Population Structure Assessed Using Microsatellite and SNP Data: An Empirical Comparison in West African Cattle
Abstract
Simple Summary
Abstract
1. Introduction
2. Materials and Methods
2.1. Samples and Genotyping
2.2. Population Structure Analyses
2.3. Information Summary and Projection on Synthetic Maps
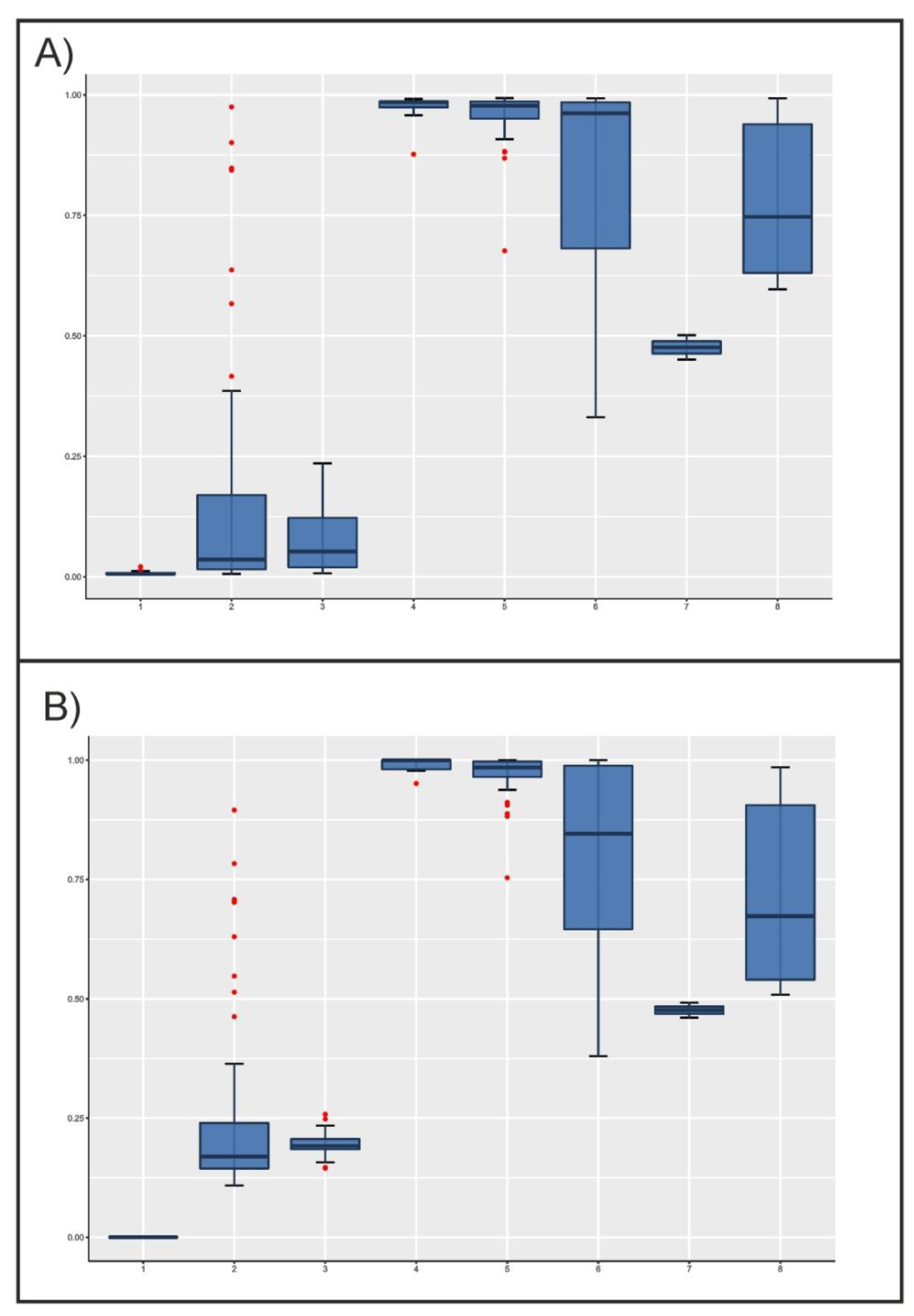
3. Results
4. Discussion
4.1. Structure of the Analyzed Population
4.2. Projection on Synthetic Maps
5. Conclusions
Supplementary Materials
Author Contributions
Funding
Institutional Review Board Statement
Informed Consent Statement
Data Availability Statement
Conflicts of Interest
References
- Zimmerman, S.J.; Aldridge, C.L.; Oyler-McCance, S.J. An empirical comparison of population genetic analyses using microsatellite and SNP data for a species of conservation concern. BMC Genom. 2020, 21, 382. [Google Scholar] [CrossRef] [PubMed]
- Lemopoulos, A.; Prokkola, J.M.; Uusi-Heikkilä, S.; Vasemägi, A.; Huusko, A.; Hyvärinen, P.; Koljonen, M.L.; Koskiniemi, J.; Vainikka, A. Comparing RADseq and microsatellites for estimating genetic diversity and relatedness—Implications for brown trout conservation. Ecol. Evol. 2019, 9, 2106–2120. [Google Scholar] [CrossRef] [PubMed]
- Sunde, J.; Yıldırım, Y.; Tibblin, P.; Forsman, A. Comparing the Performance of Microsatellites and RADseq in Population Genetic Studies: Analysis of Data for Pike (Esoxlucius) and a Synthesis of Previous Studies. Front. Genet. 2020, 11, 218. [Google Scholar] [CrossRef] [PubMed]
- Ryynanen, H.J.; Tonteri, A.; Vasemagi, A.; Primmer, C.R. A Comparison of Biallelic Markers and Microsatellites for the Estimation of Population and Conservation Genetic Parameters in Atlantic Salmon (Salmosalar). J. Hered. 2007, 98, 692–704. [Google Scholar] [CrossRef] [PubMed]
- Psonis, N.; Antoniou, A.; Karameta, E.; Leaché, A.D.; Kotsakiozi, P.; Darriba, D.; Kozlov, A.; Stamatakis, A.; Poursanidis, D.; Kukushkin, O.; et al. Resolving complex phylogeographic patterns in the Balkan Peninsula using closely related wall-lizard species as a model system. Mol. Phylogenet. Evol. 2018, 125, 100–115. [Google Scholar] [CrossRef]
- Chessa, B.; Pereira, F.; Arnaud, F.; Amorim, A.; Goyache, F.; Mainland, I.; Kao, R.R.; Pemberton, J.M.; Beraldi, D.; Stear, M.; et al. Revealing the history of sheep domestication using retrovirus integrations. Science 2009, 324, 532–536. [Google Scholar] [CrossRef]
- Pérez-Pardal, L.; Sánchez-Gracia, A.; Álvarez, I.; Traoré, A.; Ferraz, J.B.S.; Fernández, I.; Costa, V.; Chen, S.; Tapio, M.; Cantet, R.J.C.; et al. Legacies of domestication, trade and herder mobility shape extant male zebu cattle diversity in South Asia and Africa. Sci. Rep. 2018, 8, 18027. [Google Scholar] [CrossRef]
- Hanotte, O.; Bradley, D.G.; Ochieng, J.W.; Verjee, Y.; Hill, E.W.; Rege, J.E. African pastoralism: Genetic imprints of origins and migrations. Science 2002, 296, 336–339. [Google Scholar] [CrossRef]
- Jordana, J.; Goyache, F.; Ferrando, A.; Fernández, I.; Miró, J.; Martínez López, O.R.; Canelón, J.L.; Stemmer, A.; Aguirre, L.; Álvarez, L.A.; et al. Contributions to diversity rather than basic measures of genetic diversity characterise the spreading of donkey throughout the American continent. Livest. Sci. 2017, 197, 1–7. [Google Scholar] [CrossRef]
- Meirmans, P.G. The trouble with isolation by distance. Mol. Ecol. 2012, 21, 2839–2846. [Google Scholar] [CrossRef]
- Álvarez, I.; Traoré, A.; Fernández, I.; Lecomte, T.; Soudré, A.; Kaboré, A.; Tamboura, H.H.; Goyache, F. Assessing introgression of Sahelian zebu genes into native Bostaurus breeds in Burkina Faso. Mol. Biol. Rep. 2014, 41, 3745–3754. [Google Scholar] [CrossRef] [PubMed]
- Traoré, A.; Koudandé, D.O.; Fernández, I.; Soudré, A.; Granda, V.; Álvarez, I.; Diarra, S.; Diarra, F.; Kaboré, A.; Sanoua, M.; et al. Geographical assessment of body measurements and qualitative type traits in West African cattle. Trop. Anim. Health Prod. 2015, 47, 1505–1513. [Google Scholar] [CrossRef] [PubMed]
- Traoré, A.; Koudandé, D.O.; Fernández, I.; Soudré, A.; Álvarez, I.; Diarra, S.; Diarra, F.; Kaboré, A.; Sanou, M.; Tamboura, H.H.; et al. Multivariate characterization of morphological traits in West African cattle sires. Arch. Anim. Breed. 2016, 59, 337–344. [Google Scholar] [CrossRef]
- Sambrook, J.; Fritsch, E.F.; Maniatis, T. Molecular Cloning: A Laboratory Manual; Cold Spring Harbor Laboratory Press: New York, NY, USA, 1989; p. 412. [Google Scholar]
- Bozzi, R.; Álvarez, I.; Crovetti, A.; Fernández, I.; De Petris, D.; Goyache, F. Assessing priorities for conservation in Tuscan cattle breeds using microsatellites. Animal 2012, 6, 203–211. [Google Scholar] [CrossRef]
- Chang, C.C.; Chow, C.C.; Tellier, L.C.A.M.; Vattikuti, S.; Purcell, S.M.; Lee, J.J. Second-generation PLINK: Rising to the challenge of larger and richer datasets. GigaScience 2015, 4. [Google Scholar] [CrossRef]
- Cavalli-Sforza, L.L.; Menozzi, P.; Piazza, A. The History and Geography of Human Genes; Princeton University Press: Princeton, NJ, USA, 1994; p. 1032. [Google Scholar]
- Pritchard, J.K.; Stephens, M.; Donnelly, P. Inference of population structure using multilocus genotype data. Genetics 2000, 155, 945–959. [Google Scholar]
- Earl, D.A.; von Holdt, B.M. Structure Harvester: A website and program for visualizing STRUCTURE output and implementing the Evanno method. Conserv. Genet Res. 2012, 4, 359–361. [Google Scholar] [CrossRef]
- Alexander, D.H.; Lange, K. Enhancements to the ADMIXTURE algorithm for individual ancestry estimation. BMC Bioinform. 2011, 12, 246. [Google Scholar] [CrossRef]
- Alexander, D.H.; Novembre, J.; Lange, K. Fast model-based estimation of ancestry in unrelated individuals. Genome Res. 2009, 19, 1655–1664. [Google Scholar] [CrossRef]
- Wickham, H. ggplot2: Elegant Graphics for Data Analysis; Springer: New York, NY, USA, 2016; p. 213. [Google Scholar]
- Kumar, P.; Freeman, A.R.; Loftus, R.T.; Gaillard, C.; Fuller, D.Q.; Bradley, D.G. Admixture analysis of south Asian cattle. Heredity 2003, 91, 43–50. [Google Scholar] [CrossRef]
- Álvarez, I.; Traoré, A.; Tambourá, H.H.; Kaboré, A.; Royo, L.J.; Fernández, I.; Ouédraogo-Sanou, G.; Sawadogo, L.; Goyache, F. Microsatellite analysis characterizes Burkina Faso as a genetic contact zone between Sahelian and Djallonké sheep. Anim. Biotech. 2009, 20, 47–57. [Google Scholar] [CrossRef] [PubMed]
- Fischer, M.C.; Rellstab, C.; Leuzinger, M.; Roumet, M.; Gugerli, F.; Shimizu, K.K.; Holderegger, R.; Widmer, A. Estimating genomic diversity and population differentiation—An empirical comparison of microsatellite and SNP variation in Arabidopsis halleri. BMC Genom. 2017, 18, 69. [Google Scholar] [CrossRef] [PubMed]
- Traoré, A.; Álvarez, I.; Fernández, I.; Pérez-Pardal, L.; Kaboré, A.; Ouédraogo-Sanou, G.M.S.; Zaré, Y.; Tamboura, H.H.; Goyache, F. Ascertaining gene flow patterns in livestock populations of developing countries: A case study in Burkina Faso goat. BMC Genet. 2012, 13, 35. [Google Scholar] [CrossRef] [PubMed]
- Álvarez, I.; Pérez-Pardal, L.; Traoré, A.; Koudandé, D.O.; Fernández, I.; Soudré, A.; Diarra, S.; Diarra, F.; Sanou, M.; Boussini, H.; et al. Differences in genetic structure assessed using Y-chromosome and mitochondrial DNA markers do not shape the contributions to diversity in African sires. J. Anim. Breed. Genet. 2017, 134, 393–404. [Google Scholar] [CrossRef] [PubMed]
- Puckett, E.E.; Eggert, L.S. Comparison of SNP and microsatellite genotyping panels for spatial assignment of individuals to natal range: A case study using the American black bear (Ursusamericanus). Biol. Conserv. 2016, 193, 86–93. [Google Scholar] [CrossRef]
- Comps, B.; Gömöry, D.; Letouzey, J.; Thiébaut, B.; Petit, R.J. Diverging trends between heterozygosity and allelic richness during postglacial colonization in the European beech. Genetics 2001, 157, 389–397. [Google Scholar]
- Eckert, C.G.; Samis, K.E.; Lougheed, S.C. Genetic variation across species’ geographical ranges: The central-marginal hypothesis and beyond. Mol. Ecol. 2008, 17, 1170–1188. [Google Scholar] [CrossRef]
- Petit, R.J.; Aguinagalde, I.; De Beaulieu, J.-L.; Bittkau, C.; Brewer, S.; Cheddadi, R.; Ennos, R.; Fineschi, S.; Grivet, D.; Lascoux, M.; et al. Glacial refugia: Hotspots but not melting pots of genetic diversity. Science 2003, 300, 1563–1565. [Google Scholar] [CrossRef]
- Gutiérrez, J.P.; Royo, L.J.; Álvarez, I.; Goyache, F. MolKin v2.0: A computer program for genetic analysis of populations using molecular coancestry information. J. Hered. 2005, 96, 718–721. [Google Scholar] [CrossRef]




| Cattle Sampling | Geographical Information | ||||||
|---|---|---|---|---|---|---|---|
| Population | Type | N | Country | Location a | Latitude | Longitude | Ecological Area |
| 1. Lagunaire | Humpless shorthorn e | 33(6) | Benin | Plateau | 8.023 | 2.511 | Guinean |
| 2. N’Dama (BF) | Humpless longhorn e | 47(12) | Burkina Faso | Comoé | 9.901 | −4.365 | Sudano-Guinean |
| 3. N’Dama (C) b | Humpless longhorn | 25(4) | Congo | Bas-Congo | 11.303 b | −2.272 b | Sudano-Guinean |
| 4. Zebu Peul (Be) | West African zebu f | 12(2) | Benin | Alibori | 11.121 | 2.960 | Sahel and Sudan-Sahel |
| 5. Zebu Peul (BF) | West African zebu | 32(19) | Burkina Faso | Dori | 14.072 | −1.573 | Sahel |
| 6. Borgou | Sanga g | 28(0) | Benin | Collines | 9.901 | 2.511 | Sudan-Sahel |
| 7. Lobi c | sanga | 2(1) | Burkina Faso | Poni | 10.308 | −3.174 | Sahel |
| 8. Zou d | sanga | 6(0) | Benin | Zou | 8.153 | 2.013 | Guinean |
| Markers Type | Microsatellites | SNPs | |||||||
|---|---|---|---|---|---|---|---|---|---|
| Factor 1 | Factor 2 | Factor 3 | Factor 1 | Factor 2 | Factor 3 | ||||
| Microsatellites | −0.638 | 0.880 | −0.837 | 0.947 | 0.942 | −0.942 | 0.003 ns | ||
| Factor 1 | −0.743 | −0.697 | 0.418 | −0.607 | −0.609 | 0.604 | 0.584 | ||
| Factor 2 | 0.912 | −0.730 | 1 | −0.755 | 0.844 | 0.844 | −0.836 | −0.100 ns | |
| Factor 3 | −0.696 | 0.176 * | −0.704 | −0.841 | −0.838 | 0.831 | −0.179 * | ||
| SNPs | 0.978 | −0.679 | 0.906 | −0.765 | 0.987 | −0.995 | 0.026 ns | ||
| Factor 1 | 0.957 | −0.606 | 0.893 | −0.819 | 0.991 | −0.983 | 0.043 ns | ||
| Factor 2 | −0.975 | 0.663 | −0.905 | 0.780 | −0.999 | −0.992 | −0.024 ns | ||
| Factor 3 | −0.136 ns | 0.612 | −0.076 ns | −0.514 | −0.029 ns | 0.085 ns | 0.001 ns | ||
Publisher’s Note: MDPI stays neutral with regard to jurisdictional claims in published maps and institutional affiliations. |
© 2021 by the authors. Licensee MDPI, Basel, Switzerland. This article is an open access article distributed under the terms and conditions of the Creative Commons Attribution (CC BY) license (http://creativecommons.org/licenses/by/4.0/).
Share and Cite
Álvarez, I.; Fernández, I.; Traoré, A.; Menéndez-Arias, N.A.; Goyache, F. Population Structure Assessed Using Microsatellite and SNP Data: An Empirical Comparison in West African Cattle. Animals 2021, 11, 151. https://doi.org/10.3390/ani11010151
Álvarez I, Fernández I, Traoré A, Menéndez-Arias NA, Goyache F. Population Structure Assessed Using Microsatellite and SNP Data: An Empirical Comparison in West African Cattle. Animals. 2021; 11(1):151. https://doi.org/10.3390/ani11010151
Chicago/Turabian StyleÁlvarez, Isabel, Iván Fernández, Amadou Traoré, Nuria A. Menéndez-Arias, and Félix Goyache. 2021. "Population Structure Assessed Using Microsatellite and SNP Data: An Empirical Comparison in West African Cattle" Animals 11, no. 1: 151. https://doi.org/10.3390/ani11010151
APA StyleÁlvarez, I., Fernández, I., Traoré, A., Menéndez-Arias, N. A., & Goyache, F. (2021). Population Structure Assessed Using Microsatellite and SNP Data: An Empirical Comparison in West African Cattle. Animals, 11(1), 151. https://doi.org/10.3390/ani11010151

