The Effects of Lemon Balm (Melissa officinalis L.) Essential Oil on the Stress Response, Anti-Oxidative Ability, and Kidney Metabolism of Sea Bass during Live Transport
Abstract
Simple Summary
Abstract
1. Introduction
2. Materials and Methods
2.1. Preparation of Sea Bass
2.2. Live Transport Experimental Design
2.3. Pretreatment of Samples
2.4. Determination of the Physiological Stress Level
2.5. Determination of Proprotein Ponvertase Subtilisin Kexin Type 9 (PCSK-9)
2.6. Determination of Antioxidant Enzyme Activities
2.7. Determination of Kidney Function Index
2.8. Statistical Analysis
3. Results and Discussion
3.1. Survival Rates of Sea Bass
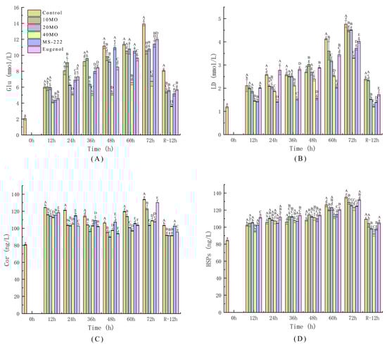
3.2. Physiological Stress Level
3.3. PCSK-9
3.4. Antioxidant Enzyme Activities
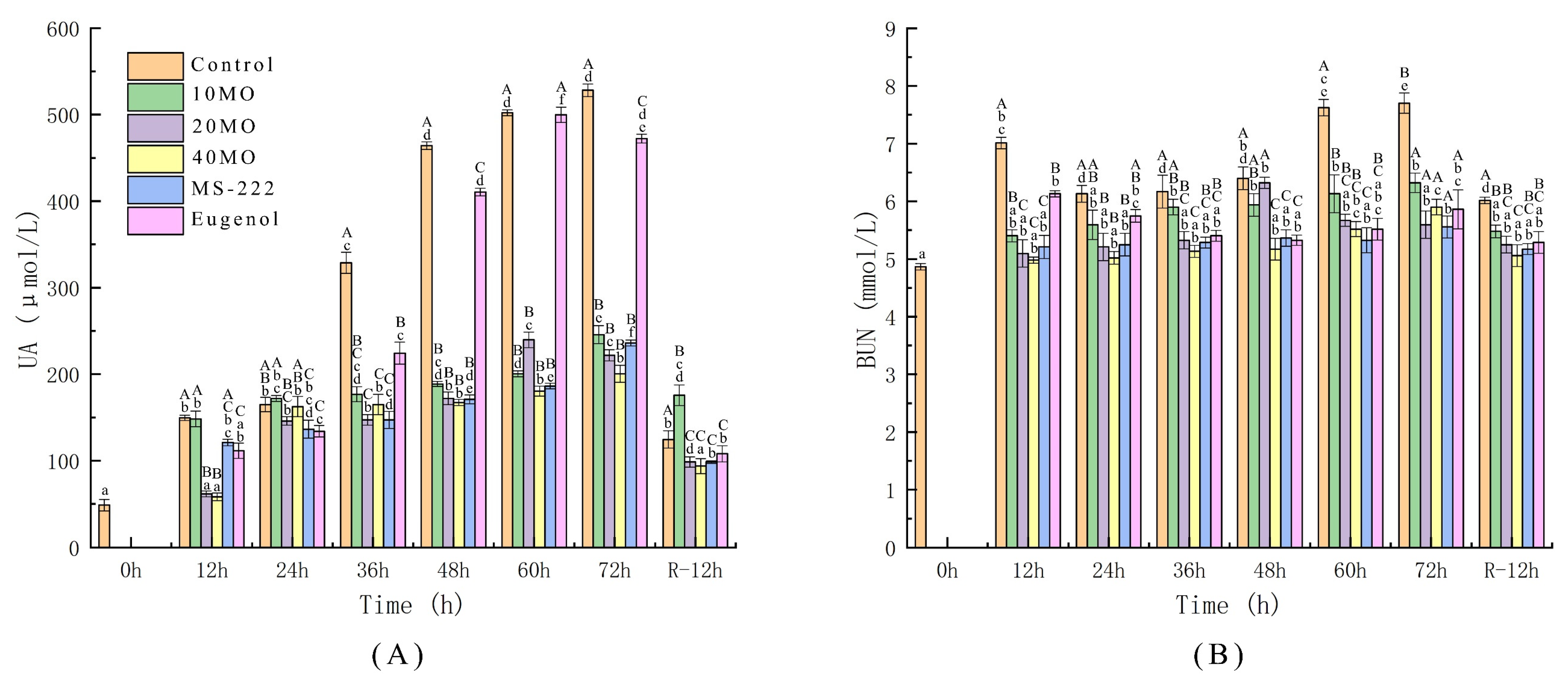
3.5. Kidney Metabolism Index
4. Conclusions
Author Contributions
Funding
Institutional Review Board Statement
Informed Consent Statement
Data Availability Statement
Conflicts of Interest
References
- Harmon, T.S. Methods for reducing stressors and maintaining water quality associated with live fish transport in tanks: A review of the basics. Rev. Aquac. 2009, 1, 58–66. [Google Scholar] [CrossRef]
- Neiffer, D.L.; Stamper, M.A. Fish Sedation, Anesthesia, Analgesia, and Euthanasia: Considerations, Methods, and Types of Drugs. ILAR J. 2009, 50, 343–360. [Google Scholar] [CrossRef] [PubMed]
- Bo, W.; Jing, X. The inducing factors and effects of stress response in the live transport of fish. Food Mach. 2018, 169–203. [Google Scholar]
- Sun, J.L.; Zhao, L.-L.; Liao, L.; Tang, X.-H.; Cui, C.; Liu, Q.; He, K.; Ma, J.-D.; Jin, L.; Yan, T.; et al. Interactive effect of thermal and hypoxia on largemouth bass (Micropterus salmoides) gill and liver: Aggravation of oxidative stress, inhibition of immunity and promotion of cell apoptosis. Fish Shellfish Immunol. 2020, 98, 923–936. [Google Scholar] [CrossRef] [PubMed]
- Hvas, M.; Oppedal, F. Physiological responses of farmed Atlantic salmon and two cohabitant species of cleaner fish to progressive hypoxia. Aquaculture 2019, 512, 734353. [Google Scholar] [CrossRef]
- Kayali, B.; Yigit, M.; Bulut, M. Evaluation of the Recovery Time of Sea Bass (Dicentrarchus Labrax Linnaeus, 1758) Juveniles from Transport and Handling Stress: Using Ammonia Nitrogen Excretion Rates as a Stress Indicator. J. Mar. Sci. Technol. 2011, 19, 681–685. [Google Scholar] [CrossRef]
- Zhang, L.; Zhao, Z.G.; Fan, Q.X. Effects of ammonia on growth, digestion and antioxidant capacity in juvenile yellow catfish Pelteobagrus fulvidraco (Richardson, 1846). J. Appl. Ichthyol. 2016, 32, 1205–1212. [Google Scholar] [CrossRef]
- Soler, P.; Faria, M.; Barata, C.; Garcia-Galea, E.; Lorente, B.; Vinyoles, D. Improving water quality does not guarantee fish health: Effects of ammonia pollution on the behaviour of wild-caught pre-exposed fish. PLoS ONE 2021, 16, e0243404. [Google Scholar] [CrossRef] [PubMed]
- Mirghaed, A.T.; Ghelichpour, M. Effects of anesthesia and salt treatment on stress responses, and immunological and hydromineral characteristics of common carp (Cyprinus carpio, Linnaeus, 1758) subjected to transportation. Aquaculture 2019, 501, 1–6. [Google Scholar] [CrossRef]
- Wang, Z.; Zhou, J.; Li, J.; Zou, J.; Fan, L. The immune defense response of Pacific white shrimp (Litopenaeus vannamei) to temperature fluctuation. Fish Shellfish Immunol. 2020, 103, 103–110. [Google Scholar] [CrossRef]
- Wells, R.M.G. Stress responses imposed by fish capture and handling: A physiological perspective. Food Technol. Aust. 1987, 39, 479–481. [Google Scholar]
- Guo, H.; Dixon, B. Understanding acute stress-mediated immunity in teleost fish. Fish Shellfish Immunol. Rep. 2021, 2, 100010. [Google Scholar] [CrossRef]
- Nestor Bolasina, S. Stress response of juvenile flounder (Paralichthys orbignyanus, Valenciennes 1839), to acute and chronic stressors. Aquaculture 2011, 313, 140–143. [Google Scholar] [CrossRef]
- Barton, B.A. Stress in fishes: A diversity of responses with particular reference to changes in circulating corticosteroids. Integr. Comp. Biol. 2002, 42, 517–525. [Google Scholar] [CrossRef] [PubMed]
- Wang, Q.; Yang, L.; Xing, K.; Sun, X.; Sun, J. Short-time Transport Stress Affected Biochemical Parameters in Takifugu Rubripes. In Proceedings of the 5th Annual International Conference on Material Engineering and Application (ICMEA), Wuhan, China, 14–16 December 2018. [Google Scholar]
- de Oliveira, C.P.B.; Lemos, C.H.D.P.; e Silva, A.F.; de Souza, S.A.; Albinati, A.C.L.; Lima, A.O.; Copatti, C.E. Use of eugenol for the anaesthesia and transportation of freshwater angelfish (Pterophyllum scalare). Aquaculture 2019, 513, 734409. [Google Scholar] [CrossRef]
- Nie, X.; Zhang, F.; Wang, T.; Zheng, X.; Li, Y.; Huang, B.; Zhang, C. Physiological and morphological changes in Turbot (Psetta maxima) gill tissue during waterless storage. Aquaculture 2019, 508, 30–35. [Google Scholar] [CrossRef]
- Wu, B.; Wang, Q.; Cao, J.; Mei, J.; Xie, J. Effects of Ascorbic Acid and beta-1,3-Glucan on Survival, Physiological Response and Flesh Quality of Cultured Tiger Grouper (Epinephelus fuscoguttatus) during Simulated Transport in Water. Biology 2020, 9, 37. [Google Scholar] [CrossRef]
- Rodrigues, P.; Ferrari, F.T.; Barbosa, L.B.; Righi, A.; Laporta, L.; Garlet, Q.I.; Baldisserotto, B.; Heinzmann, B.M. Nanoemulsion boosts anesthetic activity and reduces the side effects of Nectandra grandiflora Nees essential oil in fish. Aquaculture 2021, 545, 737146. [Google Scholar] [CrossRef]
- Khumpirapang, N.; Pikulkaew, S.; Anuchapreeda, S.; Okonogi, S. Alpinia galanga oil-A new natural source of fish anaesthetic. Aquac. Res. 2018, 49, 1546–1556. [Google Scholar] [CrossRef]
- Wagner, G.N.; Singer, T.D.; McKinley, R.S. The ability of clove oil and MS-222 to minimize handling stress in rainbow trout (Oncorhynchus mykiss Walbaum). Aquac. Res. 2003, 34, 1139–1146. [Google Scholar] [CrossRef]
- Taherpour, A.A.; Maroofi, H.; Rafie, Z.; Larijani, K. Chemical composition analysis of the essential oil of Melissa officinalis L. from Kurdistan, Iran by HS/SPME method and calculation of the biophysicochemical coefficients of the components. Nat. Prod. Res. 2012, 26, 152–160. [Google Scholar] [CrossRef]
- Weitzel, C.; Petersen, M. Cloning and characterisation of rosmarinic acid synthase from Melissa officinalis L. Phytochemistry 2011, 72, 572–578. [Google Scholar] [CrossRef] [PubMed]
- Awad, R.; Muhammad, A.; Durst, T.; Trudeau, V.L.; Arnason, J.T. Bioassay-guided fractionation of lemon balm (Melissa officinalis L.) using an in vitro measure of GABA transaminase activity. Phytother Res. 2009, 23, 1075–1081. [Google Scholar] [CrossRef] [PubMed]
- Boaventura, T.P.; Souza, C.F.; Ferreira, A.L.; Favero, G.C.; Baldissera, M.D.; Heinzmann, B.M.; Baldisserotto, B.; Luz, R.K. The use of Ocimum gratissimum L. essential oil during the transport of Lophiosilurus alexandri: Water quality, hematology, blood biochemistry and oxidative stress. Aquaculture 2021, 531, 735964. [Google Scholar] [CrossRef]
- Hong, J.; Chen, X.; Liu, S.; Fu, Z.; Han, M.; Wang, Y.; Gu, Z.; Ma, Z. Impact of fish density on water quality and physiological response of golden pompano (Trachinotus ovatus) flingerlings during transportation. Aquaculture 2019, 507, 260–265. [Google Scholar] [CrossRef]
- Fan, X.; Qin, X.; Zhang, C.; Zhu, Q.; Chen, J.; Chen, P. Metabolic and anti-oxidative stress responses to low temperatures during the waterless preservation of the hybrid grouper (Epinephelus fuscogutatus♀ × Epinephelus lanceolatus♂). Aquaculture 2019, 508, 10–18. [Google Scholar] [CrossRef]
- Cao, J.; Wang, Q.; Mei, J.; Xie, J. Effect of 3-Aminobenzoic Acid Ethyl Ester Methanesulfonate (MS-222) on Quality of Marine Cultured Turbot (Scophthalmus maximus) during Simulated Transport in Water. Fishes 2021, 6, 20. [Google Scholar] [CrossRef]
- Cao, J.; Wang, Q.; Qiu, W.; Mei, J.; Xie, J. Transport and Recovery of Turbot (Scophthalmus maximus) Sedated with MS-222 and Eugenol: Effects on Intermediary Metabolism and Osmoregulation. Animals 2021, 11, 2228. [Google Scholar] [CrossRef]
- Fotedar, S.; Evans, L. Health management during handling and live transport of crustaceans: A review. J. Invertebr. Pathol. 2011, 106, 143–152. [Google Scholar] [CrossRef]
- Salbego, J.; Toni, C.; Becker, A.G.; Zeppenfeld, C.C.; Menezes, C.C.; Loro, V.L.; Heinzmann, B.M.; Baldisserotto, B. Biochemical parameters of silver catfish (Rhamdia quelen) after transport with eugenol or essential oil of Lippia alba added to the water. Braz. J. Biol. 2017, 77, 696–702. [Google Scholar] [CrossRef]
- Jia, Y.; Gao, Y.; Chen, X.; Huang, B. Determination of optimal fasting time before blood sampling to get baseline data on serum biochemical characteristics in juvenile turbot (Scophthalmus maximus). Aquaculture 2018, 487, 83–88. [Google Scholar] [CrossRef]
- Adineh, H.; Naderi, M.; Khademi Hamidi, M.; Harsij, M. Biofloc technology improves growth, innate immune responses, oxidative status, and resistance to acute stress in common carp (Cyprinus carpio) under high stocking density. Fish Shellfish Immunol. 2019, 95, 440–448. [Google Scholar] [CrossRef] [PubMed]
- Wang, W.; Zhang, Y.; Liu, Y.; Adanyi, N.; Zhang, X. Effects of waterless live transportation on survivability, physiological responses and flesh quality in Chinese farmed sturgeon (Acipenser schrenckii). Aquaculture 2020, 518, 734834. [Google Scholar] [CrossRef]
- Vanderzwalmen, M.; McNeill, J.; Delieuvin, D.; Senes, S.; Sanchez-Lacalle, D.; Mullen, C.; McLellan, I.; Carey, P.; Snellgrove, D.; Foggo, A.; et al. Monitoring water quality changes and ornamental fish behaviour during commercial transport. Aquaculture 2021, 531, 735860. [Google Scholar] [CrossRef]
- Jiang, D.; Wu, Y.; Huang, D.; Ren, X.; Wang, Y. Effect of blood glucose level on acute stress response of grass carp Ctenopharyngodon idella. Fish Physiol. Biochem. 2017, 43, 1433–1442. [Google Scholar] [CrossRef]
- Roth, B.; Skåra, T. Pre mortem capturing stress of Atlantic herring (Clupea harengus) in purse seine and subsequent effect on welfare and flesh quality. Fish. Res. 2021, 244, 106124. [Google Scholar] [CrossRef]
- Liu, X.; Xie, J.; Yang, X.; Dong, H.; Zhang, X. Change of physiological stress and flesh quality of Megalobrama amblycephala during suitable waterless keep alive conditions. Trans. Chin. Soc. Agric. Eng. 2016, 32, 295–300. [Google Scholar] [CrossRef]
- Zhao, J.; Zhu, Y.; Yang, D.; Chen, J.; He, Y.; Li, X.; Feng, X.; Xiong, B. Cage-cultured Largemouth Bronze Gudgeon, Coreius guichenoti: Biochemical Profile of Plasma and Physiological Response to Acute Handling Stress. J. World Aquac. Soc. 2013, 44, 628–640. [Google Scholar] [CrossRef]
- Madeira, D.; Narciso, L.; Cabral, H.N.; Vinagre, C.; Diniz, M.S. Influence of temperature in thermal and oxidative stress responses in estuarine fish. Comp. Biochem. Physiol. A-Mol. Integr. Physiol. 2013, 166, 237–243. [Google Scholar] [CrossRef]
- Jacome Sanz, D.; Saralahti, A.K.; Pekkarinen, M.; Kesseli, J.; Nykter, M.; Ramet, M.; Ojanen, M.J.T.; Pesu, M. Proprotein convertase subtilisin/kexin type 9 regulates the production of acute-phase reactants from the liver. Liver Int. 2021, 41, 2511–2522. [Google Scholar] [CrossRef]
- Alborn, W.E.; Cao, G.; Careskey, H.E.; Qian, Y.W.; Subramaniam, D.R.; Davies, J.; Conner, E.M.; Konrad, R.J. Serum proprotein convertase subtilisin kexin type 9 is correlated directly with serum LDL cholesterol. Clin. Chem. 2007, 53, 1814–1819. [Google Scholar] [CrossRef] [PubMed]
- Lan, H.; Pang, L.; Smith, M.M.; Levitan, D.; Ding, W.; Liu, L.; Shan, L.; Shah, V.V.; Laverty, M.; Arreaza, G.; et al. Proprotein convertase subtilisin/kexin type 9 (PCSK9) affects gene expression pathways beyond cholesterol metabolism in liver cells. J. Cell. Physiol. 2010, 224, 273–281. [Google Scholar] [CrossRef] [PubMed]
- Pavlovic, S.Z.; Borkovic-Mitic, S.S.; Radovanovic, T.B.; Perendija, B.R.; Despotovic, S.G.; Gavric, J.P.; Saicic, Z.S. Antioxidant enzymes in the liver of Chelidonichthys obscurus from the Montenegrin coastline. Cent. Eur. J. Biol. 2013, 8, 747–755. [Google Scholar] [CrossRef][Green Version]
- Miyasaka, C.K.; de Souza, J.A.A.; Torres, R.P.; Mancini, J.; Lajolo, F.M.; Curi, R. Effect of the administration of fish oil by gavage on activities of antioxidant enzymes of rat lymphoid organs. Gen. Pharmacol. Vasc. Syst. 1998, 30, 759–762. [Google Scholar] [CrossRef]
- Castro, R.; Piazzon, M.C.; Noya, M.; Leiro, J.M.; Lamas, J. Isolation and molecular cloning of a fish myeloperoxidase. Mol. Immunol. 2008, 45, 428–437. [Google Scholar] [CrossRef] [PubMed]
- Kaur, M.; Atif, F.; Ansari, R.A.; Ahmad, F.; Raisuddin, S. The interactive effect of elevated temperature on deltamethrin-induced biochemical stress responses in Channa punctata Bloch. Chem. Biol. Interact. 2011, 193, 216–224. [Google Scholar] [CrossRef] [PubMed]
- Zeng, P.; Chen, T.; Shen, J. Effects of cold acclimation and storage temperature on crucian carp (Carassius auratus gibelio) in a waterless preservation. Fish Physiol. Biochem. 2014, 40, 973–982. [Google Scholar] [CrossRef]
- Qian, Y.-C.; Wang, X.; Ren, J.; Wang, J.; Limbu, S.M.; Li, R.-X.; Zhou, W.-H.; Qiao, F.; Zhang, M.-L.; Du, Z.-Y. Different effects of two dietary levels of tea polyphenols on the lipid deposition, immunity and antioxidant capacity of juvenile GIFT tilapia (Oreochromis niloticus) fed a high-fat diet. Aquaculture 2021, 542, 736896. [Google Scholar] [CrossRef]
- Zhang, X.Y.; Wei, Q.W.; Zhang, X.F.; Wu, X.X.; Wang, Y.; Li, L.X.; Yue, X.; Liu, J.W. Changes in serum biochemical parameters of Acipenser sinensis, Gray 1835, caused by decreasing environmental salinity. J. Appl. Ichthyol. 2011, 27, 235–240. [Google Scholar] [CrossRef]
- Mutlu, E.; Aydm, S.; Demir, T.; Yanik, T. Effect of Zeolite and Copper Sulfate, Administered Alone and in Combination on the Biochemical Components of Blood Serum of Common Carp, Cyprinus carpio. Pak. J. Zool. 2016, 48, 1857–1863. [Google Scholar]




| Method | Live Transport Time/h | ||||||
|---|---|---|---|---|---|---|---|
| 12 | 24 | 36 | 48 | 60 | 72 | R-12 | |
| 10 MO | 100 | 100 | 100 | 100 | 92 | 83 | 80 | 
| 20 MO | 100 | 100 | 100 | 100 | 96 | 96 | 96 | 
| 40 MO | 100 | 100 | 100 | 100 | 100 | 96 | 96 | 
| MS-222 | 100 | 100 | 100 | 100 | 100 | 100 | 100 | 
| Eugenol | 100 | 100 | 100 | 100 | 100 | 100 | 95 | 
| Control | 100 | 100 | 91 | 87 | 79 | 60 | 50 | 
| Publisher’s Note: MDPI stays neutral with regard to jurisdictional claims in published maps and institutional affiliations. | 
© 2022 by the authors. Licensee MDPI, Basel, Switzerland. This article is an open access article distributed under the terms and conditions of the Creative Commons Attribution (CC BY) license (https://creativecommons.org/licenses/by/4.0/).
Share and Cite
Wang, Q.; Mei, J.; Xie, J. The Effects of Lemon Balm (Melissa officinalis L.) Essential Oil on the Stress Response, Anti-Oxidative Ability, and Kidney Metabolism of Sea Bass during Live Transport. Animals 2022, 12, 339. https://doi.org/10.3390/ani12030339
Wang Q, Mei J, Xie J. The Effects of Lemon Balm (Melissa officinalis L.) Essential Oil on the Stress Response, Anti-Oxidative Ability, and Kidney Metabolism of Sea Bass during Live Transport. Animals. 2022; 12(3):339. https://doi.org/10.3390/ani12030339
Chicago/Turabian StyleWang, Qi, Jun Mei, and Jing Xie. 2022. "The Effects of Lemon Balm (Melissa officinalis L.) Essential Oil on the Stress Response, Anti-Oxidative Ability, and Kidney Metabolism of Sea Bass during Live Transport" Animals 12, no. 3: 339. https://doi.org/10.3390/ani12030339
APA StyleWang, Q., Mei, J., & Xie, J. (2022). The Effects of Lemon Balm (Melissa officinalis L.) Essential Oil on the Stress Response, Anti-Oxidative Ability, and Kidney Metabolism of Sea Bass during Live Transport. Animals, 12(3), 339. https://doi.org/10.3390/ani12030339
 
         
                                                



 
       