Feeding Fungal-Pretreated Corn Straw Improves Health and Meat Quality of Lambs Infected with Gastrointestinal Nematodes
Simple Summary
Abstract
1. Introduction
2. Materials and Methods
2.1. WRF-Pretreated Corn Straw Preparation
2.2. Lambs and Management
2.3. Experimental Design
2.4. Sampling Procedures
2.5. Analytical Procedures
2.6. Statistical Analyses
3. Results
3.1. Fecal Egg Count, Packed Cell Volume and Plasma Iron Content of Lambs
3.2. Traits of pH Shear Force, Intermuscular Fat and Color of Lamb Muscles
3.3. Amino Acid Profiles in Muscles of Lambs
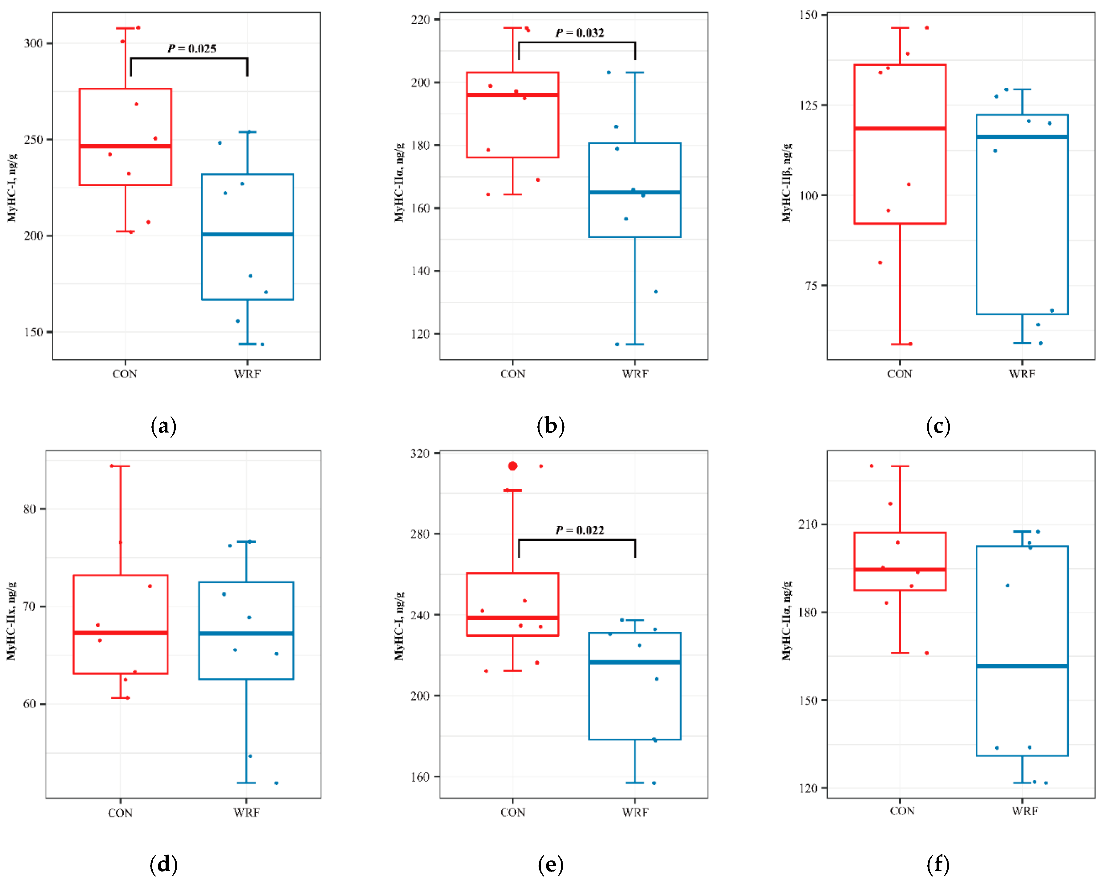
3.4. Myosin Heavy-Chain Content in Muscles of Lambs
3.5. Volatile Compounds in Muscles of Lambs
4. Discussion
5. Conclusions
Author Contributions
Funding
Acknowledgments
Conflicts of Interest
References
- Montossi, F.; Font-i-Furnols, M.; del Campo, M.; San Julián, R.; Brito, G.; Sañudo, C. Sustainable sheep production and consumer preference trends: Compatibilities, contradictions, and unresolved dilemmas. Meat sci. 2013, 95, 772–789. [Google Scholar] [CrossRef]
- Zhong, R.Z.; Xiang, H.; Chen, L.; Zhao, C.Z.; Wang, F.; Zhao, X.L.; Fang, Y. Effects of feeding garlic powder on growth performance, rumen fermentation, and the health status of lambs infected by gastrointestinal nematodes. Animals 2019, 9, 102. [Google Scholar] [CrossRef] [PubMed]
- Arsenos, G.; Fortomaris, P.; Papadopoulos, E.; Kufidis, D.; Stamataris, C.; Zygoyiannis, D. Meat quality of lambs of indigenous dairy Greek breeds as influenced by dietary protein and gastrointestinal nematode challenge. Meat Sci. 2007, 76, 779–786. [Google Scholar] [CrossRef] [PubMed]
- Arsenos, G.; Fortomaris, P.; Papadopoulos, E.; Sotiraki, S.; Stamataris, C.; Zygoyiannis, D. Growth and meat quality of kids of indigenous Greek goats (Capra prised) as influenced by dietary protein and gastrointestinal nematode challenge. Meat Sci. 2009, 82, 317–323. [Google Scholar] [CrossRef]
- Minho, A.P.; Filippsen, L.F.; Amarante, A.F.; Abdalla, A.L. Efficacy of condensed tannin presents in acacia extract on the control of Trichostrongylus colubriformis in sheep. Ciência Rural. 2010, 40, 1360–1365. [Google Scholar] [CrossRef]
- Whitley, N.C.; Miller, J.E.; Burke, J.M.; Cazac, D.; Obrien, D.J.; Dykes, L.; Muir, J.P. Effect of high tannin grain sorghum on gastrointestinal parasite fecal egg counts in goats. Small Rumin. Res. 2009, 87, 105–107. [Google Scholar] [CrossRef]
- Dai, H.W.; Xu, Q.; Wang, B.B.; Jia, X.Y.; Wan, X.M.; Yang, X.C.; Cai, K.Z.; Liu, Z.B. In vitro, in vivo, and interaction studies of nematophagous fungus Arthrobotrys thaumasia (Monacrosporium thaumasium) with the larvae of Trichostrongylides of sheep. J. Parasitol. 2017, 103, 692–698. [Google Scholar] [CrossRef] [PubMed]
- Silva, A.R.; De Araujo, J.V.; Braga, F.R.; Alves, C.D.; Frassy, L.N. Activity in vitro of fungal conidia of Duddingtonia flagrans and Monacrosporium thaumasium on Haemonchus contortus infective larvae. J. Helminthol. 2011, 85, 138–141. [Google Scholar] [CrossRef]
- Wang, X.; Li, G.H.; Zuo, C.G.; Ji, X.L.; Liu, T.; Zhao, P.J.; Liang, L.M.; Xu, J.P.; An, Z.Q.; Zheng, X.; et al. Bacteria can mobilize nematode-trapping fungi to kill nematodes. Nat. Commun. 2014, 5, 5776–6776. [Google Scholar] [CrossRef]
- Morris, E.E.; Hajek, A.E. Eat or be eaten: Fungus and nematode switch off as predator and prey. Fungal Ecol. 2014, 11, 114–121. [Google Scholar] [CrossRef]
- Vieira, T.M.; Fonseca, L.D.; Bastos, G.A.; Viviane, D.O.V.; Silva, M.L.F.; Morais-Costa, F.; Ferreira, A.V.P.; Oliveira, N.J.F.; Duarte, E.R. Control of Haemonchus contortusin sheep using basidiocarps of Agaricus blazei Murril. Vet. Res. Commun. 2017, 41, 99–106. [Google Scholar] [CrossRef] [PubMed]
- Adesogan, A.T.; Arriola, K.G.; Jiang, Y.; Oyebade, A.; Paula, E.M.; Pechcervantes, A.A.; Romero, J.J.; Ferraretto, L.F.; Vyas, D. Symposium review: Technologies for improving fiber utilization. J. Dairy Sci. 2019, 102, 5726–5755. [Google Scholar] [CrossRef] [PubMed]
- Nayan, N.; Sonnenberg, A.S.; Hendriks, W.H.; Cone, J.W. Screening of white-rot fungi for bioprocessing of wheat straw into ruminant feed. J. Appl. Microbiol. 2018, 125, 468–479. [Google Scholar] [CrossRef] [PubMed]
- Zhao, X.; Wang, F.; Fang, Y.; Zhou, D.W.; Wang, S.P.; Wu, D.Q.; Wang, L.X.; Zhong, R.Z. High-potency white-rot fungal strains and duration of fermentation to optimize corn straw as ruminant feed. Bioresour. Technol. 2020, 312, 123512. [Google Scholar] [CrossRef] [PubMed]
- Zou, S.C.; Wu, J.C.; Shahid, M.Q.; Hea, Y.H.; Lin, S.Q.; Liu, Z.H.; Yang, X.H. Identification of key taste components in loquat using widely targeted metabolomics. Food Chem. 2020, 323, 126822. [Google Scholar] [CrossRef] [PubMed]
- National Research Conncil (NRC). Nutrient Requirements of Small Ruminants, Sheep, Goats, Cervids, and New World Camelids; National Academy Press: Washington, DC, USA, 2007. [Google Scholar]
- AOAC. Official Methods of Analysis of the Association of Official Analytical Chemists, 16th ed.; Association of Official Analytical Chemists: Arlington, TX, USA, 1995. [Google Scholar]
- Van Soest, P.J.; Robertson, J.B.; Lewis, B.A. Methods for dietary fiber, neutral detergent fiber, and nonstarch polysaccharides in relation to animal nutrition. J. Dairy Sci. 1991, 74, 3583–3597. [Google Scholar] [CrossRef]
- Zhong, R.Z.; Li, H.Y.; Sun, H.X.; Zhou, D.W. Effects of supplementation with dietary green tea polyphenols on parasite resistance and acute phase protein response to Haemonchus contortus infection in lambs. Vet. Parasitol. 2014, 205, 199–207. [Google Scholar] [CrossRef]
- Hopkins, D.L.; Clayton, E.; Lamb, T.A.; van de Ven, R.J.; Refshauge, G.; Kerr, M.J.; Bailes, K.; Lewandowski, P.; Ponnamapalam, E.N. The impact of supplementing lambs with algae on growth, meat traits and oxidative status. Meat Sci. 2014, 98, 135–141. [Google Scholar] [CrossRef]
- Jiao, J.; Wang, T.; Zhou, J.; Degen, A.A.; Gou, N.; Li, S.S.; Bai, Y.F.; Jing, X.P.; Wang, W.W.; Shang, Z.H. Carcass parameters and meat quality of Tibetan sheep and Small-tailed Han sheep consuming diets of low-protein content and different energy yields. J. Anim. Physiol. Anim. Nutr. 2020, 104, 1010–1023. [Google Scholar] [CrossRef]
- Guo, Q.; Kong, X.; Hu, C.; Zhou, B.; Wang, C.; Shen, Q.W. Fatty acid content, flavor compounds, and sensory quality of pork loin as affected by dietary supplementation with L-arginine and glutamic acid. J. Food Sci. 2019, 84, 3445–3453. [Google Scholar] [CrossRef]
- Depreux, F.; Okamura, C.S.; Swartz, D.R.; Grant, A.L.; Brandstetter, A.M.; Gerrard, D.E. Quantification of myosin heavy chain isoform in porcine muscle using an enzyme-linked immunosorbent assay. Meat Sci. 2000, 56, 261–269. [Google Scholar] [CrossRef]
- SAS, SAS/STAT®. User’s Guide: Statistics, Version 9, 1st ed.; SAS: Gary, NG, USA, 2002. [Google Scholar]
- Littell, R.C.; Milliken, G.A.; Stroup, W.W.; Wolfinger, R.D. SAS System for Mixed Model; SAS: Gary, NG, USA, 1996. [Google Scholar]
- Zhong, R.Z.; Fang, Y.; Wang, Y.; Sun, H.; Zhou, D. Effects of substituting finely ground sorghum for finely ground corn on feed digestion and meat quality in lambs infected with Haemonchus contortus. Anim. Feed Sci. Technol. 2015, 211, 31–40. [Google Scholar] [CrossRef]
- Cei, W.; Hiol, A.; Gobardhan, J.; Nepos, A.; Felicite, Y.; Mahieu, M.; Alexandre, G. Growth and carcass attributes of growing Creole kids according to experimental infection level and MyHC of diet. Trop. Anim. Health Prod. 2015, 47, 953–960. [Google Scholar] [CrossRef] [PubMed]
- Atiba, E.M.; Zewei, S.; Qingzhen, Z. Influence of metabolizable protein and minerals supplementation on detrimental effects of endoparasitic nematodes infection in small ruminants. Trop. Anim. Health Prod. 2020, 52, 1–7. [Google Scholar] [CrossRef] [PubMed]
- Anke, H.; Stadler, M.; Mayer, A.; Sterner, O. Secondary metabolites with nematicidal and antimicrobial activity from nematophagous fungi and Ascomycetes. Can. J. Bot. 1995, 73, S932–S939. [Google Scholar] [CrossRef]
- Liu, S.M.; Masters, D.G.; Adams, N.R. Potential impact of nematode parasitism on nutrient partitioning for wool production, growth and reproduction in sheep. Aust. J. Exp. Agric. 2003, 43, 1409–1417. [Google Scholar] [CrossRef]
- Barron, G.L. The Nematode-Destroying Fungi. (Topics in Mycobiology, No. 1). Can. Biol 1977. [Google Scholar] [CrossRef]
- Gil, M.; Serra, X.; Gispert, M.; Oliver, M.A.; Sanudo, C.; Panea, B.; Olleta, J.L.; Campo, M.M.; Olivan, M.; Osoro, K.; et al. The effect of breed-production systems on the myosin heavy chain 1, the biochemical characteristics and the colour variables of LTL muscle from seven Spanish beef cattle breeds. Meat Sci. 2001, 58, 181–188. [Google Scholar] [CrossRef]
- Dunne, P.G.; O’Mara, F.P.; Monahan, F.J.; Moloney, A.P. Changes in colour characteristics and pigmentation of subcutaneous adipose tissue and m. longissimus dorsi of heifers fed grass, grass silage or concentrate-based diets. Meat Sci. 2006, 74, 231–241. [Google Scholar] [CrossRef] [PubMed]
- Ijaz, M.; Khan, M.S.; Avais, M.; Ashraf, K.; Ali, M.M.; Khan, M.Z. Infection rate and chemotherapy of various helminthes in diarrhoeic sheep in and around Lahore. J. Anim. Plant Sci. 2009, 19, 13–16. [Google Scholar]
- Kozat, S.; Yuksek, N.; Goz, Y.; Keleş, I. Serum iron, total iron-binding capacity, unbound iron-binding capacity, transferrin saturation, serum copper, and hematological parameters in pregnant Akkaraman Ewes infected with gastro-intestinal parasites. Turk. J. Vet. Anim. Sci. 2006, 30, 601–604. [Google Scholar]
- Ponnampalam, E.N.; Butler, K.L.; McDonagh, M.B.; Jacobs, J.L.; Hopkins, D.L. Relationship between muscle antioxidant status, forms of iron, polyunsaturated fatty acids and functionality (retail colour) of meat in lambs. Meat Sci. 2012, 90, 297–303. [Google Scholar] [CrossRef]
- Majdoub-Mathlouthi, L.; Said, B.; Say, A.; Kraiem, K. Effect of concentrate level and slaughter body weight on growth performances, carcass traits and meat quality of Barbarine lambs fed oat haybased diet. Meat Sci. 2013, 93, 557–563. [Google Scholar] [CrossRef] [PubMed]
- Pin, C.; Vasun, P.; Anusorn, C. Effects of fungal (Lentinussajor-caju) treated oil palm frond on performance and carcass characteristics in finishing goats. Asian Australas. J. Anim. Sci. 2017, 30, 811–818. [Google Scholar]
- Zhong, R.Z.; Liu, H.W.; Zhou, D.W.; Sun, H.X.; Zhou, C.S. The effects of road transportation on physiological responses and meat quality in sheep differing in age. J. Anim. Sci. 2011, 89, 3742–3751. [Google Scholar] [CrossRef]
- Sirin, E.; Aksoy, Y.; Ugurlu, M.; Cicek, U.; Önenc, A.; Ulutas, Z.; Sen, U.; Kuran, M. The relationship between muscle fiber characteristics and some meat quality parameters in Turkish native sheep breeds. Small Rumin. Res. 2017, 150, 46–51. [Google Scholar] [CrossRef]
- Choi, Y.M.; Kim, B.C. Muscle fiber characteristics, myofibrillar protein isoforms, and meat quality. Livest. Sci. 2009, 122, 105–118. [Google Scholar] [CrossRef]
- Warriss, P.D.; Ebrary, I. Meat science: An introductory text. Int. J. Food Sci. Technol. 1999, 36, 449. [Google Scholar]
- Neethling, J.; Hoffman, L.C.; Muller, M. Factors influencing the flavour of game meat: A review. Meat Sci. 2016, 113, 139–153. [Google Scholar] [CrossRef] [PubMed]
- Watkins, P.; Frank, D.; Singh, T.; Young, O.A.; Warner, R.D. Sheep meat flavor and the effect of different feeding systems: A review. J. Agric. Food Chem. 2013, 61, 3561–3579. [Google Scholar] [CrossRef] [PubMed]
- Young, O.A.; Lane, G.A.; Priolo, A.; Fraser, K. Pastoral and species flavour in lambs raised on pasture, lucerne or maize. J. Agric. Food Chem. 2003, 83, 93–104. [Google Scholar] [CrossRef]
- Arshad, M.S.; Sohaib, M.; Ahmad, R.S.; Nadeem, M.T.; Imran, A.; Arshad, M.U.; Kwon, J.; Amjad, Z. Ruminant meat flavor influenced by different factors with special reference to fatty acids. Lipids Health Dis. 2018, 17, 223. [Google Scholar] [CrossRef] [PubMed]
- Wang, W.T.; Sun, B.; Hu, P.; Zhou, M.; Sun, S.J.; Du, P.F.; Ru, Y.; Suvorov, A.; Li, Y.S.; Liu, Y.B.; et al. Comparison of differential flavor metabolites in meat of Lubei White Goat, Jining Gray goat and Boer goat. Metabolites 2019, 9, 176. [Google Scholar] [CrossRef] [PubMed]
- Odhaib, K.J.; Adeyemi, K.D.; Sazili, A.Q. Carcass traits, fatty acid composition, gene expression, oxidative stability and quality attributes of different muscles in Dorper lambs fed Nigella sativa seeds, Rosmarinus officinalis leaves and their combination. Asian Austral. J. Anim. Sci. 2017, 31, 1345–1357. [Google Scholar] [CrossRef]
- Cerny, C.; Davidek, T. Formation of aroma compounds from ribose and cysteine during the maillard Reaction. J. Agric. Food Chem. 2003, 51, 2714–2721. [Google Scholar] [CrossRef]
- Miller, F.M.; Blair, H.T.; Birtles, M.J.; Reynolds, G.W.; Gill, H.S.; Revell, D.K. Cysteine may play a role in the immune response to internal parasites in sheep. Crop. Pasture Sci. 2000, 51, 793–799. [Google Scholar] [CrossRef]





| Feed Ingredients (% DM Basis) | CON Diet | WRF Diet |
|---|---|---|
| Ingredients (%) | ||
| Corn straw | 40.0 | 0.0 |
| Fungal-pretreated corn straw | 0 | 40.0 |
| Corn meal | 21.0 | 21.0 |
| Soybean meal | 10.2 | 10.2 |
| Corn germ meal | 9.0 | 9.0 |
| Sunflower seed meal | 5.0 | 5.0 |
| Wheat bran | 10.5 | 10.5 |
| Limestone | 1.0 | 1.0 |
| CaHPO4 | 0.8 | 0.8 |
| NaCl | 0.5 | 0.5 |
| Minerals and vitamins salt | 2.0 | 2.0 |
| Chemical composition (n = 8) | ||
| Dry matter (% of the feed) | 97.8 | 97.3 |
| Crude protein (% of dry matter) | 9.3 | 12.8 |
| Ether extract (% of dry matter) | 5.4 | 5.2 |
| Neutral detergent fiber (% of dry matter) | 51.7 | 48.7 |
| Acid detergent fiber (% of dry matter) | 24.1 | 23.9 |
| Starch (% of dry matter) | 22.6 | 20.8 |
| Metabolizable energy (MJ/kg of dry matter) | 13.5 | 14.8 |
| Item | Treatments | SEM | p Value | |
|---|---|---|---|---|
| CON | WRF | |||
| LTL muscle | ||||
| pH24 | 5.75 | 5.78 | 0.142 | 0.883 |
| L* | 31.6 a | 26.8 b | 1.195 | 0.014 |
| a* | 12.7 b | 18.2 a | 0.483 | <0.001 |
| b* | 4.55 a | 3.07 b | 0.265 | 0.001 |
| Shear force (N) | 21.7 b | 30.5 a | 1.140 | <0.001 |
| IMF (%) | 3.10 | 3.03 | 0.378 | 0.892 |
| SM muscle | ||||
| pH24 | 5.77 | 5.84 | 0.084 | 0.557 |
| L* | 30.3 a | 23.2 b | 1.632 | 0.008 |
| a* | 15.7 b | 18.4 a | 0.595 | 0.007 |
| b* | 4.73 a | 3.04 b | 0.304 | 0.002 |
| Shear force (N) | 27.5 b | 37.3 a | 1.370 | 0.001 |
| IMF (%) | 3.10 | 2.55 | 0.316 | 0.236 |
| AA Profile (% of Dry Meat) | Treatments | SEM | p Value | |
|---|---|---|---|---|
| CON | WRF | |||
| Lys | 5.75 | 5.66 | 0.147 | 0.673 |
| Met | 0.90 | 0.68 | 0.091 | 0.100 |
| Cys | 0.59 b | 0.74 a | 0.040 | 0.020 |
| Phe | 1.99 | 2.02 | 0.050 | 0.660 |
| Thr | 5.10 | 5.16 | 0.122 | 0.723 |
| Val | 3.10 | 2.97 | 0.100 | 0.358 |
| His | 1.83 | 2.26 | 0.184 | 0.122 |
| Arg | 3.85 | 4.04 | 0.129 | 0.311 |
| Leu | 5.08 | 4.95 | 0.117 | 0.432 |
| Ile | 2.91 | 2.84 | 0.069 | 0.466 |
| EAA | 31.49 | 32.57 | 0.634 | 0.818 |
| Asp | 3.42 | 3.56 | 0.092 | 0.312 |
| Ser | 2.67 | 2.78 | 0.082 | 0.373 |
| Glu | 9.68 | 9.97 | 0.239 | 0.419 |
| Gly | 3.17 | 3.01 | 0.139 | 0.434 |
| Ala | 4.22 | 4.09 | 0.107 | 0.430 |
| Tyr | 2.86 | 2.91 | 0.108 | 0.767 |
| Pro | 2.72 | 1.00 | 0.105 | 0.086 |
| NEAA | 28.74 | 29.32 | 0.767 | 0.611 |
| TAA | 60.24 | 61.89 | 1.343 | 0.689 |
© 2020 by the authors. Licensee MDPI, Basel, Switzerland. This article is an open access article distributed under the terms and conditions of the Creative Commons Attribution (CC BY) license (http://creativecommons.org/licenses/by/4.0/).
Share and Cite
Xiang, H.; Zhao, X.; Fang, Y.; Wang, F.; Liang, R.; Sun, X.; Wang, S.; Zhong, R. Feeding Fungal-Pretreated Corn Straw Improves Health and Meat Quality of Lambs Infected with Gastrointestinal Nematodes. Animals 2020, 10, 1659. https://doi.org/10.3390/ani10091659
Xiang H, Zhao X, Fang Y, Wang F, Liang R, Sun X, Wang S, Zhong R. Feeding Fungal-Pretreated Corn Straw Improves Health and Meat Quality of Lambs Infected with Gastrointestinal Nematodes. Animals. 2020; 10(9):1659. https://doi.org/10.3390/ani10091659
Chicago/Turabian StyleXiang, Hai, Xueli Zhao, Yi Fang, Fei Wang, Rong Liang, Xuezhao Sun, Shuiping Wang, and Rongzhen Zhong. 2020. "Feeding Fungal-Pretreated Corn Straw Improves Health and Meat Quality of Lambs Infected with Gastrointestinal Nematodes" Animals 10, no. 9: 1659. https://doi.org/10.3390/ani10091659
APA StyleXiang, H., Zhao, X., Fang, Y., Wang, F., Liang, R., Sun, X., Wang, S., & Zhong, R. (2020). Feeding Fungal-Pretreated Corn Straw Improves Health and Meat Quality of Lambs Infected with Gastrointestinal Nematodes. Animals, 10(9), 1659. https://doi.org/10.3390/ani10091659

