A Hybrid Model for Temperature Prediction in a Sheep House
Abstract
:Simple Summary
Abstract
1. Introduction
2. Materials and Methods
2.1. Experimental Area
2.2. Experimental Data Preprocessing
2.3. Construction of a Combined Forecasting Model for Sheep House
2.3.1. XGBoost Algorithm
2.3.2. Particle Swarm Optimization Algorithm
- Step 1: Determine the fitness of each particle.
- Step 2: Continuously update the best individual extrema and the optimal global solution
- Step 3: indicates the direction and distance for the next iteration of each particle. represents the current state of each particle. Update and of each particle.
2.3.3. Model Performance Evaluation
3. Result and Analysis
3.1. Experimental Environment
3.2. Experiment Procedure
- Step 1:
- Standardize the temperature time series data for the Xinjiang sheep houses and split them into test and training sets by time. The first 70% of these 2000 time periods is the training set, while the last 30% is the test set.
- Step 2:
- Use principal component analysis to screen the key influencing factors of sheep house temperature in Xinjiang, eliminate redundant information among environmental factors, and simplify the model structure.
- Step 3:
- Initialize the particle swarm and XGBoost model parameter ranges.
- Step 4:
- Based on the training set, PSO optimization was used to optimize the optimal learning rate of the XGBoost and obtain a temperature prediction model based on PSO-XGBoost. Among them, the preset XGBoost model learning rate parameter range is [0,1]. PSO has 10 rounds of optimization, with 10 particles in each round, and R2 is used as the fitness.
- Step 5:
- Apply the PCA-PSO-XGBoost model to the Xinjiang sheep house environmental prediction field to monitor and regulate temperature changes in intensive housing.
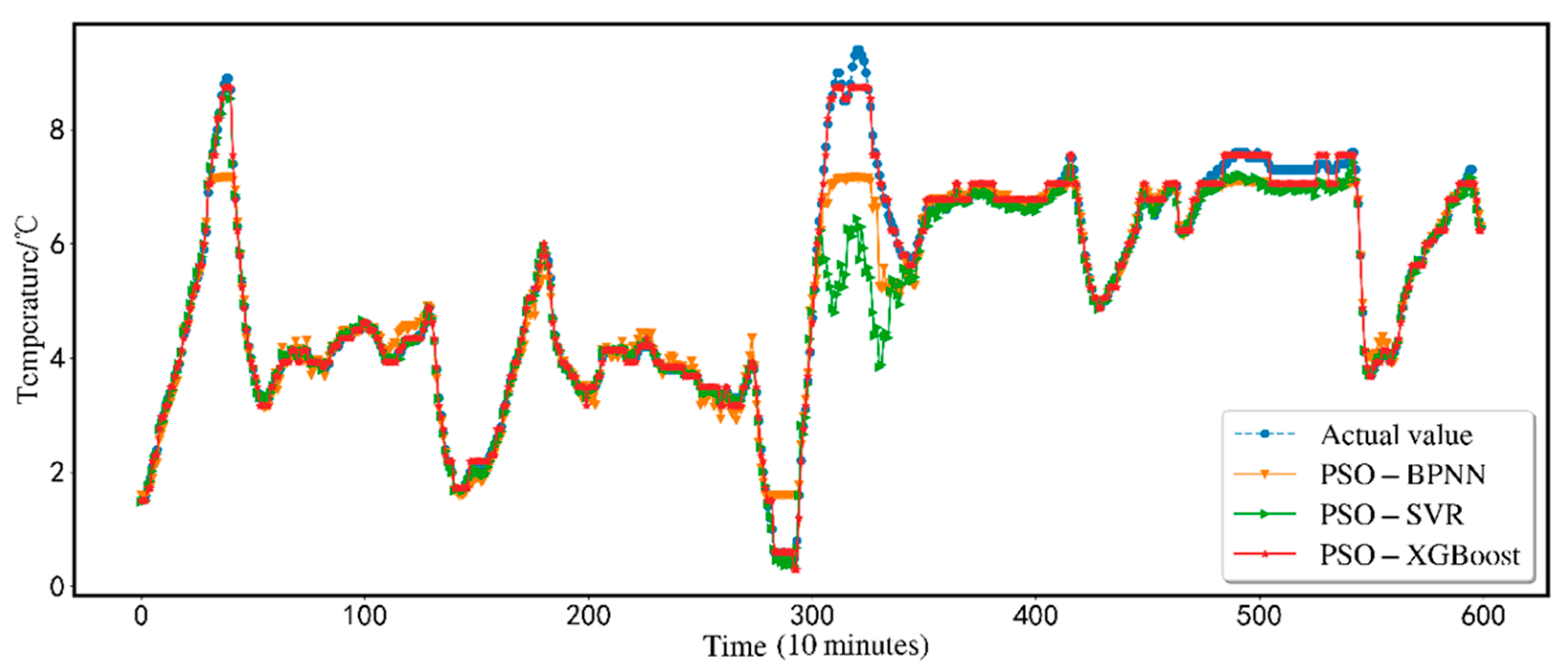
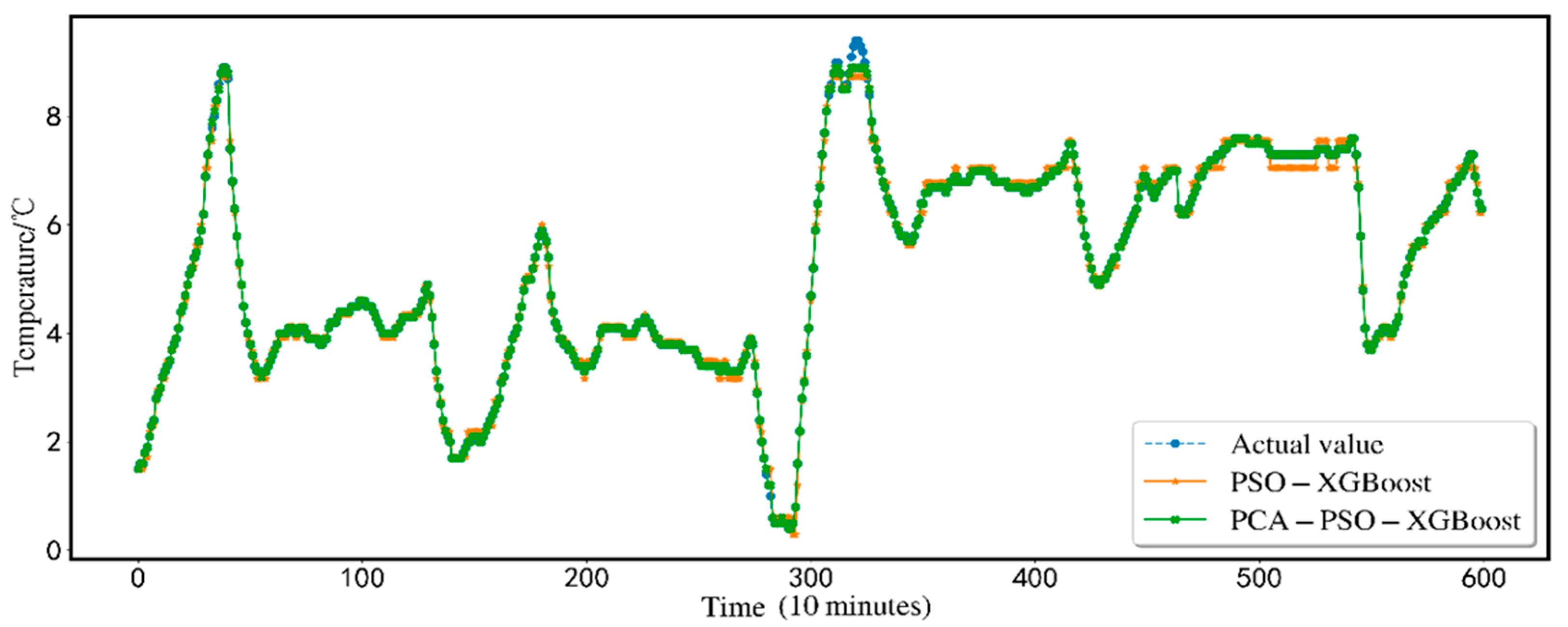
3.3. Result and Discussions
4. Conclusions
- (1)
- By using the PCA dimensionality reduction algorithm, the key environmental factors affecting the temperature of the sheep house can be screened out as air temperature, air humidity, carbon dioxide concentration, PM10, PM2.5, and the total suspended particulate matter (TSP), which can eliminate the correlation between the environmental factors. When inputting model parameters, irrelevant factors such as light intensity, noise, and H2S can be filtered, which can reduce the number of input variables, reduce the complexity of the model, simplify the model structure, and avoid the dimensional disaster caused by excessive feature dimensions. All of these benefits are crucial for increasing the model’s accuracy. At the same time, this also means that the use of light intensity sensors, noise sensors, and H2S sensors can be reduced, and the cost of sensor placement and energy consumption can be saved.
- (2)
- The global search for the parameters of the XGBoost model using the PSO optimization algorithm can significantly increase model accuracy compared to the training results of a single XGBoost model. Avoid the empirical and randomness of parameter selection and eliminate the correlation between the predicted temperature value and the actual value. The developed PSO-XGBoost model has excellent prediction effectiveness, strong stability, and practical applicability.
- (3)
- BPNN and SVR need to configure multiple parameter items and have many training times to improve prediction. Simultaneously, the XGBoost parameter setting is relatively simple, and the fitting effect is good; the model has high precision. Compared with PSO-BPNN and PSO-SVR, the evaluation indicators RMSE, MSE, R2, and MAE of PSO-XGBoost are 0.1256, 0.0158, 0.9957, and 0.0898, respectively. The model accuracy is higher, indicating that it has more performance advantages and practical application value.
- (4)
- In essence, BPNN is a gradient descent algorithm. The optimized objective function is complicated, the convergence speed is sluggish, and it is possible to fall into local extreme values, leading to the failure of network training. The training effect of the SVR model is overly dependent on parameter selection, and the variation in parameter selection directly impacts the model’s predictive performance and generalizability. Based on conventional Boosting, XGBoost employs CPU multi-threading and provides a regularization term that regulates the model’s complexity and prevents over-fitting. Therefore, it can effectively improve the accuracy of the model. In small-sample prediction, a single XGBoost can better mine the hidden information between the data than a single BPNN and a single SVR and has a better fit.
Author Contributions
Funding
Institutional Review Board Statement
Informed Consent Statement
Data Availability Statement
Conflicts of Interest
References
- Gao, W.; Han, R. Xinjiang Statistical Yearbook—2020; China Statistics Press: Beijing, China, 2020; pp. 319–404. [Google Scholar]
- Liang, Y.; Zhen, L.; Zhang, C.; Hu, Y. Consumption of products of livestock resources in Kazakhstan: Characteristics and influencing factors. Environ. Dev. 2020, 34, 100492. [Google Scholar] [CrossRef]
- Wang, G.; Mao, J.; Fan, L.; Ma, X.; Li, Y. Effects of climate and grazing on the soil organic carbon dynamics of the grasslands in Northern Xinjiang during the past twenty years. Glob. Ecol. Conserv. 2022, 34, e02039. [Google Scholar] [CrossRef]
- Zhang, M.; Feng, H.; Tomka, J.; Polovka, M.; Ma, R.; Zhang, X. Predicting of mutton sheep stress coupled with multi-environment sensing and supervised learning network in the transportation process. Comput. Electron. Agric. 2021, 190, 106422. [Google Scholar] [CrossRef]
- Tong, X.; Zhao, L.; Heber, A.J.; Ni, J.-Q. Development of a farm-scale, quasi-mechanistic model to estimate ammonia emissions from commercial manure-belt layer houses. Biosyst. Eng. 2020, 196, 67–87. [Google Scholar] [CrossRef]
- Huang, J.; Liu, S.; Hassan, S.G.; Xu, L.; Huang, C. A hybrid model for short-term dissolved oxygen content prediction. Comput. Electron. Agric. 2021, 186, 106216. [Google Scholar] [CrossRef]
- Xie, Q.; Ni, J.-Q.; Bao, J.; Su, Z. A thermal environmental model for indoor air temperature prediction and energy consumption in pig building. Build. Environ. 2019, 161, 106238. [Google Scholar] [CrossRef]
- Ortega, J.A.; Losada, E.; Besteiro, R.; Arango, T.; Ginzo-Villamayor, M.J.; Velo, R.; Fernandez, M.D.; Rodriguez, M.R. Validation of an AutoRegressive Integrated Moving Average model for the prediction of animal zone temperature in a weaned piglet building. Biosyst. Eng. 2018, 174, 231–238. [Google Scholar] [CrossRef]
- Fang, Z.; Crimier, N.; Scanu, L.; Midelet, A.; Alyafi, A.; Delinchant, B. Multi-zone indoor temperature prediction with LSTM-based sequence to sequence model. Energy Build. 2021, 245, 111053. [Google Scholar] [CrossRef]
- Elmaz, F.; Eyckerman, R.; Casteels, W.; Latré, S.; Hellinckx, P. CNN-LSTM architecture for predictive indoor temperature modeling. Build. Environ. 2021, 206, 108327. [Google Scholar] [CrossRef]
- Zou, W.; Yao, F.; Zhang, B.; He, C.; Guan, Z. Verification and predicting temperature and humidity in a solar greenhouse based on convex bidirectional extreme learning machine algorithm. Neurocomputing 2017, 249, 72–85. [Google Scholar] [CrossRef]
- Moon, T.; Son, J.E. Knowledge transfer for adapting pre-trained deep neural models to predict different greenhouse environments based on a low quantity of data. Comput. Electron. Agric. 2021, 185, 106136. [Google Scholar] [CrossRef]
- Sanikhani, H.; Deo, R.C.; Samui, P.; Kisi, O.; Mert, C.; Mirabbasi, R.; Gavili, S.; Yaseen, Z.M. Survey of different data-intelligent modeling strategies for forecasting air temperature using geographic information as model predictors. Comput. Electron. Agric. 2018, 152, 242–260. [Google Scholar] [CrossRef]
- Jung, D.H.; Kim, H.S.; Jhin, C.; Kim, H.J.; Park, S.H. Time-serial analysis of deep neural network models for prediction of climatic conditions inside a greenhouse. Comput. Electron. Agric. 2020, 173, 105402. [Google Scholar] [CrossRef]
- Cai, W.; Wei, R.; Xu, L.; Ding, X. A method for modelling greenhouse temperature using gradient boost decision tree. Inf. Process. Agric. 2022, 9, 343–354. [Google Scholar] [CrossRef]
- Li, X.; Han, Z.; Zhao, T.; Zhang, J.; Xue, D. Modeling for indoor temperature prediction based on time-delay and Elman neural network in air conditioning system. J. Build. Eng. 2021, 33, 101854. [Google Scholar] [CrossRef]
- Martínez-Comesaña, M.; Ogando-Martínez, A.; Troncoso-Pastoriza, F.; López-Gómez, J.; Febrero-Garrido, L.; Granada-Álvarez, E. Use of optimised MLP neural networks for spatiotemporal estimation of indoor environmental conditions of existing buildings. Build. Environ. 2021, 205, 108243. [Google Scholar] [CrossRef]
- Li, X.; Zhao, T.; Zhang, J.; Chen, T. Predication control for indoor temperature time-delay using Elman neural network in variable air volume system. Energy Build. 2017, 154, 545–552. [Google Scholar] [CrossRef]
- Xu, L.; Liu, S.; Li, D. Prediction of water temperature in prawn cultures based on a mechanism model optimized by an improved artificial bee colony. Comput. Electron. Agric. 2017, 140, 397–408. [Google Scholar] [CrossRef]
- Graf, R.; Zhu, S.; Sivakumar, B. Forecasting river water temperature time series using a wavelet–neural network hybrid modelling approach. J. Hydrol. 2019, 578, 124115. [Google Scholar] [CrossRef]
- Alhamid, M.I.; Saito, K. Hot water temperature prediction using a dynamic neural network for absorption chiller application in Indonesia. Sustain. Energy Technol. Assess. 2018, 30, 114–120. [Google Scholar]
- Ni, L.; Wang, D.; Wu, J.; Wang, Y.; Tao, Y.; Zhang, J.; Liu, J. Streamflow forecasting using extreme gradient boosting model coupled with Gaussian mixture model. J. Hydrol. 2020, 586, 124901. [Google Scholar] [CrossRef]
- Wang, Y.; Sun, S.; Chen, X.; Zeng, X.; Kong, Y.; Chen, J.; Guo, Y.; Wang, T. Short-term load forecasting of industrial customers based on SVMD and XGBoost. Int. J. Electr. Power Energy Syst. 2021, 129, 106830. [Google Scholar] [CrossRef]
- Liu, Y.; Zhuang, Y.; Ji, B.; Zhang, G.; Rong, L.; Teng, G.; Wang, C. Prediction of laying hen house odor concentrations using machine learning models based on small sample data. Comput. Electron. Agric. 2022, 195, 106849. [Google Scholar] [CrossRef]
- Obsie, E.Y.; Qu, H.; Drummond, F. Wild blueberry yield prediction using a combination of computer simulation and machine learning algorithms. Comput. Electron. Agric. 2020, 178, 105778. [Google Scholar] [CrossRef]
- Gu, Y.; Zhang, D.; Bao, Z. A new data-driven predictor, PSO-XGBoost, used for permeability of tight sandstone reservoirs: A case study of member of chang 4+ 5, western Jiyuan Oilfield, Ordos Basin. J. Pet. Sci. Eng. 2021, 199, 108350. [Google Scholar] [CrossRef]
- Zhang, Y.; Cui, N.; Feng, Y.; Gong, D.; Hu, X. Comparison of BP, PSO-BP and statistical models for predicting daily global solar radiation in arid Northwest China. Comput. Electron. Agric. 2019, 164, 104905. [Google Scholar] [CrossRef]
- Huang, Y.; Hasan, N.; Deng, C.; Bao, Y. Multivariate empirical mode decomposition based hybrid model for day-ahead peak load forecasting. Energy 2022, 239, 122245. [Google Scholar] [CrossRef]
- Zhu, B.; Feng, Y.; Gong, D.; Jiang, S.; Zhao, L.; Cui, N. Hybrid particle swarm optimization with extreme learning machine for daily reference evapotranspiration prediction from limited climatic data. Comput. Electron. Agric. 2020, 173, 105430. [Google Scholar] [CrossRef]
- Yu, C.; Li, Z.; Yang, Z.; Chen, X.; Su, M. A feedforward neural network based on normalization and error correction for predicting water resources carrying capacity of a city. Ecol. Indic. 2020, 118, 106724. [Google Scholar] [CrossRef]
- Friedman, J.H. Greedy function approximation: A Gradient boosting machine. Ann. Stat. 2001, 29, 1189–1232. [Google Scholar] [CrossRef]
- Pan, S.; Zheng, Z.; Guo, Z.; Luo, H. An optimized XGBoost method for predicting reservoir porosity using petrophysical logs. J. Pet. Sci. Eng. 2022, 208, 109520. [Google Scholar] [CrossRef]
- Eberhart, R.; Kennedy, J. A new optimizer using particle swarm theory. In Proceedings of the Sixth International Symposium on Micro Machine and Human Science, MHS’95, Nagoya, Japan, 4–6 October 1995; pp. 39–43. [Google Scholar]
- Raja, J.B.; Pandian, S.C. PSO-FCM based data mining model to predict diabetic disease. Comput. Methods Programs Biomed. 2020, 196, 105659. [Google Scholar] [CrossRef] [PubMed]
- Yao, F.; He, W.; Wu, Y.; Ding, F.; Meng, D. Remaining useful life prediction of lithium-ion batteries using a hybrid model. Energy 2022, 248, 123622. [Google Scholar] [CrossRef]
- Nevavuori, P.; Narra, N.; Lipping, T. Crop yield prediction with deep convolutional neural networks. Comput. Electron. Agric. 2019, 163, 104859. [Google Scholar] [CrossRef]












| Time | Air Temperature | Air Humidity | CO2 | PM2.5 | PM10 | Light Intensity | Noise | TSP | H2S |
|---|---|---|---|---|---|---|---|---|---|
| 8 February 2021 17:11:56 | 4.2 | 78 | 1355 | 16.3 | 81.3 | 146 | 31.1 | 120.7 | 5.2 |
| 8 February 2021 17:21:35 | 3.9 | 78.4 | 1330 | 26.5 | 107.1 | 97 | 72.7 | 165.3 | 5.2 |
| - | - | - | - | - | - | - | - | - | - |
| 22 February 2021 17:12:15 | 6.6 | 81.2 | 855 | 12.5 | 24 | 97 | 40.2 | 45.3 | 5.2 |
| 22 February 2021 17:22:15 | 6.4 | 81.4 | 780 | 9.3 | 24.6 | 183 | 34.1 | 42 | 5 |
| 22 February 202117:32:16 | 6.3 | 81.4 | 770 | 12.2 | 34.8 | 159 | 31.8 | 58.2 | 1.4 |
| Component | Initial Eigenvalues | Extract the Load Sum of Squares | Rotational Load Sum of Squares | ||||||
|---|---|---|---|---|---|---|---|---|---|
| Total | Variance/% | Accumulation/% | Total | Variance/% | Accumulation/% | Total | Variance/% | Accumulation/% | |
| 1 | 3.151 | 35.016 | 35.016 | 3.151 | 35.016 | 35.016 | 2.938 | 32.650 | 32.650 |
| 2 | 2.164 | 24.043 | 59.060 | 2.164 | 24.043 | 59.060 | 2.310 | 25.666 | 58.315 |
| 3 | 1.605 | 17.832 | 76.892 | 1.605 | 17.832 | 76.892 | 1.672 | 18.576 | 76.892 |
| 4 | 0.952 | 10.579 | 87.470 | - | - | - | - | - | - |
| 5 | 0.491 | 5.460 | 92.930 | - | - | - | - | - | - |
| 6 | 0.391 | 4.342 | 97.272 | - | - | - | - | - | - |
| 7 | 0.187 | 2.076 | 99.348 | - | - | - | - | - | - |
| 8 | 0.059 | 0.652 | 100.000 | - | - | - | - | - | - |
| 9 | 0.000 | 0.000 | 100.000 | - | - | - | - | - | - |
| Parameter | Component | ||
|---|---|---|---|
| 1 | 2 | 3 | |
| TSP | 0.995 | −0.077 | 0.018 |
| PM10 | 0.988 | −0.078 | −0.006 |
| PM2.5 | 0.972 | −0.068 | 0.103 |
| CO2 | 0.030 | 0.901 | 0.188 |
| Air humidity | −0.141 | 0.864 | −0.179 |
| Light intensity | 0.031 | −0.799 | 0.131 |
| Noise | 0.039 | −0.299 | 0.013 |
| Air temperature | 0.016 | −0.047 | 0.904 |
| H2S | −0.062 | 0.062 | −0.871 |
| Correlation Matrix | ||||||||||
|---|---|---|---|---|---|---|---|---|---|---|
| Air Temperature | Air Humidity | CO2 | PM2.5 | PM10 | Light Intensity | Noise | TSP | H2S | ||
| Correlation | Air temperature | 1.000 | −0.211 | 0.141 | 0.122 | 0.011 | 0.168 | 0.025 | 0.035 | −0.597 |
| Air humidity | −0.211 | 1.000 | 0.715 | −0.209 | −0.200 | −0.575 | −0.157 | −0.204 | 0.189 | |
| CO2 | 0.141 | 0.715 | 1.000 | −0.019 | −0.044 | −0.574 | −0.189 | −0.039 | −0.040 | |
| PM2.5 | 0.122 | −0.209 | −0.019 | 1.000 | 0.940 | 0.107 | 0.035 | 0.963 | −0.139 | |
| PM10 | 0.011 | −0.200 | −0.044 | 0.940 | 1.000 | 0.094 | 0.068 | 0.997 | −0.068 | |
| Light intensity | 0.168 | −0.575 | −0.574 | 0.107 | 0.094 | 1.000 | 0.108 | 0.098 | −0.106 | |
| Noise | 0.025 | −0.157 | −0.189 | 0.035 | 0.068 | 0.108 | 1.000 | 0.061 | −0.049 | |
| TSP | 0.035 | −0.204 | −0.039 | 0.963 | 0.997 | 0.098 | 0.061 | 1.000 | −0.085 | |
| H2S | −0.597 | 0.189 | −0.040 | −0.139 | −0.068 | −0.106 | −0.049 | −0.085 | 1.000 | |
| Predict Model | Error Type | |||
|---|---|---|---|---|
| RMSE | MSE | R2 | MAE | |
| BPNN | 1.2354 | 1.5261 | 0.5845 | 0.9449 |
| SVR | 1.1422 | 1.3046 | 0.6448 | 0.5718 |
| XGBoost | 0.1373 | 0.0189 | 0.9949 | 0.1034 |
| PSO-SVR | 0.7035 | 0.4950 | 0.8652 | 0.2454 |
| PSO-BPNN | 0.4470 | 0.1998 | 0.9456 | 0.2344 |
| PSO-XGBoost | 0.1256 | 0.0158 | 0.9957 | 0.0898 |
| PCA-PSO-XGBoost | 0.0433 | 0.0019 | 0.9995 | 0.0065 |
| Predict Model | Error Type | |||
|---|---|---|---|---|
| RMSE | MSE | R2 | MAE | |
| XGBoost | 1.2562 | 1.5782 | 0.8312 | 1.2088 |
| PSO-XGBoost | 0.1676 | 0.0281 | 0.9969 | 0.1495 |
| PCA-PSO-XGBoost | 0.0104 | 0.0001 | 0.9999 | 0.0036 |
Publisher’s Note: MDPI stays neutral with regard to jurisdictional claims in published maps and institutional affiliations. |
© 2022 by the authors. Licensee MDPI, Basel, Switzerland. This article is an open access article distributed under the terms and conditions of the Creative Commons Attribution (CC BY) license (https://creativecommons.org/licenses/by/4.0/).
Share and Cite
Feng, D.; Zhou, B.; Hassan, S.G.; Xu, L.; Liu, T.; Cao, L.; Liu, S.; Guo, J. A Hybrid Model for Temperature Prediction in a Sheep House. Animals 2022, 12, 2806. https://doi.org/10.3390/ani12202806
Feng D, Zhou B, Hassan SG, Xu L, Liu T, Cao L, Liu S, Guo J. A Hybrid Model for Temperature Prediction in a Sheep House. Animals. 2022; 12(20):2806. https://doi.org/10.3390/ani12202806
Chicago/Turabian StyleFeng, Dachun, Bing Zhou, Shahbaz Gul Hassan, Longqin Xu, Tonglai Liu, Liang Cao, Shuangyin Liu, and Jianjun Guo. 2022. "A Hybrid Model for Temperature Prediction in a Sheep House" Animals 12, no. 20: 2806. https://doi.org/10.3390/ani12202806
APA StyleFeng, D., Zhou, B., Hassan, S. G., Xu, L., Liu, T., Cao, L., Liu, S., & Guo, J. (2022). A Hybrid Model for Temperature Prediction in a Sheep House. Animals, 12(20), 2806. https://doi.org/10.3390/ani12202806

