c | 15.1 | 0.0131 * |
| Carbohydrate content (%) | 50.1 ± 3.0 b | 57.2 ± 1.9 a | 17.2 ± 1.7 c | 12.1 ± 0.3 d | 7.9 ± 0.3 e | 6.3 ± 0.1 e | 0.53 | 0.0001 * |
| Carbohydrate productivity (mg L−1 d−1) | 115.7 ± 9.8 a | 104.0 ± 5.9 a | 28.2 ± 2.0 b | 13.8 ± 0.23 b | 9.2 ± 1.6 b | 4.5 ± 1.8 b | 3.1 | 0.0002 * |
| Protein content (%) | 15.6 ± 0.9 e | 17.5 ± 0.5 d | 16.9 ± 0.3 d | 22.0 ± 0.1 b | 20.4 ± 0.1 c | 25.6 ± 0.4 a | 0.24 | 0.0001 * |
| Protein Productivity (mgL−1 d−1) | 36.0 ± 3.2 a | 31.9 ± 1.8 ab | 27.7 ± 1.4 ab | 25.1 ± 1.1 ab | 24.1 ± 1.5 ab | 18.2 ± 1.7 b | 2.87 | 0.0001 * |
| Lipid content (%) | 31.7 ± 0.1 d | 30.8 ± 0.4 e | 31.8 ± 1.1 d | 37.1 ± 0.8 c | 72.4 ± 1.5 a | 51.2 ± 1.3 b | 0.03 | 0.0001 * |
| Lipid productivity (mg L−1 d−1) | 73.1 ± 8.6 ab | 55.7 ± 2.3 abc | 52.2 ± 1.8 bc | 42.4 ± 1.9 bc | 86.2 ± 8.4 a | 36.5 ± 6.7 c | 5.83 | 0.0365 * |
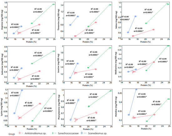
| Main Effects | Arginine | Threonine | Valine | Isoleucine | Leucine | Methionine | Lysine | Phenylalanine | Histidine |
|---|---|---|---|---|---|---|---|---|---|
| Algae species | |||||||||
| Scenedesmus sp. (A1) | 0.71 c | 0.92 b | 0.76 b | 0.38 b | 1.30 b | 0.22 c | 1.06 a | 0.76 b | 0.40 a |
| Ankistrodesmus sp. (A2) | 0.76 b | 0.66 c | 0.60 c | 0.34 c | 1.29 c | 0.26 b | 0.96 c | 0.65 c | 0.32 c |
| Synechococcaceae (A3) | 1.34 a | 1.08 a | 0.97 a | 0.68 a | 1.66 a | 0.36 a | 0.99 b | 0.94 a | 0.36 b |
| SEM | 0.0003 | 0.0004 | 0.002 | 0.0007 | 0.001 | 0.0002 | 0.0002 | 0.004 | 0.0001 |
| Cultivation | |||||||||
| Batch | 0.71 b | 0.67 b | 0.64 b | 0.37 b | 1.24 b | 0.21 b | 0.89 b | 0.67 b | 0.31 b |
| Continuous | 1.16 a | 1.11 a | 0.91 a | 0.56 a | 1.59 a | 0.35 a | 1.12 a | 0.90 a | 0.41 a |
| SEM | 0.0002 | 0.0004 | 0.001 | 0.0006 | 0.001 | 0.0002 | 0.0002 | 0.003 | 0.0001 |
| Algae species× Cultivation modes | |||||||||
| A1 × Batch | 0.57 f | 0.79 d | 0.60 e | 0.29 e | 1.10 f | 0.21 e | 0.93 d | 0.59 e | 0.33 c |
| A2 × Batch | 0.60 e | 0.45 f | 0.54 f | 0.27 f | 1.24 e | 0.21 e | 0.88 e | 0.60 e | 0.31 d |
| A3 × Batch | 0.97 b | 0.75 e | 0.78 c | 0.56 b | 1.38 c | 0.22 d | 0.85 f | 0.82 c | 0.29 e |
| A1 × Continuous | 0.85 d | 1.05 b | 0.92 b | 0.47 c | 1.50 b | 0.23 c | 1.19 a | 0.92 b | 0.47 a |
| A2 × Continuous | 0.91 c | 0.87 c | 0.66 d | 0.42 d | 1.34 d | 0.31 b | 1.04 c | 0.71 d | 0.33 c |
| A3 × Continuous | 1.71 a | 1.41 a | 1.16 a | 0.81 a | 1.94 a | 0.50 a | 1.15 b | 1.07 a | 0.42 b |
| SEM | 0.0003 | 0.0007 | 0.002 | 0.001 | 0.002 | 0.0002 | 0.0003 | 0.006 | 0.0002 |
| p-Values | |||||||||
| Algae species | 0.0001 | 0.0001 | 0.0001 | 0.0001 | 0.0001 | 0.0001 | 0.0001 | 0.0001 | 0.0001 |
| Cultivation modes | 0.0001 | 0.0001 | 0.0001 | 0.0001 | 0.0001 | 0.0001 | 0.0001 | 0.0001 | 0.0001 |
| Algae × Cultivation | 0.0001 | 0.0001 | 0.0001 | 0.0001 | 0.0001 | 0.0001 | 0.0001 | 0.0001 | 0.0001 |
| Main Effects | Serine | Alanine | Proline | Tyrosine | Aspartic Acid | Ornithine | Glutamic Acid | Glycine |
|---|---|---|---|---|---|---|---|---|
| Algae species | ||||||||
| Scenedesmus sp. (A1) | 0.61 b | 1.58 b | 1.09 a | 0.37 c | 1.84 b | 0.11 c | 2.07 b | 1.22 b |
| Ankistrodesmus sp. (A2) | 0.26 c | 1.46 c | 0.94 c | 0.44 b | 1.07 c | 0.13 a | 1.50 c | 0.57 c |
| Synechococcaceae (A3) | 0.74 a | 2.03 a | 0.99 b | 0.88 a | 1.99 a | 0.12 b | 2.78 a | 1.39 a |
| SEM | 0.0001 | 0.001 | 0.00004 | 0.0002 | 0.001 | 0.0001 | 0.001 | 0.001 |
| Cultivation | ||||||||
| Batch | 0.38 b | 1.53 b | 0.96 b | 0.48 b | 1.45 b | 0.123 b | 1.93 b | 1.22 a |
| Continuous | 0.69 a | 1.85 a | 1.06a | 0.65 a | 1.81 a | 0.126 a | 2.30 a | 0.90 b |
| SEM | 0.0001 | 0.001 | 0.00004 | 0.0002 | 0.0009 | 0.0001 | 0.0009 | 0.001 |
| Algae species× Cultivation modes | ||||||||
| A1 × Batch | 0.36 d | 1.41 f | 1.00 c | 0.33 f | 1.42 d | 0.116 e | 1.73 d | 1.15 d |
| A2 × Batch | 0.26 e | 1.50 d | 0.93 f | 0.38 e | 1.01 f | 0.133 a | 1.49 f | 1.13 e |
| A3 × Batch | 0.52 c | 1.68 c | 0.94 e | 0.74 b | 1.91 c | 0.121 d | 2.57 b | 1.37 b |
| A1 × Continuous | 0.86 b | 1.76 b | 1.17 a | 0.40 d | 2.25 a | 0.121 d | 2.42 c | 1.29 c |
| A2 × Continuous | 0.26 f | 1.42 e | 0.94 d | 0.51 c | 1.12 e | 0.132 b | 1.51 e | 0.001 f |
| A3 × Continuous | 0.96 a | 2.38 a | 1.05 b | 1.02 a | 2.06 b | 0.123 c | 2.98 a | 1.41 a |
| SEM | 0.0001 | 0.001 | 0.00007 | 0.0003 | 0.002 | 0.0002 | 0.002 | 0.001 |
| p-Values | ||||||||
| Algae | 0.0001 | 0.0001 | 0.0001 | 0.0001 | 0.0001 | 0.0001 | 0.0001 | 0.0001 |
| Culture | 0.0001 | 0.0001 | 0.0001 | 0.0001 | 0.0001 | 0.0001 | 0.0001 | 0.0001 |
| Algae × Culture | 0.0001 | 0.0001 | 0.0001 | 0.0001 | 0.0001 | 0.0001 | 0.0001 | 0.0001 |
| Main Effects | L* Value | a* Value | b* Value | C*ab Value | α° Value |
|---|---|---|---|---|---|
| Algae species | |||||
| Scenedesmus sp. | 17.8 b | −4.8 | 17.7 a | 18.2 a | 105.2 b |
| Ankistrodesmus sp. | 27.3 a | −4.2 | 19.8 a | 20.3 a | 102.2 c |
| Synechococcaceae | 23.7 a | −4.6 | 5.4 b | 7.3 b | 120.2 a |
| SEM | 1.2 | 0.28 | 1.1 | 1.1 | 0.5 |
| Cultivation | |||||
| Batch | 22.4 | −3.1 a | 13.8 | 14.1 | 103.3 b |
| Continuous | 23.3 | −5.9 b | 14.8 | 16.4 | 115.1 a |
| SEM | 0.9 | 0.2 | 0.9 | 0.9 | 0.4 |
| Algae species × Cultivation modes | |||||
| Scenedesmus sp. × Batch | 21.7 bc | −4.6 b | 17.6 a | 17.9 a | 104.8 bc |
| Ankistrodesmus sp. × Batch | 24.7 bc | −4.1 b | 20.9 a | 21.4 a | 101.1 d |
| Synechococcaceae × Batch | 21 c | −0.7 a | 2.9 c | 2.9 c | 103.9 bc |
| Scenedesmus sp. × Continuous | 13.9 d | −4.9 b | 17.8 a | 18.5 a | 105.6 b |
| Ankistrodesmus sp. × Continuous | 29.6 a | −4.3 b | 18.7 a | 19.2 a | 103.2 cd |
| Synechococcaceae × Continuous | 26.4 ab | −8.4 c | 7.9 b | 11.6 b | 136.5 a |
| SEM | 1.7 | 0.39 | 1.5 | 1.6 | 0.8 |
| p-Values | |||||
| Algae species | <0.0001 | 0.38 | <0.0001 | <0.0001 | <0.0001 |
| Culture | 0.5472 | <0.0001 | 0.44 | 0.087 | <0.0001 |
| Algae × Culture | <0.0003 | <0.0001 | 0.06 | <0.0038 | <0.0001 |
| Economic Estimates of PBR System | |
|---|---|
| Capital Cost | $519.24/PBR |
| Flowmeter_$346.7 (air_$45.7 + CO2_$301) | |
| Air Pump (1.5 Hp 50 Lt–1.1 kW)_$96 | |
| Lighting_$14.68 | |
| Daylight Leds (14.4 W/m)_$3.5/meter | |
| Acrylic Sheets (0.47 m2/each PBR)_$52.8/PBR | |
| Bubble Wall_$5.56 | |
| Batch Cultivation Mode Operating Cost | $0.056 L−1 day−1 |
| Nutrients_$0.02/Lday | |
| Aeration Energy Consumption_$0.034/Lday | |
| Lighting Energy_$0.0024/Lday | |
| Continuous Cultivation Mode Operating Cost | $0.068 L−1 day−1 |
| Nutrients_$0.032/Lday | |
| Aeration Energy Consumption_$0.034/Lday | |
| Lighting Energy_$0.0024/Lday | |
Disclaimer/Publisher’s Note: The statements, opinions and data contained in all publications are solely those of the individual author(s) and contributor(s) and not of MDPI and/or the editor(s). MDPI and/or the editor(s) disclaim responsibility for any injury to people or property resulting from any ideas, methods, instructions or products referred to in the content. |
© 2023 by the authors. Licensee MDPI, Basel, Switzerland. This article is an open access article distributed under the terms and conditions of the Creative Commons Attribution (CC BY) license (https://creativecommons.org/licenses/by/4.0/).
Share and Cite
Uguz, S.; Sozcu, A. Nutritional Value of Microalgae and Cyanobacteria Produced with Batch and Continuous Cultivation: Potential Use as Feed Material in Poultry Nutrition. Animals 2023, 13, 3431. https://doi.org/10.3390/ani13213431
Uguz S, Sozcu A. Nutritional Value of Microalgae and Cyanobacteria Produced with Batch and Continuous Cultivation: Potential Use as Feed Material in Poultry Nutrition. Animals. 2023; 13(21):3431. https://doi.org/10.3390/ani13213431
Chicago/Turabian StyleUguz, Seyit, and Arda Sozcu. 2023. "Nutritional Value of Microalgae and Cyanobacteria Produced with Batch and Continuous Cultivation: Potential Use as Feed Material in Poultry Nutrition" Animals 13, no. 21: 3431. https://doi.org/10.3390/ani13213431
APA StyleUguz, S., & Sozcu, A. (2023). Nutritional Value of Microalgae and Cyanobacteria Produced with Batch and Continuous Cultivation: Potential Use as Feed Material in Poultry Nutrition. Animals, 13(21), 3431. https://doi.org/10.3390/ani13213431

