Simple Summary
Polyunsaturated fatty acids (PUFAs) are well known for their beneficial role in different body systems and their function in mammals. The use of PUFA-ω3 as a feed additive has been investigated with the aim of improving the reproductive and productive performance of different livestock species, but their effects on dairy sheep are scarcely documented. The present study demonstrated that in milking ewes, dietary supplementation of bypass linseed oil (LO; rich in alpha-linolenic acid/ALA) modified the lipidic metabolic status, increased milk PUFA composition, and the size of luteal tissue at the onset of maternal recognition of pregnancy (on day 11 after insemination). The present study showed that the use of a bypass LO supplementation during the periconceptional period did not increase the reproductive indexes in ewes. Nevertheless, dietary bypass LO modified the circulating concentrations of lipid metabolites and the milk fatty acid profile, demonstrating its absorption and utilization by body tissues.
Abstract
The aim of the present study was to assess whether the strategic supplementation of bypass LO can enhance reproductive indexes—fertility, lambing rate, and prolificacy—in dairy Sarda ewes at the end of lactation. To assess whether LO supplementation leads to the adsorptions of PUFAs and their subsequent utilization by the body tissues, milk composition and fatty acid content were analyzed. Forty-eight ewes were assigned to the following groups: the control group (CT; N = 24), fed with a control diet without LO; and the treatment group (LO; N = 24), fed with a diet supplemented with LO (10.8 g/ewe/day). Both diets had similar crude protein and energy levels and were offered for 38 days (−21 to +17 days after artificial insemination). The trial included an adaptation period (7 days) followed by a regular supplementation (31 days) period. Estrus synchronization was induced in all the ewes using an intravaginal sponge and equine chorionic gonadotropin. Fifty-five hours after pessaries withdrawal, all ewes were inseminated using the cervical route and fresh semen. Cholesterol (p < 0.01), high-density lipoprotein (p < 0.001), and triglyceride (p < 0.05) levels in plasma were higher in the LO group. Plasmatic levels of non-esterified fatty acids were lower in the LO group after the end of the supplementation period (p < 0.05). Milk unsaturated fatty acids (UFAs), monounsaturated fatty acids (MUFAs), total polyunsaturated fatty acids (PUFAs), PUFAs omega 3 (PUFAs-ω3) and 6 (PUFAs-ω6), and trans fatty acids were higher in the LO group (p < 0.001), while saturated fatty acids (SFAs) were higher in the CT group during the supplementation period (p < 0.001). Three days after the end of the supplementation period, the content of milk UFAs (p < 0.05), PUFAs (p < 0.001), MUFAs, and PUFAs-ω6 (p < 0.01) were still higher in the LO group. whereas SFA was higher in the CT group (p < 0.01). There was no difference between groups in terms of ovulation rate, progesterone levels in plasma, fertility rate, prolificacy, and total reproductive wastage. However, the total area of luteal tissue was higher in the LO group (p < 0.01). Results obtained demonstrated that LO supplementation exerts a positive role in corpus luteum size at the onset of the peri-implantation period in Sarda dairy ewes. Additionally, the results obtained in the present study showed that the use of dietary bypass LO affects lipid metabolites in plasma and milk fatty acid profiles, demonstrating the ALA uptake by body tissues.
1. Introduction
During the last decades, the efforts to develop and design green and clean strategies to increase the productivity and sustainably of the livestock sector have markedly increased. Sheep production is an important livestock sector in Europe and other developing countries. Thus, in-depth research studies must be led to design and apply these strategies in this species to guarantee animal welfare, offer healthy products (e.g., milk and meat) for human consumption, and reduce the flock’s operative cost.
In the Mediterranean basin, dairy sheep production usually implies one lambing per ewe. Adult ewes are usually mated at the end of the seasonal anoestrus period (May–June), while they are passing from mid to late lactation (5–6 months of milking). During this period, the pasture usually turns to its productive phase, resulting in a diminishing intake of nutrients and lower nutritive value [1]. Thus, appropriate nutritional supplementation is pivotal to sustain productive performances, as it should be formulated to meet the requirements of both the reproductive and mammary systems to increase the fertility of the flock while sustaining milk production.
Long-chain polyunsaturated fatty acids omega 3 (PUFAs-ω3) and 6 (PUFAs-ω6) are well-known for their beneficial role in different body systems in ruminants. These PUFAs are considered essential because they cannot be synthesized by body tissues in mammals [2]. Alpha-linolenic acid (ALA) has been identified as the most important PUFA-ω3 from plant origin [2,3,4], due to its effects on reproductive indexes and milk quality in dairy cattle [3,5]. The ALA content ranks from 0.6 to 3.2% dry matter in most fresh forages [6]. However, its availability depends on plant maturity, seasonal changes, and the ruminal biohydrogenation process [7]. Flaxseed/linseed oil (LO) is one of the most valuable sources of ALA used as feedstuff in large and small ruminants [3,8]. Its use as a nutraceutical/feed additive is achieved using a protected bypass form to avoid ruminal degradation (biohydrogenation) and guarantee its bioavailability/absorption at the intestinal level [9].
Previous studies have attributed LO (rich in ALA) the capability to increase follicular development and ovulatory rate, as well as fertility rate in dairy cows [10]. In addition, LO has shown a luteotropic effect [11]. However, other studies did not confirm these findings in large and small ruminants, suggesting that additional studies were necessary [3,11].
The use of LO supplementation is thus considered a promising nutraceutical tool to enhance reproductive performances in ruminants with particular reference to dairy cattle [3,11]. Starting from these premises, the aim of the present study was to assess whether the strategic supplementation of bypass LO can enhance reproductive indexes—fertility, lambing rate, and prolificacy—in dairy Sarda ewes at the end of lactation. To assess whether LO supplementation leads to the adsorptions of PUFAs and their subsequent utilization by the body tissues, milk composition and fatty acid content were analyzed.
2. Materials and Methods
The study was carried out from June to July at the “Bonassai” experimental farm belonging to Agris Sardegna, the agricultural research agency of Sardinia, Italy (40°40′24″ North and 8°21′59.4″ East). The experimental procedures were performed according to the rules of the Ethic Committee for Animal Lab Management from the Italian Health Ministry (Authorisation n° 757/2020-PR/ Protocol-E8652.2). The experiment lasted 38 days and was divided into three phases, starting with (1) the adaptation period (PRE period; from day −21 to −15 before fixed artificial insemination, FAI (day 0). During this period, the ewes were familiarized with a new environment and dietary regimens were gradually changed to offer the final diet composition for supplemented and non-supplemented ewes (Table 1). (2) In period 1 (Per1; from day −14 to −1), supplementation of the final diet compositions was before FAI. (3) In period 2 (Per2; from days 0 to +17), supplementation of the final diet compositions was after FAI. Carry-over effects were studied in the post-treatment period (POST; day ≥ +18).
Table 1.
Ingredients and chemical composition of diets fed to Sarda dairy ewes: non-supplemented (CT) and supplemented with bypass linseed oil (LO).
3. Animals
Forty-eight Sarda milking ewes (4.23 ± 0.10 years old) were selected from the farm flock at the very onset of the adaptation period and blocked by age, body weight (BW, kg), body condition score (BCS), milk yield (MY, g/d), and days in milk (DIM, d), and divided into two homogeneous groups. They were allocated in two different pens in the same sheep shed and assigned to the following experimental treatments: the LO-supplemented group (LO; N = 24), which was fed with a diet supplemented with bypass ALA (using bypass LO; SILA™; Verona, Italy; 18% ALA); and the control group (CT; n = 24), which was fed with a control diet without LO.
The ewes were machine-milked once daily between 7:00 and 8:00 a.m.
At the beginning of the experiment (PRE period; on day −21), the groups were undifferentiated for age (CT = 4.35 ± 0.13 years old and LO = 4.10 ± 0.15 years old; p = 0.069), BW (CT = 50.62 ± 0.90 kg; LO = 50.64 ± 1.15 kg; p = 0.989), BCS (CT = 2.83 ± 0.05; LO = 2.87 ± 0.06; p = 0.695), MY (CT = 920.83 ± 71.32 g; LO = 908.33 ± 61.67 g; p = 0.895), and DIM (CT = 203.67 ± 1.62 days; LO = 202.38 ± 1.65 days; p = 0.579).
4. Animal Feeding
Individual concentrate daily supplementation consisted of a mix of pelleted concentrate (300 g) and barley (200 g) in CT ewes, and a mix of pelleted concentrate (200 g), barley (120 g) and bypass LO (60 g) in LO ewes. Concentrate mixes were offered in the milking parlor during milking. In addition, all ewes were group-fed daily in separate troughs with 1000 g of ryegrass (Lolium multiflorum) hay and 600 g of lucerne (Medicago sativa) hay per animal. Both diets were designed to supply similar crude protein and energy levels (isoproteic and isoenergetic diets, (Table 1).
5. Animal Reproduction
From day 14 to day 2 (Per1), all ewes were treated with progestogen (20 mg of fluorogestone acetate, FGA, Chronogest; MSD, France) using intravaginal pessaries left in situ. On day 2, equine chorionic gonadotropin (eCG) was administered (350 IU/ewe; Folligon, MSD, The Netherland) at pessary removal. Fixed-time artificial insemination (FAI) was performed fifty-five hours after pessary removal. All inseminations were carried out by the same experienced operator using the cervical route, using fresh cooled semen from 4 fertile rams. The same number of ewes/group was assigned to each ram.
Fresh semen was obtained from ejaculates collected by an artificial vagina. The ejaculates were immediately placed in a water bath at 30 °C for their evaluation. Total motility, progressive motility, and concentration were evaluated under phase-contrast microscopy at 38 °C on a hot plate by using computer-assisted sperm analysis (CASA) with Ceros II systems evaluation by Hamilton–Thorne. Only ejaculates with total motility ≥ 60%, progressive motility ≥ 30%, and a spermatozoa concentration ≥ 3 × 109/mL were used. Then, the ejaculates from each ram were diluted using an Ovixcell extender (IMV technologies, L’Aingle, France) to obtain a concentration of 1.6 × 109 spermatozoa/mL at 38 °C. After dilution, semen was placed in cold storage at 15 °C for 30 min. Since then, the ejaculates were loaded into 0.25 mL plastic straws obtaining a final insemination dose of 400 million spermatozoa. Then, AI was carried out within 7 h after semen collection [12].
6. Measurements
6.1. Body Weight and Body Condition Score
Body weight (BW) and body condition score (BCS) were measured before feed intake on days −21 (PRE period), −2 (Per1), and 18 (POST period). Body weight was measured using an electronic balance and BCS was measured by a skilled evaluator using a 5-unit scale (1, emaciate to 5, obese), according to Russel et al. [13].
6.2. Diet Intake
Concentrate for each experimental group was offered individually during milking and orts were weighed to calculate concentrate individual intake. Hay and lucerne fed to each group were weighted before feeding and orts were measured 24 h later to calculate the daily intake per group. Individual average intakes of hay and lucerne were calculated by dividing the daily intake per group by the number of ewes assigned to each experimental group. The mineral supplement was offered to each group using mineral blocks. Blocks were weighted each week in each pen and daily individual mineral intake was calculated for each group as follows: total block’s weight pre-post difference/(number of days × number of ewes).
6.3. Ultrasonographic Scanning
Transrectal ultrasonographic scanning was performed to determine the presence, number, and size of corpora lutea (CL) at day 11 post-insemination (Per2). Additionally, it was used to determine the pregnancy at day 28 post-insemination (POST). Ultrasound scanning was performed, as previously described [14], by the same operator, who was blind to group composition. An ultrasonographic machine (Model ProSound 2V, HITACHI-ALOKA Medical Ltd., Mitaka, Japan) fitted with a 7.5 MHz linear array probe (82 mm prostate transducer UST-660-7.5, Aloka Co., Mitaka, Japan) was used. Each ovary was scanned several times from different angles to determine the presence and the number of all CLs. Then, the large image was frozen and the CL area was measured using electronic calipers. Pregnancy diagnosis was determined by the presence of enlargement of uterine horns and an embryo heartbeat [15].
6.4. Milk Yield and Milk and Blood Sampling
Milk yield was measured on day −21 (PRE), −1 (Per1), +12 (Per2), and +20 (POST). Additionally, individual milk samples (10 mL) were collected at the same time milk production was recorded. Samples were stored at 4 °C and analyzed within 4 h after sampling.
Blood samples were collected at fasting (0700 h), right before the milking procedures, on days −21 (PRE), −1 (Per1), +11 (Per2), and +18 (POST). Blood samples were collected using a vacuum collection tube with lithium heparin (VACUTEST KIMA srl—Via dell’Industria 12-35020 Arzergrande-PD-Italy) for the blood metabolites assay. On days 11 (Per1) and 18 (POST), a second blood sample was collected using 10 mL vacuum collection tubes with spray-coated K3 EDTA (VACUTEST KIMA srl—Via dell’Industria 12-35020 Arzergrande-PD-Italy) for the progesterone assay. Immediately after recovery, blood samples were cooled at 4 °C and centrifuged at 1500× g for 15 min. Plasma was removed and stored at −20 °C until assayed.
7. Chemical Analyses
7.1. Progesterone
Progesterone analyses were performed using an Enzyme-Linked Immunosorbent Assay kit (DiaMetra S.R.L., Perugia, Italy), designed to quantify P4 in humans and validated for ovine species [15]. Sensibility, intra-, and inter-assay CV were 0.05 ng/mL, 4, and 9.3%, respectively.
7.2. Blood Metabolites
Samples were analyzed to determine cholesterol (CHOL), triglycerides (TRY), low-density lipoprotein (LDL), high-density lipoprotein (HDL), non-esterified fatty acids (NEFAs), protein (PROT), albumin (ALB), and urea (UREA) levels in the plasma. All measurements were performed using commercial kits (Real Time Diagnostic Systems kits) and a BS-200 Mindray (Adaltis, Milan, Italy) clinical chemistry analyzer (Mindray Medical S.R.L). Serum I Normal (Wako) and Serum II Abnormal (Wako) were used as a multi-control for each measured parameter. Sensibility from different metabolites was 3 mg/dL (for CHOL, and TRY), 2 mg/dL (for LDL and HDL), 0.01 mmol/L, 0.27 g/dL, 0.11 g/dL and 4.9 mg/dL (for NEFA, PROT, ALB, and UREA, respectively). Intra-assay CVs for CHOL, TRY, LDL, HDL, NEFA, PROT, ALB, and UREA were 1.3, 0.99, 1.0, 1.55, 1.07, 2.90, 1.88, and 1.63%, respectively. Inter-assay CVs for CHOL, TRY, LDL, HDL, NEFA, PROT, ALB, and UREA were 1.24, 1.24, 1.6, 1.75, 1.15, 1.92, 1.52, and 1.72%, respectively.
7.3. Milk Analyses
Milk samples were assayed to determine fat, protein (N × 6.38), casein, and lactose using the Fourier-transformed infrared (FTIR) method (Milkoscan FT + Foss Electric, Hillerød, Denmark). Quantification of fatty acids (C4:0, C6:0, C8:0, C10:0, C12:0, C14:0, C16:0, C18:0, C18:1 9c, C18:2 9c 12c, C18:2 9c 11t, and C18:3 9c 12c 15c) and of the categories of fatty acids in milk (saturated fatty acids (SFAs), unsaturated fatty acids (UFAs), monounsaturated fatty acids (MUFAs), polyunsaturated fatty acids (PUFAs), omega-6 fatty acids (PUFAs-ω6), omega-3 fatty acids (PUFAs-ω3) and trans fatty acids (trans FAs) was carried out by means of the FTIR method using prediction models previously built and validated by Caredda et al. [16]. Somatic cell count was determined using the flow cytometry method (Fossomatic 5000, Foss Electric, Hillerød, Denmark).
8. Statistical Analyses
Statistical assumptions (normality and homoscedasticity tests) were tested before further data analyses. Non-normal and heteroscedasticity data were analyzed using non-parametric statistical analyses.
BW, BCS, milk production, composition, and fatty acid profiles, as well as lipidic and protein profiles in plasma, were analyzed using repetead measured-analyses of variance (ANOVA). The model included treatment, a period during the experimental phase (Per1 and Per2), and their interaction, whereas it included only treatment as a fixed effect during the pre- and post-experimental periods. A comparison between experimental groups was performed when the treatment or the interaction between treatment and period was significant (p < 0.05).
Correlation analyses were performed to evaluate the relationships between the contents of lipoproteins and cholesterol or triglycerides in blood plasma.
The number and size of CL, as well as progesterone level in plasma and pregnancy length, prolificacy, and total reproductive wastage (the difference between the number of CL from pregnant ewe and lambs born/ewe) were analyzed using Student’s t-test. Pregnancy rate at day 28, lambing rate, and fetal losses were assessed using Chi-square and/or Fisher’s exact test.
All analyses were performed using the RStudio software. Statistical differences were established at 5% (p < 0.05) and results were expressed in terms of means ± standard error and percentages.
9. Results
Total concentrate intake was close to the amount fed, being the average DM intake of concentrate 96.90 ± 0.44 and 96.67 ± 0.37% of the offer for CT and LO ewes, respectively. Total estimated net energy (NEL) intake was almost identical between CT and LO groups (2.33 ± 0.01 and 2.33 ± 0.01 Mcal/ewe/day; for CT and LO groups, respectively), whereas dietary CP percentage was slightly higher in CT (11.80 ± 0.04%) than LO (11.17 ± 0.05%) due to marginally higher content of CP in the offered diet (Table 1). Total mineral intake was also similar between experimental groups (15.65 ± 3.46 and 15.77 ± 6.05 g/ewe/day; for CT and LO groups, respectively).
BW and BCS changes were undifferentiated between groups across the whole experiment. Additionally, BW and BCS variation between PRE and POST periods were not different between groups (BW: 2.28 ± 0.43 and 2.38 ± 0.31 Kg for CT and LO groups, respectively; BCS: 0.19 ± 0.05 and 0.21 ± 0.05 for CT and LO groups, respectively).
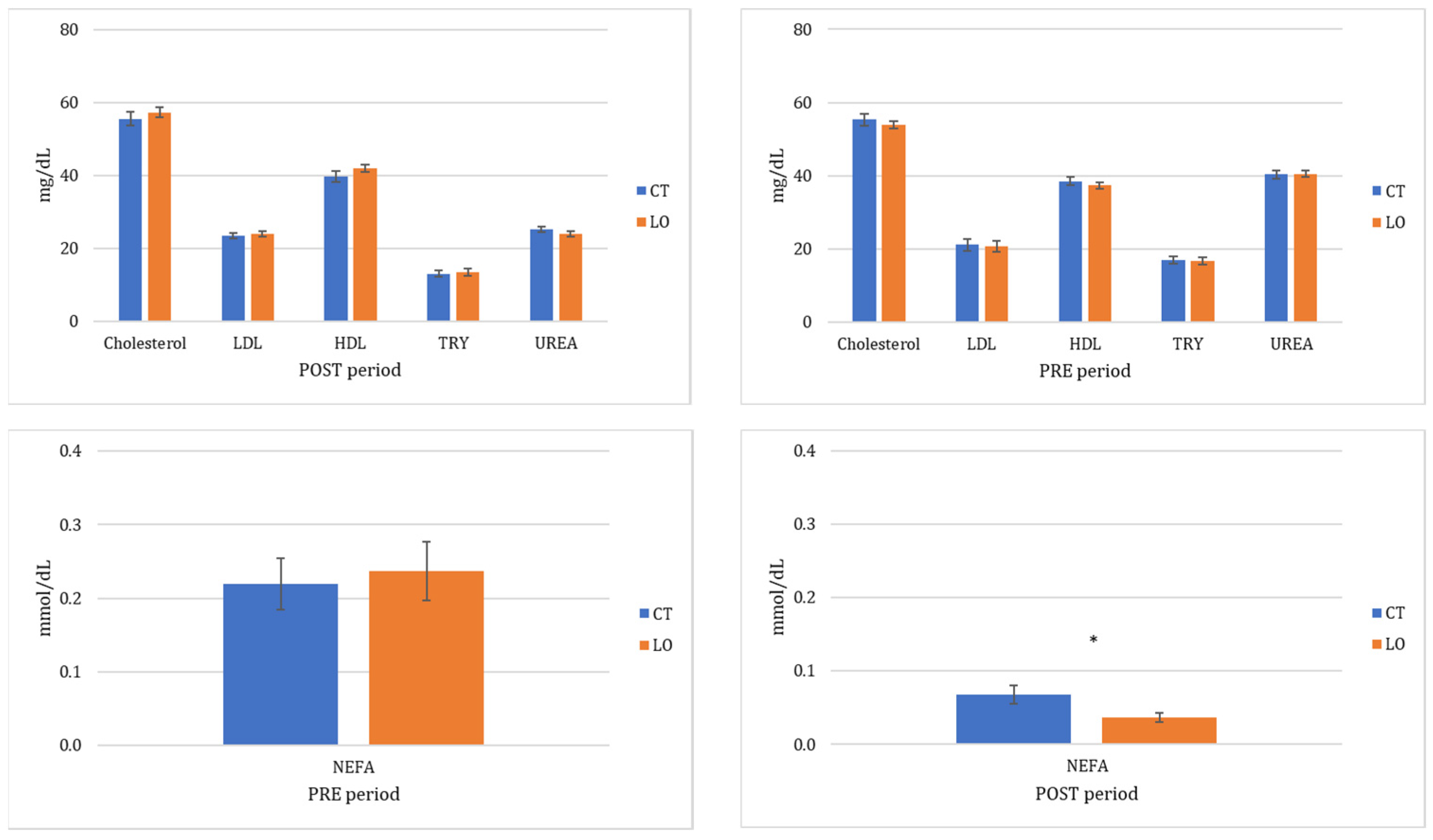
Lipidic and protein profiles in plasma were similar between both CT and LO groups before the start of the experimental period (PRE period; Figure 1).

Figure 1.
Circulating levels of cholesterol, HDL, LDL triglycerides, NEFAs, total protein, albumin, and urea in Sarda dairy ewes non-supplemented (CT) and supplemented with bypass linseed oil (LO; on PRE and POST periods). An asterisk (*) indicates differences between groups within a period at p < 0.05.
Nevertheless, there were differences between groups for cholesterol, HDL, and triglycerides during the supplementation period. Despite the lack of differences between groups for LDL, the CT group showed lower concentrations in Per2. Non-esterified fatty acids (NEFAs), total protein, albumin, and urea were not different between groups (Table 2).
Table 2.
Circulating levels of cholesterol, HDL, LDL triglycerides, NEFAs, total protein, albumin, and urea in Sarda dairy ewes non-supplemented (CT; n = 24) and supplemented with bypass linseed oil (LO; n = 24; from Per1 to Per2).
Correlations were positive and significant between LDL and triglycerides (r = 0.387; p = 0.000), LDL and cholesterol (r = 0.585; p = 0.000), and HDL and cholesterol (r = 0.869; p = 0.000).
Metabolic profile with reference to lipid and protein was also similar between groups after supplementation (POST period), except for NEFA, which was higher in the CT group (p < 0.05; Figure 1).
Milk yield, fat, protein lactose, SCC, and casein levels were not different between CT and LO groups during the supplementation period (Per1 and Per2) (Table 3a). Similarly, differences were not observed before (PRE period) and after experimental supplementation (POST period; Table 3b).
Table 3.
(a). Milk yield and milk composition in Sarda dairy ewes non-supplemented (CT; n = 24) and supplemented with bypass linseed oil (LO; n = 24) in dairy Sarda ewes non-supplemented (CT) and supplemented with bypass linseed oil (LO; from Per1 to Per2). (b). Milk yield and milk composition in Sarda dairy ewes non-supplemented (CT; n = 24) and supplemented with bypass linseed oil (LO; n = 24) in dairy Sarda ewes non-supplemented (CT) and supplemented with bypass linseed oil (LO) before (PRE) and after (POST) the supplementation period.
Additionally, fatty acid profiles were similar between groups in the PRE period. However, these differed significantly between LO and CT groups during the supplementation period (Table 4a). The SFA content (in terms of percentage) was lower in the LO group compared to the CT group.
Table 4.
(a). Milk fatty acid (FA) composition expressed on % fatty acid methyl esters (FAMEs) in Sarda dairy ewes non-supplemented (CT, n = 24) and supplemented ewes with bypass linseed oil (LO; n = 24; from Per1 to Per2). (b). Milk yield and milk composition in dairy Sarda ewes non-supplemented (CT; n = 24) and supplemented with bypass linseed oil (LO; n = 24) in dairy Sarda ewes non-supplemented (CT) and supplemented with bypass linseed oil (LO) before (PRE) and after (POST) the supplementation period.
The content of UFA was consistently higher in LO than in CT. MUFAs were also higher in the LO group but only in Per1, while total PUFA was higher in LO in both periods, although the effect was stronger in Per1 (interaction group × period p < 0.01). In contrast, PUFA-ω3 showed higher levels in LO but only in Per2 (interaction group x period p < 0.01).
PUFA-ω6 and total trans FA were consistently higher in LO throughout the whole supplementation period.
After the supplementation period (POST), the contents of UFA, MUFA, PUFA, and PUFA-ω6 were still higher in LO groups, while SFA was lower in this, as compared to the CT group.
One ewe from the LO group was eliminated from reproductive analyses due to reproductive problems. Ovulation rate and progesterone circulating levels on days 11 and 18 did not differ between experimental groups in both pregnant and non-pregnant ewes. However, corpora lutea were bigger in pregnant ewes from the LO group compared to CT ones (p < 0.01; Table 5). Pregnancy rate at day 28, pregnancy length, lambing rate, and prolificacy did not differ between groups. Additionally, total reproductive wastage and fetal loss rate were statistically similar between groups (Table 6).
Table 5.
Ovulation rates, luteal size, and progesterone level in plasma of pregnant Sarda ewes non-supplemented (CT; n = 24) and supplemented with bypass linseed oil (LO; n = 23).
Table 6.
Fertility indexes after artificial insemination in Sarda dairy ewes non-supplemented (CT) and supplemented with bypass linseed oil (LO).
10. Discussion
In this trial, diets were designed to be isocaloric and isoproteic between experimental groups. This aim was fully achieved for the energy and partially for the protein, although differences between groups were small. Moreover, the CT and LO diet was formulated to offer a non-fat and fat-enriched supplement, respectively, such as what has been reported in cattle and sheep [17,18]. Since the intake of energy was similar between CT and LO groups, BW, BCS, and milk production were not affected by diets during this trial. These findings are in agreement with different studies carried out in dairy cattle, sheep, and goats supplemented with different forms [3,19,20] and doses of LO [20,21,22,23].
Metabolic status linked to higher cholesterol, triglycerides, and HDL levels found in the LO compared to the CT group can be attributed to the higher fatty acid intake, as already reported in cattle and goats [24,25,26]. In cattle, both LDL and HDL are linked to cholesterol, triglycerides, and phospholipids transport. LDL contributes, together with chylomicrons and HDL, to distribute the triglycerides to peripheral tissues [24,27] having a higher affinity to triglycerides compared with HDL [28]. In our study, the non-supplemented group showed a lower content of triglycerides during the Per2 period, which coincides with a lower content of LDL during the same period. It confirms the affinity between LDL and triglycerides previously reviewed by Bouchart [28]. Additionally, our results demonstrate the relationship between HDL and cholesterol levels. In this sense, the role of HDL consists of mobilizing circulating cholesterol to the liver to be finally metabolized. HDL thus avoids its accumulation in peripheral tissues impacting positively on animal health and welfare [25]. Therefore, HDL increase is probably more related to cholesterol changes than the proper effect of LO.
In the present study, the decrease in NEFA levels and lack of differences between groups during the feeding period confirms the energetic balance between experimental diets. The differences observed between experimental groups in the POST period suggest a residual effect of bypass LO supplementation in limiting fatty acid mobilization from adipose tissue and thus favoring a positive energy balance [29,30].
The similar milk fat and protein levels obtained from the CT and LO groups reinforce the energetic and protein balance of experimental diets. This finding is in agreement with those reported by Gonthier et al. [21] in dairy cows and by Gómez-Cortés et al. [31] in ewes fed with flaxseed/linseed supplementation. Our results also showed that milk fatty acid profiles were affected by diets. The increase in milk UFA, MUFA, PUFA, and PUFA-ω3 concentrations demonstrate that bypass LO allowed for absorption at the gut level and distribution in body tissues, including udder tissues [32]. The higher levels of PUFA-ω6 observed in the LO group in our study are attributed to the presence of PUFA (mainly linoleic acid) in the supplement used at a lower concentration than ALA (7.79%; information provided by the manufacturer), which coincides to that reported by Zachut et al. [33] in dairy cattle. Similarly, the higher milk content of SFA in the CT group demonstrates the higher SFA content in the CT diet. Moreover, the higher trans FA concentration in milk samples from the LO group, already found by Cabiddu et al. [18] in dairy sheep supplemented with high levels of a non-protected ALA, is probably due to the partial biohydrogenation of bypass linseed oil at the ruminal level, as suggested by Jenkins and Bridges [9]. However, this pathway was not assessed because it was beyond the scope of this study. Trans human FA are considered putatively noxious to humans [34], although a recent review suggests that trans FA of industrial origin are more noxious than ruminant-sourced trans FA [35].
In our study, there was a slight difference in protein content and intake between CT and LO diets. However, the lack of differences between experimental groups, in terms of plasmatic levels of protein profile (total protein, albumin, and urea), demonstrate that CT and LO diets were basically isoproteic. As a consequence, the percentage of milk protein and casein were not affected by the diets. These milk values are in line with those previously reported in dairy cattle [3].
In the present study, the large luteal size observed on day 11 (Per1; onset of maternal recognition of pregnancy in sheep [36]) in the LO group coincides with high milk PUFA-ω3 content observed in the same period. In this sense, Petit et al. [37], suggest that PUFA-ω3 promotes granulosa cell proliferation, which generates large luteal tissue and stimulates P4 synthesis. Although P4 differences were not detected statistically between groups, the LO group showed P4 levels were numerically higher compared with the CT group. In this sense, the luteoprotective effect of ALA is linked to PGE2 synthesis promoting luteal development and its function [38]. Thus, detailed studies must be performed to evaluate the effect of dietary LO on luteal function, specifically during maternal recognition of the pregnancy period in ewes.
Pregnancy rates recorded in this study are in line with previous results from our laboratories [39]. Reproductive performances (pregnancy and lambing rates, total reproductive wastages, fetal losses) showed no effect of bypass LO. This lack of effect was also observed in goats, cattle, and sheep [24,30,40]. On the other hand, other studies showed a positive effect of LO to avoid embryo losses in cattle [41].
The lack of differences in reproductive performances could be attributed to a “delay effect” of bypass LO on the timing of ovulation. However, the information about this issue is limited. Zachut et al. [33] indicate a longer estrous length compared with the control group, suggesting a delayed timing of ovulation in cows fed with bypass LO. This finding was also reported by Mahala et al. [24] in goats supplemented with FO. Zachut et al. [33] attributed this effect to slow development of preovulatory follicles. The dietary supply of LO used in our study (3.0% DM) falls in the range of the above-quoted studies performed in lactating dairy cattle using bypass LO (2.9% DM [23], 3.8% DM [33]). However, conversely to our experiment, in these studies, the authors used a luteolytic agent to induce the follicular phase. This suggests that additional research is needed to elucidate the effects of LO on ovarian follicular dynamic and timing of ovulation during natural and or induced follicular phase using progestogen and eCG.
11. Conclusions
In conclusion, the results obtained in the present study show that the use of dietary bypass LO modifies the circulating concentrations of lipid metabolites and milk fatty acid profiles, demonstrating the ALA uptake and utilization by body tissues. However, by-pass LO supplementation during the periconceptional period did not increase the reproductive indexes in ewes, contrary to what was reported in previous studies.
Nevertheless, LO supplementation could be used to increase the PUFA-ω3 of sheep milk supplied to the dairy industry, although the higher level of trans FA could partially counterbalance its beneficial effects on consumer health.
Author Contributions
Conceptualization, G.M., F.B., I.C.-S., C.P. and M.D.; methodology, G.M., M.D., F.B. and I.C.-S., analysis, V.P., F.D.S., C.P. and M.C.; investigation, I.C.-S., C.P., F.D.S., M.D., F.C. and G.M.; data curation, I.C.-S., G.M. and C.P.; writing—original draft preparation, F.B., I.C.-S. and G.M.; writing—review and editing, G.M., F.B. and J.A.A.; funding acquisition, F.B. and J.A.A. All authors have read and agreed to the published version of the manuscript.
Funding
This study was supported by H2020-Marie-Sklodowska-Curie Actions-IF-2018-NUTREPHEALTH-832326.
Institutional Review Board Statement
This study was conducted according to the guidelines of the Declaration of Helsinki and approved by the Ethics Committee of AGRIS and the University OF Sassari, in compliance with the European Union Directive 86/609/EC and the recommendation of the Commission of the European Communities 2007/526/EC. 2.1. The procedure was authorized by the Italian Ministry for Health (Authorisation n° 757/2020-PR/ Protocol-E8652.2).
Informed Consent Statement
Not applicable.
Data Availability Statement
The data presented in this study are available upon request from the corresponding author. The data are not publicly available due to a temporary lack of a publicly accessible repository.
Acknowledgments
The authors gratefully acknowledge S.Picconi, S.Pintus, G.F.Camoglio, and A.Pintadu, for their assistance in animal management, and all laboratory staff at Bonassai farm for the chemical analysis of milk and feedstuffs.
Conflicts of Interest
The authors declare no conflict of interest.
References
- Pulina, G.; Nudda, A.; Battacone, G.; Cannas, A. Effects of nutrition on the contents of fat, protein, somatic cells, aromatic compounds, and undesirable substances in sheep milk. Anim. Feed Sci. Technol. 2006, 131, 255–291. [Google Scholar] [CrossRef]
- Wathes, D.C.; Abayasekara, D.R.E.; Aitken, R.J. Polyunsaturated Fatty Acids in Male and Female Reproduction. Biol. Reprod. 2007, 77, 190–201. [Google Scholar] [CrossRef] [PubMed]
- Moallem, U. Invited review: Roles of dietary n-3 fatty acids in performance, milk fat composition, and reproductive and immune systems in dairy cattle. J. Dairy Sci. 2018, 101, 8641–8661. [Google Scholar] [CrossRef] [PubMed]
- Verge-Mèrida, G.; Barroeta, A.C.; Guardiola, F.; Verdú, M.; Balart, M.; Font-I-Furnols, M.; Solà-Oriol, D. Crude and acid oils from olive pomace as alternative fat sources in growing-finishing pigs. Animal 2021, 15, 100389. [Google Scholar] [CrossRef]
- Petit, H.V.; Benchaar, C. Milk production, milk composition, blood composition, and conception rate of transition dairy cows fed different fat sources. Can. J. Anim. Sci. 2007, 87, 591–600. [Google Scholar] [CrossRef]
- Kalač, P.; Samková, E. The effects of feeding various forages on fatty acid composition of bovine milk fat: A review. Czech J. Anim. Sci. 2010, 55, 521–537. [Google Scholar] [CrossRef]
- Jenkins, T.C.; Harvatine, K.J. Lipid feeding and milk fat depression. Vet. Clin. N. Am. Food Anim. Pract. 2014, 30, 623–642. [Google Scholar] [CrossRef] [PubMed]
- El-Tarabany, M.S.; Atta, M.A.; Emara, S.S.; Mostafa, M.M. Folic acid and flaxseed oil supplements in Ossimi ewes: Effect on body weight changes, progesterone profile, blood chemistry, and litter traits. Trop. Anim. Health Prod. 2020, 52, 301–308. [Google Scholar] [CrossRef]
- Jenkins, T.C.; Bridges, W.C. Protection of fatty acids against ruminal biohydrogenation in cattle. Eur. Lipid Sci. Technol. 2007, 109, 778–789. [Google Scholar] [CrossRef]
- Pereira, G.; Simões, P.; Bexiga, R.; Silva, E.; Mateus, L.; Fernandes, T.; Alves, S.P.; Bessa, R.J.B.; Lopes-da-Costa, L. Effects of feeding rumen-protected linseed fat to postpartum dairy cows on plasma n-3 polyunsaturated fatty acid concentrations and metabolic and reproductive parameters. J. Dairy Sci. 2022, 105, 361–374. [Google Scholar] [CrossRef]
- Gulliver, C.E.; Friend, M.A.; King, B.J.; Clayton, E.H. The role of omega-3 polyunsaturated fatty acids in reproduction of sheep and cattle. Anim. Reprod. Sci. 2012, 131, 9–22. [Google Scholar] [CrossRef] [PubMed]
- Mara, L.; Accardo, C.; Pilichi, S.; Dattena, M.; Chessa, F.; Chessa, B.; Branca, A.; Cappai, P. Benefits of TEMPOL on ram semen motility and in vitro fertility: A preliminary study. Theriogenology 2005, 63, 2243–2253. [Google Scholar] [CrossRef] [PubMed]
- Russel, A.J.F.; Doney, J.M.; Gunn, R.G. Subjective assessment of body fat in live sheep. J. Agric. Sci. 1969, 72, 451–454. [Google Scholar] [CrossRef]
- Contreras-Solis, I.; Diaz, T.; Lopez, G.; Caigua, A.; Lopez-Sebastian, A.; Gonzalez-Bulnes, A. Systemic and intraovarian effects of corpus luteum on follicular dynamics during estrous cycle in hair breed sheep. Anim. Reprod. Sci. 2008, 104, 47–55. [Google Scholar] [CrossRef] [PubMed]
- Pasciu, V.; Nieddu, M.; Baralla, E.; Porcu, C.; Sotgiu, F.; Berlinguer, F. Measurement of progesterone in sheep using a commercial ELISA kit for human plasma. J. Vet. Diagn. Investig. 2021, 34, 90–93. [Google Scholar] [CrossRef]
- Caredda, M.; Addis, M.; Ibba, I.; Leardi, R.; Scintu, M.F.; Piredda, G.; Sanna, G. Prediction of fatty acid content in sheep milk by Mid-Infrared Spectroscopy with a selection of wavelengths by Genetic Algorithms. LWT-Food Sci. Technol. 2016, 65, 503–510. [Google Scholar] [CrossRef]
- Petit, H.V.; Germiquet, C.; Lebel, D. Effect of feeding whole, unprocessed sunflower seeds and flaxseed on milk production, milk composition, and prostaglandin secretion in dairy cows. J. Dairy Sci. 2004, 87, 3889–3898. [Google Scholar] [CrossRef]
- Cabiddu, A.; Addis, M.; Fiori, M.; Spada, S.; Decandia, M.; Molle, G. Pros and cons of the supplementation with oilseed enriched concentrates on milk fatty acid profile of dairy sheep grazing Mediterranean pastures. Small Rumin. Res. 2017, 146, 63–72. [Google Scholar] [CrossRef]
- Bernard, L.; Leroux, C.; Rouel, J.; Delavaud, C.; Shingfield, K.J.; Chilliard, Y. Effect of extruded linseeds alone or in combination with fish oil on intake, milk production, plasma metabolite concentrations and milk fatty acid composition in lactating goats. Animal 2015, 9, 810–821. [Google Scholar] [CrossRef]
- Gallardo, B.; Manca, M.G.; Mantecón, A.R.; Nudda, A.; Manso, T. Effects of linseed oil and natural or synthetic vitamin E supplementation in lactating ewes’ diets on meat fatty acid profile and lipid oxidation from their milk fed lambs. Meat. Sci. 2015, 102, 79–89. [Google Scholar] [CrossRef]
- Gonthier, C.; Mustafa, A.F.; Ouellet, D.R.; Chouinard, P.Y.; Berthiaume, R.; Petit, H.V. Feeding micronized and extruded flaxseed to dairy cows: Effects on blood parameters and milk fatty acid composition. J. Dairy Sci. 2005, 88, 748–756. [Google Scholar] [CrossRef] [PubMed]
- Moallem, U. The effects of extruded flaxseed supplementation to high-yielding dairy cows on milk production and milk fatty acid composition. Anim. Feed Sci. Technol. 2009, 152, 232–242. [Google Scholar] [CrossRef]
- Moallem, U.; Shafran, A.; Zachut, M.; Dekel, I.; Portnick, Y.; Arieli, A. Dietary α-linolenic acid from flaxseed oil improved folliculogenesis and IVF performance in dairy cows, similar to eicosapentaenoic and docosahexaenoic acids from fish oil. Reproduction 2013, 146, 603–614. [Google Scholar] [CrossRef]
- Mahla, A.S.; Chaudhari, R.K.; Verma, A.K.; Singh, A.K.; Singh, S.K.; Singh, G.; Sarkar, M.; Dutta, N.; Kumar, H.; Krishnaswamy, N. Effect of dietary supplementation of omega-3 polyunsaturated fatty acid (PUFA) rich fish oil on reproductive performance of the goat (Capra hircus). Theriogenology 2017, 99, 79–89. [Google Scholar] [CrossRef] [PubMed]
- Oliveira, M.; Palma, A.S.V.; Reis, B.R.; Franco, C.S.R.; Marconi, A.P.S.; Shiozaki, F.A.; Reis, L.G.; Salles, M.S.V.; Netto, A.S. Inclusion of soybean and linseed oils in the diet of lactating dairy cows makes the milk fatty acid profile nutritionally healthier for the human diet. PLoS ONE 2021, 16, e0246357. [Google Scholar] [CrossRef]
- Dutra, P.A.; Pinto, L.F.B.; Cardoso-Neto, B.M.; Mendes, C.S.; Pinheiro, A.M.; Barbosa, L.P.; de Jesus Pereira, T.C.; de Carvalho, G.G.P. Flaxseed added to the diet of Alpine goats affects the nutrients intake and blood parameters. Trop. Anim. Health Prod. 2022, 54, 104. [Google Scholar] [CrossRef]
- Palmquist, D.L.; Jenkins, T.C. A 100-Year Review: Fat feeding of dairy cows. J. Dairy Sci. 2017, 100, 10061–10077. [Google Scholar] [CrossRef]
- Bauchart, D. Lipid absorption and transport in ruminants. J Dairy Sci. 1993, 76, 3864–3881. [Google Scholar] [CrossRef]
- Roberts, C.J.; Reid, I.M.; Rowlands, G.J.; Patterson, A. A fat mobilisation syndrome in dairy cows in early lactation. Vet. Rec. 1981, 108, 7–9. [Google Scholar] [CrossRef]
- Jahani-Moghadam, M.; Mahjoubi, E.; Dirandeh, E. Effect of linseed feeding on blood metabolites, incidence of cystic follicles, and productive and reproductive performance in fresh Holstein dairy cows. J. Dairy Sci. 2015, 98, 1828–1835. [Google Scholar] [CrossRef]
- Gómez-Cortés, P.; Bach, A.; Luna, P.; Juárez, M.; de la Fuente, M.A. Effects of extruded linseed supplementation on n-3 fatty acids and conjugated linoleic acid in milk and cheese from ewes. J. Dairy Sci. 2009, 92, 4122–4134. [Google Scholar] [CrossRef]
- Lanier, J.S.; Corl, B.A. Challenges in enriching milk fat with polyunsaturated fatty acids. J. Anim. Sci. Biotechnol. 2015, 6, 26. [Google Scholar] [CrossRef] [PubMed]
- Zachut, M.; Dekel, I.; Lehrer, H.; Arieli, A.; Arav, A.; Livshitz, L.; Yakoby, S.; Moallem, U. Effects of dietary fats differing in n-6:n-3 ratio fed to high-yielding dairy cows on fatty acid composition of ovarian compartments, follicular status, and oocyte quality. J. Dairy Sci. 2010, 93, 529–545. [Google Scholar] [CrossRef] [PubMed]
- EFSA. 2004. Opinion of the Scientific Panel on Dietetic Products, Nutrition and Allergies on a request from the Commission related to the presence of trans fatty acids in foods and the effect on human health of the consumption of trans fatty acids. EFSA J. 2004, 81, 1–49. [Google Scholar]
- Pipoyan, D.; Stepanyan, S.; Stepanyan, S.; Beglaryan, C.; Costantini, L.; Molinari, R.; Merendino, N. The Effect of Trans Fatty Acids on Human Health: Regulatio and Consumption Patterns. Foods 2021, 10, 2452. [Google Scholar] [CrossRef]
- Johnson, G.A.; Bazer, F.W.; Burghardt, R.C.; Wu, G.; Seo, H.; Kramer, A.C.; McLendon, B.A. Cellular events during ovine implantation and impact for gestation. Anim. Reprod. 2018, 15, 843–855. [Google Scholar] [CrossRef]
- Petit, H.V.; Twagiramungu, H. Conception rate and reproductive function of dairy cows fed different fat sources. Theriogenology 2006, 66, 1316–1324. [Google Scholar] [CrossRef]
- Lee, J.; McCracken, J.A.; Stanley, J.A.; Nithy, T.K.; Banu, S.K.; Arosh, J.A. Intraluteal prostaglandin biosynthesis and signaling are selectively directed towards PGF2alpha during luteolysis but towards PGE2 during the establishment of pregnancy in sheep. Biol. Reprod. 2012, 87, 97. [Google Scholar] [CrossRef] [PubMed]
- Mayorga, I.; Mourad, R.; Mara, L.; Gallus, M.; Ulutes, Z. Organic breeding in Sarda ewes: Utilization of the ram effect in an artificial insemination program. Small Rumin. Res. 2019, 174, 131–134. [Google Scholar] [CrossRef]
- Asgari Safdar, A.H.; Sadeghi, A.A.; Chamani, M. Effects of different fat sources (saturated and unsaturated) on reproductive performance and biological indices of ewes during flushing period. Trop. Anim. Health Prod. 2017, 49, 1447–1453. [Google Scholar] [CrossRef]
- Ambrose, D.J.; Kastelic, J.P.; Corbett, R.; Pitney, P.A.; Petit, H.V.; Small, J.A.; Zalkovic, P. Lower pregnancy losses in lactating dairy cows fed a diet enriched in alpha-linolenic acid. J. Dairy Sci. 2006, 89, 3066–3074. [Google Scholar] [CrossRef] [PubMed]
Disclaimer/Publisher’s Note: The statements, opinions and data contained in all publications are solely those of the individual author(s) and contributor(s) and not of MDPI and/or the editor(s). MDPI and/or the editor(s) disclaim responsibility for any injury to people or property resulting from any ideas, methods, instructions or products referred to in the content. |
© 2023 by the authors. Licensee MDPI, Basel, Switzerland. This article is an open access article distributed under the terms and conditions of the Creative Commons Attribution (CC BY) license (https://creativecommons.org/licenses/by/4.0/).

