The Relation between Hair-Cortisol Concentration and Various Welfare Assessments of Dutch Dairy Farms
Abstract
Simple Summary
Abstract
1. Introduction
2. Materials and Methods
2.1. Farm Selection
2.2. Executing Welfare Assessment Protocols
2.3. Collecting Hair Samples
2.4. The (Pre)Processing of the Hair
2.5. Analyzing Cortisol Concentrations
2.6. Calculating Cortisol Concentrations
2.7. Statistical Analysis
Correlations between Analyzing the First and Second Series of Cortisol Concentrations
3. Results
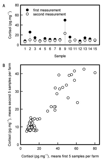
3.1. Effect of Storage Time of 15 Hair Samples on Cortisol Concentrations
3.2. Correlations between Hair Cortisol and the End Results/End Scores of Different Welfare Assessment Protocols
3.3. Corrleations between Hair Cortisol and Sub-Scores and Principles of Various Welfare Assessment Protocols
3.4. Correlations between Cortisol and Freestall-Related Measures, and Several Health-Related Parameters at Herd Level
3.5. Correlations between the Results of the Welfare Assessment Protocols
3.5.1. Correlations between the Welfare Assessment System WQ and Its Derivatives, Namely WQ Mod, WI Tuyttens and WM
3.5.2. Correlations of WQ (derived) Assessment Systems with Other Welfare Systems and Scores
3.5.3. Correlations between the Welfare Assessment Systems except WQ and WQ Derived Systems
4. Discussion
5. Conclusions
Supplementary Materials
Author Contributions
Funding
Institutional Review Board Statement
Data Availability Statement
Acknowledgments
Conflicts of Interest
References
- EU Affairs; Directorate General for Internal Policies. Policy Dept C: Citizens’ rights and constitutional affairs. In Animal Welfare in the European Union; Report PE 583.114 2017; European Union: Brussels, Belgium, 2017. [Google Scholar]
- Nalon, E.; Stevenson, P. Protection of dairy cattle in the EU: State of play and directions for ipolicymaking from a legal and animal advocacy perspective. Animals 2019, 9, 1066. [Google Scholar] [CrossRef] [PubMed]
- Ohl, F.; Van der Staay, F.J. Animal welfare: At the interface between science and society. Vet. J. 2012, 192, 13–19. [Google Scholar] [CrossRef]
- Welfare-Quality-Consortium. Welfare Quality® Assessment Protocol for Cattle; Welfare Quality® Consortium: Lelystad, The Netherlands, 2009. [Google Scholar]
- FAWC. 5 Freedoms Press Release; Farm Animal Welfare Council: London, UK, 1979. Available online: http://webarchive.nationalarchives.gov.uk/20121010012427/http://www.fawc.org.uk/freedoms.htm (accessed on 25 July 2018).
- Brambell, F.W.R. Report of the Technical Committee to Inquire into the Welfare of Animals kept under Intensive Livestock Husbandry Systems; Cmnd 2836; HMSO: Norwich, UK, 1965. [Google Scholar]
- Sandoe, P.; Corr, S.A.; Lund, T.B.; Forkman, B. Aggregating animal welfare indicators: Can it be done in a transparent and ethically robust way? Anim. Welf. 2019, 28, 67–76. [Google Scholar] [CrossRef]
- de Graaf, S.; Ampe, B.; Winckler, C.; Radeski, M.; Mounier, L.; Kirchner, M.K.; Haskell, M.J.; Van Eerdenburg, F.J.C.M.; Des Roches, A.B.; Andreasen, S.N.; et al. Trained-user opinion about Welfare Quality measures and integrated scoring of dairy cattle welfare. J. Dairy Sci. 2017, 100, 6376–6388. [Google Scholar] [CrossRef]
- Van Eerdenburg, F.J.C.M.; Hulsen, J.; Snel, B.; Stegeman, J.A. Monitoring welfare in practice on Dutch dairy farms. In Proceedings of the 19th ANEMBE, Oviedo, Spain, 22–24 July 2020; pp. 254–256. [Google Scholar]
- Heath, C.A.; Browne, W.J.; Mullan, S.; Main, D.C. Navigating the iceberg: Reducing the number of parameters within the Welfare Quality(®) assessment protocol for dairy cows. Animal 2014, 8, 1978–1986. [Google Scholar] [CrossRef] [PubMed]
- Van Eerdenburg, F.J.C.M.; Hulsen, J.; Snel, B.; Van den Broek, J.; Stegeman, J.A. A Proposal for three modifications for the Welfare Quality© protocol for dairy cattle. In Bienestar Animal en la Práctica, en Producciones Lecheras, Desde la Perspectiva Europea; van Eerdenburg, F.J.C.M., Ed.; Utrecht University: Utrecht, The Netherlands, 2018; pp. 46–54. [Google Scholar]
- Lekkerkerker, K.; Koekompas. Duurzame Weidezuivel. 2011. Available online: http://www.duurzameweidezuivel.nl/koekompas (accessed on 5 October 2018).
- Gezondheidsdienst-voor-Dieren. Welzijnswijzer melkvee. Beoordelen en Verbeteren in de Praktijk. 2015. Available online: http://edepot.wur.nl/1389 (accessed on 1 January 2015).
- den Uijl, I.; Dijkstra, T.; van Schaik, G.; Brouwer, H.; de Vries, M. Continue Welzijnsmonitoring Melkvee Fase 3: Relaties Tussen Monitoringskengetallen en Dierwelzijnskengetallen op Melkveebedrijven. Eindrapport. 2012. (In Dutch) [Google Scholar]
- Van Eerdenburg, F.J.C.M.; Vázquez-Flores, S.; Saltijeral-Oaxaca, J.; Sossidou, E.N. A cow comfort monitoring scheme to increase the milk yield of a dairy farm. In Livestock Housing; Aland, A., Banhazi, T., Eds.; Wageningen Academic Publishers: Wageningen, The Netherlands, 2013; pp. 55–74. [Google Scholar]
- Tuyttens, F.; De Graaf, S.; Ampe, B.; Andreassen, S.N.; De Boyer Des Roches, A.; Van Eerdenburg, F.J.C.M.; Haskell, M.J.; Kirchner, M.; Mounier, L.; Radeski, M.; et al. Aggregating dairy cattle welfare measures into a multidimensional welfare index based upon expert elicitation. 2016; Submitted. [Google Scholar]
- Van Eerdenburg, F.J.C.M.; Hulsen, J.; Snel, B.; Van den Broek, J.; Stegeman, J.A. A new, practical animal welfare assessment for Dutch dairy farmers. In Bienestar Animal en la Práctica, en Producciones Lecheras, Desde la Perspectiva Europea; van Eerdenburg, F.J.C.M., Ed.; Utrecht University: Utrecht, The Netherlands, 2018; pp. 55–62. [Google Scholar]
- Roche, J.R.; Friggens, N.C.; Kay, J.K.; Fisher, M.W.; Stafford, K.J.; Berry, D.P. Invited review: Body condition score and its association with dairy cow productivity, health, and welfare. J. Dairy Sci. 2009, 92, 5769–5801. [Google Scholar] [CrossRef]
- de Vries, M.; Bokkers, E.A.; Dijkstra, T.; van Schaik, G.; de Boer, I. Invited review: Associations between variables of routine herd data and dairy cattle welfare indicators. J. Dairy Sci. 2011, 94, 3213–3228. [Google Scholar] [CrossRef]
- Metcalf, J.A.; Roberts, S.J.; Sutton, J.D. Variations in blood flow to and from the bovine mammary gland measured using transit time ultrasound and dye dilution. Res. Vet. Sci. 1992, 53, 59–63. [Google Scholar] [CrossRef]
- Cook, N.B.; Bennett, T.B.; Nordlund, K.V. Monitoring indices of cow comfort in free-stall-housed dairy herds. J. Dairy Sci. 2005, 88, 3876–3885. [Google Scholar] [CrossRef]
- Cook, N.B.; Bennett, T.B.; Nordlund, K.V. Effect of free stall surface on daily activity patterns in dairy cows with relevance to lameness prevalence. J. Dairy Sci. 2004, 87, 2912–2922. [Google Scholar] [CrossRef]
- Di Giacinto, A.M.; van Eerdenburg, F.J.C.M.; Estrada-Köning, S.; Rojas-González, M.; Murillo-Herrera, J.; Romero-Zúñiga, J.J. Assesing animal welfare in Costa Rican dairy herds based on the Welfare Quality protocols. In Proceedings of the Benelux ISAE Conference, Berlicum, The Netherlands, 13 October 2016; p. 12. [Google Scholar]
- Moberg, G.P. Biological Response to Stress: Implications for Animal Welfare. In The Biology of Animal Stress: Basic Principles and Implications for Animal Welfare; Moberg, G.P., Mench, J.A., Eds.; CABI: Wallingford, UK, 2000; pp. 1–21. [Google Scholar] [CrossRef]
- Broom, D.M.; Johnson, K.G. Stress and Animal Welfare; Springer: Berlin/Heidelberg, Germany, 2019. [Google Scholar]
- Otovic, P. Limits to using HPA axis activity as an indication of animal welfare. ALTEX 2014, 32, 41–50. [Google Scholar] [CrossRef]
- Palme, R. Monitoring stress hormone metabolites as a useful, non-invasive tool for welfare assessment in farm animals. Anim. Welf. 2012, 21, 331–337. [Google Scholar] [CrossRef]
- Comin, A.; Peric, T.; Corazzin, M.; Veronesi, M.C.; Meloni, T.; Zufferli, V.; Cornacchia, G.; Prandi, A. Hair cortisol as a marker of hypothalamic-pituitary-adrenal axis activation in Friesian dairy cows clinically or physiologically compromised. Livest. Sci. 2013, 152, 36–41. [Google Scholar] [CrossRef]
- Mormède, P.; Andanson, S.; Aupérin, B.; Beerda, B.; Guémené, D.; Malmkvist, J. Exploration of the hypothalamic-pituitary-adrenal function as a tool to evaluate animal welfare. Physiol. Behav. 2007, 92, 317–339. [Google Scholar] [CrossRef] [PubMed]
- Cook, C.J.; Mellor, D.J.; Harris, P.J.; Ingram, J.R.; Matthews, L.R. Hands-on and hands-off measurement of stress. In The Biology of Animal Stress; Moberg, G.P., Mench, J.A., Eds.; CABI Publishing: Wallingford, UK, 2000; pp. 123–146. [Google Scholar]
- Hopster, H.; Van der Werf, J.T.; Erkens, J.H.; Blokhuis, H.J. Effects of repeated jugular puncture on plasma cortisol concentrations in loose-housed diary cows. J. Anim. Sci. 1999, 77, 708–714. [Google Scholar] [CrossRef] [PubMed]
- Dzviti, M.; Mapfumo, L.; Muchenje, V. Relationship between saliva and blood cortisol in handled cows. Asian-Australas J. Anim. Sci. 2019, 32, 734–741. [Google Scholar] [CrossRef]
- Burnett, T.A.; Madureira, A.M.L.; Silper, B.F.; Tahmasbi, A.; Nadalin, A.; Veira, D.M.; Cerri, R.L.A. Relationship of concentrations of cortisol in hair with health, biomarkers in blood, and reproductive status in dairy cows. J. Dairy Sci. 2015, 98, 4414–4426. [Google Scholar] [CrossRef] [PubMed]
- Heimbürge, S.; Kanitz, E.; Otten, W. The use of hair cortisol for the assessment of stress in animals. Gen. Comp. Endocrinol. 2018, 270, 10–17. [Google Scholar] [CrossRef] [PubMed]
- Schwertl, M.; Auerswald, K.; Schnyder, H. Reconstruction of the isotopic history of animal diets by hair segmental analysis. Rapid Commun. Mass Spectrom. 2003, 17, 1312–1318. [Google Scholar] [CrossRef]
- Moya, D.; Schwartzkopf-Genswein, K.S.; Veira, D.M. Standardization of a non-invasive methodology to measure cortisol in hair of beef cattle. Livest. Sci. 2013, 158, 138–144. [Google Scholar] [CrossRef]
- Comin, A.; Peric, T.; Montillo, M.; Faustini, M.; Zufferli, V.; Cappa, A. Hair cortisol levels to monitor hypothalamic-pituitary-adrenal axis activity in healthy dairy cows. J. Anim. Vet. Adv. 2012, 11, 3623–3626. [Google Scholar]
- Raul, J.-S.; Cirimele, V.; Ludes, B.; Kintz, P. Detection of physiological concentrations of cortisol and cortisone in human hair. Clin. Biochem. 2004, 37, 1105–1111. [Google Scholar] [CrossRef] [PubMed]
- Koren, L.; Mokady, O.; Karaskov, T.; Klein, J.; Koren, G.; Geffen, E. A novel method using hair for determining hormonal levels in wildlife. Anim. Behav. 2002, 63, 403–406. [Google Scholar] [CrossRef]
- Comin, A.; Prandi, A.; Peric, T.; Corazzin, M.; Dovier, S.; Bovolenta, S. Hair cortisol levels in dairy cows from winter housing to summer highland grazing. Livest. Sci. 2011, 138, 69–74. [Google Scholar] [CrossRef]
- Sharma, A.; Umapathy, G.; Kumar, V.; Phillips, C.J.C. Hair cortisol in sheltered cows and its association with other welfare indicators. Animals 2019, 9, 248. [Google Scholar] [CrossRef]
- Stalder, T.; Tietze, A.; Steudte, S.; Alexander, N.; Dettenborn, L.; Kirschbaum, C. Elevated hair cortisol levels in chronically stressed dementia caregivers. Psychoneuroendocrinology 2014, 47, 26–30. [Google Scholar] [CrossRef] [PubMed]
- Bennett, A.; Hayssen, V. Measuring cortisol in hair and saliva from dogs: Coat color and pigment differences. Domest. Anim. Endocrinol. 2010, 39, 171–180. [Google Scholar] [CrossRef]
- Davenport, M.D.; Tiefenbacher, S.; Lutz, C.K.; Novak, M.A.; Meyer, J.S. Analysis of endogenous cortisol concentrations in the hair of rhesus macaques. Gen. Comp. Endocrinol. 2006, 147, 255–261. [Google Scholar] [CrossRef]
- Wild, D. The Immunoassay Handbook, 4th ed.; Elsevier: Amsterdam, The Netherlands, 2013. [Google Scholar]
- Koo, T.K.; Li, M.Y. A guideline of selecting and reporting intraclass correlation coefficients for reliability research. J. Chiropr. Med. 2016, 15, 155–163. [Google Scholar] [CrossRef]
- Akoglu, H. User’s guide to correlation coefficients. Turk. J. Emerg. Med. 2018, 18, 91–93. [Google Scholar] [CrossRef] [PubMed]
- Tallo-Parra, O.; Manteca, X.; Sabes-Alsina, M.; Carbajal, A.; Lopez-Bejar, M. Hair cortisol detection in dairy cattle by using EIA: Protocol validation and correlation with faecal cortisol metabolites. Animal 2015, 9, 1059–1064. [Google Scholar] [CrossRef]
- del Rosario, G.D.L.V.; Valdez, R.A.; Lemus-Ramirez, V.; Vázquez-Chagoyán, J.C.; Villa-Godoy, A.; Romano, M.C. Effects of adrenocorticotropic hormone challenge and age on hair cortisol concentrations in dairy cattle. Can. J. Vet. Res. 2011, 75, 216–221. [Google Scholar]
- Abell, J.G.; Stalder, T.; Ferrie, J.E.; Shipley, M.J.; Kirschbaum, C.; Kivimäki, M.; Kumari, M. Assessing cortisol from hair samples in a large observational cohort: The Whitehall II study. Psychoneuroendocrinology 2016, 73, 148–156. [Google Scholar] [CrossRef]
- Azevedo, A.; Bailey, L.; Bandeira, B.; Dehnhard, M.; Fonseca, C.; de Sousa, L.; Jewgenow, K. Age, sex and storage time influence hair cortisol levels in a wild mammal population. PLoS ONE 2019, 14, e0221124. [Google Scholar] [CrossRef]
- de Vries, M.; Bokkers, E.A.; van Schaik, G.; Botreau, R.; Engel, B.; Dijkstra, T.; de Boer, I. Evaluating results of the Welfare Quality multi-criteria evaluation model for classification of dairy cattle welfare at the herd level. J. Dairy Sci. 2013, 96, 6264–6273. [Google Scholar] [CrossRef] [PubMed]
- Knierim, U.; Winckler, C. On-farm welfare assessment in cattle: Validity, reliability and feasibility issues and future perspectives with special regard to the Welfare Quality approach. Anim. Welf. 2009, 18, 451–458. [Google Scholar]
- Fukasawa, M.; Tsukada, H.; Kosako, T.; Yamada, A. Effect of lactation stage, season and parity on milk cortisol concentration in Holstein cows. Livest. Sci. 2008, 113, 280–284. [Google Scholar] [CrossRef]
- Caroprese, M.; Albenzio, M.; Marzano, A.; Schena, L.; Annicchiarico, G.; Sevi, A. Relationship between cortisol response to stress and behavior, immune profile, and production performance of dairy ewes. J. Dairy Sci. 2010, 93, 2395–2403. [Google Scholar] [CrossRef]
- Christensen, T.; Denver, S.; Sandoe, P. How best to improve farm animal welfare? Four main approaches viewed from an economic perspective. Anim. Welf. 2019, 28, 95–106. [Google Scholar] [CrossRef]
- Wu, X.; Sun, H.; Xue, M.; Wang, D.; Guan, L.; Liu, J. Days-in-Milk and Parity Affected Serum Biochemical Parameters and Hormone Profiles in Mid-Lactation Holstein Cows. Animals 2019, 9, 230. [Google Scholar] [CrossRef] [PubMed]
- Bauer, M.E. Stress, glucocorticoids and ageing of the immune system. Stress 2005, 8, 69–83. [Google Scholar] [CrossRef]
- Buckingham, J.C. Stress and the neuroendocrine-immune axis: The pivotal role of glucocorticoids and lipocortin 1. Br. J. Pharmacol. 1996, 118, 1–19. [Google Scholar] [CrossRef]
- Huszenicza, G.; Jánosi, S.; Gáspárdy, A.; Kulcsár, M. Endocrine aspects in pathogenesis of mastitis in postpartum dairy cows. Anim. Reprod. Sci. 2004, 82–83, 389–400. [Google Scholar] [CrossRef]
- Lavon, Y.; Leitner, G.; Voet, H.; Wolfenson, D. Naturally occurring mastitis effects on timing of ovulation, steroid and gonadotrophic hormone concentrations, and follicular and luteal growth in cows. J. Dairy Sci. 2010, 93, 911–921. [Google Scholar] [CrossRef] [PubMed]
- Van Gastelen, S.; Westerlaan, B.; Houwers, D.J.; van Eerdenburg, F.J.C.M. A study on cow comfort and risk for lameness and mastitis in relation to different types of bedding materials. J. Dairy Sci. 2011, 94, 4878–4888. [Google Scholar] [CrossRef] [PubMed]
- Tucker, C.B.; Weary, D.M.; Von Keyserlingk, M.A.G.; Beauchemin, K.A. Cow comfort in tie-stalls: Increased depth of shavings or straw bedding increases lying time. J. Dairy Sci. 2009, 92, 2684–2690. [Google Scholar] [CrossRef] [PubMed]
- Cook, N.B.; Marin, M.J.; Mentink, R.L.; Bennett, T.B.; Schaefer, M.J. Comfort zone-design free stalls: Do they influence the stall use behavior of lame cows? J. Dairy Sci. 2008, 91, 4673–4679. [Google Scholar] [CrossRef] [PubMed]
- Fregonesi, J.A.; Veira, D.M.; von Keyserlingk, M.A.G.; Weary, D.M. Effects of bedding quality on lying behavior of dairy cows. J. Dairy Sci. 2007, 91, 5468–5472. [Google Scholar] [CrossRef]
- Von Keyserlingk, M.A.G.; Cestari, A.A.; Franks, B.; Fregonesi, J.A.; Weary, D. Dairy cows value access to pasture as highly as fresh feed. Sci. Rep. 2017, 7, 44953. [Google Scholar] [CrossRef] [PubMed]
- Solano, J.; Galindo, F.; Orihuela, A.; Galina, C.S. The effect of social rank on the physiological response during repeated stressful handling in Zebu cattle (Bos indicus). Physiol. Behav. 2004, 82, 679–683. [Google Scholar] [CrossRef] [PubMed]
- Van Reenen, C.G.; Connell, N.E.; Van Der Werf, J.T.N.; Korte, S.M.; Hopster, H.; Jones, R.B. Responses of calves to acute stress: Individual consistency and relations between behavioral and physiological measures. Physiol. Behav. 2005, 85, 557–570. [Google Scholar] [CrossRef] [PubMed]
- Ralph, C.R.; Tilbrook, A.J. Invited review: The usefulness of measuring glucocorticoids for assessing animal welfare. J. Anim. Sci. 2016, 94, 457–470. [Google Scholar] [CrossRef] [PubMed]


| Abbreviation | Name of Protocol | Data Used | Refs. |
|---|---|---|---|
| WQ | Welfare Quality | Obtained on farm | |
| WQ Mod | Modified version of WQ | Similar to WQ | [11] |
| WI Tuyttens | Welfare Index | Based on WQ | [16] |
| WM | Welfare Monitor | Obtained on farm | [17] |
| WW | Welfare Indicator | Obtained on farm | * |
| CWM | Continuous Welfare Monitor | Various data bases | [7] |
| KK | Cow Compass | Obtained on farm | [8,12] |
| CCSS | Cow Comfort Scoring System | Obtained on farm | [15] |
| SSI | Stall Standing Index | Obtained on farm | ** |
| EV | Estimate Vets | Based on previous experience |
| Average Cortisol | WQ: End Result | WQ Mod: End Result | WI Tuyt-tens | WM: End Score | WW: End Score | CWM: End Result | KK: Sub-Score Welfare | CCSS: Total | SSI: Stand-ing idle | EV: Estimate Vets | ||
|---|---|---|---|---|---|---|---|---|---|---|---|---|
| Average cortisol | ρ | 1.000 | 0.094 | 0.434 | −0.167 | 0.455 | −0.175 | −0.132 | −0.229 | −0.016 | −0.150 | −0.284 |
| p≤ | 0.482 | 0.001 | 0.209 | 0.001 | 0.190 | 0.325 | 0.084 | 0.906 | 0.260 | 0.031 | ||
| WQ: End result | ρ | 0.094 | 1.000 | 0.413 | 0.209 | 0.484 | 0.190 | 0.098 | −0.010 | 0.067 | −0.051 | 0.139 |
| p≤ | 0.482 | 0.001 | 0.115 | 0.001 | 0.153 | 0.463 | 0.941 | 0.616 | 0.702 | 0.298 | ||
| WQ: Mod: End result | ρ | 0.434 | 0.413 | 1.000 | −0.154 | 0.976 | −0.019 | −0.192 | −0.303 | −0.083 | −0.096 | −0.027 |
| p≤ | 0.001 | 0.001 | 0.250 | 0.001 | 0.887 | 0.149 | 0.021 | 0.536 | 0.472 | 0.842 | ||
| WI Tuyttens | ρ | −0.167 | 0.209 | −0.154 | 1.000 | −0.122 | 0.569 | 0.481 | 0.638 | 0.562 | 0.209 | 0.587 |
| p≤ | 0.210 | 0.115 | 0.250 | 0.360 | 0.001 | 0.001 | 0.001 | 0.001 | 0.115 | 0.001 | ||
| WM: End score | ρ | 0.455 | 0.484 | 0.976 | −0.122 | 1.000 | −0.037 | −0.214 | −0.266 | −0.050 | −0.078 | −0.070 |
| p≤ | 0.001 | 0.001 | 0.001 | 0.360 | 0.781 | 0.107 | 0.043 | 0.709 | 0.560 | 0.599 | ||
| WW: End score | ρ | −0.175 | 0.190 | −0.019 | 0.569 | −0.037 | 1.000 | 0.337 | 0.497 | 0.399 | 0.085 | 0.692 |
| p≤ | 0.190 | 0.153 | 0.887 | 0.001 | 0.781 | 0.010 | 0.001 | 0.002 | 0.524 | 0.001 | ||
| CWM: End result | ρ | −0.132 | 0.098 | −0.192 | 0.481 | −0.214 | 0.337 | 1.000 | 0.327 | 0.294 | 0.144 | 0.449 |
| p≤ | 0.325 | 0.463 | 0.149 | 0.001 | 0.107 | 0.010 | 0.012 | 0.025 | 0.282 | 0.001 | ||
| KK: Sub-score welfare | ρ | −0.229 | −0.010 | −0.303 | 0.638 | −0.266 | 0.497 | 0.327 | 1.000 | 0.662 | 0.433 | 0.441 |
| p≤ | 0.084 | 0.941 | 0.021 | 0.001 | 0.043 | 0.001 | 0.012 | 0.001 | 0.001 | 0.001 | ||
| CCSS: Total | ρ | −0.016 | 0.067 | −0.083 | 0.562 | −0.050 | 0.399 | 0.294 | 0.662 | 1.000 | 0.576 | 0.448 |
| p≤ | 0.906 | 0.616 | 0.536 | 0.001 | 0.709 | 0.002 | 0.025 | 0.001 | 0.001 | 0.001 | ||
| SSI: Standing idle | ρ | −0.150 | −0.051 | −0.096 | 0.209 | −0.078 | 0.085 | 0.144 | 0.433 | 0.576 | 1.000 | 0.127 |
| p≤ | 0.260 | 0.702 | 0.472 | 0.115 | 0.560 | 0.524 | 0.282 | 0.001 | 0.001 | 0.344 | ||
| EV: Estimate vets | ρ | −0.284 | 0.139 | −0.027 | 0.587 | −0.070 | 0.692 | 0.449 | 0.441 | 0.448 | 0.127 | 1.000 |
| p≤ | 0.031 | 0.298 | 0.842 | 0.001 | 0.599 | 0.001 | 0.001 | 0.001 | 0.001 | 0.344 | ||
| Correlations between hair cortisol and end results and selected sub-scores of different welfare assessments | ||||||||||||
| Correlations between the welfare assessment system WQ and its derivatives WQ Mod, WI Tuyttens, WM | ||||||||||||
| Correlations of WQ (derived) assessment systems with other welfare assessment scores | ||||||||||||
| Correlations between the all welfare assessments except the WQ and WQ derived systems | ||||||||||||
| (A) WQ Principles | ρ | p≤ |
| Feeding | 0.103 | 0.443 |
| Housing | −0.155 | 0.247 |
| Health | −0.231 | 0.081 |
| Behaviour | 0.474 | 0.001 |
| (B) WQ-Mod principles | ρ | p≤ |
| Feeding | 0.152 | 0.256 |
| Housing | −0.155 | 0.247 |
| Health | −0.264 | 0.045 |
| Behaviour | 0.442 | 0.001 |
| (C) WW subscores | ρ | p≤ |
| Production | −0.357 | 0.006 |
| Body Condition Score | −0.057 | 0.672 |
| Mastitis | −0.284 | 0.031 |
| Lameness | −0.137 | 0.304 |
| (D) KK subscores | ρ | p≤ |
| Mastitis | −0.093 | 0.489 |
| Cell count | 0.000 | 0.999 |
| Housing youngstock | −0.240 | 0.075 |
| Locomotion score | −0.129 | 0.333 |
| Welfare | −0.229 | 0.084 |
| Housing | 0.083 | 0.535 |
| (E) CWM scores | ρ | p≤ |
| Tank Milk Cellcount | 0.129 | 0.336 |
| Econ result | −0.431 | 0.001 |
| Deaths | −0.035 | 0.792 |
| Non return | 0.168 | 0.217 |
| Calving Interval | −0.063 | 0.648 |
| (F) CCSS chapters | ρ | p≤ |
| General | −0.145 | 0.276 |
| Lameness | −0.086 | 0.522 |
| Health & feeding | 0.063 | 0.638 |
| (A) Freestall-Related Measures | ρ | p≤ |
| Number freestalls (WW) | −0.023 | 0.849 |
| Freestall length (WW) | −0.042 | 0.754 |
| Freestall width (WW) | 0.077 | 0.563 |
| Freestall diagonal (WW) | −0.063 | 0.640 |
| Bedding softness (WW) | −0.254 | 0.054 |
| Deep litter (WW) | 0.129 | 0.335 |
| Freestalls (CCSS) | −0.041 | 0.759 |
| (B) Health-related measures | ρ | p≤ |
| Health (WQ Mod) | −0.264 | 0.045 |
| End score health (KK) | −0.060 | 0.660 |
| Disease incidence (KK) | −0.113 | 0.406 |
| Mortality (WQ) | −0.168 | 0.209 |
| Deaths (CWM) | −0.036 | 0.792 |
| Disease death (WW) | −0.166 | 0.214 |
| Culling (KK) | 0.191 | 0.150 |
| Severely lame (WQ) | 0.210 | 0.114 |
| Not lame (WQ) | −0.073 | 0.585 |
| Lameness (CCSS) | −0.086 | 0.522 |
| Locomotion score (KK) | −0.151 | 0.259 |
| Lameness (WW) | −0.137 | 0.304 |
| Tank Milk Cell count (CWM) | 0.129 | 0.336 |
| (C) Pasture-related measures | ρ | p≤ |
| Pasture (KK) | 0.348 | 0.007 |
| Access to pasture (WQ) | 0.646 | 0.001 |
Publisher’s Note: MDPI stays neutral with regard to jurisdictional claims in published maps and institutional affiliations. |
© 2021 by the authors. Licensee MDPI, Basel, Switzerland. This article is an open access article distributed under the terms and conditions of the Creative Commons Attribution (CC BY) license (http://creativecommons.org/licenses/by/4.0/).
Share and Cite
van Eerdenburg, F.J.C.M.; Hof, T.; Doeve, B.; Ravesloot, L.; Zeinstra, E.C.; Nordquist, R.E.; van der Staay, F.J. The Relation between Hair-Cortisol Concentration and Various Welfare Assessments of Dutch Dairy Farms. Animals 2021, 11, 821. https://doi.org/10.3390/ani11030821
van Eerdenburg FJCM, Hof T, Doeve B, Ravesloot L, Zeinstra EC, Nordquist RE, van der Staay FJ. The Relation between Hair-Cortisol Concentration and Various Welfare Assessments of Dutch Dairy Farms. Animals. 2021; 11(3):821. https://doi.org/10.3390/ani11030821
Chicago/Turabian Stylevan Eerdenburg, Frank J. C. M., Tessa Hof, Benthe Doeve, Lars Ravesloot, Elly C. Zeinstra, Rebecca E. Nordquist, and Franz Josef van der Staay. 2021. "The Relation between Hair-Cortisol Concentration and Various Welfare Assessments of Dutch Dairy Farms" Animals 11, no. 3: 821. https://doi.org/10.3390/ani11030821
APA Stylevan Eerdenburg, F. J. C. M., Hof, T., Doeve, B., Ravesloot, L., Zeinstra, E. C., Nordquist, R. E., & van der Staay, F. J. (2021). The Relation between Hair-Cortisol Concentration and Various Welfare Assessments of Dutch Dairy Farms. Animals, 11(3), 821. https://doi.org/10.3390/ani11030821

