Serum Cortisol and Its Correlation with Leucocyte Profile and Circulating Lipids in Donkeys (Equus asinus)
Abstract
Simple Summary
Abstract
1. Introduction
2. Materials and Methods
2.1. Animals
2.2. Blood Sample Collection and Analysis
2.3. Statistical Analysis
3. Results
3.1. Basal Cortisol and Influence of Age and Pregnancy
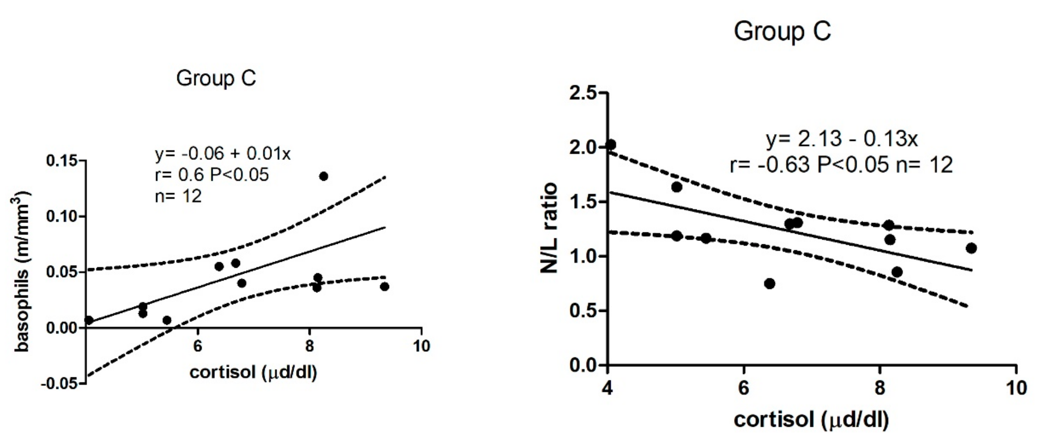
3.2. Correlations of Cortisol with Leucocytes and N/L Ratio
3.3. Correlations of Cortisol with Serum Cholesterol and Tryglicerids
4. Discussion
5. Conclusions
Author Contributions
Funding
Institutional Review Board Statement
Informed Consent Statement
Data Availability Statement
Acknowledgments
Conflicts of Interest
References
- Rushen, J.; de Passillé, A.M.; von Keyserlingk, M.A.G.; Weary, D.M. The Welfare of Cattle; Springer: New York, NY, USA, 2008; pp. 43–69. [Google Scholar]
- O’Connor, T.M.; O’Halloran, D.J.; Shanahan, F. The stress response and the hypothalamic-pituitary-adrenal axis: From molecule to melancholia. QJM 2000, 93, 323–333. [Google Scholar] [CrossRef]
- Hart, K.A.; Barton, M.H. Adrenocortical insufficiency in horses and foals. Vet. Clin. N. Am. Equine Pract. 2011, 27, 19–34. [Google Scholar] [CrossRef]
- Hartmann, K.; Koenen, M.; Schauer, S.; Wittig-Blaich, S.; Ahmad, M.; Baschant, U.; Tuckermann, J.P. molecular actions of glucocorticoids in cartilage and bone during health, disease, and steroid therapy. Physiol. Rev. 2016, 96, 409–447. [Google Scholar] [CrossRef]
- Mormède, P.; Foury, A.; Terenina, E.; Knap, P.W. Breeding for robustness: The role of cortisol. Animal 2011, 5, 651–657. [Google Scholar] [CrossRef]
- Pravosudov, V.V. Encyclopedia of Animal Behavior; Breed, M.D., Moore, J., Eds.; Academic Press: Cambridge, MA, USA, 2010; pp. 429–437. [Google Scholar]
- Broom, D.M.; Zanella, A.J. Brain measures which tell us about animal welfare. Anim. Welf. 2004, 13, S41–S45. [Google Scholar]
- Broom, D.M. Cortisol: Often not the best indicator of stress and poor welfare. Physiol. News 2017, 107, 30–32. [Google Scholar] [CrossRef]
- McEwen, B.S.; Sakai, R.R.; Spencer, R.L. Hormonally-Induced Changes in Mind and Brain; Schulkin, J., Ed.; Academic Press: Cambridge, MA, USA, 1993; pp. 157–189. [Google Scholar]
- McEwen, B.S. What is the confusion with cortisol? Chronic Stress 2019, 3, 2470547019833647. [Google Scholar] [CrossRef]
- Gehlen, H.; Schwarz, B.; Bartmann, C.; Gernhardt, J.; Stöckle, S.D. Pituitary pars intermedia dysfunction and metabolic syndrome in donkeys. Animals 2020, 10, 2335. [Google Scholar] [CrossRef] [PubMed]
- Dai, F.; Costa, E.D.; Murray, L.M.A.; Canali, E.; Minero, M. Welfare conditions of donkeys in Europe: Initial outcomes from on-farm assessment. Animals 2016, 6, 5. [Google Scholar] [CrossRef] [PubMed]
- Panzera, M.; Alberghina, D.; Statelli, A. Ethological and physiological parameters assessment in donkeys used in animal assisted interventions. Animals 2020, 10, 1867. [Google Scholar] [CrossRef] [PubMed]
- Burden, F.; Thiemann, A. Donkeys are different. J. Equine Vet. Sci. 2015, 35, 376–382. [Google Scholar] [CrossRef]
- Smiet, E.; Van Dierendonck, M.C.; Sleutjens, J.; Menheere, P.P.; van Breda, E.; de Boer, D.; Back, W.; Wijnberg, I.D.; van der Kolk, J.H. Effect of different head and neck positions on behaviour, heart rate variability and cortisol levels in lunged royal dutch sport horses. Vet. J. 2014, 202, 26–32. [Google Scholar] [CrossRef]
- Zuluaga, A.M.; Martínez, J.R. Serum cortisol concentration in the Colombian creole horse. Rev. Colomb. Cienc. Pecu. 2017, 30, 231–238. [Google Scholar] [CrossRef]
- Douglas, R. Circadian cortisol rhythmicity and equine cushing’s-like disease. J. Equine Vet. Sci. 1999, 19, 684–753. [Google Scholar] [CrossRef]
- Dugat, S.L.; Taylor, T.S.; Matthews, N.S.; Gold, J.R. Values for triglycerides, insulin, cortisol and ACTH in a herd of normal donkeys. J. Equine Vet. Sci. 2010, 30, 141–144. [Google Scholar] [CrossRef]
- Pearson, R.A.; Vall, E. Performance and management of draught animals in agriculture in sub-Saharan Africa: A review. Trop. Anim. Health Prod. 1998, 30, 309–324. [Google Scholar] [CrossRef] [PubMed]
- Forehead, A.J.; Smart, D.; Smith, R.F.; Dobson, H. Transport-induced stress responses in fed and fasted donkeys. Res. Vet. Sci. 1995, 58, 144–151. [Google Scholar] [CrossRef]
- Zhao, F.; Jiang, G.; Ji, C.; Zhang, Z.; Gao, W.; Feng, P.; Li, H.; Li, M.; Liu, H.; Liu, G.; et al. Effects of long-distance transportation on blood constituents and composition of the nasal microbiota in healthy donkeys. BMC Vet. Res. 2020, 16, 338. [Google Scholar] [CrossRef]
- Jiang, G.; Zhang, X.; Gao, W.; Ji, C.; Wang, Y.; Feng, P.; Feng, Y.; Zhang, Z.; Li, L.; Zhao, F. Transport stress affects the fecal microbiota in healthy donkeys. J. Vet. Intern. Med. 2021, 35, 2449–2457. [Google Scholar] [CrossRef]
- Fazio, E.; Fragalà, S.; Ferlazzo, A.; Cravana, C.; Torrisi, K.; Medica, P. Progesterone, estradiol-17β, cortisol, and hematological profile during the estrous cycle of lactating jennies: Preliminary and comparative observations. J. Equine Vet. Sci. 2017, 56, 26–34. [Google Scholar] [CrossRef]
- Burden, F.A.; Toit, N.D.; Hazell-Smith, E.; Trawford, A.F. Hyperlipemia in a population of aged donkeys: Description, prevalence, and potential risk factors. J. Vet. Intern. Med. 2011, 25, 1420–1425. [Google Scholar] [CrossRef]
- Reid, S.W.; Mohammed, H.O. Survival analysis approach to risk factors associated with hyperlipemia in donkeys. J. Am. Vet. Med. Assoc. 1996, 209, 1449–1452. [Google Scholar] [PubMed]
- Burden, F.A.; Hazell-Smith, E.; Mulugeta, G.; Patrick, V.; Trawford, R.; Brownlie, H.W.B. Reference intervals for biochemical and haematological parameters in mature domestic donkeys (Equus asinus) in the UK. Equine Vet. Educ. 2016, 28, 134–139. [Google Scholar] [CrossRef]
- Haffner, J.; Fecteau, K.; Eiler, H.; Tserendorj, T.; Hoffman, R.; Oliver, J. Blood steroid concentrations in domestic Mongolian horses. J. Vet. Diagn. Investig. 2010, 22, 537–543. [Google Scholar] [CrossRef] [PubMed]
- Place, N.; McGowan, C.; Lamb, S.; Schanbacher, B.; McGowan, T.; Walsh, D. Seasonal variation in serum concentrations of selected metabolic hormones in horses. J. Vet. Intern. Med. 2010, 24, 650–654. [Google Scholar] [CrossRef]
- Gehlen, H.; Twickel, S.; Stöckle, S.; Weber, C.; Bartmann, C.P. Diagnostic orientation values for ACTH and other parameters for clinically healthy donkeys and mules (insulin, triglycerides, glucose, fructosamines, and γ-GT). J. Anim. Physiol. Anim. Nutr. 2020, 104, 679–689. [Google Scholar] [CrossRef]
- Haritou, S.J.; Zylstra, R.; Ralli, C.; Turner, S.; Tortonese, D.J. Seasonal changes in circadian peripheral plasma concentrations of melatonin, serotonin, dopamine and cortisol in aged horses with cushing’s disease under natural photoperiod. J. Neuroendocrinol. 2008, 20, 988–996. [Google Scholar] [CrossRef]
- Fazio, E.; Medica, P.; Galvano, E.; Cravana, C.; Ferlazzo, A. Changes in the cortisol and some biochemical patterns of pregnant and barren jennies (Equus asinus). Vet. Arhiv 2011, 81, 563–574. [Google Scholar]
- Mastorakos, G.; Ilias, I. maternal and fetal hypothalamic-pituitary-adrenal axes during pregnancy and postpartum. Ann. N. Y. Acad. Sci. 2003, 997, 136–149. [Google Scholar] [CrossRef]
- Dhabhar, F.S.; Miller, A.H.; McEwen, B.S.; Spencer, R.L. Stress-induced changes in blood leukocyte distribution. Role of adrenal steroid hormones. J. Immunol. 1996, 157, 1638–1644. [Google Scholar]
- Weiss, D.J.; Wardrop, K.J. Schalm’S Veterinary Hematology; John Wiley & Sons: Philadelphia, PA, USA, 2010; pp. 281–289. [Google Scholar]
- Brode, S.; Farahi, N.; Cowburn, A.S.; Juss, J.K.; Condliffe, A.M.; Chilvers, E.R. Interleukin-5 inhibits glucocorticoid-mediated apoptosis in human eosinophils. Thorax 2010, 65, 1116–1117. [Google Scholar] [CrossRef][Green Version]
- Lee, Y.; Yi, H.-S.; Kim, H.R.; Joung, K.H.; Kang, Y.E.; Lee, J.H.; Kim, K.S.; Kim, H.J.; Ku, B.J.; Shong, M. The eosinophil count tends to be negatively associated with levels of serum glucose in patients with adrenal Cushing syndrome. Endocrinol. Metab. 2017, 32, 353–359. [Google Scholar] [CrossRef]
- Meyer, D.J.; Coles, E.H.; Rich, L.J. Veterinary Laboratory Medicine: Interpretation and Diagnosis; Front Cover Saunders: Philadelphia, PA, USA, 1992; pp. 27–41. [Google Scholar]
- van de Wouw, M.; Boehme, M.; Dinan, T.G.; Cryan, J.F. Monocyte mobilisation, microbiota & mental illness. Brain Behav. Immun. 2019, 81, 74–91. [Google Scholar] [PubMed]
- Schalk, C.; Pfaffinger, B.; Schmucker, S.; Weiler, U.; Stefanski, V. Pregnancy-associated alterations of peripheral blood immune cell numbers in domestic sows are modified by social rank. Animals 2019, 9, 112. [Google Scholar] [CrossRef] [PubMed]
- Melgert, B.N.; Spaans, F.; Borghuis, T.; Klok, P.A.; Groen, B.; Bolt, A.; de Vos, P.; van Pampus, M.G.; Wong, T.Y.; van Goor, H.; et al. Pregnancy and preeclampsia affect monocyte subsets in humans and rats. PLoS ONE 2012, 7, e45229. [Google Scholar] [CrossRef] [PubMed]
- Hickman, D.L. Evaluation of the neutrophil:lymphocyte ratio as an indicator of chronic distress in the laboratory mouse. Lab. Anim. 2017, 46, 303–307. [Google Scholar] [CrossRef] [PubMed]
- Olaifa, F.; Ayo, J.O.; Ambali, S.F.; Rekwot, P.I. Hemato-biochemical responses to packing in donkeys administered ascorbic acid during the harmattan season. J. Vet. Med. Sci. 2015, 77, 133–138. [Google Scholar] [CrossRef] [PubMed][Green Version]
- Davis, A.K.; Maney, D.L. The use of glucocorticoid hormones or leucocyte profiles to measure stress in vertebrates: What’s the difference? Methods Ecol. Evol. 2018, 9, 1556–1568. [Google Scholar] [CrossRef]
- Dyke, S.M.; Carey, B.S.; Kaminski, E.R. Effect of stress on basophil function in chronic idiopathic urticaria. Clin. Exp. Allergy 2008, 38, 86–92. [Google Scholar] [CrossRef] [PubMed]
- Caldin, M.; Furlanello, T.; Solano-Gallego, L.; De Lorenzi, D.; Carli, E.; Tasca, S.; Lubas, G. Reference ranges for haematology, biochemical profile and electrophoresis in a single herd of ragusana donkeys from Sicily (Italy). Comp. Clin. Pathol. 2005, 14, 5–12. [Google Scholar] [CrossRef]
- Cappai, M.G.; Lunesu, M.G.A.; Accioni, F.; Liscia, M.; Pusceddu, M.; Burrai, L.; Nieddu, M.; Dimauro, C.; Boatto, G.; Pinna, W. Blood serum retinol levels in asinara white donkeys reflect albinism-induced metabolic adaptation to photoperiod at mediterranean latitudes. Ecol. Evol. 2016, 7, 390–398. [Google Scholar] [CrossRef] [PubMed]
- Trimboli, F.; De Amicis, I.; Di Loria, A.; Ceniti, C.; Carluccio, A. Reference ranges for hematological and biochemical profile of martina franca donkeys. Front. Vet. Sci. 2020, 7, 602984. [Google Scholar] [CrossRef] [PubMed]
- Santos, J.B.F.; Franco, M.M.; Antunes, R.C.; Guimaraes, E.C.; Mundim, A.V. Serum biochemical profile of pega breed donkeys in the state of minas gerais. Pesqui. Vet. Bras. 2018, 38, 1225–1231. [Google Scholar] [CrossRef]
- Watson, T.D.; Packard, C.J.; Shepherd, J.; Fowler, J.N. An investigation of relationship between body condition and plasma lipid and liprotein concentration on 24 donkeys. Vet. Rec. 1990, 127, 498–500. [Google Scholar] [PubMed]
- Pawluski, J.; Jego, P.; Henry, S.; Bruchet, A.; Palme, R.; Coste, C.; Hausberger, M. Low plasma cortisol and fecal cortisol metabolite measures as indicators of compromised welfare in domestic horses (Equus caballus). PLoS ONE 2017, 12, e0182257. [Google Scholar] [CrossRef] [PubMed]



| Analyte | All Donkeys (n = 97) | Group A (n = 9) | Group B (n = 70) | Group C (n = 12) |
|---|---|---|---|---|
| Serum Cortisol (µg/dL) | 5.64 (3.40–10.54) | 4.67 (4.14–7.65) | 5.58 (3.19–10.47) | 6.73 * (4.05–9.34) |
| White Cell Line | All Donkeys (n = 97) | Group A (n = 9) | Group B (n = 70) | Group C (n = 12) | Reference Intervals a |
|---|---|---|---|---|---|
| WBC (m/mm3) | 11.40 ± 2.71 | 12.59 ± 2.73 | 11.40 ± 2.83 | 10.03 ± 1.65 | |
| NEU (m/mm3) | 4.78 ± 1.52 | 4.97 ± 0.89 | 4.70 ± 1.56 | 4.65 ± 1.09 | 2.4–6.3 |
| LYM (m/mm3) | 4.95 ± 2.27 | 6.36 ± 2.13 | 4.91 ± 2.43 | 4.06 ± 1.09 | 2.2–9.6 |
| MON (m/mm3) | 0.50 ± 0.20 | 0.68 ± 0.23 | 0.47 ± 0.18 | 0.41 ± 0.23 | 0–0.75 |
| EOS (m/mm3) | 1.00 ± 0.53 | 0.45 ± 0.13 *** | 1.13 ± 0.51 | 0.78 ± 0.40 * | 0.1–1.2 |
| BAS (m/mm3) | 0.08 ± 0.05 | 0.08 ± 0.04 | 0.08 ± 0.04 | 0.05 ± 0.04 ** | 0–0.13 |
| N/L ratio | 1.13 ± 0.52 | 0.87 ± 0.22 | 1.13 ± 0.56 | 1.21 ± 0.35 |
| Serum Lipids | All Donkeys (n = 97) | Group A (n = 9) | Group B (n = 70) | Group C (n = 12) | Reference Intervals a |
|---|---|---|---|---|---|
| CHOL (mg/dL) | 73.91 ± 20.80 | 98.11 ± 32.67 ** | 71.63 ± 17.53 | 67.00 ± 19.43 | 54–112 |
| TRI (mg/dL) | 81.73 ± 49.08 | 55.56 ± 23.40 * | 87.60 ± 52.47 | 77.08 ± 41.83 | 53–248 |
Publisher’s Note: MDPI stays neutral with regard to jurisdictional claims in published maps and institutional affiliations. |
© 2022 by the authors. Licensee MDPI, Basel, Switzerland. This article is an open access article distributed under the terms and conditions of the Creative Commons Attribution (CC BY) license (https://creativecommons.org/licenses/by/4.0/).
Share and Cite
Alberghina, D.; Statelli, A.; Monteverde, V.; Vazzana, I.; Cascone, G.; Panzera, M. Serum Cortisol and Its Correlation with Leucocyte Profile and Circulating Lipids in Donkeys (Equus asinus). Animals 2022, 12, 841. https://doi.org/10.3390/ani12070841
Alberghina D, Statelli A, Monteverde V, Vazzana I, Cascone G, Panzera M. Serum Cortisol and Its Correlation with Leucocyte Profile and Circulating Lipids in Donkeys (Equus asinus). Animals. 2022; 12(7):841. https://doi.org/10.3390/ani12070841
Chicago/Turabian StyleAlberghina, Daniela, Alessandra Statelli, Vincenzo Monteverde, Irene Vazzana, Giuseppe Cascone, and Michele Panzera. 2022. "Serum Cortisol and Its Correlation with Leucocyte Profile and Circulating Lipids in Donkeys (Equus asinus)" Animals 12, no. 7: 841. https://doi.org/10.3390/ani12070841
APA StyleAlberghina, D., Statelli, A., Monteverde, V., Vazzana, I., Cascone, G., & Panzera, M. (2022). Serum Cortisol and Its Correlation with Leucocyte Profile and Circulating Lipids in Donkeys (Equus asinus). Animals, 12(7), 841. https://doi.org/10.3390/ani12070841

