A Comparison of Two Supplementary Doses of Vitamin A on Performance, Intestine and Immune Organ Development, as well as Gene Expression of Inflammatory Factors in Young Hy-Line Brown Laying Pullets
Abstract
:Simple Summary
Abstract
1. Introduction
2. Materials and Methods
2.1. Experimental Birds, Diets and Design
2.2. Sample Collection
2.3. Intestinal Morphology Analysis
2.4. Quantification of mRNA Expression of the Genes
2.5. Statistical Analyses
3. Results and Discussion
3.1. Growth Performance
3.2. Intestine Length and Relative Organ Weight
3.3. Intestinal Morphology
3.4. Relative Weight of Immune Organs
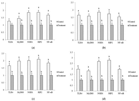
3.5. Gene Expressions of Inflammatory Factors in Thymus
4. Conclusions
Author Contributions
Funding
Institutional Review Board Statement
Informed Consent Statement
Data Availability Statement
Conflicts of Interest
References
- Khoramabadi, V.; Akbari, M.R.; Khajali, F.; Noorani, H.; Rahnatnejad, E. Influence of xylanase and vitamin A in wheat-based diet on performance, nutrients digestibility, small intestinal morpholgy and digesta viscosity in broiler chickens. Acta Sci. 2014, 36, 379–384. [Google Scholar]
- Faluyi, O.B.; Agbede, J.O. Dietary vitamin A supplementary effects on performance and immuno-competence of broiler chickens. Arch. Zootech. 2017, 20, 65–75. [Google Scholar]
- Savaris, V.D.L.; Souza, C.; Wachholz, L.; Broch, J.; Polese, C.; Carvalho, P.L.O.; Pozza, P.C.; Eyng, C.; Nunes, R.V. Interactions between lipid source and vitamin A on broiler performance, blood parameters, fat and protein deposition rate, and bone de-velopment. Poult. Sci. 2020, 100, 174–185. [Google Scholar] [CrossRef] [PubMed]
- Bono, M.R.; Tejon, G.; Flores-Santibanez, F.; Fernandez, D.; Rosemblatt, M.; Sauma, D. Retinoic acid as a modulator of T cell immunity. Nutrients 2016, 8, 349. [Google Scholar] [CrossRef] [PubMed] [Green Version]
- Czarnewski, P.; Das, S.; Parigi, S.M.; Villablanca, E.J. Retinoic acid and its role in modulating intestinal innate immunity. Nutrients 2017, 9, 68. [Google Scholar] [CrossRef] [PubMed] [Green Version]
- Wang, Y.; Li, L.; Gou, Z.; Chen, F.; Fan, Q.; Lin, X.; Ye, J.; Zhang, C.; Jiang, S. Effects of maternal and dietary vitamin A on growth performance, meat quality, antioxidant status, and immune function of offspring broilers. Poult. Sci. 2020, 99, 3930–3940. [Google Scholar] [CrossRef] [PubMed]
- Divani, A.; Bagherzadeh-Kasmani, F.; Mehri, M. Plantago ovata in broiler chicken nutrition: Performance, carcass criteria, intestinal morphology, immunity, and intestinal bacterial population. J. Anim. Physiol. Anim. Nutr. 2018, 102, 353–363. [Google Scholar] [CrossRef] [PubMed]
- Xu, X.; Wang, H.L.; Pan, L.; Ma, X.K.; Tian, Q.Y.; Xu, Y.T.; Long, S.F.; Zhang, Z.H.; Piao, X.S. Effects of coated proteases on the performance, nutrient retention, gut morphology and carcass traits of broilers fed corn or sorghum based diets supplemented with soybean meal. Anim. Feed Sci. Technol. 2017, 223, 119–127. [Google Scholar] [CrossRef]
- Gan, L.; Zhao, Y.; Mahmood, T.; Guo, Y. Effects of dietary vitamins supplementation level on the production performance and intestinal microbiota of aged laying hens. Poult. Sci. 2020, 99, 3594–3605. [Google Scholar] [CrossRef] [PubMed]
- Hanczakowska, E.; Swiatkiewicz, M.; Natonek-Wisniewska, M.; Okon, K. Medium chain fatty acids (MCFA) and/or probiotic Enterococcus faecium as a feed supplement for piglets. Livest. Sci. 2016, 192, 1–7. [Google Scholar] [CrossRef]
- Yuan, J.; Roshdy, A.R.; Guo, Y.; Wang, Y.; Guo, S. Effect of dietary vitamin A on reproductive performance and immune response of broiler breeders. PLoS ONE 2014, 9, e105677. [Google Scholar] [CrossRef] [PubMed]
- Uni, Z.; Zaiger, G.O.; Pines, M.; Rozenboim, I.; Reifen, R. Vitamin A deficiency interferes with profiliferation and maturation of cells in the chickens small intestine. Brit. Poult. Sci. 2000, 41, 410–415. [Google Scholar] [CrossRef] [PubMed]
- Fan, X.; Liu, S.; Liu, G.; Liu, J.; Jiao, H.; Wang, X.; Song, Z.; Lin, H. Vitamin A deficiency impairs mucin expression and sup-presses the mucosal immune function of the respiratory tract in chicks. PLoS ONE 2015, 10, e0139131. [Google Scholar] [CrossRef] [PubMed] [Green Version]
- Wang, J.; Clark, D.L.; Jacobi, S.K.; Velleman, S.G. Supplementation of vitamin E and omega-3 fatty acids during the early poshatch period on intestinal morphology and gene expression differentiation in broilers. Poult. Sci. 2021, 100, 100954. [Google Scholar] [CrossRef] [PubMed]
- Yang, H.; Liang, J.; Dai, H.; Wan, X.; Wang, Z. Effects of vitamin A supplementation in the diet of breeding geese on offspring intestinal tissue morphology and immune performance. Asian-Australas. J. Anim. Sci. 2020, 33, 1463–1469. [Google Scholar]
- Yan, P.P.; Shi, T.H.; Jing, Q.C.; Liu, X. Influence of vitamin A on performance, serum biochemical indices, and tibia ash content of broilers. Chin. J. Anim. Nutr. 2014, 26, 2349–2356. [Google Scholar]
- Takeuchi, O.; Akira, S. Pattern recognition receptors and inflammation. Cell 2010, 140, 805–820. [Google Scholar] [CrossRef] [PubMed] [Green Version]
- Narimatsu, K.; Higashiyama, M.; Kurihara, C.; Takajo, T.; Maruta, K.; Yasutake, Y.; Sato, H.; Okada, Y.; Watanabe, C.; Ko-moto, S.; et al. Toll-like receptor (TLR) 2 agonist ameliorate indomethacin-induced murine ileitis by suppressing the TLR4 signaling. J. Gastroen. Hepatol. 2015, 30, 1610–1617. [Google Scholar] [CrossRef] [PubMed]
- Lin, H.; Wang, L.F.; Song, J.L.; Xie, Y.M.; Yang, Q.M. Effect of dietary supplemental levels of vitamin A on egg production and immune responses of heat stressed laying hens. Poult. Sci. 2002, 81, 458–465. [Google Scholar] [CrossRef] [PubMed]

| Ingredients, % | Nutrient Content, % 2 | ||
|---|---|---|---|
| Corn | 56.59 | Metabolizable energy, MJ/kg | 12.18 |
| Flour | 3.40 | Crude protein | 21.45 |
| Soybean meal | 25.50 | Ca | 1.22 |
| Extruded soybean | 10.00 | Nonphytate phosphorus | 0.45 |
| DL-methionine | 0.12 | Lysine | 1.15 |
| Limestone | 1.41 | Methionine | 0.43 |
| Calcium hydrophosphate | 1.68 | Methionine + Cysteine | 0.82 |
| Salt | 0.30 | ||
| Vitamin and mineral premix 1 | 1.00 | ||
| Total | 100.00 |
| Gene | Forward (5′-3′) | Reverse (5′-3′) | Product Length (bp) | Accession Numbers |
|---|---|---|---|---|
| TLR4 | GTCTCTCCTTCCTTACCTGCTGTTC | AGGAGGAGAAAGACAGGGTAGGTG | 187 | AY064697 |
| MyD88 | AGAAGGTGTCGGAGGATGGTG | GGGCTCCAAATGCTGACTGC | 365 | NM_001030962 |
| NOD1 | AGCACTGTCCATCCTCTGTCC | TGAGGGTTGGTAAAGGTCTGCT | 62 | JX465487 |
| RIP2 | CAGTGTCCAGTAAATCGCAGTTG | CAGGCTTCCGTCATCTGGTT | 206 | XM_003355027.1 |
| NF-κB | GTGTGAAGAAACGGGAACTG | GGCACGGTTGTCATAGATGG | 138 | NM_205129 |
| β-actin | GTGTGAAGAAACGGGAACTG | GGCACGGTTGTCATAGATGG | 205 | L08165 |
| Item | Control | Treatment | SEM | p-Value |
|---|---|---|---|---|
| D 0 | ||||
| BW, g | 42.16 | 42.15 | 0.23 | 0.91 |
| D 7 | ||||
| BW, g | 64.96 | 65.29 | 0.67 | 0.92 |
| ADG, g/d | 3.80 | 3.86 | 0.12 | 0.90 |
| ADFI, g/d | 8.48 | 8.40 | 0.24 | 0.31 |
| F/G | 2.23 | 2.18 | 0.07 | 0.39 |
| D 14 | ||||
| BW, g | 120.18 | 120.32 | 1.17 | 0.75 |
| ADG, g/d | 6.00 | 6.01 | 0.18 | 0.82 |
| ADFI, g/d | 11.08 | 10.61 | 0.32 | 0.18 |
| F/G | 1.85 | 1.77 | 0.05 | 0.23 |
| D 21 | ||||
| BW, g | 206.37 | 206.53 | 2.10 | 0.87 |
| ADG, g/d | 8.21 | 8.22 | 0.20 | 0.91 |
| ADFI, g/d | 14.53 | 13.90 | 0.35 | 0.12 |
| F/G | 1.77 a | 1.69 b | 0.04 | 0.02 |
| D 28 | ||||
| BW, g | 305.60 | 306.72 | 3.46 | 0.76 |
| ADG, g/d | 9.76 | 9.80 | 0.22 | 0.89 |
| ADFI, g/d | 19.05 a | 18.24 b | 0.38 | 0.04 |
| F/G | 1.95 a | 1.86 b | 0.04 | 0.03 |
| D 35 | ||||
| BW, g | 408.26 | 414.61 | 5.05 | 0.24 |
| ADG, g/d | 10.77 | 10.95 | 0.23 | 0.55 |
| ADFI, g/d | 24.07 a | 22.73 b | 0.53 | <0.01 |
| F/G | 2.23 a | 2.08 b | 0.05 | <0.01 |
| Item | Control | Treatment | SEM | p-Value |
|---|---|---|---|---|
| D 14 | ||||
| Length, cm | ||||
| Duodenum | 12.78 b | 13.81 a | 0.31 | 0.04 |
| Jejunum | 30.94 | 32.33 | 0.87 | 0.24 |
| Ileum | 27.24 b | 28.83 a | 0.80 | 0.04 |
| Relative organ weight, % | ||||
| Duodenum | 1.81 | 1.85 | 0.03 | 0.07 |
| Jejunum | 2.29 | 2.35 | 0.05 | 0.37 |
| Ileum | 1.79 | 1.82 | 0.03 | 0.65 |
| D 21 | ||||
| Length, cm | ||||
| Duodenum | 15.38 | 15.72 | 0.35 | 0.42 |
| Jejunum | 32.23 b | 34.04 a | 0.90 | 0.04 |
| Ileum | 30.02 | 30.18 | 0.88 | 0.66 |
| Relative organ weight, % | ||||
| Duodenum | 1.69 b | 1.78 a | 0.03 | 0.02 |
| Jejunum | 2.06 | 2.11 | 0.06 | 0.68 |
| Ileum | 1.30 | 1.32 | 0.03 | 0.36 |
| D 28 | ||||
| Length, cm | ||||
| Duodenum | 15.55 b | 16.50 a | 0.38 | 0.04 |
| Jejunum | 33.61 b | 35.58 a | 0.92 | 0.02 |
| Ileum | 29.65 | 30.14 | 0.85 | 0.55 |
| Relative organ weight, % | ||||
| Duodenum | 1.36 | 1.40 | 0.03 | 0.29 |
| Jejunum | 1.44 b | 1.62 a | 0.05 | 0.01 |
| Ileum | 1.05 | 1.07 | 0.04 | 0.67 |
| D 35 | ||||
| Length, cm | ||||
| Duodenum | 16.67 b | 17.90 a | 0.40 | <0.01 |
| Jejunum | 37.20 b | 40.16 a | 1.01 | 0.02 |
| Ileum | 33.47 b | 38.05 a | 0.99 | <0.01 |
| Relative organ weight, % | ||||
| Duodenum | 1.34 b | 1.48 a | 0.03 | <0.01 |
| Jejunum | 1.66 b | 1.87 a | 0.04 | 0.02 |
| Ileum | 1.46 b | 1.67 a | 0.03 | 0.01 |
| Item | Control | Treatment | SEM | p-Value |
|---|---|---|---|---|
| D 14 | ||||
| Jejunum | ||||
| Villus height, μm | 535 | 575 | 33 | 0.33 |
| Crypt depth, μm | 121 | 104 | 11 | 0.41 |
| VCR | 4.42 b | 5.53 a | 0.42 | 0.02 |
| Ileum | ||||
| Villus height, μm | 343 b | 396 a | 21 | 0.03 |
| Crypt depth, μm | 97 | 86 | 10 | 0.21 |
| VCR | 3.54 b | 4.60 a | 0.40 | 0.01 |
| D 21 | ||||
| Jejunum | ||||
| Villus height, μm | 611 | 678 | 35 | 0.09 |
| Crypt depth, μm | 117 | 107 | 10 | 0.63 |
| VCR | 5.22 b | 6.34 a | 0.48 | 0.03 |
| Ileum | ||||
| Villus height, μm | 361 b | 412 a | 20 | 0.02 |
| Crypt depth, μm | 82 | 78 | 8 | 0.74 |
| VCR | 4.40 b | 5.28 a | 0.41 | 0.04 |
| D 28 | ||||
| Jejunum | ||||
| Villus height, μm | 830 | 883 | 33 | 0.08 |
| Crypt depth, μm | 125 | 120 | 11 | 0.84 |
| VCR | 6.64 | 7.36 | 0.43 | 0.10 |
| Ileum | ||||
| Villus height, μm | 503 b | 562 a | 22 | <0.01 |
| Crypt depth, μm | 88 | 86 | 8 | 0.85 |
| VCR | 5.72 b | 6.53 a | 0.38 | 0.03 |
| D 35 | ||||
| Jejunum | ||||
| Villus height, μm | 901 b | 1032 a | 36 | <0.01 |
| Crypt depth, μm | 150 | 148 | 10 | 0.63 |
| VCR | 6.01 b | 6.97 a | 0.42 | 0.01 |
| Ileum | ||||
| Villus height, μm | 515 b | 586 a | 25 | <0.01 |
| Crypt depth, μm | 96 | 86 | 9 | 0.77 |
| VCR | 5.36 b | 6.81 a | 0.40 | <0.01 |
| Item | Control | Treatment | SEM | p-Value |
|---|---|---|---|---|
| D 14 | ||||
| Spleen | 0.17 b | 0.21 a | 0.01 | 0.01 |
| Thymus | 0.61 b | 0.69 a | 0.03 | 0.01 |
| Bursa | 0.43 | 0.44 | 0.03 | 0.89 |
| D 21 | ||||
| Spleen | 0.21 b | 0.26 a | 0.02 | <0.01 |
| Thymus | 0.73 b | 0.79 a | 0.03 | 0.04 |
| Bursa | 0.53 | 0.56 | 0.03 | 0.44 |
| D 28 | ||||
| Spleen | 0.25 | 0.26 | 0.02 | 0.63 |
| Thymus | 0.63 b | 0.70 a | 0.03 | 0.04 |
| Bursa | 0.61 b | 0.68 a | 0.03 | 0.03 |
| D 35 | ||||
| Spleen | 0.27 | 0.27 | 0.01 | 0.51 |
| Thymus | 0.66 | 0.69 | 0.02 | 0.24 |
| Bursa | 0.61 b | 0.66 a | 0.02 | 0.02 |
Publisher’s Note: MDPI stays neutral with regard to jurisdictional claims in published maps and institutional affiliations. |
© 2022 by the authors. Licensee MDPI, Basel, Switzerland. This article is an open access article distributed under the terms and conditions of the Creative Commons Attribution (CC BY) license (https://creativecommons.org/licenses/by/4.0/).
Share and Cite
Chen, Q.; Han, X.; Zhu, H.; Liu, Y.; Xu, X. A Comparison of Two Supplementary Doses of Vitamin A on Performance, Intestine and Immune Organ Development, as well as Gene Expression of Inflammatory Factors in Young Hy-Line Brown Laying Pullets. Animals 2022, 12, 1271. https://doi.org/10.3390/ani12101271
Chen Q, Han X, Zhu H, Liu Y, Xu X. A Comparison of Two Supplementary Doses of Vitamin A on Performance, Intestine and Immune Organ Development, as well as Gene Expression of Inflammatory Factors in Young Hy-Line Brown Laying Pullets. Animals. 2022; 12(10):1271. https://doi.org/10.3390/ani12101271
Chicago/Turabian StyleChen, Qinliang, Xiaoqing Han, Huiling Zhu, Yulan Liu, and Xiao Xu. 2022. "A Comparison of Two Supplementary Doses of Vitamin A on Performance, Intestine and Immune Organ Development, as well as Gene Expression of Inflammatory Factors in Young Hy-Line Brown Laying Pullets" Animals 12, no. 10: 1271. https://doi.org/10.3390/ani12101271
APA StyleChen, Q., Han, X., Zhu, H., Liu, Y., & Xu, X. (2022). A Comparison of Two Supplementary Doses of Vitamin A on Performance, Intestine and Immune Organ Development, as well as Gene Expression of Inflammatory Factors in Young Hy-Line Brown Laying Pullets. Animals, 12(10), 1271. https://doi.org/10.3390/ani12101271
