Evaluation of Shiitake Mushroom (Lentinula edodes) Supplementation on the Blood Parameters of Young Thoroughbred Racehorses
Abstract
Simple Summary
Abstract
1. Introduction
2. Materials and Methods
2.1. Animals
2.2. Experimental Procedure
2.3. Blood Collection and Analysis
2.4. Data Analysis
3. Results
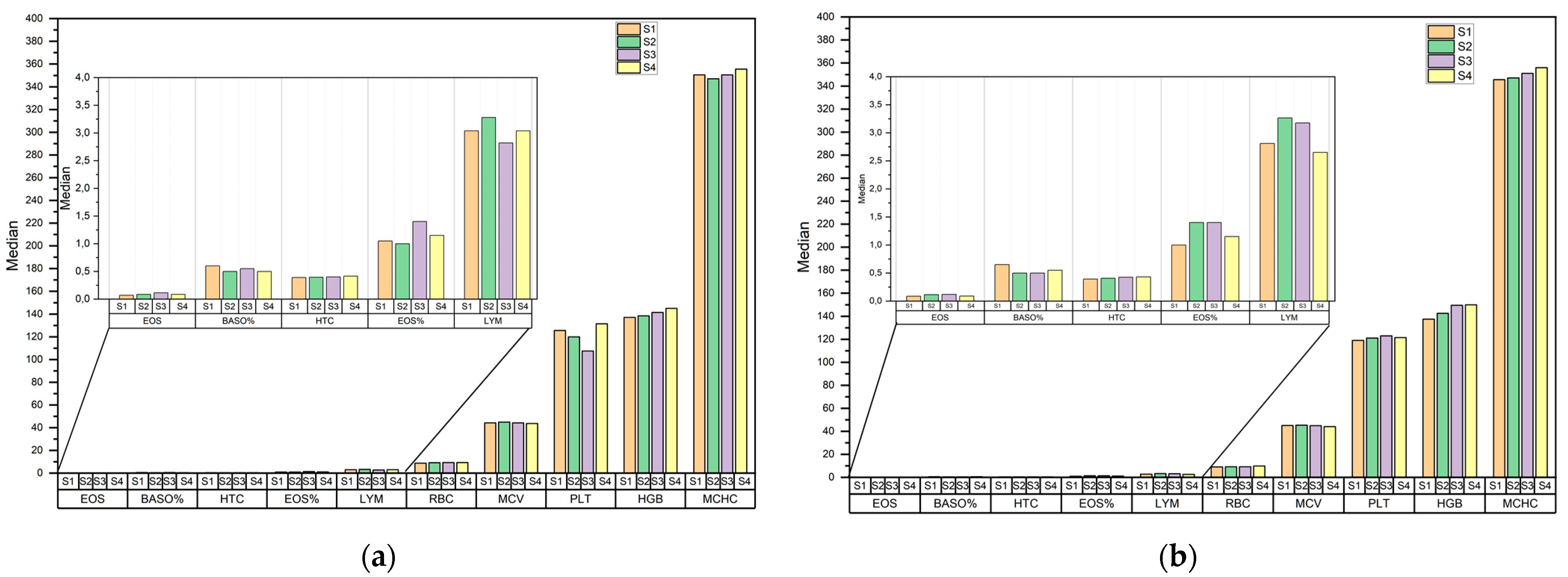
3.1. Blood Hematological Analysis
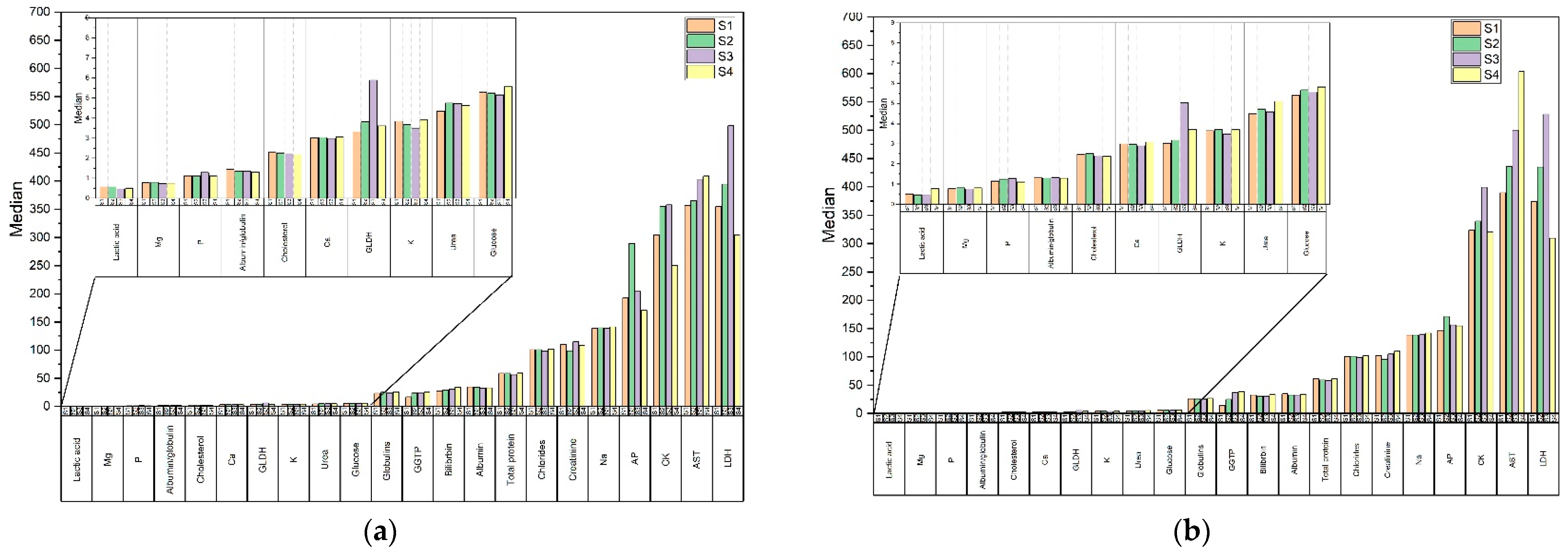
3.2. Blood Biochemical Analysis
4. Discussion
5. Conclusions
Author Contributions
Funding
Institutional Review Board Statement
Data Availability Statement
Acknowledgments
Conflicts of Interest
References
- Bisen, P.S.; Baghel, R.K.; Sanodiya, B.S.; Thakur, G.S.; Prasad, G.B.K.S. Lentinus edodes: A macrofungus with pharmacological activities. Curr. Med. Chem. 2010, 17, 2419–2430. [Google Scholar] [CrossRef]
- Chen, W.; Li, W.; Yang, Y.; Yu, H.; Zhou, S.; Feng, J.; Li, X.; Liu, Y. Analysis and evaluation of tasty components in the pileus and stipe of Lentinula edodes at different growth stages. J. Agric. Food Chem. 2015, 63, 795–801. [Google Scholar] [CrossRef] [PubMed]
- Elkhateeb, W.A.; Daba, G.M.; Thomas, P.W.; Wen, T.C. Medicinal mushrooms are a new source of natural therapeutic bioactive compounds. Egypt. Pharm. J. 2019, 18, 88–101. [Google Scholar]
- Li, X.; Zhang, H.; Xu, H. Analysis of chemical components of shiitake polysaccharides and its anti-fatigue effect under vibration. Int. J. Biol. Macromol. 2009, 45, 377–380. [Google Scholar] [CrossRef]
- Gargano, M.L.; Griensven, L.J.L.D.; Isikhuemhen, O.S.; Lindequist, U.; Venturella, G.; Wasser, S.P.; Zervakis, G.I. Medicinal mushrooms: Valuable biological resources of high exploitation potential. Plant Biosyst. 2017, 151, 548–565. [Google Scholar] [CrossRef]
- Chibata, I.; Okumura, K.; Takeyama, S.; Kotera, K. Lentinacin: A new hypocholesterolemic substance in Lentinus edodes. Experientia 1969, 25, 1237–1238. [Google Scholar] [CrossRef] [PubMed]
- Carbonero, E.R.; Ruthes, A.C.; Freitas, C.S.; Utrilla, P.; Galvez, J.; Silva, E.V.D.; Sassaki, G.L.; Gorin, P.A.J.G. Chemical and biological properties of a highly branched β-glucan from edible mushroom Pleurotus sajor-caju. Carbohydr. Polym. 2012, 90, 814–819. [Google Scholar] [CrossRef] [PubMed]
- Liu, Y.; Zhang, J.; Tang, Q.; Yang, Y.; Guo, Q.; Wang, Q.; Wu, D.; Cui, S.W. Physicochemical characterization of a high molecular weight bioactive β-D-glucan from the fruiting bodies of Ganoderma lucidum. Carbohydr. Polym. 2014, 101, 968–974. [Google Scholar] [CrossRef]
- Choi, Y.; Lee, S.M.; Chun, J.; Lee, H.B.; Lee, J. Influence of heat treatment on the antioxidant activities and polyphenolic compounds of shiitake (Lentinus edodes) mushroom. Food Chem. 2006, 99, 381–387. [Google Scholar] [CrossRef]
- Li, W.; Wang, J.; Hu, H.; Li, Q.; Liu, Y.; Wang, K. Functional polysaccharide Lentinan suppresses human breast cancer growth via inducing autophagy and caspase-7-mediated apoptosis. J. Funct. Foods 2018, 45, 75–85. [Google Scholar] [CrossRef]
- Ren, G.; Xu, L.; Lu, T.; Zhang, Y.; Wang, Y.; Yin, J. Protective effects of lentinan on lipopolysaccharide induced inflammatory response in intestine of juvenile taimen (Hucho taimen, Pallas). Int. J. Biol. Macromol. 2019, 121, 317–325. [Google Scholar] [CrossRef] [PubMed]
- Longvah, T.; Deosthale, Y.G. Compositional and nutritional studies on edible wild mushroom from northeast India. Food Chem. 1998, 63, 331–334. [Google Scholar] [CrossRef]
- Mattila, P.; Suonpää, K.; Piironen, V. Functional properties of edible mushrooms. Nutrition 2000, 16, 694–696. [Google Scholar] [CrossRef]
- Keegan, R.J.; Lu, Z.; Bogusz, J.M.; Williams, J.E.; Holick, M.F. Photobiology of vitamin D in mushrooms and its bioavailability in humans. Dermatoendocrinology 2013, 5, 165–176. [Google Scholar] [CrossRef]
- Li, S.; Wang, A.; Liu, L.; Tian, G.; Wei, S.; Xu, F. Evaluation of nutritional values of shiitake mushroom (Lentinus edodes) stipes. J. Food Meas. Charact. 2018, 12, 2012–2019. [Google Scholar] [CrossRef]
- Anwar, H.; Suchodolski, J.S.; Ullah, M.I.; Hussain, G.; Shabbir, M.Z.; Mustafa, I.; Sohail, M.U. Shiitake culinary-medicinal mushroom, Lentinus edodes (agaricomycetes), supplementation alters gut microbiome and corrects dyslipidemia in rats. Int. J. Med. Mushrooms 2019, 21, 79–88. [Google Scholar] [CrossRef] [PubMed]
- Yang, H.; Hwang, I.; Kim, S.; Hong, E.J.; Jeung, E.B. Lentinus edodes promotes fat removal in hypercholesterolemic mice. Exp. Ther. Med. 2013, 6, 1409–1413. [Google Scholar] [CrossRef] [PubMed]
- Lee, S.H.; Lillehoj, H.S.; Jang, S.I.; Kim, D.K.; Ionescu, C.; Bravo, D. Effect of dietary curcuma, capsicum, and lentinus, on enhancing local immunity against Eimeria acervulina infection. J. Poult. Sci. 2010, 47, 89–95. [Google Scholar] [CrossRef]
- Pang, F.H.; Xie, M.Q.; Ling, H.H. The investigation of immunodulator tested for the results on the control of a coccidial infection. Chin. J. Vet. Parasitol. 2000, 8, 1–3. [Google Scholar]
- Yu, J.G.; Zhu, L.Y. The use of Astragalus polysaccharide against infectious bursa disease in chickens. J. Trad. Chin. Vet. Med. 2000, 6, 3–4. [Google Scholar]
- Hearst, R.; Nelson, D.; McCollum, G.; Millar, B.C.; Maeda, Y.; Goldsmith, C.E.; Rooney, P.J.; Loughrey, A.; Rao, J.R.; Moore, J.E. An examination of antibacterial and antifungal properties of constituents of Shiitake (Lentinula edodes) and Oyster (Pleurotus ostreatus) mushrooms. Complement. Ther. Clin. Pract. 2009, 15, 5–7. [Google Scholar] [CrossRef]
- Guo, F.C.; Williams, B.A.; Kwakkel, R.P.; Li, H.S.; Li, X.P.; Luo, J.Y. Effects of mushroom and herb polysaccharides, as alternatives for an antibiotic, on the cecal microbial ecosystem in broiler chickens. Poult. Sci. 2004, 83, 175–182. [Google Scholar] [CrossRef] [PubMed]
- Kusaba, A.; Okada, Y.; Ueno, H.; Yamamoto, I.; Mori, Y.; Tanaka, N.; Arai, T.; Kawasumi, K. Effects of supplementation with Shiitake powder, Lentinula edodes, on anti-oxidative activities and energy/lipid metabolism in healthy dogs. Res. Sq. 2022. [Google Scholar] [CrossRef]
- Soroko, M.; Górniak, W.; Zielińska, P.; Górniak, A.; Śniegucka, K.; Nawrot, K.; Korczyński, M. Effect of Lentinula edodes on morphological and biochemical blood parameters of horses. Animals 2022, 12, 1106. [Google Scholar] [CrossRef]
- National Research Council (NRC). Nutrient Requirements of Horses, 6th ed.; National Academy Press: Washington, DC, USA, 2007.
- Satué, K.; Hernández, A.; Muńoz, A. Physiological factors in the interpretation of equine hematological profile. In Hematology-Science and Practice; Laurie, C., Ed.; IntechOpen: London, UK, 2012; pp. 573–596. [Google Scholar]
- Guilliams, M.; Mildner, A.; Yona, S. Developmental and functional heterogeneity of monocytes. Immunity 2018, 49, 595–613. [Google Scholar] [CrossRef] [PubMed]
- Willis, W.L.; Wall, D.C.; Isikhuemhen, O.S.; Ibrahim, S. Effect of different mushrooms fed to eimeria-challenged broilers on rearing performance. Int. J. Poult. Sci. 2012, 11, 433–437. [Google Scholar] [CrossRef][Green Version]
- Baba, E.; Uluköy, G.; Öntaş, C. Effects of feed supplemented with Lentinula edodes mushroom extract on the immune response of rainbow trout, Oncorhynchus mykiss, and disease resistance against Lactococcus garvieae. Aquaculture 2015, 448, 476–482. [Google Scholar] [CrossRef]
- Munoz, A.; Riber, C.; Trigo, P.; Castejon, F. Age and gender related variations in hematology, clinical biochemistry, and hormones in Spanish fillies and colts. Res. Vet. Sci. 2012, 93, 943–949. [Google Scholar] [CrossRef]
- Thorén-Tolling, K. Characterization of Equine Alkaline Phosphate Isoenzymes by Chemical Inhibition and Agaros Gel Electrophoresis. J. Vet. Med. 1988, 35, 1–12. [Google Scholar] [CrossRef]
- Trumble, T.N.; Brown, M.P.; Merritt, K.A.; Billinghurst, R.C. Joint dependent concentrations of bone alkaline phosphatase in serum and synovial fluids of horses with osteochondral injury: An analytical and clinical validation. Osteoarthr. Cartil. 2008, 16, 779–786. [Google Scholar] [CrossRef][Green Version]
- Xiao, C.; Wu, Q.P.; Tan, J.B.; Cai, W.; Yang, X.B.; Zhang, J.M. Inhibitory effects on alpha-glucosidase and hypoglycemic effects of the crude polysaccharides isolated from 11 edible fungi. J. Med. Plants Res. 2011, 5, 6963–6967. [Google Scholar]
- Drori, A.; Shabat, Y.; Ya’acov, A.B.; Danay, O.; Levanon, D.; Zolotarov, L.; Ilan, Y. Extracts from Lentinula edodes (Shiitake) edible mushrooms enriched with vitamin D exert an anti-inflammatory hepatoprotective effect. J. Med. Food 2016, 19, 383–389. [Google Scholar] [CrossRef] [PubMed]
- Coco, M.; Buscemi, A.; Guerrera, C.S.; Di Corrado, D.; Cavallari, P.; Zappalà, A.; Di Nuovo, S.; Parenti, R.; Maci, T.; Razza, G. Effects of a bout of intense exercise on some executive functions. Int. J. Environ. Res. Public Health 2020, 17, 898. [Google Scholar] [CrossRef] [PubMed]
- Westerblad, H.; Bruton, J.D.; Katz, A. Skeletal muscle: Energy metabolism, fiber types, fatigue and adaptability. Exp. Cell Res. 2010, 316, 3093–3099. [Google Scholar] [CrossRef]
- Shimada, Y.; Yamakawa, A.; Morita, T.; Sugiyama, K. Effects of dietary Eritadenine on the liver microsomal ⊿6-desaturase activity and its mRNA in rats. Biosci. Biotechnol. Biochem. 2003, 67, 1258–1266. [Google Scholar] [CrossRef][Green Version]
- Fukada, S.; Setoue, M.; Morita, T.; Sugiyama, K. Dietary Eritadenine suppresses guanidinoacetic acid-induced hyperhomocysteinemia in rats. J. Nutr. 2006, 136, 2797–2802. [Google Scholar] [CrossRef]
- Xu, C.; Yan, Z.H.; Hong, Z.J.; Jing, G. The pharmacological effect of polysaccharides from Lentinus edodes on the oxidative status and expression of VCAM-1mRNA of thoracic aorta endothelial cell in high-fat-diet rats. Carbohydr. Polym. 2008, 74, 445–450. [Google Scholar] [CrossRef]
- Rose, R.J.; Hodgson, D.R.; Sampson, D.; Chan, W. Changes in plasma biochemistry in horses competing in a 160 km endurance ride. Aust. Vet. J. 1983, 60, 101–105. [Google Scholar] [CrossRef]
- Wagner, M.; Halilbasic, E.; Marschall, H.U.; Zollner, G.; Fickert, P.; Langner, C.; Zatloukal, K.; Denk, H.; Trauner, M. CAR and PXR agonists stimulate hepatic bile acid and bilirubin detoxification and elimination pathways in mice. Hepatology 2005, 42, 420–430. [Google Scholar] [CrossRef]
- Delvescovo, B.; Tomlinson, J.; DeNotta, S.; Hodge, E.; Bookbinder, L.; Mohammed, H.O.; Divers, T.J. Bile acids, direct bilirubin and gamma-glutamyltransferase as prognostic indicators for horses with liver disease in the Eastern United States: 82 cases (1997–2019). J. Equine Vet. Sci. 2021, 105, 103729. [Google Scholar] [CrossRef]
- Fazio, F.; Assenza, A.; Tosto, F.; Casella, S.; Piccione, G.; Caola, G. Training and haematochemical profile in Thoroughbreds and Standardbreds: A longitudinal study. Livest. Sci. 2011, 141, 221–226. [Google Scholar] [CrossRef]
- Piccione, G.; Arfuso, F.; Marafioti, S.; Giannetto, C.; Giudice, E.; Fazio, F. Different training schedules influence serum electrophoretic protein profile in the athletic horse. J. Equine Vet. Sci. 2015, 35, 856–859. [Google Scholar] [CrossRef]
- Assunçăo, P.; Barbosa, T.; Yonezawa, L.; Barbosa, L.; Watanabe, M.; Kohayagawa, A.; Schmidt, E. Acute-phase protein profile in horses subjected to different exercise protocols. Can. J. Vet. Res. 2019, 83, 272–278. [Google Scholar]
- Scoppetta, F.; Tartaglia, M.; Renzone, G.; Avellini, L.; Gaiti, A.; Scaloni, A.; Chiaradia, E. Plasma protein changes in horse after prolonged physical exercise: A proteomic study. J. Proteom. 2012, 75, 4494–4504. [Google Scholar] [CrossRef]
- Baba, E.; Uluköy, G. Effects of Dietary Supplemented Shiitake Mushroom Extract on Growth, Non-specific Immune Parameters and in-vitro Resistance against Aeromonas hydrophila in Rainbow Trout (Oncorhynchus mykiss). J. Limnol. Fish. Res. 2022, 8, 28–36. [Google Scholar] [CrossRef]
- Yoon, K.N.; Alamm, N.; Lee, J.S.; Cho, H.J.; Kim, H.Y.; Shim, M.J.; Lee, M.W.; Lee, T.S. Antihyperlipidemic effect of dietary Lentinus edodes on plasma, feces and hepatic tissues in hypercholesterolemic rats. Mycobiology 2011, 39, 96–102. [Google Scholar] [CrossRef] [PubMed]
- Yu, S.; Wu, X.; Ferguson, M.; Simmen, R.; Cleves, M.; Simmen, F.; Fang, N. Diets containing shiitake mushroom reduce serum lipids and serum lipophilic antioxidant capacity in rats. J. Nutr. 2016, 146, 2491–2496. [Google Scholar] [CrossRef] [PubMed]


| Parameter, Unit | Day 1 G0 vs. G1 | Day 28 G0 vs. G1 | Day 56 G0 vs. G1 | Day 84 G0 vs. G1 |
|---|---|---|---|---|
| WBC, 109/L | 0.344705 | 0.969839 | 0.570606 | 0.623177 |
| NEU, 109/L | 0.495968 | 0.850107 | 0.909688 | 0.212295 |
| NEU% | 0.969850 | 0.969850 | 0.850107 | 0.140168 |
| LYM, 109/L | 0.570751 | 0.909722 | 0.384674 | 0.384674 |
| LYM% | 0.596425 | 0.596564 | 0.733634 | 0.241145 |
| MONO, 109/L | 0.255945 | 0.103590 | 0.037134 | 0.272496 |
| MONO% | 0.074563 | 0.103069 | 0.000986 | 0.211089 |
| EOS, 109/L | 0.539499 | 0.288100 | 0.969679 | 0.381614 |
| EOS% | 0.878922 | 0.136421 | 1.000000 | 0.320046 |
| BASO, 109/L | 0.907623 | 0.722023 | 1.000000 | 0.691548 |
| BASO% | 0.849094 | 0.969303 | 0.784078 | 0.412192 |
| RBC, 1012/L | 0.650025 | 0.622915 | 0.820397 | 0.705246 |
| HGB, 1012/L | 0.676782 | 0.676897 | 0.255945 | 0.495318 |
| HCT, L/L | 0.426660 | 1.000000 | 0.325570 | 0.405503 |
| MCV, fL | 0.427008 | 0.704503 | 0.677356 | 0.472510 |
| MCH, fmol | 1.000000 | 0.621995 | 0.704716 | 0.544441 |
| MCHC, mmol/L | 0.197243 | 0.849378 | 0.879559 | 0.969725 |
| PLT, 1012/L | 0.496130 | 0.733537 | 0.161184 | 0.544745 |
| Parameter, Unit | p-Value of G0 | p-Value of G1 |
|---|---|---|
| BASO% | 0.01375 | 0.633762 |
| EOS, 109/L | 0.017324 | 0.098309 |
| EOS% | 0.00569 | 0.060406 |
| HTC, L/L | 0.019976 | 0.056037 |
| HGB, 1012/L | 0.03228 | 0.052612 |
| LYM, 109/L | 0.025522 | 0.032658 |
| MCHC, mmol/L | 0.007176 | 0.019034 |
| MCV, fL | 0.000099 | 0.000108 |
| PLT, 1012/L | 0.012166 | 0.948376 |
| RBC, 1012/L | 0.026264 | 0.024827 |
| Parameter, Unit | Day 1 G0 vs. G1 | Day 28 G0 vs. G1 | Day 56 G0 vs. G1 | Day 84 G0 vs. G1 |
|---|---|---|---|---|
| Albumin, g/L | 0.677585 | 0.596702 | 0.520523 | 0.212295 |
| AP, U/L | 0.045155 | 0.014020 | 0.012612 | 0.037636 |
| AST, U/L | 0.241322 | 0.121225 | 0.017258 | 0.384674 |
| Total protein, g/L | 0.226477 | 0.820596 | 0.596702 | 0.405680 |
| Bilirubin, µmol/L | 0.212295 | 0.909722 | 1.000000 | 0.879829 |
| Chlorides, mmol/L | 0.733730 | 0.969850 | 0.241322 | 0.650148 |
| Cholesterol, mmol/L | 0.344705 | 0.241322 | 0.104111 | 0.104111 |
| CK, U/L | 0.384674 | 0.791337 | 0.850107 | 0.472676 |
| P, mmol/L | 0.762369 | 0.173618 | 0.909722 | 0.939743 |
| GLDH, U/L | 0.623177 | 0.850107 | 0.623177 | 0.762369 |
| Glucose, mmol/L | 0.096305 | 0.009109 | 0.025749 | 0.677585 |
| GGTP, U/L | 0.150928 | 0.762369 | 0.307490 | 0.241322 |
| Creatinine, µmol/L | 0.344705 | 0.307490 | 0.273037 | 0.650148 |
| LDH, U/L | 0.623177 | 0.075663 | 0.733730 | 0.449692 |
| Mg, mmol/L | 0.596702 | 0.879829 | 0.969850 | 0.075663 |
| Urea, mmol/L | 0.405680 | 0.969850 | 0.472676 | 0.449692 |
| K, mmol/L | 0.850107 | 0.596702 | 0.820596 | 0.791337 |
| Na, mmol/L | 0.969850 | 0.140466 | 0.449692 | 0.449692 |
| TGL, mmol/L | 0.705457 | 1.000000 | 0.069643 | 0.384674 |
| Ca, mmol/L | 0.570751 | 0.520523 | 0.405680 | 0.762369 |
| Globulins, g/L | 0.104111 | 0.545350 | 0.623177 | 0.520523 |
| Albumin/globulin ratio, mmol/L | 0.241322 | 0.405680 | 0.909722 | 1.000000 |
| Lactic acid, mmol/L | 0.256840 | 0.037636 | 0.879829 | 0.791337 |
| Parameter, Unit | p-Value G0 | p-Value G1 |
|---|---|---|
| Albumin, g/L | 0.006038 | 0.041825 |
| AP, U/L | 0.001032 | 0.001032 |
| AST, U/L | 0.011694 | 0.008724 |
| Total protein, g/L | 0.00477 | 0.000655 |
| Bilirubin, µmol/L | 0.036403 | 0.228919 |
| Chlorides, mmol/L | 0.000515 | 0.008724 |
| Cholesterol, mmol/L | 0.004844 | 0.059153 |
| CK, U/L | 0.012858 | 0.53987 |
| P, mmol/L | 0.032312 | 0.322733 |
| GLDH, U/L | 0.022853 | 0.000921 |
| Glucose, mmol/L | 0.001032 | 0.130501 |
| GGTP, U/L | 0.01919 | 0.000059 |
| Creatinine, µmol/L | 0.008724 | 0.000522 |
| LDH, U/L | 0.001531 | 0.000822 |
| Mg, mmol/L | 0.0000009 | 0.046223 |
| Urea, mmol/L | 0.001156 | 0.017809 |
| K, mmol/L | 0.017626 | 0.012858 |
| Na, mmol/L | 0.003467 | 0.000293 |
| Ca, mmol/L | 0.003467 | 0.01848 |
| Globulins, g/L | 0.01919 | 0.016287 |
| Albumin/globulin ratio mmol/L | 0.017626 | 0.000293 |
| Lactic acid, mmol/L | 0.143604 | 0.000237 |
Publisher’s Note: MDPI stays neutral with regard to jurisdictional claims in published maps and institutional affiliations. |
© 2022 by the authors. Licensee MDPI, Basel, Switzerland. This article is an open access article distributed under the terms and conditions of the Creative Commons Attribution (CC BY) license (https://creativecommons.org/licenses/by/4.0/).
Share and Cite
Soroko-Dubrovina, M.; Górniak, W.; Zielińska, P.; Górniak, A.; Čebulj-Kadunc, N.; Korczyński, M. Evaluation of Shiitake Mushroom (Lentinula edodes) Supplementation on the Blood Parameters of Young Thoroughbred Racehorses. Animals 2022, 12, 3212. https://doi.org/10.3390/ani12223212
Soroko-Dubrovina M, Górniak W, Zielińska P, Górniak A, Čebulj-Kadunc N, Korczyński M. Evaluation of Shiitake Mushroom (Lentinula edodes) Supplementation on the Blood Parameters of Young Thoroughbred Racehorses. Animals. 2022; 12(22):3212. https://doi.org/10.3390/ani12223212
Chicago/Turabian StyleSoroko-Dubrovina, Maria, Wanda Górniak, Paulina Zielińska, Aleksander Górniak, Nina Čebulj-Kadunc, and Mariusz Korczyński. 2022. "Evaluation of Shiitake Mushroom (Lentinula edodes) Supplementation on the Blood Parameters of Young Thoroughbred Racehorses" Animals 12, no. 22: 3212. https://doi.org/10.3390/ani12223212
APA StyleSoroko-Dubrovina, M., Górniak, W., Zielińska, P., Górniak, A., Čebulj-Kadunc, N., & Korczyński, M. (2022). Evaluation of Shiitake Mushroom (Lentinula edodes) Supplementation on the Blood Parameters of Young Thoroughbred Racehorses. Animals, 12(22), 3212. https://doi.org/10.3390/ani12223212

