Simple Summary
The mitochondrial genome (mitogenome) recently has been extensively used in evolutionary analyses. The superfamily Certhioidea is a highly diverse group within the passerine clade, and the phylogeny of this group is still controversial. To date, few studies have focused on the mitogenome evolution of Certhioidea. In the present study, we provided six new complete mitogenomes of Certhioidea. Comprehensive analyses were carried out on the mitogenomes of Certhioidea, including basic genomic characteristics, codon usage patterns, evolutionary rates, and phylogenetic implications. Based on our analyses, we found the codon usage biases of genes were asymmetrical. Most importantly, we suggested that Salpornis should be separated from family Certhiidae and put into family Salpornithidae to maintain the monophyly of Certhiidae. The present work may provide new insights on the mitogenome evolution of Certhioidea.
Abstract
The superfamily Certhioidea currently comprises five families. Due to the rapid diversification, the phylogeny of Certhioidea is still controversial. The advent of next generation sequencing provides a unique opportunity for a mitogenome-wide study. Here, we first provided six new complete mitogenomes of Certhioidea (Certhia americana, C. familiaris, Salpornis spilonota, Cantorchilus leucotis, Pheugopedius coraya, and Pheugopedius genibarbis). We further paid attention to the genomic characteristics, codon usages, evolutionary rates, and phylogeny of the Certhioidea mitogenomes. All mitogenomes we analyzed displayed typical ancestral avian gene order with 13 protein-coding genes (PCGs), 22 tRNAs, 2 rRNAs, and one control region (CR). Our study indicated the strand-biased compositional asymmetry might shape codon usage preferences in mitochondrial genes. In addition, natural selection might be the main factor in shaping the codon usages of genes. Additionally, evolutionary rate analyses indicated all mitochondrial genes were under purifying selection. Moreover, MT-ATP8 and MT-CO1 were the most rapidly evolving gene and conserved genes, respectively. According to our mitophylogenetic analyses, the monophylies of Troglodytidae and Sittidae were strongly supported. Importantly, we suggest that Salpornis should be separated from Certhiidae and put into Salpornithidae to maintain the monophyly of Certhiidae. Our findings are useful for further evolutionary studies within Certhioidea.
1. Introduction
The superfamily Certhioidea (5 families, 26 genera, and nearly 150 species) is a highly diverse group within the passerine clade [1,2,3]. It was first erected by Cracraft et al. and initially included four families (Certhiidae, Polioptilidae, Sittidae, and Troglodytidae) that were removed from the superfamily Sylvioidea [4]. Subsequent studies suggested that the wallcreeper (Tichodroma muraria) should be placed in the monotypic family Tichodromidae [5].
Over the years, much molecular work has made best efforts to address the phylogeny of superfamily Certhioidea; however, the deep relationships among families are still controversial [1,5,6,7,8,9,10,11,12,13]. To date, a total of four topologies of superfamily Certhioidea had been proposed: (1) the initial topology suggested by Sibley and Ahlquist [6] according to DNA-DNA hybridization and then reconstructed by Zhao et al. [5] based on seven genes (MT-CYB, MT-ND2, Myo, ODC, GAPDH, LDH, and RAG1) (Figure 1a); (2) the second topology put forward by Barker [1] derived from six genes (MT-CYB, FGB-I4, FGB-I7, RAG1, RAG2, and ZEB1) (Figure 1b); (3) the third was extracted from the overall phylogenetic tree of Passeriformes by Oliveros et al. [7] on the basis of 4,060 ultra-conserved elements (UCE) in nuclear loci (Figure 1c); and (4) the fourth was inferred by Päckert [8] based upon three mitochondrial genes (MT-CYB, MT-CO1, MT-ND2) (Figure 1d).
Figure 1.
Four representative recently published topologies of superfamily Certhioidea. They were derived from: (a) Sibley and Ahlquist (1990), and Zhao et al. (2016); (b) Barker (2017); (c) Oliveros et al. (2019); (d) Päckert et al. (2020). The values at nodes are bootstrap percentage (BP) calculated in RAxML and Bayesian posterior probability (PP) inferred by MrBayes; “*” indicates 100% BS or 1.00 PP.
In contrast with the complex mitogenomes in plants [14,15,16], metazoan animals generally have compacted mitogenomes [17,18,19,20]. With the advent of next-generation sequencing (NGS), a growing number of avian mitogenomes have been sequenced and analyzed since the first mitogenome of chicken was sequenced [21]. Owing to the small size, high evolutionary conservation, and the absence of introns, the mitogenome has been broadly considered as a valuable tool for avian evolutionary analyses [22,23,24,25]. Up to now, nearly 1000 representative mitogenome sequences of birds are available from GenBank (accessed on 15 November 2022). However, only 16 mitogenomes representing 8 genera in the superfamily Certhioidea have been reported. In a recent mitophylogenetic study, Mackiewicz et al. [22] tried their best to collect as many complete passerine mitogenomes as possible; however, only three sequences from Troglodytidae and one sequence from Sittidae were sampled. Hence, focusing on the phylogeny of superfamily Certhioidea at the mitogenome-wide scale is quite necessary.
As is well known, genetic codes are degenerate and each amino acid residue is encoded by multiple synonymous codons. However, the synonymous codons are not equally utilized, which is referred to as codon usage bias (CUB) [26,27,28]. The CUB is species- and gene-specific and is mainly shaped by the balance force between mutation and natural selection [29,30,31,32]. Therefore, analyzing CUB can be helpful to understand the genomic architectures and evolutionary characteristics of organisms. The CUB analyses were performed in some taxa at mitogenome-wide, such as silkworms [33,34], flies [35], and laughing thrushes [36]. Unfortunately, to our knowledge, little or no scientific work on CUB of mitochondrial genes across Certhioidea taxa has been reported. Thus, investigating the CUB pattern might provide valuable insights in the phylogeny of Certhioidea.
In this study, we successfully assembled and annotated six new complete mitogenome sequences of Certhioidea using the genome skimming approach. Based on our new mitogenome sequences, along with other available sequence data from NCBI database, we tried to address: (1) general characterizations of Certhioidea mitogenomes; (2) codon usage patterns of Certhioidea taxa; (3) rates and patterns of molecular evolution of mitogenomes within Certhioidea; and (4) mitophylogenetic relationships within the Certhioidea.
2. Materials and Methods
2.1. Data Acquisition, Mitogenome Assembly, and Annotation
In this study, six new mitogenome sequences of superfamily Certhioidea were retrieved from NCBI SRA database by third-party annotation (TPA) (Table S1). The new data contained four first mitogenomes from three genera (Salpornis, Cantorchilus, Pheugopedius) and two from Certhia. The assembly and annotation of mitogenomes were performed using GetOrganelle 1.7.1 [37] and GeSeq [38], respectively. Furthermore, the nomenclature of gene names followed the criterion proposed by HUGO Gene Nomenclature Committee [39].
2.2. Nucleotide Compositions, Codon Usage Indices and Evolutionary Rates
Sixteen mitogenome sequences obtained from NCBI, along with six new data points from this study, were used for further analyses. The nucleotide compositions for L-strands or H-strands of whole mitogenome were calculated by using BioEdit 7.2.6 [40].
With exclusion of the termination codons (TAA, TAG, AGG, AGA, and T--), the codon usage indices of PCGs, including the relative synonymous codon usage (RSCU), effective number of codons (ENC), the GC content at codon sites 1 and 2 (GC12), 3 (GC3), and synonymous 3 (GC3s), were measured. The RSCU value for a codon represents the observed frequency divided by that expected (RSCU > 1 and implies a codon used more frequently than expected and vice versa). In detail, RSCU, ENC, and GC3s were estimated by CodonW 1.4.4 [41]. GC12 and GC3 were analyzed by MEGA X 10.0.5 [42]. The percentage of variable sites (PV) and average pairwise nucleotide diversity (π) values were measured with DnaSP v6.12 [43]. The nonsynonymous substitution rate (dN), synonymous substitution rate (dS), and dN/dS ratio were inferred with PAML v4.9 under F3X4 and M0 models (the dN/dS ratio >1, =1, and <1 indicate positive, neutral, and purifying selection, respectively) [44].
2.3. Statistical and Graphic Analyses
Statistical tests and linear regression analyses were computed with OriginPro® 2021 software (OriginLab Corporation, Northampton, MA, USA). The former included mean and standard deviation (SD), while the latter involved slope and intercept. To better display the main codon usage patterns of mitochondrial genes among Certhioidea birds, the parity rule 2-bias (PR2) plots, neutrality plots, and ENC-GC3s plots were drawn with ggplots2 package [45] under R x64 4.0.2 (R Core Team, Vienna, Austria).
2.4. Mitophylogenetic Analyses
To better elucidate the evolutionary history of Certhioidea taxa, we conducted mitophylogenetic analyses. Twenty-two Certhioidea species were regarded as ingroups. Additionally, two species from the genus Regulus (R. regulus, NC_029837; R. calendula, NC_024866) were selected as outgroups. All coding regions (13 PCGs without termination codons, 2 rRNAs, and 22 tRNAs) were employed, and multiple sequence alignments were carried out using MAFFT online [46].
The maximum-likelihood (ML) method was performed using RAxML 8.2.12 [47] with 100 ML search runs, 1000 thorough bootstrap replicates, and bootstrapping convergence criterion under the GTRGAMMA model. Prior to the Bayesian inference (BI) analyses, the ModelTest-NG 0.1.6 [48] was used to infer the best-fit models according to Bayesian information criterion (BIC). Subsequently, the BI analyses were conducted by using MrBayes 3.2.7a [49] with two simultaneous runs and four independent MCMC chains (100,000,000 generations, sampling every 10,000th generation). Convergence was checked with the combined effective sample size (ESS) by using Tracer 1.7.1 [50].
3. Results and Discussion
3.1. General Features of Certhioidea Mitogenomes
3.1.1. Genome Sizes and Gene Contents
Our results provide six new complete mitogenomes of Certhioidea: C. americana, C. familiaris, S. spilonota, P. coraya, P. genibarbis, and C. leucotis (accession numbers: BK016977-BK016982). The accession numbers of the sequences investigated in this study are listed in Table 1. Similar to our previous studies in birds [51,52,53], we detected 37 typical mitochondrial genes from investigated data, including 13 PCGs, 2 rRNAs, and 22 tRNAs, as well as one CR (Figure 2). The sizes of Certhioidea mitogenomes ranged from 16,713 (Pheugopedius genibarbis) to 16,920 bp (Certhia brachydactyla) (Table S2). It has been noted that the unusual start codon GTG was observed in MT-CO1 from 7 Sittidae birds, which might be an apomorphy of the family Sittidae (Table S3).
Table 1.
Species of mitogenomes examined in this study.
Figure 2.
Mitogenome map of 6 Certhioidea species we determined.
In addition, mitogenomes in different avian lineages displayed diversified gene recombination. According to the mitochondrial gene orders, five rearrangement types were proposed in birds: (1) ancestral avian; (2) duplicate CR; (3) remnant CR; (4) duplicate MT-TT–CR; and (5) Hereafter MT-TP–CR [59,60]. In the current study, all investigated mitogenomes of Certhioidea have a typical ancestral avian gene order which was first reported in chicken [21]. The remaining four types could be observed in Amazona parrots [61], Thalassarche albatrosses [62], Falco peregrinus [63], and Calidris pugnax [60], respectively. These gene rearrangement events might result from the processes of tandem duplication and random loss (TDRL) [64,65,66].
3.1.2. Asymmetry in Nucleotide Compositions of Certhioidea Mitogenomes
As we know, animal mitochondrial DNA has two strands. Typically, the two mitochondrial DNA strands could be separated by CsCl density gradient centrifugation [67,68]. In this way, an animal mitochondrial genome could be divided into a H-strand (higher G + T content) and L-strand (lower G + T content) [68,69,70]. Thus, the nucleotide composition of the two strands exhibits strand-biased compositional asymmetry (SCA).
In our current study, within 22 mitogenomes of the superfamily Certhioidea, the overall G + T contents of L-strands (38.4% ± 1.0%) are far lower than those of H-strands (61.7% ± 0.9%), which exhibits extreme SCA (Figure 3, Table S4). This asymmetry of overall nucleotide compositions could be explained based on the strand displacement model of mitochondrial DNA [69]. During the DNA replication process, the spontaneous deamination of A and C could respectively bring I (hypoxanthine) and U mutation in template strands; hence, the newly synthesized strand tends to accumulate more U → C and G → A mutations (I:C pair replaced A:U pair, and U:A pair replaced C:G pair) [71,72,73,74]. Specifically, for most vertebrate mitochondrial genomes, H-strands become rich in G and T, whereas L-strands comprise more A and C.
Figure 3.
Nucleotide compositions of whole mitogenomes among superfamily Certhioidea species. H and L indicate H-strand and L-stand of mitogenome, respectively.
However, paradoxically, many published studies for vertebrate mitochondrial genomes have described the H-strand as the lower G + T content one with higher amounts of encoding genes, such as humans (GT content = 37.8%) [20], tube-nosed bats (GT content = 42.3%) [75], and Reeve’s turtles (GT content = 39.9%) [67]. These seemingly contradictory results have been possibly explained by Lima and Prosdocimi [68]. They inferred that the phenomena might be caused by the historical reasons that most researchers had neglected the correct assignment of mitochondrial strands since Taanman [20] proposed most vertebrate mitochondrial genes were on the H-strand. Combining the results of this study and previous reports [68,69,70], we proposed that most vertebrate mitochondrial genes should be on the L-strand.
3.2. Codon Usage Patterns of PCGs
3.2.1. Asymmetry in Codon Usages of Mitochondrial Genes
The detailed information on RSCU values could be seen in Table S5. Most surprisingly of all, the RSCU analyses revealed that the over-represented (RSCUmean > 1.6) and preferred (1.0 < RSCUmean ≤ 1.6) codons of all 12 PCGs encoded by L-strands predominantly end with A or C (Table S6). In fact, some previous studies indicated that ATP genes (MT-ATP6 and MT-ATP8) [76], MT-CYB [77], CO genes (MT-CO1, MT-CO2, and MT-CO3) [78], and MT-ND1 [79] of birds prefer to use A/C-ending codons. Our current study reconfirmed these results among Certhioidea birds. In contrast, different from the codon usage pattern of L-strand genes, the MT-ND6 encoded by H-strands preferred to use the G/T-ending codons (Table S5 and Table S6).
Furthermore, the GC bias [G3/(G3 + C3)] and AT bias [A3/(A3 + T3)] of each gene among 22 birds were analysed. According to PR2 plot, the points were at the center (GC bias = 0.5, AT bias = 0.5), meaning no bias for mutation and selection; however, the off-centered points reflect the existence of bias [80]. In our analysis, the uniform PR2 pattern (points almost lied on the second quadrant with GC bias < 0.5 and AT bias > 0.5) was observed among all L-strand genes (Figure 4). Most interestingly, the reversed PR2 pattern (points lied on the fourth quadrant with GC bias > 0.5 and AT bias < 0.5) was detected in MT-ND6 (Figure 4). These off-centered distributions confirmed that the role of mutation pressure and natural selection in shaping the codon usage of mitochondrial genes among Certhioidea birds. In addition, these results indicated again that the H-strand genes and L-strand genes are inclined to employ G/T-ending and A/C-ending codons, respectively. Our study indicated that the SCA might shape the codon usage pattern of both H-strand and L-strand genes in avian mitogenomes. Notably, we found that two points representing C. brachydactyla and C. familiaris were markedly different from other points in the PR2 plot of MT-ATP8 compared with other Certhia species. As reported by Abdoli et al. [33], similar asymmetric distributions of PR2 plots were observed in mitochondrial genes of silkworms. In that work, four H-strand genes and nine L-strand genes obviously preferred to use G/T-ending codons and C-ending codons (the preferences of A-ending codons were not obvious), respectively [33]. In contrast, due to the differences in gene numbers in H-strands and L-strands, the PR2 bias patterns of Certhioidea birds were quite different from those of silkworms.
Figure 4.
PR2 plots of mitochondrial genes among superfamily Certhioidea species. The x-axis: GC-bias [G3/(G3 + C3)]. The y-axis: AT-bias [A3/(A3 + T3)].
To our knowledge, the asymmetrical codon usage patterns of PCGs were first found in the mitogenome of Asterina pectinifera (echinoderm), where three mitochondrial genes encoded by H-strands tend to use G/T-ending codons, whereas the remaining 10 genes on the opposite strand prefer to use A/C-ending codons [81]. After that, the asymmetrical codon usage patterns were found in some vertebrate mitogenomes, such as mammalian mitogenomes, suggesting that L-strand genes are fond of A/C-ending codons [82]. In addition, similar phenomena were also be found in several bacterial genomes, such as Borrelia burgdorferi [83], Tropheryma whipplei [84] and Lawsonia intracellularis [85], that the genes encoded by leading strand favored G/T-ending codons, whereas those on the lagging strand preferred to use A/C-ending codons. Most interestingly, these phenomena were only found in circular genomes.
3.2.2. Main Driving Factor in Codon Usages of Mitochondrial Genes
The ENC and GC3s values of 13 genes among Certhioidea birds were calculated by CodonW. Consequently, the analysis results showed huge variations among genes and species, with the ENC values ranging from 27.85 (MT-ND4L in Sitta nagaensis) to 50.38 (MT-ND1 in Certhia familiaris) (Table S7), and the GC3s values extending from 0.327 (MT-ATP8 in Polioptila caerulea) to 0.704 (MT-ND4L in C. familiaris) (Table S8). Generally, the ENC value ≤ 35 indicates significant codon usage bias (CUB) [86,87]. Among a total of 286 sequences (13 genes from 22 species), 54 (18.88%) exhibited significant CUB, while the remaining 232 (81.12%) exhibited relatively weak CUB.
ENC-GC3s plot analysis is an efficient tool for verifying the main driving factor of codon usage bias (mutational bias or natural selection) [36,88,89]. If the codon usage is only influenced by mutational bias, the points are expected to lie on or just below the expected ENC curve; alternatively, if one gene is under pure natural selection, it is far away from the expected curve [36,88,89]. As can be seen from Figure S1, the points of all 13 PCGs from Certhioidea mitogenomes are distributed well below the curve, illuminating the predominance of natural selection pressure over mutational bias. Interestingly, the ENC-GC3s point distributions of 13 PCGs presented in this report were found highly similar to those of Laughing thrushes [36].
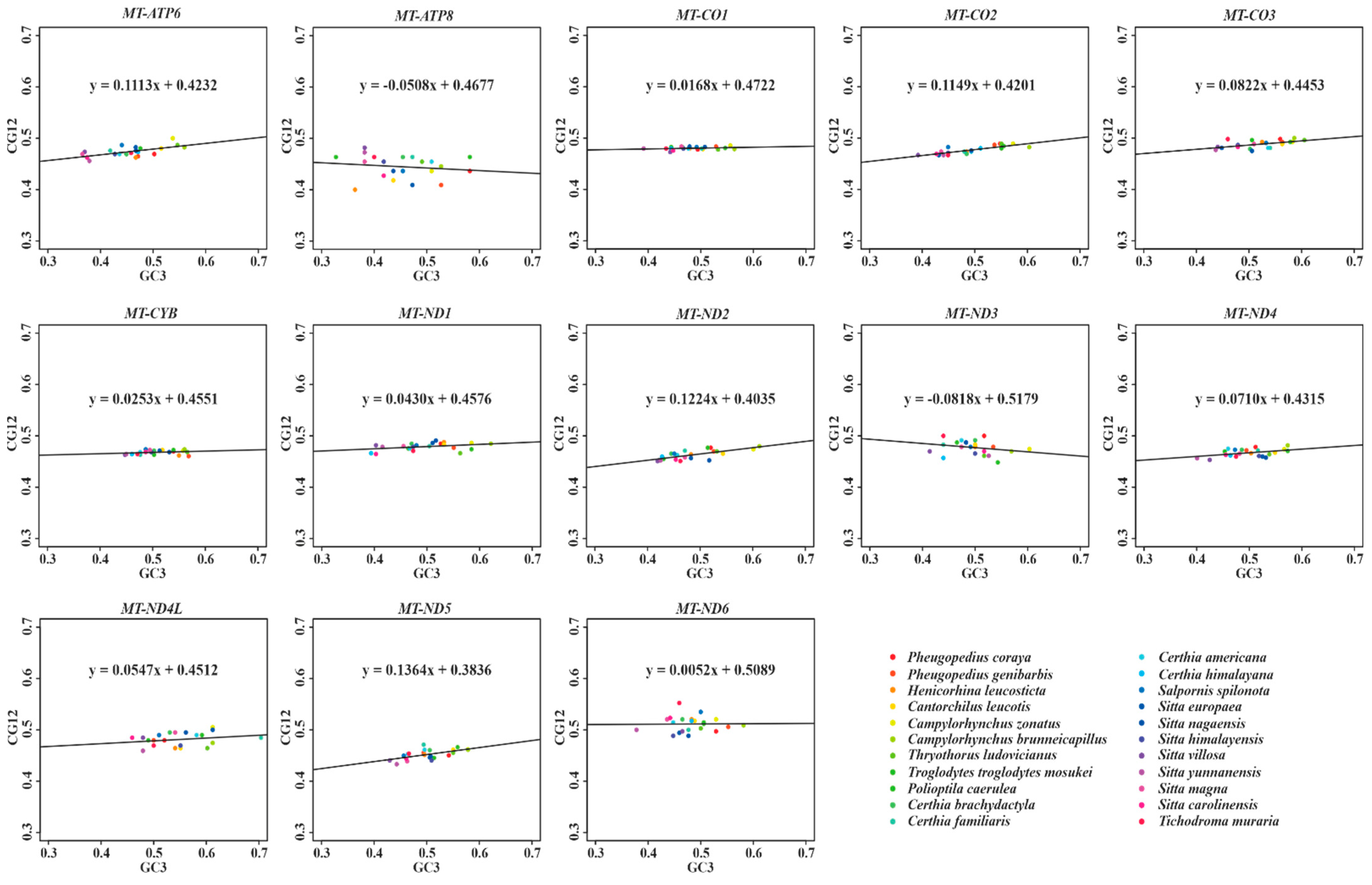
Neutrality plots of the 13 PCGs were drawn to estimate the extent of influence of mutation pressure and natural selection on the CUB. The regression coefficient (slope) of neutrality plot is regarded as the mutation–selection equilibrium frequency. Here, a slope of 1 represents complete neutrality, while 0 shows complete selective constraint [90,91]. Furthermore, a slope of less than 0.5 could reflect that selection might have played a major role in shaping CUB, with greater than 0.5 and less than 1 indicating dominant influence of mutation pressure [33]. Previous studies indicated the CUB of MT-ATP8 (0.063) [76] and MT-CYB (0.024) [92] of birds were mainly shaped by selection. In this study, as shown in Figure 5, the absolute values of the slopes of 13 PCGs ranged from 0.0052 (MT-ND6) to 0.1364 (MT-ND5). All these values were much lower than 0.5, suggesting that natural selection played a more important role than mutation in shaping the CUB of mitochondrial genes among Certhioidea taxa. In addition, these regression coefficients showed that the contributions of mutation pressure were 0.52%, 1.68%, 2.53%, 4.30%, 5.08%, 5.47%, 7.10%, 8.18%, 8.22%, 11.13%, 11.49%, 12.24%, and 13.64% for MT-ND6, MT-CO1, MT-CYB, MT-ND1, MT-ATP8, MT-ND4L, MT-ND4, MT-ND3, MT-CO3, MT-ATP6, MT-CO2, MT-ND2, and MT-ND5, respectively.
Figure 5.
Neutrality plots of mitochondrial genes among superfamily Certhioidea species.
As we know, natural selection on codon usage can increase translation accuracy and efficiency, resulting in a reduction in global translation costs [93]. Through comprehensive analyses of ENC-GC3s and neutrality plots, we demonstrate the major role of natural selection in evolution of codon usage for Certhioidea mitogenomes. In order to better investigate the CUB of mitochondrial genes among birds, more endeavors are needed for further studies.
3.3. Evolutionary Rates and Patterns
To better understand the evolutionary patterns of mitochondrial PCGs, some indices, including PV, π, dN, dS, and dN/dS values, were evaluated within the superfamily Certhioidea. Among the 13 mitochondrial PCGs, MT-ATP8 is the most divergent gene by PV value (53.94%), followed by MT-ND2 (52.31%), and MT-ND6 (51.55%). By contrast, the lowest two are MT-CO1 (36.05%) and MT-CO3 (39.21%). The π values of PCGs ranged from 0.13119 to 0.18695 (Table 2).
Table 2.
Evolutionary rates of mitochondrial PCGs of Certhioidea species.
The dN values varied between 0.073 and 1.0157. Surprisingly, the dS values displayed relatively wide ranges (5.7834–19.4011) compared to dN values, which resulted in significantly lower dN/dS ratios (0.00604–0.17562) (Table 2). These results indicated the mitochondrial PCGs of Certhioidea species appear to be evolving under purifying selection. In this study, the MT-ATP8 (dN/dS = 0.17562) and MT-CO1 (dN/dS = 0.00604), respectively, are the most rapidly evolving gene and most conserved gene among the 13 PCGs, which is congruent with our previous studies in Accipitriformes [94], Passeriformes [51], and Piciformes [95].
Mitochondrial genes play a pivotal role in the process of oxidative phosphorylation [96,97,98]. Nonsynonymous substitutions are generally harmful in respiratory-chain activity, which might limit the energy biosynthesis [99,100]. To maintain functional requirements, most genes (dN/dS < 0.1), especially for MT-CO1, experienced strong evolutionary constraints [101,102], whereas MT-ATP8 (dN/dS > 0.1) has evolved more quickly than others. It is interesting why MT-ATP8 evolved so fast. The probable reason is that fixation of advantageous mutations in MT-ATP8 might result in accelerated evolution of other mitochondrial genes by compensation-draft feedback (CDF) process [103,104]. Therefore, these findings confirm that MT-ATP8 might play important roles in the evolution of avian mitogenomes.
3.4. Phylogenetic Implications
Currently, there is a paucity of research focusing on the phylogeny of superfamily Certhioidea at the mitogenome-wide level. Our study sampled all the families of superfamily Certhioidea to reconstruct the mitophylogenetic tree. The best-fit models of partitioned analyses can be seen in Table S9. The bootstrap convergence assessment checked by RAxML showed that the ML analysis converged after 150 replicates. The ESS checked by Tracer was 2843.7 (>200), indicating the BI analyses were also convincible. The trees derived from ML and BI methods displayed the same topology (Figure 6). The mitophylogenetic tree inferred by our study is similar with the initial topology proposed by Sibley and Ahlquist [6].
Figure 6.
Phylogenetic tree of superfamily Certhioidea. The BS and PP values for each node are indicated; “*” indicates 100% BS or 1.00 PP. † a novel family recommended by Oliveros et al. [7].
Troglodytidae is monophyletic and sister to Polioptilidae (represented by P. caerulea) with high supports (BS = 100 and PP = 1.00), which agrees with many previous reports [1,5,7,8,13,105]. We further divided Troglodytidae into two distinct clades (clade A and clade B). Within clade A, two species of the genus Pheugopedius (P. coraya and P. genibarbis) are sister to (H. leucosticte and C. leucotis) (BS = 100 and PP = 1.00). Meanwhile, within clade B, T. ludovicianus and two Campylorhynchus species (C. zonatus and C. brunneicapillus) were generally identified as sister taxa (BS = 65 and PP = 1.00), with T. troglodytes mosukei in a basal position. Notably, three species (C. leucotis, P. coraya, P. genibarbis) in clade A were formerly treated as members of Thryothorus but have been classified into two novel genera (Cantorchilus and Pheugopedius) by Mann et al. [106]. As is seen in Figure 6, Henicorhina leucosticte is embedded in these three species. Therefore, our results support the above taxonomic revisions.
In addition, the genus Salpornis (represented by S. spilonota) might have a relatively closer relationship to the genus Certhia with much lower support values (BS = 33 and PP = 0.59). According to the Clements Checklist 2022 [2] and IOC World Bird List v. 12.1 [3], these two genera (Certhia and Salpornis) make up the current family Certhiidae. However, Oliveros et al. [7] put Salpornis into a novel family Salpornithidae to maintain the monophyly of Certhiidae (Figure 1c). Moreover, in contrast with the study of Zhao et al. (Figure 1a) [5], obviously decreased support values at the node of (Salpornis and Certhia) were observed in our study (BS: 51 → 33; PP: 0.99 → 0.59). Therefore, in order to keep the monophyly of Certhiidae, we also suggest Salpornis should be classified into the Salpornithidae family. Furthermore, Sittidae, including seven Sitta species, is sister to Tichodromidae (represented by T. muraria) with a low BS value but a high PP value (BS = 48 and PP = 1.00) in our study. These results were similar to those of Zhao et al. (Figure 1a) [5].
According to our analyses, the monophylies of Troglodytidae and Sittidae were strongly supported. However, there are still many unsolved phylogenetic problems within superfamily Certhioidea, especially the relationships among families of Certhioidea, which are not entirely clear. In order to better understand the phylogeny of these taxa, more data are needed for the further detailed analyses.
4. Conclusions
In the present study, six new mitogenomes of superfamily Certhioidea were reported. The sizes of mitogenomes within Certhioidea ranged from 16,713 to 16,920 bp. It has been noted that the unusual start codon GTG was observed in MT-CO1 from seven Sittidae birds, which might be an apomorphy of the family Sittidae. Within mitogenomes of Certhioidea, the overall G + T contents of L-strands (38.4% ± 1.0%) are far lower than those of H-strands (61.7% ± 0.9%). Additionally, RSCU values and PR2 plots analyses indicated that H-strand genes preferred to use G/T-ending codons, while L-strand genes tend to utilize A/C-ending codons. These differences might be caused by strand-biased compositional asymmetry. The ENC-GC3s plot and neutrality plot analyses illustrated that natural selection might play a critical role on shaping the codon usages of mitochondrial genes. Furthermore, the regression coefficients of neutrality plots indicated that the effect degrees of mutation pressure ranged from 0.52% to 13.64% for 13 mitochondrial PCGs within Certhioidea. Evolutionary rate analyses indicated all mitochondrial genes of Certhioidea were under purifying selection. Furthermore, MT-ATP8 (dN/dS = 0.17562) and MT-CO1 (dN/dS = 0.00604) were the most rapidly evolving gene and conserved gene, respectively. According to our mitophylogenetic analyses, the monophylies of Troglodytidae and Sittidae were strongly supported. Importantly, we suggest that Salpornis should be separated from Certhiidae and put into Salpornithidae to maintain the monophyly of Certhiidae.
Supplementary Materials
The following supporting information can be downloaded at: https://www.mdpi.com/article/10.3390/ani13010096/s1, Figure S1: ENC-GC3s plots of mitochondrial genes among superfamily Certhioidea species; Table S1: The SRA accession numbers of six superfamily Certhioidea species; Table S2: The size and GC content of each part of mitogenomes among superfamily Certhioidea species; Table S3: The start and stop codons used in mitogenomes of superfamily Certhioidea species; Table S4: The detailed nucleotide compositions of mitogenomes among superfamily Certhioidea species; Table S5: The detailed RSCU values of 13 mitochondrial genes among superfamily Certhioidea species; Table S6: The overall over-represented codons and preferred codons in the mitochondrial genes among superfamily Certhioidea species; Table S7: The detailed ENC values of 13 mitochondrial genes among superfamily Certhioidea species; Table S8: The detailed GC3s values of 13 mitochondrial genes among superfamily Certhioidea species; Table S9: The best-fit models of each partition.
Author Contributions
Writing—original draft and methodology, H.D.; software and data curation, S.H., R.Y. and Y.Y.; formal analysis, J.G.; validation, J.Y.; investigation, S.Z. and D.B.; conceptualization, supervision, funding acquisition, project administration, and writing—review and editing, X.K. All authors have read and agreed to the published version of the manuscript.
Funding
This research was funded by the Opening Foundation of Anhui Provincial Key Laboratory of the Conservation and Exploitation of Biological Resources (Grant No. swzy202002).
Institutional Review Board Statement
Not applicable.
Informed Consent Statement
Not applicable.
Data Availability Statement
The sequence data generated in this study are available in GenBank of the National Center for Biotechnology Information (NCBI) under the access numbers: BK016977–BK016982.
Acknowledgments
We kindly acknowledge three anonymous reviewers for the fruitful and critical comments.
Conflicts of Interest
The authors declare no conflict of interest.
References
- Barker, F.K. Molecular phylogenetics of the wrens and allies (Passeriformes: Certhioidea), with comments on the relationships of Ferminia. Am. Mus. Novit. 2017, 2017, 1–28. [Google Scholar] [CrossRef]
- Clements, J.F.; Schulenberg, T.S.; Iliff, M.J.; Fredericks, T.A.; Gerbracht, J.A.; Lepage, D.; Billerman, S.M.; Sullivan, B.L.; Wood, C.L. The eBird/Clements Checklist of Birds of the World: v2022. Available online: https://www.birds.cornell.edu/clementschecklist/ (accessed on 15 November 2022).
- Gill, F.; Donsker, D.; Rasmussen, P. IOC World Bird List (v12.1). Available online: https://www.worldbirdnames.org/new/ (accessed on 15 November 2022).
- Cracraft, J.; Barker, F.K.; Braun, M.; Harshman, J.; Dyke, G.J.; Feinstein, J.; Stanley, S.; Cibois, A.; Schikler, P.; Beresford, P. Phylogenetic relationships among modern birds (Neornithes): Toward an avian tree of life. In Assembling the Tree of Life; Cracraft, J., Dononghue, M.J., Eds.; Oxford University Press: Oxford, UK, 2004; pp. 468–489. [Google Scholar]
- Zhao, M.; Alström, P.; Olsson, U.; Qu, Y.; Lei, F. Phylogenetic position of the Wallcreeper Tichodroma muraria. J. Ornithol. 2016, 157, 913–918. [Google Scholar] [CrossRef]
- Sibley, C.G.; Ahlquist, J.E. Phylogeny and Classification of Birds: A Study in Molecular Evolution; Yale University Press: New Haven, CT, USA, 1990. [Google Scholar]
- Oliveros, C.H.; Field, D.J.; Ksepka, D.T.; Barker, F.K.; Aleixo, A.; Andersen, M.J.; Alström, P.; Benz, B.W.; Braun, E.L.; Braun, M.J. Earth history and the passerine superradiation. Proc. Natl. Acad. Sci. USA 2019, 116, 7916–7925. [Google Scholar] [CrossRef] [PubMed]
- Päckert, M.; Bader-Blukott, M.; Künzelmann, B.; Sun, Y.-H.; Hsu, Y.-C.; Kehlmaier, C.; Albrecht, F.; Illera Cobo, J.C.; Martens, J. A revised phylogeny of nuthatches (Aves, Passeriformes, Sitta) reveals insight in intra-and interspecific diversification patterns in the Palearctic. Vertebr. Zool. 2020, 70, 241–262. [Google Scholar]
- Barker, F.K.; Cibois, A.; Schikler, P.; Feinstein, J.; Cracraft, J. Phylogeny and diversification of the largest avian radiation. Proc. Natl. Acad. Sci. USA 2004, 101, 11040–11045. [Google Scholar] [CrossRef]
- Reddy, S.; Cracraft, J. Old World Shrike-babblers (Pteruthius) belong with New World Vireos (Vireonidae). Mol. Phylogenet. Evol. 2007, 44, 1352–1357. [Google Scholar] [CrossRef]
- Barker, F.K. Monophyly and relationships of wrens (Aves: Troglodytidae): A congruence analysis of heterogeneous mitochondrial and nuclear DNA sequence data. Mol. Phylogenet. Evol. 2004, 31, 486–504. [Google Scholar] [CrossRef]
- Zuccon, D.; Cibois, A.; Pasquet, E.; Ericson, P.G. Nuclear and mitochondrial sequence data reveal the major lineages of starlings, mynas and related taxa. Mol. Phylogenet. Evol. 2006, 41, 333–344. [Google Scholar] [CrossRef]
- Johansson, U.S.; Fjeldså, J.; Bowie, R.C. Phylogenetic relationships within Passerida (Aves: Passeriformes): A review and a new molecular phylogeny based on three nuclear intron markers. Mol. Phylogenet. Evol. 2008, 48, 858–876. [Google Scholar] [CrossRef]
- Kan, S.-L.; Shen, T.-T.; Gong, P.; Ran, J.-H.; Wang, X.-Q. The complete mitochondrial genome of Taxus cuspidata (Taxaceae): Eight protein-coding genes have transferred to the nuclear genome. BMC Evol. Biol. 2020, 20, 10. [Google Scholar] [CrossRef]
- Wu, Z.Q.; Liao, X.Z.; Zhang, X.N.; Tembrock, L.R.; Broz, A. Genomic architectural variation of plant mitochondria—A review of multichromosomal structuring. J. Syst. Evol. 2022, 60, 160–168. [Google Scholar] [CrossRef]
- Ding, H.; Bi, D.; Zhang, S.; Han, S.; Ye, Y.; Yi, R.; Yang, J.; Liu, B.; Wu, L.; Zhuo, R.; et al. The Mitogenome of Sedum plumbizincicola (Crassulaceae): Insights into RNA Editing, Lateral Gene Transfer, and Phylogenetic Implications. Biology 2022, 11, 1661. [Google Scholar] [CrossRef] [PubMed]
- Boore, J.L. Animal mitochondrial genomes. Nucleic Acids Res. 1999, 27, 1767–1780. [Google Scholar] [CrossRef] [PubMed]
- Pons, J.; Bover, P.; Bidegaray-Batista, L.; Arnedo, M.A. Arm-less mitochondrial tRNAs conserved for over 30 millions of years in spiders. BMC Genom. 2019, 20, 665. [Google Scholar] [CrossRef] [PubMed]
- Prada, C.F.; Hazzi, N.A.; Hormiga, G.; Cabarcas, F.; Franco, L.M. Complete mitochondrial genome of Phoneutria depilata (Araneae, Ctenidae): New insights into the phylogeny and evolution of spiders. Gene 2023, 850, 146925. [Google Scholar] [CrossRef] [PubMed]
- Taanman, J.-W. The mitochondrial genome: Structure, transcription, translation and replication. Biochim. Biophys. Acta 1999, 1410, 103–123. [Google Scholar] [CrossRef]
- Desjardins, P.; Morais, R. Sequence and gene organization of the chicken mitochondrial genome: A novel gene order in higher vertebrates. J. Mol. Biol. 1990, 212, 599–634. [Google Scholar] [CrossRef]
- Mackiewicz, P.; Urantówka, A.D.; Kroczak, A.; Mackiewicz, D. Resolving phylogenetic relationships within Passeriformes based on mitochondrial genes and inferring the evolution of their mitogenomes in terms of duplications. Genome Biol. Evol. 2019, 11, 2824–2849. [Google Scholar] [CrossRef]
- Zhong, Y.; Zhou, M.; Ouyang, B.; Zeng, C.; Zhang, M.; Yang, J. Complete mtDNA genome of Otus sunia (Aves, Strigidae) and the relaxation of selective constrains on Strigiformes mtDNA following evolution. Genomics 2020, 112, 3815–3825. [Google Scholar] [CrossRef]
- Wu, T.; Ma, X.; Wang, F.; Xie, L.; Lv, Q.; Zeng, M.; Xu, Y.; Qin, S.; Chang, Q. First Description of the Mitogenome Features of Neofoleyellides Genus (Nematoda: Onchocercidae) Isolated from a Wild Bird (Pyrrhocorax pyrrhocorax). Animals 2022, 12, 2854. [Google Scholar] [CrossRef]
- Huang, Z.; Tu, F.; Ke, D. Complete mitochondrial genome of blue-throated bee-eater Merops viridis (Coraciiformes: Meropidae) with its taxonomic consideration. Pakistan J. Zool. 2017, 49, 79–84. [Google Scholar] [CrossRef]
- Hershberg, R.; Petrov, D.A. Selection on codon bias. Annu. Rev. Genet. 2008, 42, 287–299. [Google Scholar] [CrossRef] [PubMed]
- Chakraborty, S.; Mazumder, T.H.; Uddin, A. Compositional dynamics and codon usage pattern of BRCA1 gene across nine mammalian species. Genomics 2019, 111, 167–176. [Google Scholar] [CrossRef] [PubMed]
- Ikemura, T. Correlation between the abundance of Escherichia coli transfer RNAs and the occurrence of the respective codons in its protein genes: A proposal for a synonymous codon choice that is optimal for the E. coli translational system. J. Mol. Biol. 1981, 151, 389–409. [Google Scholar] [CrossRef]
- Duret, L. tRNA gene number and codon usage in the C. elegans genome are co-adapted for optimal translation of highly expressed genes. Trends Genet. 2000, 16, 287–289. [Google Scholar] [CrossRef]
- Stoletzki, N.; Eyre-Walker, A. Synonymous codon usage in Escherichia coli: Selection for translational accuracy. Mol. Biol. Evol. 2007, 24, 374–381. [Google Scholar] [CrossRef] [PubMed]
- Yi, S.; Li, Y.; Wang, W. Selection shapes the patterns of codon usage in three closely related species of genus Misgurnus. Genomics 2018, 110, 134–142. [Google Scholar] [CrossRef]
- Yang, J.; Ding, H.; Kan, X. Codon usage patterns and evolution of HSP60 in birds. Int. J. Biol. Macromol. 2021, 183, 1002–1012. [Google Scholar] [CrossRef] [PubMed]
- Abdoli, R.; Mazumder, T.H.; Nematollahian, S.; Zanjani, R.S.; Mesbah, R.A.; Uddin, A. Gaining insights into the compositional constraints and molecular phylogeny of five silkworms mitochondrial genome. Int. J. Biol. Macromol. 2022, 206, 543–552. [Google Scholar] [CrossRef]
- Wei, L.; He, J.; Jia, X.; Qi, Q.; Liang, Z.; Zheng, H.; Ping, Y.; Liu, S.; Sun, J. Analysis of codon usage bias of mitochondrial genome in Bombyx moriand its relation to evolution. BMC Evol. Biol. 2014, 14, 262. [Google Scholar] [CrossRef]
- Guan, D.-L.; Qian, Z.-Q.; Ma, L.-B.; Bai, Y.; Xu, S.-Q. Different mitogenomic codon usage patterns between damselflies and dragonflies and nine complete mitogenomes for odonates. Sci. Rep. 2019, 9, 678. [Google Scholar] [CrossRef] [PubMed]
- Sarkar, I.; Dey, P.; Sharma, S.K.; Ray, S.D.; Kochiganti, V.H.S.; Singh, R.; Pramod, P.; Singh, R.P. Turdoides affinis mitogenome reveals the translational efficiency and importance of NADH dehydrogenase complex-I in the Leiothrichidae family. Sci. Rep. 2020, 10, 16202. [Google Scholar] [CrossRef] [PubMed]
- Jin, J.-J.; Yu, W.-B.; Yang, J.-B.; Song, Y.; Depamphilis, C.W.; Yi, T.-S.; Li, D.-Z. GetOrganelle: A fast and versatile toolkit for accurate de novo assembly of organelle genomes. Genome Biol. 2020, 21, 241. [Google Scholar] [CrossRef] [PubMed]
- Tillich, M.; Lehwark, P.; Pellizzer, T.; Ulbricht-Jones, E.S.; Fischer, A.; Bock, R.; Greiner, S. GeSeq–versatile and accurate annotation of organelle genomes. Nucleic Acids Res. 2017, 45, W6–W11. [Google Scholar] [CrossRef] [PubMed]
- Tweedie, S.; Braschi, B.; Gray, K.; Jones, T.E.; Seal, R.L.; Yates, B.; Bruford, E.A. Genenames. org: The HGNC and VGNC resources in 2021. Nucleic Acids Res. 2021, 49, D939–D946. [Google Scholar] [CrossRef]
- Hall, T.; Biosciences, I.; Carlsbad, C. BioEdit: An important software for molecular biology. GERF Bull Biosci 2011, 2, 60–61. [Google Scholar]
- Peden, J.F. Analysis of Codon Usage; University of Nottingham: Nottingham, UK, 2000; Available online: http://codonw.sourceforge.net/ (accessed on 15 November 2022).
- Kumar, S.; Stecher, G.; Li, M.; Knyaz, C.; Tamura, K. MEGA X: Molecular evolutionary genetics analysis across computing platforms. Mol. Biol. Evol. 2018, 35, 1547–1549. [Google Scholar] [CrossRef]
- Rozas, J.; Ferrer-Mata, A.; Sánchez-DelBarrio, J.C.; Guirao-Rico, S.; Librado, P.; Ramos-Onsins, S.E.; Sánchez-Gracia, A. DnaSP 6: DNA sequence polymorphism analysis of large data sets. Mol. Biol. Evol. 2017, 34, 3299–3302. [Google Scholar] [CrossRef]
- Yang, Z. PAML 4: Phylogenetic analysis by maximum likelihood. Mol. Biol. Evol. 2007, 24, 1586–1591. [Google Scholar] [CrossRef]
- Wilkinson, L. Ggplot2: Elegant graphics for data analysis by WICKHAM, H. Biometrics 2011, 67, 678–679. [Google Scholar] [CrossRef]
- Katoh, K.; Rozewicki, J.; Yamada, K.D. MAFFT online service: Multiple sequence alignment, interactive sequence choice and visualization. Brief Bioinform. 2019, 20, 1160–1166. [Google Scholar] [CrossRef] [PubMed]
- Stamatakis, A. RAxML version 8: A tool for phylogenetic analysis and post-analysis of large phylogenies. Bioinformatics 2014, 30, 1312–1313. [Google Scholar] [CrossRef]
- Darriba, D.; Posada, D.; Kozlov, A.M.; Stamatakis, A.; Morel, B.; Flouri, T. ModelTest-NG: A new and scalable tool for the selection of DNA and protein evolutionary models. Mol. Biol. Evol. 2020, 37, 291–294. [Google Scholar] [CrossRef] [PubMed]
- Ronquist, F.; Teslenko, M.; Van Der Mark, P.; Ayres, D.L.; Darling, A.; Höhna, S.; Larget, B.; Liu, L.; Suchard, M.A.; Huelsenbeck, J.P. MrBayes 3.2: Efficient Bayesian phylogenetic inference and model choice across a large model space. Syst. Biol. 2012, 61, 539–542. [Google Scholar] [CrossRef] [PubMed]
- Rambaut, A.; Drummond, A.J.; Xie, D.; Baele, G.; Suchard, M.A. Posterior summarization in Bayesian phylogenetics using Tracer 1.7. Syst. Biol. 2018, 67, 901. [Google Scholar] [CrossRef] [PubMed]
- Ren, Q.; Yuan, J.; Ren, L.; Zhang, L.; Zhang, L.; Jiang, L.; Chen, D.; Kan, X.; Zhang, B. The complete mitochondrial genome of the yellow-browed bunting, Emberiza chrysophrys (Passeriformes: Emberizidae), and phylogenetic relationships within the genus Emberiza. J. Genet. 2014, 93, 699–707. [Google Scholar] [CrossRef]
- Kan, X.; Yuan, J.; Zhang, L.; Li, X.; Yu, L.; Chen, L.; Guo, Z.; Yang, J. Complete mitochondrial genome of the Tristram’s Bunting, Emberiza tristrami (Aves: Passeriformes): The first representative of the family Emberizidae with six boxes in the central conserved domain II of control region. Mitochondrial DNA 2013, 24, 648–650. [Google Scholar] [CrossRef]
- Zhang, L.; Wang, L.; Gowda, V.; Wang, M.; Li, X.; Kan, X. The mitochondrial genome of the Cinnamon Bittern, Ixobrychus cinnamomeus (Pelecaniformes: Ardeidae): Sequence, structure and phylogenetic analysis. Mol. Biol. Rep. 2012, 39, 8315–8326. [Google Scholar] [CrossRef]
- Feng, S.; Stiller, J.; Deng, Y.; Armstrong, J.; Fang, Q.; Reeve, A.H.; Xie, D.; Chen, G.; Guo, C.; Faircloth, B.C. Dense sampling of bird diversity increases power of comparative genomics. Nature 2020, 587, 252–257. [Google Scholar] [CrossRef]
- Barker, F.K. Mitogenomic data resolve basal relationships among passeriform and passeridan birds. Mol. Phylogenet. Evol. 2014, 79, 313–324. [Google Scholar] [CrossRef]
- Zhang, Z.; Mi, S.; Guo, Q.; Zhang, Z.; Yan, P.; Liu, Z.; Teng, L. The complete mitochondrial genome of the Sitta villosa (Passeriformes: Sittidae) from China. Mitochondrial DNA Part B 2020, 5, 2328–2329. [Google Scholar] [CrossRef] [PubMed]
- Barker, F.K.; Oyler-McCance, S.; Tomback, F.D. Blood from a turnip: Tissue origin of low-coverage shotgun sequencing libraries affects recovery of mitogenome sequences. Mitochondrial DNA 2015, 26, 384–388. [Google Scholar] [CrossRef] [PubMed]
- Aguilar, C.; De Léon, L.F.; Loaiza, J.R.; McMillan, W.O.; Miller, M.J. Extreme sequence divergence between mitochondrial genomes of two subspecies of White-breasted Wood-wren (Henicorhina leucosticta, Cabanis, 1847) from western and central Panama. Mitochondrial DNA Part A 2016, 27, 956–957. [Google Scholar] [CrossRef] [PubMed]
- Gibb, G.C.; Kardailsky, O.; Kimball, R.T.; Braun, E.L.; Penny, D. Mitochondrial genomes and avian phylogeny: Complex characters and resolvability without explosive radiations. Mol. Biol. Evol. 2007, 24, 269–280. [Google Scholar] [CrossRef]
- Verkuil, Y.I.; Piersma, T.; Baker, A.J. A novel mitochondrial gene order in shorebirds (Scolopacidae, Charadriiformes). Mol. Phylogenet. Evol. 2010, 57, 411–416. [Google Scholar] [CrossRef] [PubMed]
- Eberhard, J.R.; Wright, T.F.; Bermingham, E. Duplication and concerted evolution of the mitochondrial control region in the parrot genus Amazona. Mol. Biol. Evol. 2001, 18, 1330–1342. [Google Scholar] [CrossRef]
- Abbott, C.L.; Double, M.C.; Trueman, J.W.; Robinson, A.; Cockburn, A. An unusual source of apparent mitochondrial heteroplasmy: Duplicate mitochondrial control regions in Thalassarche albatrosses. Mol. Ecol. 2005, 14, 3605–3613. [Google Scholar] [CrossRef]
- Mindell, D.P.; Sorenson, M.D.; Dimcheff, D.E. Multiple independent origins of mitochondrial gene order in birds. Proc. Natl. Acad. Sci. USA 1998, 95, 10693–10697. [Google Scholar] [CrossRef]
- Zhou, X.; Lin, Q.; Fang, W.; Chen, X. The complete mitochondrial genomes of sixteen ardeid birds revealing the evolutionary process of the gene rearrangements. BMC Genom. 2014, 15, 573. [Google Scholar] [CrossRef]
- Boore, J.L. The duplication/random loss model for gene rearrangement exemplified by mitochondrial genomes of deuterostome animals. In Comparative Genomics; Springer: Dordrecht, The Netherlands, 2000; pp. 133–147. [Google Scholar]
- San Mauro, D.; Gower, D.J.; Zardoya, R.; Wilkinson, M. A hotspot of gene order rearrangement by tandem duplication and random loss in the vertebrate mitochondrial genome. Mol. Biol. Evol. 2006, 23, 227–234. [Google Scholar] [CrossRef]
- Shin, H.W.; Jang, K.H.; Ryu, S.H.; Choi, E.H.; Hwang, U.W. Complete mitochondrial genome of the Korean reeves’s turtle Mauremys reevesii (Reptilia, Testudines, Geoemydidae). Mitochondrial DNA 2015, 26, 676–677. [Google Scholar] [CrossRef] [PubMed]
- Barroso Lima, N.C.; Prosdocimi, F. The heavy strand dilemma of vertebrate mitochondria on genome sequencing age: Number of encoded genes or G+ T content? Mitochondrial DNA Part A 2018, 29, 300–302. [Google Scholar] [CrossRef] [PubMed]
- Lin, Q.; Cui, P.; Ding, F.; Hu, S.; Yu, J. Replication-associated mutational pressure (RMP) governs strand-biased compositional asymmetry (SCA) and gene organization in animal mitochondrial genomes. Curr. Genom. 2012, 13, 28–36. [Google Scholar] [CrossRef] [PubMed]
- Alexeyev, M. Mitochondrial DNA: The common confusions. Mitochondrial DNA Part A 2020, 31, 45–47. [Google Scholar] [CrossRef] [PubMed]
- Lindahl, T. DNA repair enzymes. Annu. Rev. Biochem. 1982, 51, 61–87. [Google Scholar] [CrossRef]
- Sancar, A.; Sancar, G.B. DNA repair enzymes. Annu. Rev. Biochem. 1988, 57, 29–67. [Google Scholar] [CrossRef]
- Lindahl, T. Instability and decay of the primary structure of DNA. Nature 1993, 362, 709–715. [Google Scholar] [CrossRef]
- Tanaka, M.; Ozawa, T. Strand asymmetry in human mitochondrial DNA mutations. Genomics 1994, 22, 327–335. [Google Scholar] [CrossRef]
- Yoon, K.B.; Kim, H.R.; Kim, J.Y.; Jeon, S.H.; Park, Y.C. The complete mitochondrial genome of the Ussurian tube-nosed bat Murina ussuriensis (Chiroptera: Vespertilionidae) in Korea. Mitochondrial DNA 2013, 24, 397–399. [Google Scholar] [CrossRef]
- Uddin, A.; Mazumder, T.H.; Barbhuiya, P.A.; Chakraborty, S. Similarities and dissimilarities of codon usage in mitochondrial ATP genes among fishes, aves, and mammals. IUBMB Life 2020, 72, 899–914. [Google Scholar] [CrossRef]
- Uddin, A.; Chakraborty, S. Synonymous codon usage pattern in mitochondrial CYB gene in pisces, aves, and mammals. Mitochondrial DNA Part A 2017, 28, 187–196. [Google Scholar] [CrossRef] [PubMed]
- Uddin, A.; Mazumder, T.H.; Chakraborty, S. Understanding molecular biology of codon usage in mitochondrial complex IV genes of electron transport system: Relevance to mitochondrial diseases. J. Cell Physiol. 2019, 234, 6397–6413. [Google Scholar] [CrossRef] [PubMed]
- Uddin, A.; Choudhury, M.N.; Chakraborty, S. Factors influencing codon usage of mitochondrial ND1 gene in pisces, aves and mammals. Mitochondrion 2017, 37, 17–26. [Google Scholar] [CrossRef] [PubMed]
- Frank, A.; Lobry, J. Asymmetric substitution patterns: A review of possible underlying mutational or selective mechanisms. Gene 1999, 238, 65–77. [Google Scholar] [CrossRef]
- Asakawa, S.; Kumazawa, Y.; Araki, T.; Himeno, H.; Miura, K.-i.; Watanabe, K. Strand-specific nucleotide composition bias in echinoderm and vertebrate mitochondrial genomes. J. Mol. Evol. 1991, 32, 511–520. [Google Scholar] [CrossRef]
- Reyes, A.; Gissi, C.; Pesole, G.; Saccone, C. Asymmetrical directional mutation pressure in the mitochondrial genome of mammals. Mol. Biol. Evol. 1998, 15, 957–966. [Google Scholar] [CrossRef]
- McInerney, J.O. Replicational and transcriptional selection on codon usage in Borrelia burgdorferi. Proc. Natl. Acad. Sci. USA 1998, 95, 10698–10703. [Google Scholar] [CrossRef]
- Das, S.; Paul, S.; Dutta, C. Evolutionary constraints on codon and amino acid usage in two strains of human pathogenic actinobacteria Tropheryma whipplei. J. Mol. Evol. 2006, 62, 645–658. [Google Scholar] [CrossRef]
- Guo, F.-B.; Yuan, J.-B. Codon usages of genes on chromosome, and surprisingly, genes in plasmid are primarily affected by strand-specific mutational biases in Lawsonia intracellularis. DNA Res. 2009, 16, 91–104. [Google Scholar] [CrossRef]
- Comeron, J.M.; Aguadé, M. An evaluation of measures of synonymous codon usage bias. J. Mol. Evol. 1998, 47, 268–274. [Google Scholar] [CrossRef]
- Powell, J.R.; Moriyama, E.N. Evolution of codon usage bias in Drosophila. Proc. Natl. Acad. Sci. USA 1997, 94, 7784–7790. [Google Scholar] [CrossRef] [PubMed]
- Wright, F. The ‘effective number of codons’ used in a gene. Gene 1990, 87, 23–29. [Google Scholar] [CrossRef] [PubMed]
- Zheng, B.; Han, Y.; Yuan, R.; Liu, J.; van Achterberg, C.; Tang, P.; Chen, X. Comparative Mitochondrial Genomics of 104 Darwin Wasps (Hymenoptera: Ichneumonidae) and Its Implication for Phylogeny. Insects 2022, 13, 124. [Google Scholar] [CrossRef] [PubMed]
- Sueoka, N. Directional mutation pressure and neutral molecular evolution. Proc. Natl. Acad. Sci. USA 1988, 85, 2653–2657. [Google Scholar] [CrossRef]
- Sueoka, N. Two aspects of DNA base composition: G+ C content and translation-coupled deviation from intra-strand rule of A = T and G = C. J. Mol. Evol. 1999, 49, 49–62. [Google Scholar] [CrossRef]
- Uddin, A.; Chakraborty, S. Codon usage trend in mitochondrial CYB gene. Gene 2016, 586, 105–114. [Google Scholar] [CrossRef]
- Yannai, A.; Katz, S.; Hershberg, R. The codon usage of lowly expressed genes is subject to natural selection. Genome Biol. Evol. 2018, 10, 1237–1246. [Google Scholar] [CrossRef]
- Jiang, L.; Chen, J.; Wang, P.; Ren, Q.; Yuan, J.; Qian, C.; Hua, X.; Guo, Z.; Zhang, L.; Yang, J. The mitochondrial genomes of Aquila fasciata and Buteo lagopus (Aves, Accipitriformes): Sequence, structure and phylogenetic analyses. PLoS One 2015, 10, e0136297. [Google Scholar] [CrossRef]
- Bi, D.; Ding, H.; Wang, Q.; Jiang, L.; Lu, W.; Wu, X.; Zhu, R.; Zeng, J.; Zhou, S.; Yang, X. Two new mitogenomes of Picidae (Aves, Piciformes): Sequence, structure and phylogenetic analyses. Int. J. Biol. Macromol. 2019, 133, 683–692. [Google Scholar] [CrossRef]
- Shen, Y.-Y.; Shi, P.; Sun, Y.-B.; Zhang, Y.-P. Relaxation of selective constraints on avian mitochondrial DNA following the degeneration of flight ability. Genome Res. 2009, 19, 1760–1765. [Google Scholar] [CrossRef]
- Yang, H.; Li, T.; Dang, K.; Bu, W. Compositional and mutational rate heterogeneity in mitochondrial genomes and its effect on the phylogenetic inferences of Cimicomorpha (Hemiptera: Heteroptera). BMC Genom. 2018, 19, 264. [Google Scholar] [CrossRef] [PubMed]
- Wang, Q.; Lu, W.; Yang, J.; Jiang, L.; Zhang, Q.; Kan, X.; Yang, X. Comparative transcriptomics in three Passerida species provides insights into the evolution of avian mitochondrial complex I. Comp. Biochem. Physiol. Part D 2018, 28, 27–36. [Google Scholar] [CrossRef] [PubMed]
- Taylor, R.W.; Turnbull, D.M. Mitochondrial DNA mutations in human disease. Nat. Rev. Genet. 2005, 6, 389–402. [Google Scholar] [CrossRef] [PubMed]
- Wallace, D.C. A mitochondrial paradigm of metabolic and degenerative diseases, aging, and cancer: A dawn for evolutionary medicine. Annu. Rev. Genet. 2005, 39, 359. [Google Scholar] [CrossRef] [PubMed]
- Schmidt, T.R.; Wu, W.; Goodman, M.; Grossman, L.I. Evolution of nuclear-and mitochondrial-encoded subunit interaction in cytochrome c oxidase. Mol. Biol. Evol. 2001, 18, 563–569. [Google Scholar] [CrossRef] [PubMed]
- Zsurka, G.; Kudina, T.; Peeva, V.; Hallmann, K.; Elger, C.E.; Khrapko, K.; Kunz, W.S. Distinct patterns of mitochondrial genome diversity in bonobos (Pan paniscus) and humans. BMC Evol. Biol. 2010, 10, 270. [Google Scholar] [CrossRef] [PubMed]
- Oliveira, D.C.; Raychoudhury, R.; Lavrov, D.V.; Werren, J.H. Rapidly evolving mitochondrial genome and directional selection in mitochondrial genes in the parasitic wasp Nasonia (Hymenoptera: Pteromalidae). Mol. Biol. Evol. 2008, 25, 2167–2180. [Google Scholar] [CrossRef] [PubMed]
- Śmietanka, B.; Burzyński, A.; Wenne, R. Comparative genomics of marine mussels (Mytilus spp.) gender associated mtDNA: Rapidly evolving atp8. J. Mol. Evol. 2010, 71, 385–400. [Google Scholar] [CrossRef]
- Alström, P.; Ericson, P.G.; Olsson, U.; Sundberg, P. Phylogeny and classification of the avian superfamily Sylvioidea. Mol. Phylogenet. Evol. 2006, 38, 381–397. [Google Scholar] [CrossRef]
- Mann, N.I.; Barker, F.K.; Graves, J.A.; Dingess-Mann, K.A.; Slater, P.J. Molecular data delineate four genera of “Thryothorus” wrens. Mol. Phylogenet. Evol. 2006, 40, 750–759. [Google Scholar] [CrossRef]
Disclaimer/Publisher’s Note: The statements, opinions and data contained in all publications are solely those of the individual author(s) and contributor(s) and not of MDPI and/or the editor(s). MDPI and/or the editor(s) disclaim responsibility for any injury to people or property resulting from any ideas, methods, instructions or products referred to in the content. |
© 2022 by the authors. Licensee MDPI, Basel, Switzerland. This article is an open access article distributed under the terms and conditions of the Creative Commons Attribution (CC BY) license (https://creativecommons.org/licenses/by/4.0/).





