Factors Affecting Toxic and Essential Trace Element Concentrations in Cow’s Milk Produced in the State of Pernambuco, Brazil
Abstract
Simple Summary
Abstract
1. Introduction
2. Materials and Methods
2.1. Sample Collection
2.2. Reagents and Standard Solutions
2.3. Sample Analysis
2.4. Statistical and Chemometric Analysis
3. Results and Discussion
3.1. Toxic and Essential Trace Element Concentrations in Milk
| Country | Region | Cd | Pb | Cu | Fe | Zn | Reference |
|---|---|---|---|---|---|---|---|
| Algeria | Guelma area; polluted area | 0.03 | 0.94 | 0.14 | 0.76 | 4.02 | [27] |
| Algeria | Polluted area | 0.030 | 0.239 | 1.43 | 5.98 | [28] | |
| Argentina | Rural areas Southeast of Córdoba | 0.0023 | 0.0380 | 0.855 | 1.800 | [29] | |
| Bangladesh | Dairy Farms | 0.024 | 0.015 | 0.064 | 0.333 | [30] | |
| Small household | 0.047 | 0.012 | 0.127 | 0.631 | |||
| Brazil | Paraná state; Pasteurized | 0.018 | 0.281 | [14] | |||
| Paraná state; In Natura | 0.031 | 0.181 | |||||
| Brazil | State of Goiás (supermarkets) | 0.05 | 0.24 | 0.49 | 0.96 | 3.73 | [20] |
| Brazil | Industrial area | 0.002 | ND | 0.063 | 3.87 | [31] | |
| Non-industrial area | 0.003 | 0.003 | 0.068 | 3.15 | |||
| Brazil | Vale of Paraíba region | 0.23 | 1.73 | 1.05 | 4.59 | [13] | |
| China | Industrial | 0.00015 | 0.00286 | [32] | |||
| Unpolluted | 0.00013 | 0.00232 | |||||
| China | Samples from Shandong and Shaanxi cities | 0.00007 | 0.0014 | 0.0324 | 0.352 | 3.234 | [33] |
| China | Ten main milk producing areas in China | 0.00005 | 0.00175 | [34] | |||
| Croatia | Four unpolluted areas | ND | ND–0.0071 | 0.06–0.07 | 0.26–0.30 | 3.7–4.8 | [35] |
| Egypt | Beni Suef governorate | 0.051 | 0.214 | 0.0953 | 8.994 | 6.29 | [36] |
| England | Southern England; conventional farmland | 0.0606 | 2.03 | 5.00 | [37] | ||
| Southern England; organic farmland | 0.0524 | 0.66 | 4.51 | ||||
| Ethiopia | Kosoye Amba-Rass, Tana-Abo, and Nara-Awdarda, North Gondar, Amhara Regional State | 0.29 | 0.15 | 1.12 | 3.02 | [38] | |
| Hungary | Highway area | 0.005 | 0.025 | 0.336 | 0.797 | 1.494 | [39] |
| Non-polluted | ND | 0.012 | 0.137 | 0.788 | 2.241 | ||
| India | Mining areas | 0.09–0.13 | 0.31–0.51 | 8.8–11.4 | 1.22–1.04 | [40] | |
| India | Ladakh, a trans-Himalayan high-altitude region | 0.007–0.009 | 0.005–0.006 | 0.23–0.30 | 3.55–4.91 | 1.99–3.76 | [41] |
| India | Industrial areas | 0.02–0.07 | 0.05–0.20 | 0.07–0.35 | 1.22–20.94 | [42] | |
| India | Industrial area | 0.096 | 0.480 | 0.090 | 3.97 | 6.09 | [2] |
| Non-industrial area | 0.033 | 0.250 | 0.101 | 5.10 | 3.95 | ||
| Indonesia | City area, Padang | ND | 13.6–20.6 | 1.17–2.17 | 28.8–53.1 | [24] | |
| Iran | Farms close to petroleum industries | 0.0047 | 0.047 | [8] | |||
| Iran | Arak city | 0.00395 | 0.0125 | [43] | |||
| Iran | Industrial regions of Iran | 0.00111 | 0.0140 | 0.427 | 0.571 | [44] | |
| Iran | Lorestan province | 0.10 | 2.72 | 0.14 | 3.07 | [45] | |
| Italy | Industrial area | ND | 0.02 | 0.07–0.08 | 14.5–16.8 | 2.21–2.86 | [46] |
| Italy | Calabria | 0.0002 | 0.001 | 0.003 | 2.02 | [1] | |
| Kazakhstan | Almaty region; unpolluted | 0.0027 | 0.0045 | [47] | |||
| Korea | Supermarkets | 0.00238 | 0.00335 | 0.3834 | 4.754 | [48] | |
| Kosovo | Rural areas | 0.001 | 0.0017 | 0.018 | 0.426 | 3.151 | [49] |
| Mexico | Areas irrigated with wastewater | 0.03 | 0.01 | 0.71 | [9] | ||
| Mexico | Puebla, industrial wastewater | 0.002 | 0.024 | 0.030 | [50] | ||
| Moscow | Moscow region | 0.004–0.011 | 0.075–0.110 | 0.11–0.21 | 0.55–0.82 | 1.21–141 | [51] |
| Pakistan | Sargodha; near traffic road | 0.04–0.3 | 0.3–0.8 | [52] | |||
| Peru | Near metallurgical complex | 0.020 | 0.058 | [21] | |||
| Peru | Mining-metallurgical industries | 0.018 | 0.577 | [10] | |||
| Poland | Lubuskie ProvinceOrganic farms | 0.003–0.004 | 0.037–0.041 | 0.038–0.045 | 0.198–0.258 | 3.02–3.28 | [53] |
| Poland | Low-level industrialization | <0.004 | 0.012 | 0.360 | 4.83 | [54] | |
| High-level industrialization | <0.004 | 0.234 | 1.33 | 15.84 | |||
| Romania | Intermediate-level industrial | 0.0039 | 0.120 | 2.4 | 4.8 | [55] | |
| Intensive industrial | 0.007 | 0.577 | 0.837 | 4.8 | |||
| Small cattle farms | 0.007 | 0.024 | 0.265 | 3.18 | |||
| Romania | No industry | 0.006 | 0.066 | 0.30 | 2.5 | [56] | |
| Serbia | Novi Sad (Vojvodina) market | 0.00349 | 0.0754 | 0.118 | [57] | ||
| Spain | Organic farms | 0.000135 | 0.000653 | 0.041 | 0.425 | 3.326 | [58] |
| Conventional farms | 0.000098 | 0.000516 | 0.051 | 0.395 | 3.639 | ||
| Conventional (supermarket) | 0.000087 | 0.000267 | 0.069 | 0.351 | 3.933 | ||
| Spain | Unpolluted region; organic | ND | 0.000519 | 0.039 | 0.271 | 2.851 | [7] |
| Unpolluted region; conventional | ND | 0.000389 | 0.048 | 0.301 | 3.368 | ||
| Spain | Farms near mining and industrial area and highway traffic | <0.002 | 0.004 | [59] | |||
| Sri Lanka | Four agro-climatic zones | 0.001–0.002 | 0.005–0.02 | 0.02–0.12 | 0.49–3.15 | 1.49–2.93 | [60] |
| Turkey | Local markets in the city of Edirne | 0.138 | 3.1 | 3.4 | [61] | ||
| Turkey | Iğdır City | 0.0001–0.004 | 0.050 | 0.08–1.80 | 2.21–32.5 | [62] | |
| Turkey | Close to highways | 0.39 | 1.85 | 0.62 | 4.2 | 1.85 | [63] |
| Zambia | Farms near mining area | 0.002 | [64] |
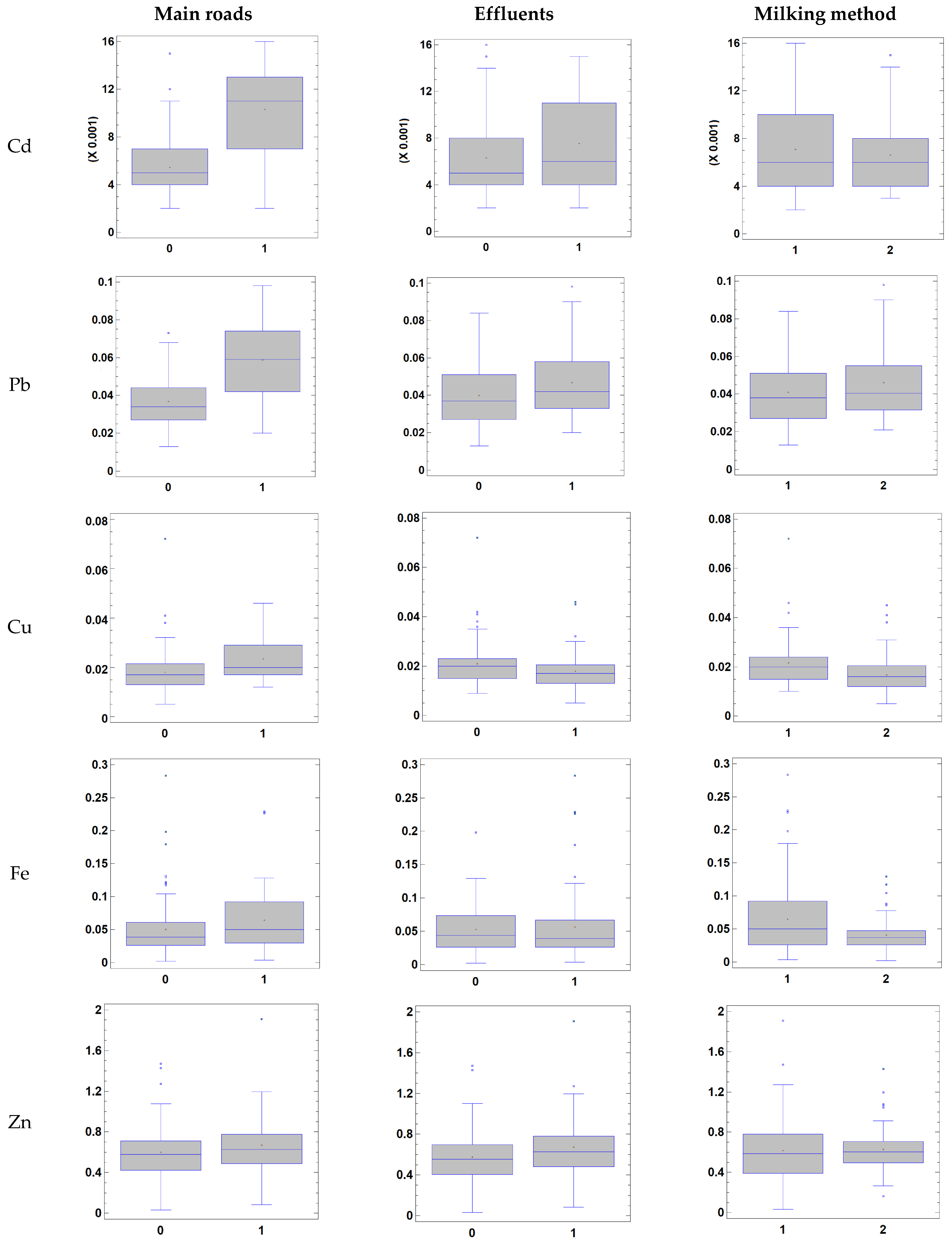
3.2. Effects of Proximity to Main Roads, Presence of Effluents, and Milking Method on Toxic and Trace Element Concentrations in Milk
3.3. Chemometric Analysis: PCA and HCA
4. Conclusions
Author Contributions
Funding
Institutional Review Board Statement
Informed Consent Statement
Data Availability Statement
Conflicts of Interest
References
- Licata, P.; Trombetta, D.; Cristani, M.; Giofrè, F.; Martino, D.; Calò, M.; Naccari, F. Levels of “Toxic” and “Essential” Metals in Samples of Bovine Milk from Various Dairy Farms in Calabria, Italy. Environ. Int. 2004, 30, 1–6. [Google Scholar] [CrossRef] [PubMed]
- Patra, R.C.; Swarup, D.; Kumar, P.; Nandi, D.; Naresh, R.; Ali, S.L. Milk Trace Elements in Lactating Cows Environmentally Exposed to Higher Level of Lead and Cadmium around Different Industrial Units. Sci. Total Environ. 2008, 404, 36–43. [Google Scholar] [CrossRef]
- Boudebbouz, A.; Boudalia, S.; Bousbia, A.; Habila, S.; Boussadia, M.I.; Gueroui, Y. Heavy Metals Levels in Raw Cow Milk and Health Risk Assessment across the Globe: A Systematic Review. Sci. Total Environ. 2021, 751, 141830. [Google Scholar] [CrossRef] [PubMed]
- Enb, A.; Donia, M.A.; Rabou, N.S.A.; Abou-Arab, A.A.K.; El-Senaity, M.H. Chemical Composition of Raw Milk and Heavy Metals Behavior during Processing of Milk Products. Glob. Vet. 2009, 3, 268–275. [Google Scholar]
- Pšenková, M.; Toman, R.; Tančin, V. Concentrations of Toxic Metals and Essential Elements in Raw Cow Milk from Areas with Potentially Undisturbed and Highly Disturbed Environment in Slovakia. Environ. Sci. Pollut. Res. 2020, 27, 26763–26772. [Google Scholar] [CrossRef] [PubMed]
- Suttle, N.F. Mineral Nutrition of Livestock, 4th ed.; CABI: Wallingford, UK, 2010; ISBN 9781845934729. [Google Scholar]
- Rodríguez-Bermúdez, R.; López-Alonso, M.; Miranda, M.; Fouz, R.; Orjales, I.; Herrero-Latorre, C. Chemometric Authentication of the Organic Status of Milk on the Basis of Trace Element Content. Food Chem. 2018, 240, 686–693. [Google Scholar] [CrossRef] [PubMed]
- Norouzirad, R.; González-Montaña, J.-R.; Martínez-Pastor, F.; Hosseini, H.; Shahrouzian, A.; Khabazkhoob, M.; Ali Malayeri, F.; Moallem Bandani, H.; Paknejad, M.; Foroughi-nia, B.; et al. Lead and Cadmium Levels in Raw Bovine Milk and Dietary Risk Assessment in Areas near Petroleum Extraction Industries. Sci. Total Environ. 2018, 635, 308–314. [Google Scholar] [CrossRef]
- Castro–González, N.P.; Calderón–Sánchez, F.; Pérez–Sato, M.; Soní–Guillermo, E.; Reyes–Cervantes, E. Health Risk Due to Chronic Heavy Metal Consumption via Cow’s Milk Produced in Puebla, Mexico, in Irrigated Wastewater Areas. Food Addit. Contam. Part. B Surveill. 2019, 12, 38–44. [Google Scholar] [CrossRef]
- Castro-Bedriñana, J.; Chirinos-Peinado, D.; Ríos-Ríos, E.; Machuca-Campuzano, M.; Gómez-Ventura, E. Dietary Risk of MilkContaminated with Lead and Cadmium in Areas near Mining-Metallurgical Industries in the Central Andes of Peru. Ecotoxicol. Environ. Saf. 2021, 220, 112382. [Google Scholar] [CrossRef]
- Commision Regulation (EU). Setting Maximum Levels for Certain Contaminants in Foodstuffs; No 1881/2006. Off. J. Eur. Union 2006, 364, 5–24. [Google Scholar]
- ANVISA Decree Number 55.871/65. 2016; pp. 1–23. Available online: http://anvisa.gov.br (accessed on 7 June 2023).
- Soares, V.A.; Kus, M.M.M.; Peixoto, A.L.C.; Carrocci, J.S.; Salazar, R.F.S.; Izário Filho, H.J. Determination of Nutritional and Toxic Elements in Pasteurized Bovine Milk from Vale Do Paraiba Region (Brazil). Food Control 2010, 21, 45–49. [Google Scholar] [CrossRef]
- Gomes, A.C.S.; Lindino, C.A.; Gonçalves Junior, A.C.; Gomes, G.D. Determinação de Cd, Cr e Pb No Leite e Na Alimentação Bovina Do Brasil. Rev. Inst. Adolfo Lutz 2013, 72, 211–218. [Google Scholar] [CrossRef]
- Ribeiro Sant’Ana, M.A.; de Carvalho, T.C.; da Silva, I.F. Concentration of Heavy Metals in UHT Dairy Milk Available in the Markets of São Luís, Brazil, and Potential Health Risk to Children. Food Chem. 2021, 346, 128961. [Google Scholar] [CrossRef]
- Silva, C.M.; Amaral, R.S.; Tabosa, J.N.; Santos Júnior, J.A.; Menezes, R.S.C.; Farias, E.E.G.; Bezerra, J.D.; Silvestre, R.G.; Oliveira, G.F. Pb-210 in Rock and Soils of the Semi-Arid Agreste Region of Pernambuco, Brazil. Bull. Environ. Contam. Toxicol. 2009, 82, 647–649. [Google Scholar] [CrossRef] [PubMed]
- Silva, C.M.; Amaral, R.S.; Tabosa, J.N.; Júnior, J.A.S.; Menezes, R.S.C.; Ribeiro, F.C.A. Estimation of Dose Due to Ingestion of 210Pb in Milk from Dairy Cattle in the Semi-Arid Region of Pernambuco, Brazil. Bull. Environ. Contam. Toxicol. 2010, 85, 103–108. [Google Scholar] [CrossRef]
- Silva, C.M.; Amaral, R.S.; Ribeiro, F.C.A.; Tabosa, J.N.; Júnior, J.A.S.; Menezes, R.S.C. Lead Poisoning Risk for Dairy Cows in the Semi-Arid Region of Pernambuco, Brazil. Bull. Environ. Contam. Toxicol. 2011, 86, 199–202. [Google Scholar] [CrossRef]
- Massart, D.L. Chemometrics: A Textbook; Elsevier Science Publishers: Amsterdam, The Netherlands, 1988; Volume 2. [Google Scholar]
- Gonçalves, J.; Mesquita, A.; Gonçalves, R. Determinação de metais pesados em leite integral bovino pasteurizado no estado de goiás determining heavy metals in pasteurized whole bovine milk in state of goiás. Ciência Anim. Bras. 2008, 9, 365–374. [Google Scholar]
- Chirinos-Peinado, D.M.; Castro-Bedriñana, J.I. Lead and Cadmium Blood Levels and Transfer to Milk in Cattle Reared in a Mining Area. Heliyon 2020, 6, e03579. [Google Scholar] [CrossRef]
- De Castro, C.S.; Arruda, A.F.; Da Cunha, L.R.; SouzaDe, J.R.; Braga, J.W.; Dórea, J.G. Toxic Metals (Pb and Cd) and Their Respective Antagonists (Ca and Zn) in Infant Formulas and Milk Marketed in Brasilia, Brazil. Int. J. Environ. Res. Public Health 2010, 7, 4062–4077. [Google Scholar] [CrossRef]
- Zwierzchowski, G.; Ametaj, B.N. Mineral Elements in the Raw Milk of Several Dairy Farms in the Province of Alberta. Foods 2019, 8, 345. [Google Scholar] [CrossRef]
- Ketut Budaraga, I.; Salihat, R.A. Heavy Metals Analysis (Cd, Pb, Zn, Cu, Cr) and Calcium in Padang and Padang Panjang Fresh Cow’s Milk. IOP Conf. Ser. Earth Environ. Sci. 2022, 1038, 012076. [Google Scholar] [CrossRef]
- Puls, R. Mineral Levels in Animal Health, 2nd ed.; Clearbrook: Sherpa International, BC, Canada, 1994; ISBN 096934290X. [Google Scholar]
- Bomjardim, H.A.; Oliveira, C.M.C.; Silveira, J.A.S.; Silva, N.S.; Duarte, M.D.; Faial, K.C.F.; Brito, M.F.; Barbosa, J.D. Deficiências Minerais Em Vacas Em Lactação Da Bacia Leiteira Do Município de Rondon Do Pará, Estado Do Pará. Pesqui. Veterinária Bras. 2015, 35, 409–416. [Google Scholar] [CrossRef]
- Boudebbouz, A.; Boudalia, S.; Bousbia, A.; Gueroui, Y.; Boussadia, M.I.; Chelaghmia, M.L.; Zebsa, R.; Affoune, A.M.; Symeon, G.K. Determination of Heavy Metal Levels and Health Risk Assessment of Raw Cow Milk in Guelma Region, Algeria. Biol. Trace Elem. Res. 2023, 201, 1704–1716. [Google Scholar] [CrossRef] [PubMed]
- Bousbia, A.; Boudalia, S.; Gueroui, Y.; Ghebache, R.; Amrouchi, M.; Belase, B.; Meguelati, S.; Belkheir, B.; Benidir, M.; Chelaghmia, M.L. Heavy metals concentrations in raw cow milk produced in the different livestock farming types in guelma province (algeria): Contamination and risk assessment of consumption. J. Anim. Plant Sci. 2019, 29, 386–395. [Google Scholar]
- Pérez-Carrera, A.L.; Arellano, F.E.; Fernández-Cirelli, A. Concentration of Trace Elements in Raw Milk from Cows in the Southeast of Córdoba Province, Argentina. Dairy. Sci. Technol. 2016, 96, 591–602. [Google Scholar] [CrossRef]
- Muhib, M.I.; Chowdhury, M.A.Z.; Easha, N.J.; Rahman, M.M.; Shammi, M.; Fardous, Z.; Bari, M.L.; Uddin, M.K.; Kurasaki, M.; Alam, M.K. Investigation of Heavy Metal Contents in Cow Milk Samples from Area of Dhaka, Bangladesh. Int. J. Food Contam. 2016, 3, 16. [Google Scholar] [CrossRef]
- Souza, M.V.D.; Vianna, M.W.D.S.; Zandim, B.M.; Fernandes, R.B.A.; Fontes, M.P.F. Metais Pesados Em Amostras Biológicas de Bovinos. Ciência Rural 2009, 39, 1774–1781. [Google Scholar] [CrossRef][Green Version]
- Su, C.; Liu, H.; Qu, X.; Zhou, X.; Gao, Y.; Yang, H.; Zheng, N.; Wang, J. Heavy Metals in Raw Milk and Dietary Exposure Assessment in the Vicinity of Leather-Processing Plants. Biol. Trace Elem. Res. 2021, 199, 3303–3311. [Google Scholar] [CrossRef]
- Zhou, X.; Qu, X.; Zhao, S.; Wang, J.; Li, S.; Zheng, N. Analysis of 22 Elements in Milk, Feed, and Water of Dairy Cow, Goat, and Buffalo from Different Regions of China. Biol. Trace Elem. Res. 2017, 176, 120–129. [Google Scholar] [CrossRef] [PubMed]
- Zhou, X.; Zheng, N.; Su, C.; Wang, J.; Soyeurt, H. Relationships between Pb, As, Cr, and Cd in Individual Cows’ Milk and Milk Composition and Heavy Metal Contents in Water, Silage, and Soil. Environ. Pollut. 2019, 255, 113322. [Google Scholar] [CrossRef]
- Bilandžić, N.; Čalopek, B.; Sedak, M.; Đokić, M.; Gajger, I.T.; Murati, T.; Kmetič, I. Essential and Potentially Toxic Elements in Raw Milk from Different Geographical Regions of Croatia and Their Health Risk Assessment in the Adult Population. J. Food Compos. Anal. 2021, 104, 104152. [Google Scholar] [CrossRef]
- Meshref, A.M.S.; Moselhy, W.A.; Hassan, N.E.-H.Y. Heavy Metals and Trace Elements Levels in Milk and Milk Products. J. Food Meas. Charact. 2014, 8, 381–388. [Google Scholar] [CrossRef]
- Qin, N.; Faludi, G.; Beauclercq, S.; Pitt, J.; Desnica, N.; Pétursdóttir, Á.; Newton, E.E.; Angelidis, A.; Givens, I.; Juniper, D.; et al. Macromineral and Trace Element Concentrations and Their Seasonal Variation in Milk from Organic and Conventional Dairy Herds. Food Chem. 2021, 359, 129865. [Google Scholar] [CrossRef] [PubMed]
- Akele, M.L.; Abebe, D.Z.; Alemu, A.K.; Assefa, A.G.; Madhusudhan, A.; de Oliveira, R.R. Analysis of Trace Metal Concentrations in Raw Cow’s Milk from Three Dairy Farms in North Gondar, Ethiopia: Chemometric Approach. Environ. Monit. Assess. 2017, 189, 499. [Google Scholar] [CrossRef] [PubMed]
- Kodrik, L.; Wagner, L.; Imre, K.; Polyak, K.F.; Besenyei, F.; Husveth, F. The Effect of Highway Traffic on Heavy Metal Content of Cow Milk and Cheese. Hung. J. Ind. Chem. 2011, 39, 15–19. [Google Scholar] [CrossRef]
- Giri, S.; Singh, A.K. Human Health Risk Assessment Due to Metals in Cow’s Milk from Singhbhum Copper and Iron Mining Areas, India. J. Food Sci. Technol. 2020, 57, 1415–1420. [Google Scholar] [CrossRef]
- Giri, A.; Bharti, V.K.; Kalia, S.; Kumar, B.; Chaurasia, O.P. Health Risk Assessment of Heavy Metals Through Cow Milk Consumption in Trans-Himalayan High-Altitude Region. Biol. Trace Elem. Res. 2021, 199, 4572–4581. [Google Scholar] [CrossRef]
- Yasotha, A.; Dabadé, D.S.; Singh, V.P.; Sivakumar, T. Risk Assessment of Heavy Metals in Milk from Cows Reared around Industrial Areas in India. Environ. Geochem. Health 2021, 43, 1799–1815. [Google Scholar] [CrossRef]
- Rezaei, M.; Akbaridastjerdi, H.; Jafari, H.; Farahi, A.; Shahabi, A.; Javdani, H.; Teimoory, H.; Yahyaei, M.; Malekirad, A.A. Assessment of Dairy Products Consumed on the Arakmarket as Determined by Heavy Metal Residues. Health 2014, 6, 323–327. [Google Scholar] [CrossRef]
- Shahbazi, Y.; Ahmadi, F.; Fakhari, F. Voltammetric Determination of Pb, Cd, Zn, Cu and Se in Milk and Dairy Products Collected from Iran: An Emphasis on Permissible Limits and Risk Assessment of Exposure to Heavy Metals. Food Chem. 2016, 192, 1060–1067. [Google Scholar] [CrossRef]
- Tizhoosh, M.; Tizhoosh, H. The Concentration of Zinc, Lead, Cadmium and Copper in Raw Milk Production in Industrial Farms in Khorramabad, Iran. Int. Proc. Chem. Biol. Environ. Eng. 2016, 93, 107–112. [Google Scholar]
- Monteverde, V.; Camilleri, G.; Arfuso, F.; Pennisi, M.; Perillo, L.; Patitò, G.; Gioia, G.; Castronovo, C.; Piccione, G. Heavy Metal Levels in Milk and Serum of Dairy Cows from Different Farms Located near an Industrial Area. Animals 2022, 12, 2574. [Google Scholar] [CrossRef] [PubMed]
- Sarsembayeva, N.; Abdigaliyeva, T.; Utepova, Z.; Biltebay, A.; Zhumagulova, S. Heavy Metal Levels in Milk and Fermented Milk Products Produced in the Almaty Region, Kazakhstan. Vet. World 2020, 13, 609–613. [Google Scholar] [CrossRef] [PubMed]
- Khan, N.; Jeong, I.S.; Hwang, I.M.; Kim, J.S.; Choi, S.H.; Nho, E.Y.; Choi, J.Y.; Park, K.S.; Kim, K.S. Analysis of Minor and Trace Elements in Milk and Yogurts by Inductively Coupled Plasma-Mass Spectrometry (ICP-MS). Food Chem. 2014, 147, 220–224. [Google Scholar] [CrossRef] [PubMed]
- Dragusha, B.; Aliu, H.; Dizman, S. Concentrations of Metal Residues in Domestically Produced and Imported Milk in Kosovo. S. Afr. J. Anim. Sci. 2022, 51, 622–627. [Google Scholar] [CrossRef]
- Castro-González, N.P.; Calderón-Sánchez, F.; Fuentes de María-Torres, M.T.; Silva-Morales, S.S.; González-Juárez, F.E. Heavy Metals in Blood, Milk and Cow’s Urine Reared in Irrigated Areas with Wastewater. Heliyon 2021, 7, e06693. [Google Scholar] [CrossRef]
- Safonov, V. Assessment of Heavy Metals in Milk Produced by Black-and-White Holstein Cows from Moscow. Curr. Res. Nutr. Food Sci. 2020, 8, 410–415. [Google Scholar] [CrossRef]
- Tahir, M.; Iqbal, M.; Abbas, M.; Tahir, M.A.; Nazir, A.; Iqbal, D.N.; Kanwal, Q.; Hassan, F.; Younas, U. Comparative Study of Heavy Metals Distribution in Soil, Forage, Blood and Milk. Acta Ecol. Sin. 2017, 37, 207–212. [Google Scholar] [CrossRef]
- Pilarczyk, R.; Wójcik, J.; Czerniak, P.; Sablik, P.; Pilarczyk, B.; Tomza-Marciniak, A. Concentrations of Toxic Heavy Metals and Trace Elements in Raw Milk of Simmental and Holstein-Friesian Cows from Organic Farm. Environ. Monit. Assess. 2013, 185, 8383–8392. [Google Scholar] [CrossRef]
- Sujka, M.; Pankiewicz, U.; Kowalski, R.; Mazurek, A.; Slepecka, K.; Góral, M. Determination of the Content of Pb, Cd, Cu, Zn in Dairy Products from Various Regions of Poland. Open Chem. 2019, 17, 694–702. [Google Scholar] [CrossRef]
- Miclean, M.; Cadar, O.; Levei, E.A.; Roman, R.; Ozunu, A.; Levei, L. Metal (Pb, Cu, Cd, and Zn) Transfer along Food Chain and Health Risk Assessment through Raw Milk Consumption from Free-Range Cows. Int. J. Environ. Res. Public Health 2019, 16, 4064. [Google Scholar] [CrossRef]
- Năstăsescu, V.; Mititelu, M.; Goumenou, M.; Docea, A.O.; Renieri, E.; Udeanu, D.I.; Oprea, E.; Arsene, A.L.; Dinu-Pîrvu, C.E.; Ghica, M. Heavy Metal and Pesticide Levels in Dairy Products: Evaluation of Human Health Risk. Food Chem. Toxicol. 2020, 146, 111844. [Google Scholar] [CrossRef] [PubMed]
- Suturović, Z.; Kravić, S.; Milanović, S.; Đurović, A.; Brezo, T. Determination of Heavy Metals in Milk and Fermented Milk Products by Potentiometric Stripping Analysis with Constant Inverse Current in the Analytical Step. Food Chem. 2014, 155, 120–125. [Google Scholar] [CrossRef]
- Rey-Crespo, F.; Miranda, M.; López-Alonso, M. Essential Trace and Toxic Element Concentrations in Organic and Conventional Milk in NW Spain. Food Chem. Toxicol. 2013, 55, 513–518. [Google Scholar] [CrossRef] [PubMed]
- González-Montaña, J.R.; Senís, E.; Gutiérrez, A.; Prieto, F. Cadmium and Lead in Bovine Milk in the Mining Area of the Caudal River (Spain). Environ. Monit. Assess. 2012, 184, 4029–4034. [Google Scholar] [CrossRef] [PubMed]
- Diyabalanage, S.; Kalpage, M.D.; Mohotti, D.G.; Dissanayake, C.K.K.; Fernando, R.; Frew, R.D.; Chandrajith, R. Comprehensive Assessment of Essential and Potentially Toxic Trace Elements in Bovine Milk and Their Feeds in Different Agro-Climatic Zones of Sri Lanka. Biol. Trace Elem. Res. 2021, 199, 1377–1388. [Google Scholar] [CrossRef]
- Bakircioglu, D.; Topraksever, N.; Yurtsever, S.; Kizildere, M.; Kurtulus, Y.B. Investigation of Macro, Micro and Toxic Element Concentrations of Milk and Fermented Milks Products by Using an Inductively Coupled Plasma Optical Emission Spectrometer, to Improve Food Safety in Turkey. Microchem. J. 2018, 136, 133–138. [Google Scholar] [CrossRef]
- Koyuncu, M.; Alwazeer, D. Determination of Trace Elements, Heavy Metals, and Antimony in Polyethylene Terephthalate–Bottled Local Raw Cow Milk of Iğdır Region in Turkey. Environ. Monit. Assess. 2019, 191, 666. [Google Scholar] [CrossRef]
- Bigucu, E.; Kaptan, B.; Palabiyik, I.; Oksuz, O. The Effect of Environmental Factors on Heavy Metal and Mineral Compositions of Raw Milk and Water Samples. J. Tekirdag Agric. Fac. 2016, 13, 61–70. [Google Scholar]
- Zyambo, G.; Yabe, J.; Muzandu, K.; Mkandawire, E.; Choongo, K.; Kataba, A.; Chawinga, K.; Liazambi, A.; Nakayama, S.; Nakata, H.; et al. Human Health Risk Assessment from Lead Exposure through Consumption of Raw Cow Milk from Free-Range Cattle Reared in the Vicinity of a Lead–Zinc Mine in Kabwe. Int. J. Environ. Res. Public Health 2022, 19, 4757. [Google Scholar] [CrossRef]
- Caggiano, R.; Sabia, S.; D’Emilio, M.; Macchiato, M.; Anastasio, A.; Ragosta, M.; Paino, S. Metal Levels in Fodder, Milk, Dairy Products, and Tissues Sampled in Ovine Farms of Southern Italy. Environ. Res. 2005, 99, 48–57. [Google Scholar] [CrossRef]
- Levin, R.; Zilli Vieira, C.L.; Rosenbaum, M.H.; Bischoff, K.; Mordarski, D.C.; Brown, M.J. The Urban Lead (Pb) Burden in Humans, Animals and the Natural Environment. Environ. Res. 2021, 193, 110377. [Google Scholar] [CrossRef] [PubMed]
- Bou Kheir, R.; Shomar, B.; Greve, M.B.; Greve, M.H. On the Quantitative Relationships between Environmental Parameters and Heavy Metals Pollution in Mediterranean Soils Using GIS Regression-Trees: The Case Study of Lebanon. J. Geochem. Explor. 2014, 147, 250–259. [Google Scholar] [CrossRef]
- Araujo, L.B. Influência Dos Municípios Pernambucanos Na Poluição Da Bacia Do Rio Mundaú Com Esgoto Domésticoe. Rev. Espec.-Line IPOG 2014, 1, 1–13. [Google Scholar]
- Ogundiran, M.B.; Ogundele, D.T.; Afolayan, P.G.; Osibanjo, O. Heavy Metals Levels in Forage Grasses, Leachate and Lactating Cows Reared around Lead Slag Dumpsites in Nigeria. Int. J. Environ. Res. 2012, 6, 695–702. [Google Scholar] [CrossRef]
- Lopez-Alonso, M.; Benedito, J.L.; Miranda, M.; Castillo, C.; Hernández, J.; Shore, R.F. Interactions between Toxic and Essential Trace Metals in Cattle from a Region with Low Levels of Pollution. Arch. Environ. Contam. Toxicol. 2002, 42, 165–172. [Google Scholar] [CrossRef]
- Miranda, M.; López-Alonso, M.; Castillo, C.; Hernández, J.; Benedito, J.L. Effects of Moderate Pollution on Toxic and Trace Metal Levels in Calves from a Polluted Area of Northern Spain. Environ. Int. 2005, 31, 543–548. [Google Scholar] [CrossRef]
- Alonso, M.L.; Montaña, F.P.; Miranda, M.; Castillo, C.; Hernández, J.; Benedito, J.L. Interactions between Toxic (As, Cd, Hg and Pb) and Nutritional Essential (Ca, Co, Cr, Cu, Fe, Mn, Mo, Ni, Se, Zn) Elements in the Tissues of Cattle from NW Spain. BioMetals 2004, 17, 389–397. [Google Scholar] [CrossRef]
- Massart, D.L.; Kaufman, L. Hierarchical Clustering Methods. In The Interpretation of Analytical Chemical Data by the Use of Cluster Analysis; John Wiley & Sons Inc: New York, NY, USA, 1983; pp. 75–99. [Google Scholar]
- Swarup, D.; Patra, R.C.; Naresh, R.; Kumar, P.; Shekhar, P. Blood Lead Levels in Lactating Cows Reared around Polluted Localities; Transfer of Lead into Milk. Sci. Total Environ. 2005, 347, 106–110. [Google Scholar] [CrossRef]
- Derakhshesh, S.M.; Rahimi, E. Determination of Lead Residue in Raw Cow Milk from Different Regions of Iran by Flameless Atomic Absorption Spectrometry. Am.-Eurasian J. Toxicol. Sci. 2012, 4, 16–19. [Google Scholar]







| Mean ± SE | Median | GM | Range | 25P | 75P | |
|---|---|---|---|---|---|---|
| Cd | 0.007 ± 0.000 | 0.006 | 0.006 | 0.002–0.016 | 0.004 | 0.009 |
| Pb | 0.043 ± 0.002 | 0.040 | 0.040 | 0.013–0.098 | 0.028 | 0.053 |
| Cu | 0.020 ± 0.001 | 0.017 | 0.017 | 0.005–0.072 | 0.014 | 0.022 |
| Fe | 0.055 ± 0.004 | 0.041 | 0.040 | 0.002–0.283 | 0.026 | 0.073 |
| Zn | 0.621 ± 0.022 | 0.590 | 0.559 | 0.033–1.910 | 0.451 | 0.751 |
| Element | R | E | M | R × E | R × M | E × M | R × E × M |
|---|---|---|---|---|---|---|---|
| Cd | ** | − | − | − | − | − | − |
| Pb | ** | − | − | − | − | − | − |
| Cu | * | * | − | − | − | − | − |
| Fe | − | − | − | − | − | − | − |
| Zn | − | − | − | − | − | − | − |
| PC | Eigenvalue | % Variance Explained | % Cumulative Variance Explained |
|---|---|---|---|
| 1 | 2.416 | 48.33 | 48.33 |
| 2 | 1.352 | 27.05 | 75.38 |
| 3 | 0.778 | 15.56 | 90.94 |
| 4 | 0.392 | 7.84 | 98.78 |
| 5 | 0.060 | 1.22 | 100.00 |
Disclaimer/Publisher’s Note: The statements, opinions and data contained in all publications are solely those of the individual author(s) and contributor(s) and not of MDPI and/or the editor(s). MDPI and/or the editor(s) disclaim responsibility for any injury to people or property resulting from any ideas, methods, instructions or products referred to in the content. |
© 2023 by the authors. Licensee MDPI, Basel, Switzerland. This article is an open access article distributed under the terms and conditions of the Creative Commons Attribution (CC BY) license (https://creativecommons.org/licenses/by/4.0/).
Share and Cite
Oliveira Filho, E.F.d.; López-Alonso, M.; Vieira Marcolino, G.; Castro Soares, P.; Herrero-Latorre, C.; Lopes de Mendonça, C.; de Azevedo Costa, N.; Miranda, M. Factors Affecting Toxic and Essential Trace Element Concentrations in Cow’s Milk Produced in the State of Pernambuco, Brazil. Animals 2023, 13, 2465. https://doi.org/10.3390/ani13152465
Oliveira Filho EFd, López-Alonso M, Vieira Marcolino G, Castro Soares P, Herrero-Latorre C, Lopes de Mendonça C, de Azevedo Costa N, Miranda M. Factors Affecting Toxic and Essential Trace Element Concentrations in Cow’s Milk Produced in the State of Pernambuco, Brazil. Animals. 2023; 13(15):2465. https://doi.org/10.3390/ani13152465
Chicago/Turabian StyleOliveira Filho, Emanuel Felipe de, Marta López-Alonso, Guilherme Vieira Marcolino, Pierre Castro Soares, Carlos Herrero-Latorre, Carla Lopes de Mendonça, Nivaldo de Azevedo Costa, and Marta Miranda. 2023. "Factors Affecting Toxic and Essential Trace Element Concentrations in Cow’s Milk Produced in the State of Pernambuco, Brazil" Animals 13, no. 15: 2465. https://doi.org/10.3390/ani13152465
APA StyleOliveira Filho, E. F. d., López-Alonso, M., Vieira Marcolino, G., Castro Soares, P., Herrero-Latorre, C., Lopes de Mendonça, C., de Azevedo Costa, N., & Miranda, M. (2023). Factors Affecting Toxic and Essential Trace Element Concentrations in Cow’s Milk Produced in the State of Pernambuco, Brazil. Animals, 13(15), 2465. https://doi.org/10.3390/ani13152465

