Multiple-Phase Biometric Relationships and Sexual Maturity in the Atlantic Bluefin Tuna, Thunnus thynnus (Osteichthyes: Scombridae)
Abstract
Simple Summary
Abstract
1. Introduction
2. Materials and Methods
2.1. Data Sources
2.2. Measurement Abbreviations and Symbols
2.3. Data Analyses
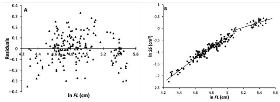
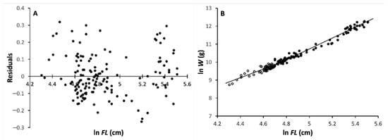
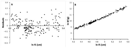
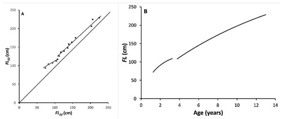
3. Results
3.1. Fork Length–Body Mass Relationship (FLWR)
3.2. Growth in Length (VB)
3.3. First Dorsal Spine Cross Section Surface—Fork Length Relationship (SSFLR)
4. Discussion
5. Conclusions
Author Contributions
Funding
Institutional Review Board Statement
Data Availability Statement
Conflicts of Interest
References
- Vasnetsov, V.V. Developmental stages of bony fishes. In Ocherki po Obshchim Voprosam Ikhtiologii; Akademiya Nauk Press: Moscow, Russia, 1953; pp. 207–217. (In Russian) [Google Scholar]
- Ricker, W.E. Computation and interpretation of biological statistics of fish populations. Bull. Fish. Res. Board Can. 1975, 191, 1–382. [Google Scholar]
- Shea, E.K.; Vecchione, M. Quantification of ontogenetic discontinuities in three species of oegopsid squids using model II piecewise linear regression. Mar. Biol. 2002, 140, 971–979. [Google Scholar] [CrossRef]
- Katsanevakis, S.; Thessalou-Legaki, M.; Karlou-Riga, C.; Lefkaditou, E.; Dimitriou, E.; Verriopoulos, G. Information-theory approach to allometric growth of marine organisms. Mar. Biol. 2007, 151, 949–959. [Google Scholar] [CrossRef]
- Peck, M.A.; Clemmesen, C.; Herrmann, J.-P. Ontogenic changes in the allometric scaling of the mass and length relationship in Sprattus sprattus. J. Fish Biol. 2005, 66, 882–887. [Google Scholar] [CrossRef]
- Froese, R. Cube law, condition factor and weight-length relationships: History, meta-analysis and recommendations. J. Appl. Ichthyol. 2006, 22, 241–253. [Google Scholar] [CrossRef]
- Bello, G.; Zupa, R.; Corriero, A. Ontogenetic change in the body length-mass relationship concomitant to the onset of vitellogenesis in female blackmouth catshark Galeus melastomus (Chondrichthyes: Scyliorhinidae). Ital. J. Zool. 2015, 82, 358–365. [Google Scholar] [CrossRef][Green Version]
- Spencer, P.D.; Dorn, M.W. Incorporation of weight-specific relative fecundity and maternal effects in larval survival into stock assessments. Fish. Res. 2013, 138, 159–167. [Google Scholar] [CrossRef]
- Kolody, D.S.; Eveson, J.P.; Hillary, R.M. Modelling growth in tuna RFMO stock assessments: Current approaches and challenges. Fish. Res. 2016, 180, 177–193. [Google Scholar] [CrossRef]
- Murua, H.; Rodriguez-Marin, E.; Neilson, J.D.; Farley, J.H.; Juan-Jordá, M.J. Fast versus slow growing tuna species: Age, growth, and implications for population dynamics and fisheries management. Rev. Fish. Biol. Fisher. 2017, 27, 733–773. [Google Scholar] [CrossRef]
- Scott, R.D.; Heikkonen, J. Estimating age at first maturity in fish from change-points in growth rate. Mar. Ecol. Prog. Ser. 2012, 450, 147–157. [Google Scholar] [CrossRef]
- Sungur Birecikligil, S.; Çiçek, E.; Öztürk, S.; Seçer, B.; Celepoğlu, Y. Length-length, length-weight relationships and condition factor of fishes in Nevşehir Province, Kızılırmak River Basin (Turkey). Acta Biol. Turc. 2016, 29, 72–77. [Google Scholar]
- Sileesh, M.; Kurup, B.M.; Korath, A. Length at maturity and relationship between weight and total length of five deep-sea fishes from the, Andaman and Nicobar Islands of India, North-eastern Indian Ocean. J. Mar. Biol. Assoc. U. K. 2020, 100, 639–644. [Google Scholar] [CrossRef]
- Santamaria, N.; Bello, G.; Corriero, A.; Deflorio, M.; Vassallo-Agius, R.; Bök, T.; De Metrio, G. Age and growth of Atlantic bluefin tuna, Thunnus thynnus (Osteichthyes: Thunnidae), in the Mediterranean Sea. J. Appl. Ichthyol. 2009, 25, 38–45. [Google Scholar] [CrossRef]
- Cort, J.L.; Deguara, S.; Galaz, T.; Mèlich, B.; Artetxe, I.; Arregi, I.; Neilson, J.; Andrushchenko, I.; Hanke, A.; Dos Santos, M.N.; et al. Determination of Lmax for Atlantic Bluefin Tuna, Thunnus thynnus (L.), from Meta-Analysis of Published and Available Biometric Data. Rev. Fish. Sci. 2013, 21, 181–212. [Google Scholar] [CrossRef]
- Rodriguez-Marin, E.; Ortiz, M.; Ortiz de Urbina, J.M.; Quelle, P.; Walter, J.; Abid, N.; Addis, P.; Alot, E.; Andrushchenko, E.; Deguara, S.; et al. Atlantic Bluefin Tuna (Thunnus thynnus) Biometrics and Condition. PLoS ONE 2015, 10, e0141478. [Google Scholar] [CrossRef]
- Cort, J.L.; Arregui, I.; Estruch, V.; Deguara, S. Validation of the growth equation applicable to the eastern Atlantic bluefin tuna, Thunnus thynnus (L.), using Lmax, tag-recapture and first dorsal spine analysis. Rev. Fish. Sci. Aquac. 2014, 22, 239–255. [Google Scholar] [CrossRef]
- Ailloud, L.E.; Lauretta, M.V.; Hanke, A.; Golet, W.; Allman, R.; Siskey, M.R.; Secor, D.H.; Hoening, J.M. Improving growth estimates for Western Atlantic bluefin tuna using an integrated modeling approach. Fish. Res. 2017, 191, 17–24. [Google Scholar] [CrossRef]
- Corriero, A.; Heinisch, G.; Rosenfeld, H.; Katavić, I.; Passantino, L.; Zupa, R.; Grubišić, L.; Lutcavage, M.E. Review of sexual maturity in Atlantic bluefin tuna, Thunnus thynnus (Linnaeus, 1758). Rev. Fish. Sci. Aquac. 2020, 28, 182–192. [Google Scholar] [CrossRef]
- Medina, A. Reproduction of Atlantic bluefin tuna. Fish Fish. 2020, 21, 1109–1119. [Google Scholar] [CrossRef]
- Rooker, J.R.; Secor, D.H.; De Metrio, G.; Schloesser, R.; Block, B.A.; Neilson, J.D. Natal homing and connectivity in Atlantic bluefin tuna populations. Science 2008, 322, 742–744. [Google Scholar] [CrossRef]
- Santamaria, N.; Bello, G.; Pousis, C.; Vassallo-Agius, R.; de la Gándara, F.; Corriero, A. Fin spine bone reabsorption in Atlantic bluefin tuna, Thunnus thynnus, and comparison between wild and captive-reared specimens. PLoS ONE 2015, 10, e0121924. [Google Scholar] [CrossRef] [PubMed]
- Sokal, R.R.; Rohlf, F.J. Biometry. In The Principles and Practices of Statistics in Biological Research, 4th ed.; Freeman, W.H., Ed.; W.H. Freeman and Company: New York, NY, USA, 2012; p. 937. [Google Scholar]
- Diniz, C.; Brochi, L. Robustness of two-phase regression test. REVSTAT-Stat. J. 2005, 3, 1–18. [Google Scholar]
- ICCAT. Recommendation by ICCAT Establishing a Multi-Annual Management Plan for Bluefin Tuna in the Eastern Atlantic and the Mediterranean Sea; ICCAT Recommendation [18-02]; ICCAT: Madrid, Spain, 2018; p. 46. [Google Scholar]
- ICCAT. Compendium Management Recommendations and Resolutions Adopted by ICCAT for the Conservation of Atlantic Tunas and Tuna-Like Species; ICCAT: Madrid, Spain, 2018; p. 388. [Google Scholar]
- Arena, P. Rilevazioni e Studi Sulle Affluenze del Tonno nel Tirreno e Sull’andamento Della Pesca da Parte Delle “Tonnare Volanti” nel Quadriennio 1984–1988; ESPI, Ente Siciliano per la Promozione Industriale: Palermo, Italy, 1988; pp. 1–55. [Google Scholar]
- Sarà, R. Observations systématiques sur la presence du thon dans les madragues siciliennes. Proc. Gen. Fish. Coun. Médit. 1961, 6, 41–61. [Google Scholar]
- Rodríguez-Roda, J. Fecundidad de atún, Thunnus thynnus (L.), de la costa sudatlántica española. Inv. Pesq. 1967, 31, 33–52. [Google Scholar]
- Corriero, A.; Karakulak, S.; Santamaria, N.; Deflorio, M.; Addis, P.; Desantis, S.; Cirillo, F.; Fenech-Farrugia, A.; Vassallo-Agius, R.; de la Serna, J.M.; et al. Size and age at sexual maturity of female bluefin tuna (Thunnus thynnus L. 1758) from the Mediterranean Sea. J. Appl. Ichthyol. 2005, 21, 483–486. [Google Scholar] [CrossRef]
- Honsoy, A.E.; Staples, D.F.; Venturelli, P.A. Accurate estimates of age at maturity from the growth trajectories of fishes and other ectotherms. Ecol. Appl. 2017, 27, 182–192. [Google Scholar] [CrossRef]
- Ware, D.M. Bioenergetics of pelagic fish: Theoretical change in swimming speed and ration with body size. J. Fish. Res. Board Can. 1978, 35, 220–228. [Google Scholar] [CrossRef]
- Chapman, E.W.; Jorgensen, C.; Lutcavage, M.E.; Hilborn, R. Atlantic bluefin tuna (Thunnus thynnus): A state-dependent energy allocation model for growth, maturation, and reproductive investment. Can. J. Fish. Aquat. Sci. 2011, 68, 1934–1951. [Google Scholar] [CrossRef]
- Lutcavage, M.; Brill, R.W.; Skomal, G.B.; Chase, B.C.; Howey, P.W. Results of pop-up satellite tagging of spawning size class fish in the Gulf of Maine: Do North Atlantic bluefin tuna spawn in the mid-Atlantic? Can. J. Fish. Aquat. Sci. 1999, 56, 173–177. [Google Scholar] [CrossRef]
- Block, B.A.; Dewar, H.; Blackwell, S.B.; Williams, T.D.; Prince, E.D.; Farwell, C.; Boustany, A.; Teo, S.L.H.; Seitz, A.; Walli, A.; et al. Migratory movements, depth preferences, and thermal biology of Atlantic bluefin tuna. Science 2001, 293, 1310–1314. [Google Scholar] [CrossRef]
- Block, B.A.; Teo, S.L.H.; Walli, A.; Boustany, A.; Stokesbury, M.J.W.; Farwell, C.J.; Weng, K.C.; Dewar, H.; Williams, T.D. Electronic tagging and population structure of Atlantic bluefin tuna. Nature 2005, 434, 1121–1127. [Google Scholar] [CrossRef] [PubMed]
- Corriero, A.; Desantis, S.; Deflorio, M.; Acone, F.; Bridges, C.R.; de la Serna, J.M.; Megalofonou, P.; De Metrio, G. Histological investigation on the ovarian cycle of the bluefin tuna in the western and central Mediterranean. J. Fish Biol. 2003, 63, 108–119. [Google Scholar] [CrossRef]
- Heinisch, G.; Corriero, A.; Medina, A.; Abascal, F.J.; de la Serna, J.M.; Vassallo-Agius, R.; Belmonte Ríos, A.; García, A.; de la Gándara, F.; Fauvel, C.; et al. Spatial-temporal pattern of bluefin tuna (Thunnus thynnus L. 1758) gonad maturation across the Mediterranean Sea. Mar. Biol. 2008, 154, 623–630. [Google Scholar] [CrossRef]
- Susca, V.; Corriero, A.; Bridges, C.R.; De Metrio, G. Study of the sexual maturity of female bluefin tuna: Purification and partial characterization of vitellogenin and its use an enzyme-linked immunosorbent assay. J. Fish Biol. 2001, 58, 815–831. [Google Scholar] [CrossRef]
- Heppell, S.A.; Sullivan, C.V. Reproduction of bluefin tuna: Assessing maturity using sex specific compounds present in muscle. ICCAT Coll. Vol. Sci. Pap. 2000, 51, 860–865. [Google Scholar]
- Berkovich, N.; Corriero, A.; Santamaria, N.; Mylonas, C.C.; Vassallo-Agius, R.; de la Gándara, F.; Belmonte, A.; Meiri-Ashkenazi, I.; Gordin, H.; Bridges, C.R.; et al. Intra-pituitary relationship of follicle stimulating hormone and luteinizing hormone during pubertal development in Atlantic bluefin tuna (Thunnus Thynnus Linnaeus, 1758). Gen. Comp. Endocrinol. 2013, 194, 10–23. [Google Scholar] [CrossRef]
- Galilei, G. Discorsi e Dimostrazioni Matematiche Intorno à due Nuove Scienze Attenenti alla Mecanica & i Movimenti Locali; Elseviro: Leiden, The Netherland, 1638; p. 312. [Google Scholar]
- Lauder, G.V. Locomotion. In The Physiology of Fishes, 3rd ed.; Evans, D.H., Claiborne, J.B., Eds.; CRC Press: Boca Raton, FL, USA, 2006; pp. 3–46. [Google Scholar]
- Drucker, E.G.; Lauder, G.V. Locomotor function of the dorsal fin in teleost fishes: Experimental analysis of wake forces in sunfish. J. Exp. Biol. 2001, 204, 2943–2958. [Google Scholar]




| Correlation | Sex | Size of ki Specimen [FL, cm] | Estimated Age of ki Specimen [Years] |
|---|---|---|---|
| FLWR | males | 101 | 3 * |
| FLWR | females | 110 | between 3 and 4 * |
| VB | pooled | 108 ** | 3.25 |
| SSFLR | pooled | 101 and 161 | 3 * and 7 * |
Publisher’s Note: MDPI stays neutral with regard to jurisdictional claims in published maps and institutional affiliations. |
© 2021 by the authors. Licensee MDPI, Basel, Switzerland. This article is an open access article distributed under the terms and conditions of the Creative Commons Attribution (CC BY) license (http://creativecommons.org/licenses/by/4.0/).
Share and Cite
Bello, G.; Santamaria, N.; Corriero, A. Multiple-Phase Biometric Relationships and Sexual Maturity in the Atlantic Bluefin Tuna, Thunnus thynnus (Osteichthyes: Scombridae). Animals 2021, 11, 390. https://doi.org/10.3390/ani11020390
Bello G, Santamaria N, Corriero A. Multiple-Phase Biometric Relationships and Sexual Maturity in the Atlantic Bluefin Tuna, Thunnus thynnus (Osteichthyes: Scombridae). Animals. 2021; 11(2):390. https://doi.org/10.3390/ani11020390
Chicago/Turabian StyleBello, Giambattista, Nicoletta Santamaria, and Aldo Corriero. 2021. "Multiple-Phase Biometric Relationships and Sexual Maturity in the Atlantic Bluefin Tuna, Thunnus thynnus (Osteichthyes: Scombridae)" Animals 11, no. 2: 390. https://doi.org/10.3390/ani11020390
APA StyleBello, G., Santamaria, N., & Corriero, A. (2021). Multiple-Phase Biometric Relationships and Sexual Maturity in the Atlantic Bluefin Tuna, Thunnus thynnus (Osteichthyes: Scombridae). Animals, 11(2), 390. https://doi.org/10.3390/ani11020390

