Effect of Fish Stock Density on Hormone Genes Expression from Brain and Gastrointestinal Tract of Salmo salar
Abstract
:Simple Summary
Abstract
1. Introduction
2. Materials and Methods
2.1. Fish Maintenance and Sampling
2.2. Biochemical Assays
2.3. Total RNA Extraction and cDNA Synthesis
2.4. Cloning and Bioinformatics Analysis of Nucleotide Sequences
2.5. Gene Expression Analysis by RT-qPCR
2.6. Statistical Analysis
3. Results
3.1. Characterization of the Coding Sequence of TAC1 and VIP of S. salar
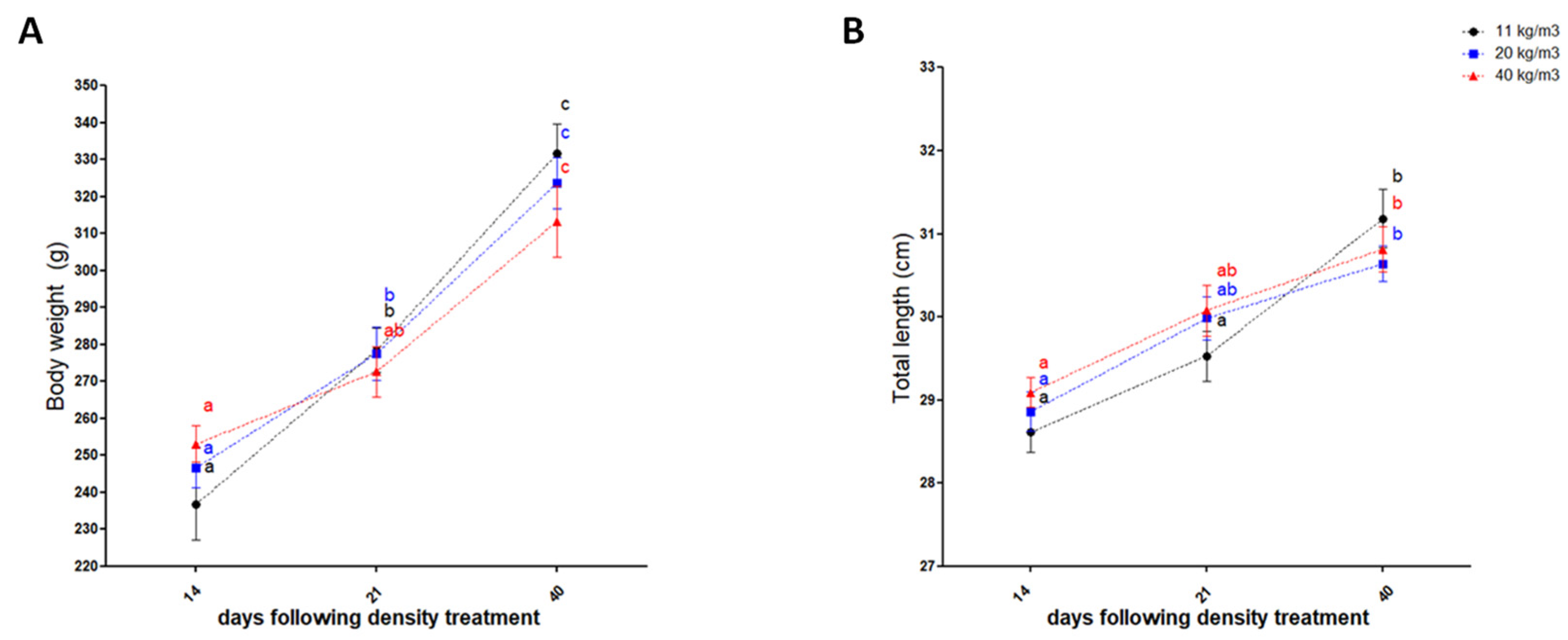
3.2. Growth Performance and Biochemical Parameters of Post-Smolt S. salar Kept at Different Stock Densities
3.3. Effects of the Stock Density on Gene Expression of Peptide Hormones of Brain and Gastrointestinal Tract
3.4. Identification of DNA Sequence Recognition by Steroid Hormones Receptors in Leptin and VIP Genes
4. Discussion
5. Conclusions
Supplementary Materials
Author Contributions
Funding
Institutional Review Board Statement
Informed Consent Statement
Data Availability Statement
Conflicts of Interest
References
- Saraiva, J.L.; Arechavala-Lopez, P.; Castanheira, M.F.; Volstorf, J.; Studer, B.H. A Global Assessment of Welfare in Farmed Fishes: The FishEthoBase. Fishes 2019, 4, 30. [Google Scholar] [CrossRef] [Green Version]
- Liu, B.; Fei, F.; Li, X.; Wang, X.; Huang, B. Effects of stocking density on stress response, innate immune parameters, and welfare of turbot (Scophthalmus maximus). Aquac. Int. 2019, 27, 1599–1612. [Google Scholar] [CrossRef]
- Björnsson, B.; Steinarsson, A.; Oddgeirsson, M.; Olafsdottir, S. Optimal stocking density of juvenile Atlantic cod (Gadus morhua L.) reared in a land-based farm. Aquaculture 2012, 356–357, 342–350. [Google Scholar] [CrossRef]
- Liu, B.; Zhao, K.; Lei, J.; Huang, B.; Jia, R.; Wang, G. Stocking density effects on growth and stress response of juvenile turbot (Scophthalmus maximus) reared in land-based recirculating aquaculture system. Acta Oceanol. Sin. 2016, 36, 31–38. [Google Scholar] [CrossRef]
- Perry, S.F.; Reid, S.D. β-adrenergic signal transduction in fish: Interactive effects of catecholamines and cortisol. Fish Physiol. Biochem. 1993, 11, 195–203. [Google Scholar] [CrossRef] [PubMed]
- Mommsen, T.P.; Vijayan, M.M.; Moon, T.W. Cortisol in teleosts: Dynamics, mechanisms of action, and metabolic regulation. Rev. Fish Biol. Fish. 1999, 9, 211–268. [Google Scholar] [CrossRef]
- Valenzuela, C.A.; Zuloaga, R.; Mercado, L.; Einarsdottir, I.E.; Björnsson, B.T.; Valdés, J.A.; Molina, A. Chronic stress inhibits growth and induces proteolytic mechanisms through two different nonoverlapping pathways in the skeletal muscle of a teleost fish. Am. J. Physiol. Integr. Comp. Physiol. 2018, 314, R102–R113. [Google Scholar] [CrossRef] [PubMed]
- Calabrese, S.; Nilsen, T.; Kolarevic, J.; Ebbesson, L.; Pedrosa, C.; Fivelstad, S.; Hosfeld, C.; Stefansson, S.; Terjesen, B.; Takle, H.; et al. Stocking density limits for post-smolt Atlantic salmon (Salmo salar L.) with emphasis on production performance and welfare. Aquaculture 2017, 468, 363–370. [Google Scholar] [CrossRef] [Green Version]
- Salas-Leiton, E.; Anguis, V.; Manchado, M.; Cañavate, J. Growth, feeding and oxygen consumption of Senegalese sole (Solea senegalensis) juveniles stocked at different densities. Aquaculture 2008, 285, 84–89. [Google Scholar] [CrossRef]
- Magnoni, L.J.; Eding, E.; Leguen, I.; Prunet, P.; Geurden, I.; Ozório, R.O.A.; Schrama, J.W. Hypoxia, but not an electrolyte-imbalanced diet, reduces feed intake, growth and oxygen consumption in rainbow trout (Oncorhynchus mykiss). Sci. Rep. 2018, 8, 4965. [Google Scholar] [CrossRef] [Green Version]
- Conde-Sieira, M.; Chivite, M.; Míguez, J.M.; Soengas, J.L. Stress Effects on the Mechanisms Regulating Appetite in Teleost Fish. Front. Endocrinol. 2018, 9, 631. [Google Scholar] [CrossRef] [PubMed] [Green Version]
- Li, L.; Shen, Y.; Yang, W.; Xu, X.; Li, J. Effect of different stocking densities on fish growth performance: A meta-analysis. Aquaculture 2021, 544, 737152. [Google Scholar] [CrossRef]
- Small, B.C.; Davis, K.B.; Peterson, B.C. Elucidating the Effects of Cortisol and Stress on Economically Important Traits in Channel Catfish. North Am. J. Aquac. 2008, 70, 223–235. [Google Scholar] [CrossRef]
- Leal, E.; Fernández-Durán, B.; Guillot, R.; Ríos, D.; Cerdá-Reverter, J.M. Stress-induced effects on feeding behavior and growth performance of the sea bass (Dicentrarchus labrax): A self-feeding approach. J. Comp. Physiol. B 2011, 181, 1035–1044. [Google Scholar] [CrossRef] [Green Version]
- Rønnestad, I.; Gomes, A.S.; Murashita, K.; Angotzi, R.; Jönsson, E.; Volkoff, H. Appetite-Controlling Endocrine Systems in Teleosts. Front. Endocrinol. 2017, 8, 73. [Google Scholar] [CrossRef] [Green Version]
- Bernier, N.J.; Craig, P.M. CRF-related peptides contribute to stress response and regulation of appetite in hypoxic rainbow trout. Am. J. Physiol. Integr. Comp. Physiol. 2005, 289, R982–R990. [Google Scholar] [CrossRef]
- Crespo, C.S.; Cachero, A.P.; Jiménez, L.P.; Barrios, V.; Ferreiro, E.A. Peptides and Food Intake. Front. Endocrinol. 2014, 5, 58. [Google Scholar]
- Bernier, N.J.; Gorissen, M.; Flik, G. Differential effects of chronic hypoxia and feed restriction on the expression of leptin and its receptor, food intake regulation and the endocrine stress response in common carp. J. Exp. Biol. 2012, 215, 2273–2282. [Google Scholar] [CrossRef] [Green Version]
- Jeon, E.-J.; Kim, B.-H.; Lee, C.-H.; Lee, Y.-D. Response of appetite-related genes in relation to the rearing water temperature in red spotted grouper (Epinephelus akaara). Fish. Aquat. Sci. 2020, 23, 4. [Google Scholar] [CrossRef] [Green Version]
- Song, Y.; Zhao, C.; Liang, X.-F.; He, S.; Tian, C.; Cheng, X.; Yuan, X.; Lv, L.; Guo, W.; Xue, M.; et al. Effects of fasting, temperature, and photoperiod on preproghrelin mRNA expression in Chinese perch. Fish Physiol. Biochem. 2017, 43, 803–812. [Google Scholar] [CrossRef]
- Baltzegar, D.A.; Reading, B.J.; Douros, J.D.; Borski, R.J. Role for leptin in promoting glucose mobilization during acute hyperosmotic stress in teleost fishes. J. Endocrinol. 2013, 220, 61–72. [Google Scholar] [CrossRef] [Green Version]
- Bernier, N.J.; Peter, R.E. The hypothalamic–pituitary–interrenal axis and the control of food intake in teleost fish. Comp. Biochem. Physiol. Part B Biochem. Mol. Biol. 2001, 129, 639–644. [Google Scholar] [CrossRef]
- Murashita, K.; Jordal, A.-E.O.; Nilsen, T.O.; Stefansson, S.O.; Kurokawa, T.; Bjornsson, B.T.; Moen, A.-G.G.; Ronnestad, I. Leptin reduces Atlantic salmon growth through the central pro-opiomelanocortin pathway. Comp. Biochem. Physiol. Part A Mol. Integr. Physiol. 2011, 158, 79–86. [Google Scholar] [CrossRef] [PubMed]
- Murashita, K.; Uji, S.; Yamamoto, T.; Ronnestad, I.; Kurokawa, T. Production of recombinant leptin and its effects on food intake in rainbow trout (Oncorhynchus mykiss). Comp. Biochem. Physiol. Part B Biochem. Mol. Biol. 2008, 150, 377–384. [Google Scholar] [CrossRef] [PubMed]
- Elmquist, J.K. Hypothalamic pathways underlying the endocrine, autonomic, and behavioral effects of leptin. Physiol. Behav. 2001, 74, 703–708. [Google Scholar] [CrossRef]
- Elias, C.F.; Aschkenasi, C.; Lee, C.; Kelly, J.; Ahima, R.S.; Bjorbæk, C.; Flier, J.S.; Saper, C.B.; Elmquist, J.K. Leptin Differentially Regulates NPY and POMC Neurons Projecting to the Lateral Hypothalamic Area. Neuron 1999, 23, 775–786. [Google Scholar] [CrossRef] [Green Version]
- Wisser, A.-S.; Habbel, P.; Wiedenmann, B.; Klapp, B.F.; Mönnikes, H.; Kobelt, P. Interactions of Gastrointestinal Peptides: Ghrelin and Its Anorexigenic Antagonists. Int. J. Pept. 2010, 2010, 11. [Google Scholar] [CrossRef] [Green Version]
- Volkoff, H.; Canosa, L.F.; Unniappan, S.; Cerda-Reverter, J.M.; Bernier, N.; Kelly, S.; Peter, R. Neuropeptides and the control of food intake in fish. Gen. Comp. Endocrinol. 2005, 142, 3–19. [Google Scholar] [CrossRef]
- Nam, B.-H.; Kim, Y.-O.; Kong, H.J.; Kim, W.-J.; Lee, S.-J.; Choi, T.-J. Identification and characterization of the prepro-vasoactive intestinal peptide gene from the teleost Paralichthys olivaceus. Vet. Immunol. Immunopathol. 2009, 127, 249–258. [Google Scholar] [CrossRef]
- Martínez-Álvarez, R.; Volkoff, H.; Muñoz-Cueto, J.A.; Delgado, M. Effect of calcitonin gene-related peptide (CGRP), adrenomedullin and adrenomedullin-2/intermedin on food intake in goldfish (Carassius auratus). Peptides 2009, 30, 803–807. [Google Scholar] [CrossRef]
- Lamiable, A.; Thévenet, P.; Rey, J.; Vavrusa, M.; Derreumaux, P.; Tufféry, P. PEP-FOLD3: Faster de novo structure prediction for linear peptides in solution and in complex. Nucleic Acids Res. 2016, 44, W449–W454. [Google Scholar] [CrossRef] [PubMed] [Green Version]
- Bailey, T.L.; Johnson, J.; Grant, C.E.; Noble, W.S. The MEME Suite. Nucleic Acids Res. 2015, 43, W39–W49. [Google Scholar] [CrossRef] [PubMed] [Green Version]
- Mahony, S.; Benos, P.V. STAMP: A web tool for exploring DNA-binding motif similarities. Nucleic Acids Res. 2007, 35, W253–W258. [Google Scholar] [CrossRef] [Green Version]
- Fornes, O.; Castro-Mondragon, J.A.; Khan, A.; Van Der Lee, R.; Zhang, X.; Richmond, P.A.; Modi, B.P.; Correard, S.; Gheorghe, M.; Baranašić, D.; et al. JASPAR 2020: Update of the open-access database of transcription factor binding profiles. Nucleic Acids Res. 2020, 48, D87–D92. [Google Scholar] [CrossRef]
- Grant, C.E.; Bailey, T.L.; Noble, W.S. FIMO: Scanning for occurrences of a given motif. Bioinformatics 2011, 27, 1017–1018. [Google Scholar] [CrossRef] [PubMed] [Green Version]
- Crooks, G.E.; Hon, G.; Chandonia, J.-M.; Brenner, S.E. WebLogo: A Sequence Logo Generator. Genome Res. 2004, 14, 1188–1190. [Google Scholar] [CrossRef] [Green Version]
- Livak, K.J.; Schmittgen, T.D. Analysis of relative gene expression data using real-time quantitative PCR and the 2−ΔΔCT Method. Methods 2001, 25, 402–408. [Google Scholar] [CrossRef] [PubMed]
- Sun, G.; Zheng, J.; Liu, B.; Liu, Y. Effects of feeding and stocking density on digestion of cultured Atlantic salmon Salmo salar L. Chin. J. Oceanol. Limnol. 2014, 32, 1320–1328. [Google Scholar] [CrossRef]
- Adams, C.E.; Turnbull, J.; Bell, A.S.; Bron, J.; Huntingford, F.A. Multiple determinants of welfare in farmed fish: Stocking density, disturbance, and aggression in Atlantic salmon (Salmo salar). Can. J. Fish. Aquat. Sci. 2007, 64, 336–344. [Google Scholar] [CrossRef]
- Turnbull, J.; Bell, A.; Adams, C.; Bron, J.; Huntingford, F. Stocking density and welfare of cage farmed Atlantic salmon: Application of a multivariate analysis. Aquaculture 2005, 243, 121–132. [Google Scholar] [CrossRef]
- Wang, Y.; Chi, L.; Liu, Q.; Xiao, Y.; Ma, D.; Xiao, Z.; Xu, S.; Li, J. Effects of stocking density on the growth and immunity of Atlantic salmon Salmo salar reared in recirculating aquaculture system (RAS). J. Oceanol. Limnol. 2018, 37, 350–360. [Google Scholar] [CrossRef]






Publisher’s Note: MDPI stays neutral with regard to jurisdictional claims in published maps and institutional affiliations. |
© 2022 by the authors. Licensee MDPI, Basel, Switzerland. This article is an open access article distributed under the terms and conditions of the Creative Commons Attribution (CC BY) license (https://creativecommons.org/licenses/by/4.0/).
Share and Cite
Álvarez, C.A.; Santana, P.A.; Cárcamo, C.B.; Cárdenas, C.; Morales-Lange, B.; Ramírez, F.; Valenzuela, C.; Boltaña, S.; Alcaíno, J.; Guzmán, F.; et al. Effect of Fish Stock Density on Hormone Genes Expression from Brain and Gastrointestinal Tract of Salmo salar. Animals 2022, 12, 1174. https://doi.org/10.3390/ani12091174
Álvarez CA, Santana PA, Cárcamo CB, Cárdenas C, Morales-Lange B, Ramírez F, Valenzuela C, Boltaña S, Alcaíno J, Guzmán F, et al. Effect of Fish Stock Density on Hormone Genes Expression from Brain and Gastrointestinal Tract of Salmo salar. Animals. 2022; 12(9):1174. https://doi.org/10.3390/ani12091174
Chicago/Turabian StyleÁlvarez, Claudio A., Paula A. Santana, Claudia B. Cárcamo, Constanza Cárdenas, Byron Morales-Lange, Felipe Ramírez, Cristian Valenzuela, Sebastián Boltaña, Javier Alcaíno, Fanny Guzmán, and et al. 2022. "Effect of Fish Stock Density on Hormone Genes Expression from Brain and Gastrointestinal Tract of Salmo salar" Animals 12, no. 9: 1174. https://doi.org/10.3390/ani12091174
APA StyleÁlvarez, C. A., Santana, P. A., Cárcamo, C. B., Cárdenas, C., Morales-Lange, B., Ramírez, F., Valenzuela, C., Boltaña, S., Alcaíno, J., Guzmán, F., & Mercado, L. (2022). Effect of Fish Stock Density on Hormone Genes Expression from Brain and Gastrointestinal Tract of Salmo salar. Animals, 12(9), 1174. https://doi.org/10.3390/ani12091174

